
Ādažu novada domes saistošie noteikumi: Šajā laidienā 3 Pēdējās nedēļas laikā 4 Visi
Ādažu novada pašvaldības domes saistošie noteikumi Nr. 7/2026
Ādažos 2026. gada 26. martā
Grozījumi Ādažu novada pašvaldības domes 2026. gada 29. janvāra saistošajos noteikumos Nr. 1/2026 "Par Ādažu novada pašvaldības budžetu 2026. gadam"
APSTIPRINĀTI
ar Ādažu novada pašvaldības domes
2026. gada 26. marta sēdes lēmumu (prot. Nr. 6 § 36)
Izdoti saskaņā ar Pašvaldību likuma 10. panta pirmās daļas 1.
punktu
un 48. pantu, likuma "Par pašvaldību budžetiem" 16. un 17. pantu
un likuma "Par budžetu un finanšu vadību" 6. pantu
Izdarīt Ādažu novada pašvaldības domes 2026.gada 29. janvāra saistošajos noteikumos Nr. 1/2026 "Par Ādažu novada pašvaldības budžetu 2026. gadam" šādus grozījumus:
1. Izteikt noteikumu 2. punkta 2.3., 2.3.1., 2.3.2., 2.3.3. un 2.3.4. apakšpunktus šādā redakcijā:
2.3. "pamatbudžets 2026. gadā (1. pielikums):
2.3.1. ieņēmumi – EUR 67 519 371;
2.3.2. izdevumi – EUR 82 526 605;
2.3.3. plānotie aizņēmumi – EUR 10 307 001;
2.3.4. atmaksājamā summa Valsts kases kredītiem (2. pielikums) – EUR 3 907 497".
Ādažu novada pašvaldības domes
priekšsēdētāja vietnieks attīstības jautājumos G. Miglāns
1. pielikums
Ādažu novada pašvaldības domes 2026. gada 26. marta saistošajiem noteikumiem
Nr. 7/2026 "Grozījumi Ādažu novada pašvaldības domes 2026. gada 29. janvāra
saistošajos noteikumos Nr. 1/2026 "Par Ādažu novada pašvaldības budžetu 2026.
gadam""
Pamatbudžets 2026. gadam
IEŅĒMUMU DAĻA
|
Klasifikācijas kods |
Nr.p.k. |
Sadaļa |
2026. gada budžets |
26.03.2026. grozījumi |
Izmaiņas |
| 1.–5. | Nodokļu ieņēmumi |
44 951 568 |
44 951 568 |
|
|
| 1.1.0.0. | 1. | Iedzīvotāju ienākuma nodoklis |
41 652 563 |
41 652 563 |
|
| 1.1. | pārskata gada |
41 652 563 |
41 652 563 |
|
|
| 2.-4. | Nekustamā īpašuma nodokļu ieņēmumi |
3 224 005 |
3 224 005 |
|
|
| 4.1.1.0. | 2. | Nekustamā īpašuma nodoklis par zemi |
2 046 793 |
2 046 793 |
|
| 2.1. | pārskata gada |
1 945 591 |
1 945 591 |
|
|
| 2.2. | iepriekšējo gadu parādi |
101 202 |
101 202 |
|
|
| 4.1.2.0. | 3. | Nekustamā īpašuma nodoklis par ēkām |
446 928 |
446 928 |
|
| 3.1. | pārskata gada |
392 304 |
392 304 |
|
|
| 3.2. | iepriekšējo gadu parādi |
54 624 |
54 624 |
|
|
| 4.1.3.0. | 4. | Nekustamā īpašuma nodoklis par mājokļiem un inženierbūvēm |
730 284 |
730 284 |
|
| 4.1. | pārskata gada |
670 099 |
670 099 |
|
|
| 4.2. | iepriekšējo gadu parādi |
60 185 |
60 185 |
|
|
| 5.5.3.0. | 5. | Nodokļi un maksājumi par tiesībām lietot atsevišķas preces |
75 000 |
75 000 |
|
| 5.1. | Azartspēļu nodoklis |
5 000 |
5 000 |
|
|
