
Rīgā 2005.gada 12.jūlijā (prot. Nr.40 22.§)
5.panta desmito daļu un likuma “Par atbilstības novērtēšanu” 7.panta pirmo daļu
5.1. akreditēta Latvijas Nacionālajā akreditācijas birojā atbilstoši standartā LVS EN ISO/IEC 17020:2005 “Galvenie kritēriji dažāda veida institūcijām, kas veic inspekciju” noteiktajiem kritērijiem un šajos noteikumos noteiktajām prasībām;
5.2.apdrošinājusi savu civiltiesisko atbildību tādā apmērā, lai segtu iespējamos zaudējumus, kas var rasties kļūdaina vai nepatiesa sniegtā atzinuma dēļ.
Satiksmes ministrs A.Šlesers
Ministru kabineta
2005.gada 12.jūlija noteikumiem Nr.500
1. Maksimāli slogotas balstiekārtas atsperotās masas nestacionāro zemfrekvences vertikālo pašsvārstību laikā virs dzenošās ass vai asu ratiņiem izmērītajai frekvencei un svārstību rimšanai jāatbilst šādām prasībām:
1.1. vidējais svārstību rimšanas koeficients D ir par 20 % lielāks nekā kritiskā rimšana, ja balstiekārta ir normālā kondīcijā un aprīkota ar funkcionējošiem hidrauliskajiem svārstību slāpētājiem;
1.2. balstiekārtai, kurai hidrauliskie svārstību slāpētāji ir demontēti vai nefunkcionē, svārstību rimšanas koeficients D nav lielāks par 50 % no D;
1.3. atsperotās masas nestacionāro vertikālo pašsvārstību frekvence virs dzenošās ass vai asu ratiņiem nav augstāka par 2,0 Hz.
2. Katra ass ir aprīkota ar hidrauliskiem svārstību slāpētājiem. Uz tandēma asu ratiņiem svārstību slāpētāji ir uzstādīti tā, lai mazinātu ratiņu svārstības.
3. Balstiekārtas svārstību frekvence un svārstību rimšana definēta šī pielikuma 5.punktā. Svārstību frekvences un rimšanas testa process noteikts šī pielikuma 6.punktā.
4. Atsperotās masas svārstību frekvence F (rad/s) ir:
5. Svārstību rimšana ir kritiska, ja C = C0, kur
6. Svārstību rimšanas koeficients kā daļa no kritiskās rimšanas ir C/C0.
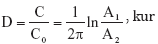
7. Atsperotās masas nestacionāro zemfrekvences pašsvārstību laikā masas vertikālā kustība notiek pa rimstošu sinusoīdu (1.attēls). Svārstību frekvenci aprēķina, nosakot laiku, kādā notiek tik daudz svārstību ciklu, cik iespējams novērot. Svārstību rimšanu D aprēķina, nosakot secīgu viena virziena svārstību maksimumus. Ja pirmā un otrā svārstību cikla amplitūdas maksimums ir A1 un A2, rimšanas koeficients D ir:
ln – amplitūdas koeficienta naturālais logaritms.
1.attēls
8. Lai noteiktu rimšanas koeficientu D, rimšanas koeficientu, ja demontēti hidrauliskie svārstību slāpētāji, un balstiekārtas svārstību frekvenci F, izmanto vienu no šādām metodēm:
8.1. noslogots transportlīdzeklis ar nelielu ātrumu (5 km/h ± 1 km/h) pārbrauc pāri 80 mm augstam šķērslim (šķēršļa profils attēlots 2.attēlā). Nestacionārās svārstības, kuru frekvenci un rimšanu analizē, notiek, kad dzenošās ass riteņi pārbraukuši šķērsli;
8.2. noslogotu transportlīdzekli aiz šasijas novelk uz leju tādā veidā, lai slodze uz dzenošo asi pusotras reizes pārsniegtu statisko slodzi. Uz leju novilkto transportlīdzekli momentāni atbrīvo un analizē sekojošās svārstības;
8.3. noslogotu transportlīdzekli paceļ aiz šasijas tādā veidā, lai atsperotā masa tiktu pacelta 80mm virs dzenošās ass. Pacelto transportlīdzekli momentāni atbrīvo un analizē sekojošās svārstības.
2.attēls
9. Uz transportlīdzekļa starp dzenošo asi un šasiju tieši virs dzenošās ass uzstāda vertikālā pārvietojuma devēju. Izmantojot tā datus, aprēķina laika intervālu starp pirmo un otro saspiešanas maksimumu, lai noteiktu frekvenci F, un amplitūdas koeficientu, lai noteiktu rimšanu. Uz tandēma asu ratiņiem vertikālā pārvietojuma devēju uzstāda starp katru dzenošo asi un šasiju tieši virs katras dzenošās ass.
Ministru kabineta
2005.gada 12.jūlija noteikumiem Nr.500