| 5.2. | Dabas resursu nodoklis |
70 000 |
70 000 |
|
|
| 9.0.0.0. | 6. | Valsts (pašvaldību) un kancelejas nodevas |
144 300 |
144 300 |
|
| 6.1. | valsts nodevas |
6 100 |
6 100 |
|
|
| 6.1.1. | t.sk.: – par apliecinājumiem un citu funkciju pildīšanu bāriņtiesā |
1 100 |
1 100 |
|
|
| 6.1.2. | t.sk.: – par civilstāvokļa aktu reģistrēšanu, grozīšanu un papildināšanu |
4 500 |
4 500 |
|
|
| 6.1.3. | t.sk.: – pārējās valsts nodevas, kuras ieskaita pašvaldību budžetā |
500 |
500 |
|
|
| 6.2. | pašvaldību nodevas |
138 200 |
138 200 |
|
|
| 6.2.1. | t.sk.: – nodeva par domes izstrādāto oficiālo dokumentu saņemšanu |
100 |
100 |
|
|
| 6.2.2. | t.sk.: – nodeva par izklaidējoša rakstura pasākumu sarīkošanu publiskās vietās |
4 300 |
4 300 |
|
|
| 6.2.3. | t.sk.: – nodeva par tirdzniecību publiskās vietās |
37 000 |
37 000 |
|
|
| 6.2.4. | t.sk.: – nodeva par reklāmas, afišu un sludinājumu izvietošanu publiskās vietās |
22 000 |
22 000 |
|
|
| 6.2.5. | t.sk.: – nodeva par būvatļaujas saņemšanu |
70 000 |
70 000 |
|
|
| 6.2.6. | t.sk.: – pārējās nodevas |
4 800 |
4 800 |
|
|
| 10.0.0.0. | 7. | Naudas sodi un sankcijas |
130 000 |
130 000 |
|
| 7.1. | Naudas sodi un sankcijas |
90 000 |
90 000 |
|
|
| 7.2. | Naudas sodi par pārkāpumiem ceļu satiksmē |
40 000 |
40 000 |
|
|
| 12.0.0.0. | 8. | Pārējie nenodokļu ieņēmumi |
38 728 |
38 728 |
|
| 8.1. | citi nenodokļu ieņēmumi |
28 728 |
28 728 |
|
|
| 8.2. | ieņēmumi no zvejas tiesību nomas |
10 000 |
10 000 |
|
|
| 13.0.0.0. | 9. | Ieņēmumi no pašvaldības īpašumu pārdošana |
– |
– |
|
| 18.6.0.0. | 10. | Valsts budžeta transferti un projektu finansējums |
21 107 234 |
21 152 808 |
45 574 |
| 10.1. | Valsts budžeta transferti |
10 832 171 |
10 832 211 |
40 |
|
| 10.1.1. | dotācija mākslas skolas algām |
849 067 |
849 067 |
|
|
| 10.1.2. | dotācija sporta skolai |
339 462 |
339 462 |
|
|
| 10.1.3. | dotācija skolēnu ēdināšanai |
388 794 |
388 794 |
|
|
| 10.1.4. | dotācijas pedagogu algām (vsk., PII) |
7 742 323 |
7 742 323 |
|
|
| 10.1.4.1. | t.sk.: – piecgadīgo bērnu apmācība |
997 247 |
997 247 |
|
|
| 10.1.4.2. | t.sk.: – skolotāju algām |
6 172 209 |
6 172 209 |
|
|
| 10.1.4.3. | t.sk.: – interešu izglītība |
572 867 |
572 867 |
|
|
| 10.1.5. | dotācija māksliniecisko kolektīvu vadītāju atalgojumam |
26 226 |
26 226 |
|
|
| 10.1.6. | Projekts "Skolas soma" Ādaži |
42 000 |
42 080 |
80 |
|
| 10.1.7. | Projekts "Skolas soma" Carnikava |
15 980 |
15 940 |
-40 |
|
| 10.1.8. | dotācija asistenta pakalpojumu nodrošināšanai |
642 000 |
642 000 |
|
|
| 10.1.9. | valsts dotācija ceļu uzturēšanai |
401 002 |
401 002 |
|
|
| 10.1.10. | dotācijas Ukrainas pilsoņu atbalstam |
52 500 |
52 500 |
|
|
| 10.1.11. | dotācijas nodarbinātības pasākumiem |
5 000 |
5 000 |
|
|
| 10.1.12. | pārējās dotācijas |
327 817 |
327 817 |
|
|
| 18.6.3.0. | 10.2. | ES struktūrfondu līdzekļi un aktivitāšu līdzfinansējumi |
9 327 908 |
9 373 442 |
45 534 |
| 10.2.1. | Projekts "Infrastruktūras uzlabošana uzņēmējdarbības attīstībai Ādažos" |
918 723 |
918 723 |
|
|
| 10.2.2. | Publiskās ārtelpas izveide Gaujas ielā 31 Ādažos |
357 424 |
357 424 |
|
|
| 10.2.3. | ES Kohēzijas fonda projekts "STEM un pilsoniskās līdzdalības norises plašākai izglītības pieredzei un karjeras izvēlei" |
7 315 |
7 315 |
|
|
| 10.2.4. | Pedagogu profesionālā atbalsta sistēmas izveide |
60 717 |
106 251 |
45 534 |
|
| 10.2.5. | SAM 9.2.4.2. projekts "Pasākumi vietējās sabiedrības veselības veicināšanai Ādažu novadā" |
9 799 |
9 799 |
|
|
| 10.2.6. | Krastupes ielas projekts |
971 940 |
971 940 |
|
|
| 10.2.7. | Jaunas pirmsskolas izglītības iestādes Podniekos būvniecība |
1 403 714 |
1 403 714 |
|
|
| 10.2.8. | Projekts "Izglītības iestāžu nodrošinājums pilnveidotā vispārējās izglītības satura kvalitatīvai ieviešanai Ādažu novadā" |
529 141 |
529 141 |
|
|
| 10.2.9. | Projekts "Digitālā darba ar jaunatni sistēmas attīstība pašvaldībās" |
714 |
714 |
|
|
| 10.2.10. | "Mobilitātes punkta infrastruktūras izveidošana Rīgas metropoles areālā – "Carnikava"" |
345 549 |
345 549 |
|
|
| 10.2.11. | Maģistrālā veloceļa izbūve Rīga–Carnikava |
3 050 102 |
3 050 102 |
|
|
| 10.2.12. | LEADER projektu realizācija |
49 416 |
49 416 |
|
|
| 10.2.13. | "Upesceļi II/Ūdenstūrisma pieejamības veicināšana (RiverwaysII/Facilitating access to watertourism activities)". |
36 495 |
36 495 |
|
|
| 10.2.14. | Projekts "Bioloģiskās daudzveidības saglabāšana un antropogēnās slodzes mazināšana Natura2000 teritorijās Ādažu novadā" |
768 795 |
768 795 |
|
|
| 10.2.15. | Multimodāls sabiedriskā transporta tīkls, 2. kārta" |
309 907 |
309 907 |
|
|
| 10.2.16. | Patvertņu pielāgošana un aprīkošana civiliem aizsardzības mērķiem |
97 353 |
97 353 |
|
|
| 10.2.17. | Šķiroto atkritumu savākšanas laukums Laivu ielā 12, Carnikavā |
140 804 |
140 804 |
|
|
| 10.2.18. | Laveru sūkņu stacijas pārbūve |
270 000 |
270 000 |
|
|
| 10.3. | IIN budžeta dotācija |
947 155 |
947 155 |
|
|
| 19.2.0.0. | 11. | Pašvaldību budžeta transferti |
355 000 |
355 000 |
|
| 11.1. | no citām pašvaldībām izglītības funkciju nodrošināšanai |
355 000 |
355 000 |
|
|
| 21.0.0.0. | 12. | Budžeta iestāžu ieņēmumi |
733 037 |
746 967 |
13 930 |
| 12.1. | maksa par izglītības pakalpojumiem |
175 118 |
175 118 |
|
|
| 12.1.1. | ieņēmumi no vecāku maksām (PII) |
12 318 |
12 318 |
|
|
| 12.1.2. | ieņēmumi no vecāku maksām (ĀNMS, BJSS) |
162 800 |
162 800 |
|
|
| 12.2. | pārrobežu projektu ieņēmumi |
17 472 |
17 472 |
|
|
| 12.2.1. | ERASMUS + projekti |
17 472 |
17 472 |
|
|
| 12.3. | ieņēmumi par nomu un īri |
339 912 |
339 912 |
|
|
| 12.3.1. | ieņēmumi par telpu nomu |
236 912 |
236 912 |
|
|
| 12.3.2. | ieņēmumi par zemes nomu |
103 000 |
103 000 |
|
|
| 12.4. | budžeta iestāžu maksas pakalpojumi |
110 535 |
110 535 |
|
|
| 12.4.1. | budžeta iestāžu maksas pakalpojumi |
108 535 |
108 535 |
|
|
| 12.4.2. | ieņēmumi no biļešu realizācijas |
2 000 |
2 000 |
|
|
| 12.5. | pārējie ieņēmumi/stāvvietu ieņēmumi |
90 000 |
103 930 |
13 930 |
|
|
KOPĀ IEŅĒMUMI: |
67 459 867 |
67 519 371 |
59 504 |
||
| F21010000 AS | 13. | Naudas līdzekļu atlikums gada sākumā |
8 710 284 |
8 711 325 |
1 041 |
| 13.1. | Naudas atlikums iezīmētiem mērķiem |
2 007 294 |
2 007 294 |
|
|
| 13.2. | Naudas atlikums pašvaldības līdzekļi |
6 702 990 |
6 704 031 |
1 041 |
|
| F40020010 | 14. | Valsts Kases kredīti |
10 307 001 |
10 307 001 |
|
| 14.1. | Jaunas pirmsskolas izglītības iestādes Podniekos būvniecība |
7 506 469 |
7 506 469 |
|
|
| 14.2. | Ādažu vidusskolas D korpusa siltināšana |
49 699 |
49 699 |
|
|
| 14.3. | Dzirnupes ielas tilta pārbūve I kārta |
479 480 |
479 480 |
|
|
| 14.4. | Projekts "Infrastruktūras uzlabošana uzņēmējdarbības attīstībai Ādažos" |
240 428 |
240 428 |
|
|
| 14.5. | Krastupes ielas projekts |
1 153 191 |
1 153 191 |
|
|
| 14.6. | "Mobilitātes punkta infrastruktūras izveidošana Rīgas metropoles areālā – "Carnikava"" |
8 588 |
8 588 |
|
|
| 14.7. | Maģistrālā veloceļa izbūve Rīga–Carnikava |
869 146 |
869 146 |
|
|
|
KOPĀ PIEEJAMAIS FINANSĒJUMS: |
86 477 152 |
86 537 697 |
60 545 |
||
IZDEVUMU DAĻA
|
Klasifikācijas kods |
Nr.p.k. |
Sadaļa |
2026. gada budžets |
26.03.2026. grozījumi |
Izmaiņas |
| 01.000 | 1. | Vispārējie valdības dienesti |
12 115 776 |
12 133 954 |
18 178 |
| 1.1. | pārvalde |
2 251 986 |
2 270 164 |
18 178 |
|
| 1.2. | deputāti |
339 144 |
339 144 |
|
|
| 1.3. | administratīvā komisija |
43 957 |
43 957 |
|
|
| 1.4. | iepirkumu komisija |
45 157 |
45 157 |
|
|
| 1.5. | vēlēšanu komisija |
99 246 |
99 246 |
|
|
| 1.6. | pārējās komisijas |
16 344 |
16 344 |
|
|
| 1.7. | aizņēmumu procentu maksājumi |
1 402 431 |
1 402 431 |
|
|
| 1.8. | Iemaksas PFIF |
7 376 681 |
7 376 681 |
|
|
| 1.9. | Informācijas tehnoloģiju nodaļa, vispārējas nozīmes dienestu darbība un pakalpojumi – datortīkla uzturēšana |
540 830 |
540 830 |
|
|
| 03.000 | 2. | Sabiedriskā kārtība un drošība |
1 223 875 |
1 223 875 |
|
| 04.000 | 3. | Ekonomiskā darbība |
718 532 |
718 532 |
|
| 3.1. | Sabiedriskās attiecības, laikraksts |
236 187 |
236 187 |
|
|
| 3.2. | Autoceļu fonds |
482 345 |
482 345 |
|
|
| 05.000 | 4. | Vides aizsardzība |
35 606 |
35 606 |
|
| 4.1. | Dabas resursu nodokļa izlietojums |
35 606 |
35 606 |
|
|
| 06.000 | 5. | Pašvaldības teritoriju un mājokļu apsaimniekošana |
24 806 240 |
24 823 592 |
17 352 |
| 5.1. | Izdevumi neparedzētiem gadījumiem |
70 000 |
70 000 |
|
|
| 5.2. | Līdzdalības budžets |
81 528 |
81 528 |
|
|
| 5.3. | Būvvalde |
356 794 |
356 794 |
|
|
| 5.4. | Teritorijas plānošanas nodaļa |
291 217 |
291 217 |
|
|
| 5.5. | Attīstības un projektu nodaļa |
12 178 159 |
12 159 685 |
-18 474 |
|
| 5.5.1. | nodaļa |
741 080 |
711 716 |
-29 364 |
|
| 5.5.2. | Projekts "Sabiedrība ar dvēseli" |
40 150 |
40 150 |
|
|
| 5.5.3. | Iedzīvotāju iniciatīvas un konkursi. |
11 400 |
11 400 |
|
|
| 5.5.4. | TEP "Atjaunojamo energoresursu izmantošana Ādažu novadā" (EUCF) |
30 654 |
30 654 |
|
|
| 5.5.5. | "Mobilitātes punkta infrastruktūras izveidošana Rīgas metropoles areālā – "Carnikava"" |
354 137 |
354 137 |
|
|
| 5.5.6. | Maģistrālā veloceļa izbūve Rīga–Carnikava |
3 925 860 |
3 925 860 |
|
|
| 5.5.7. | "Upesceļi II/Ūdenstūrisma pieejamības veicināšana (RiverwaysII/Facilitating access to watertourism activities)". |
42 495 |
42 495 |
|
|
| 5.5.8. | Projekts "Infrastruktūras uzlabošana uzņēmējdarbības attīstībai Ādažos" |
1 271 381 |
1 271 381 |
|
|
| 5.5.9. | Publiskās ārtelpas izveide Gaujas ielā 31 Ādažos |
660 558 |
660 558 |
|
|
| 5.5.10. | LIFE NewBauhaus projekts |
850 912 |
861 802 |
10 890 |
|
| 5.5.11. | "Blusu" kroga pārbūves tehniskā projekta izstrāde. |
404 972 |
404 972 |
|
|
| 5.5.12. | Krastupes ielas projekts |
2 415 898 |
2 415 898 |
|
|
| 5.5.13. | Projekts "Bioloģiskās daudzveidības saglabāšana un antropogēnās slodzes mazināšana Natura2000 teritorijās Ādažu novadā" |
987 120 |
987 120 |
|
|
| 5.5.14. | Multimodāls sabiedriskā transporta tīkls, 2. kārta" |
326 348 |
326 348 |
|
|
| 5.5.15. | Patvertņu pielāgošana un aprīkošana civiliem aizsardzības mērķiem |
115 194 |
115 194 |
|
|
| 5.6. | Objektu un teritorijas apsaimniekošana un uzturēšana |
11 828 542 |
11 864 368 |
35 826 |
|
| 5.6.1. | Nekustamā īpašumas nodaļa |
209 419 |
215 419 |
6 000 |
|
| 5.6.2. | SAM 5.1.1. Pretplūdu pasākumi Ādažu centra polderī, Ādažu novadā |
191 255 |
191 255 |
|
|
| 5.6.3. | Jaunais plūdu projekts – 2.1.3.2. "Nacionālas nozīmes plūdu un krasta erozijas pasākumi" 1. daļa | 193 242 | 193 242 |
|
|
| 5.6.4. | Vecštāles ceļa asfaltēšana (AM finansējums) | 888 703 | 888 703 |
|
|
| 5.6.5. | Dzirnupes ielas tilta pārbūve I kārta, MRG būve, Nr. 02-20.1/25/167 | 575 345 | 575 345 |
|
|
| 5.6.6. | Šķiroto atkritumu savākšanas laukums Laivu ielā 12, Carnikavā | 268 729 | 268 729 |
|
|
| 5.6.7. | Laveru sūkņu stacijas pārbūve | 613 434 | 613 434 |
|
|
| 5.6.8. | P/A "Carnikavas komunālserviss" teritorijas un īpašumu apsaimniekošana |
6 348 646 |
6 378 472 |
29 826 |
|
| 5.6.9. | Investīcijas energosaimniecības uzlabošanā |
516 833 |
516 833 |
|
|
| 5.6.10. | Investīcijas ceļu, ielu infrastruktūras attīstībā un uzlabošanā |
1 925 648 |
1 925 648 |
|
|
| 5.6.11. | Investīcijas hidromeliorācijas uzturēšanā un attīstībā |
97 288 |
97 288 |
|
|
| 08.000 | 6. | Atpūta, kultūra un reliģija |
2 992 843 |
3 010 993 |
18 150 |
| 6.1. | Kultūra |
1 635 359 |
1 635 359 |
|
|
| 6.1.1. | Ādažu kultūras centrs |
815 272 |
815 272 |
|
|
| 6.1.2. | Tautas nams "Ozolaine" |
566 368 |
566 368 |
|
|
| 6.1.3. | Muzejs un Carnikavas novadpētniecības centrs |
207 547 |
207 547 |
|
|
| 6.1.4. | Tūrisms |
46 172 |
46 172 |
|
|
| 6.2. | Ādažu bibliotēka |
162 922 |
162 922 |
|
|
| 6.3. | Carnikavas bibliotēka |
77 820 |
77 820 |
|
|
| 6.4. | Sporta daļa |
1 091 514 |
1 109 664 |
18 150 |
|
| 6.5. | Evaņģēliski luteriskās draudzes |
6 000 |
6 000 |
|
|
| 6.6. | Multihalle |
19 228 |
19 228 |
|
|
| 10.000 | 7. | Sociālā aizsardzība |
3 909 733 |
3 909 733 |
|
| 7.1. | Sociālais dienests |
3 179 724 |
3 179 724 |
|
|
| 7.1.1. | Sociālās funkcijas nodrošināšana |
685 615 |
685 615 |
|
|
| 7.1.2. | Pabalsti |
1 850 342 |
1 850 342 |
|
|
| 7.1.3. | Mērķdotācija |
– |
– |
|
|
| 7.1.4. | Asistentu pakalpojumi |
642 000 |
642 000 |
|
|
| 7.1.5. | Uzturēšanas izdevumi (CKS) |
1 767 |
1 767 |
|
|
| 7.2. | Stipendiāti / bezdarbnieki |
6 869 |
6 869 |
|
|
| 7.3. | SAM 9311 Deinstitucionalizācija – Dienas centrs |
454 885 |
454 885 |
|
|
| 7.3.1. | DI centra uzturēšanas izdevumi |
443 236 |
443 236 |
|
|
| 7.3.2. | DI centra uzturēšanas izdevumi (CKS) |
11 649 |
11 649 |
|
|
| 7.4. | Bāriņtiesa |
167 400 |
167 400 |
|
|
| 7.5. | Dotācijas Ukrainas pilsoņu atbalstam |
53 636 |
53 636 |
|
|
| 7.6. | SAM 9.2.4.2. projekts "Pasākumi vietējās sabiedrības veselības veicināšanai" |
47 219 |
47 219 |
|
|
| 09.000 | 8. | Izglītība |
36 616 746 |
36 670 320 |
53 574 |
| 8.1. | Norēķini ar pašvaldību budžetiem par izglītības iestāžu pakalpojumiem |
800 000 |
800 000 |
|
|
| 8.2. | Ādažu Pirmsskolas izglītības iestāde |
2 528 122 |
2 527 822 |
-300 |
|
| 8.2.1. | pedagogu algas, grāmatas (mērķdotācija) |
386 470 |
386 470 |
|
|
| 8.2.2. | pārējās izmaksas |
1 691 795 |
1 691 495 |
-300 |
|
| 8.2.3. | ES Kohēzijas fonda projekts "STEM un pilsoniskās līdzdalības norises plašākai izglītības pieredzei un karjeras izvēlei" |
2 857 |
2 857 |
|
|
| 8.2.4. | uzturēšanas izmaksas (CKS) |
447 000 |
447 000 |
|
|
| 8.3. | Kadagas PII |
1 472 568 |
1 472 568 |
|
|
| 8.3.1. | pedagogu algas, grāmatas (mērķdotācija) |
167 072 |
167 072 |
|
|
| 8.3.2. | pārējās izmaksas |
1 068 814 |
1 068 814 |
|
|
| 8.3.3. | ES Kohēzijas fonda projekts "STEM un pilsoniskās līdzdalības norises plašākai izglītības pieredzei un karjeras izvēlei" |
1 643 |
1 643 |
|
|
| 8.3.4. | uzturēšanas izmaksas (CKS) |
235 039 |
235 039 |
|
|
| 8.4. | Pirmsskolas izglītības iestāde "Riekstiņš" |
1 764 581 |
1 764 581 |
|
|
| 8.4.1. | pedagogu algas, grāmatas (mērķdotācija) |
201 671 |
201 671 |
|
|
| 8.4.2. | pārējās izmaksas |
1 322 431 |
1 322 431 |
|
|
| 8.4.3. | ES Kohēzijas fonda projekts "STEM un pilsoniskās līdzdalības norises plašākai izglītības pieredzei un karjeras izvēlei" |
2 219 |
2 219 |
|
|
| 8.4.4. | uzturēšanas izmaksas (CKS) |
238 260 |
238 260 |
|
|
| 8.5. | Pirmsskolas izglītības iestādes "Piejūra" |
1 597 860 |
1 597 860 |
|
|
| 8.5.1. | pedagogu algas, grāmatas (mērķdotācija) |
213 378 |
213 378 |
|
|
| 8.5.2. | pārējās izmaksas |
1 205 664 |
1 205 664 |
|
|
| 8.5.3. | ES Kohēzijas fonda projekts "STEM un pilsoniskās līdzdalības norises plašākai izglītības pieredzei un karjeras izvēlei" |
2 496 |
2 496 |
|
|
| 8.5.4. | uzturēšanas izmaksas (CKS) |
176 322 |
176 322 |
|
|
| 8.6. | Privātās izglītības iestādes |
3 367 469 |
3 367 469 |
|
|
| 8.7. | Carnikavas vidusskola |
3 231 179 |
3 231 139 |
-40 |
|
| 8.7.1. | pedagogu algas, grāmatas (mērķdotācija) |
1 830 248 |
1 830 248 |
|
|
| 8.7.2. | ēdināšana (mērķdotācija) |
104 143 |
104 143 |
|
|
| 8.7.3. | pārējās izmaksas |
867 411 |
867 411 |
|
|
| 8.7.4. | uzturēšanas izmaksas (CKS) |
329 532 |
329 532 |
|
|
| 8.7.5. | projekts "Skolas soma" |
17 776 |
17 736 |
-40 |
|
| 8.7.6. | ES Kohēzijas fonda projekts "STEM un pilsoniskās līdzdalības norises plašākai izglītības pieredzei un karjeras izvēlei" |
15 473 |
15 473 |
|
|
| 8.7.7. | projekti Erasmus+; NordPlus |
66 596 |
66 596 |
|
|
| 8.8. | Ādažu vidusskola |
8 577 054 |
8 577 434 |
380 |
|
| 8.8.1. | pedagogu algas, grāmatas (mērķdotācija) |
4 972 819 |
4 972 819 |
|
|
| 8.8.2. | pārējās izmaksas | 1 028 492 | 1 028 792 |
300 |
|
| 8.8.3. | uzturēšanas izmaksas (CKS) | 776 305 | 776 305 |
|
|
| 8.8.4. | projekts Erasmus+ | 70 991 | 70 991 |
|
|
| 8.8.5. | projekts "Skolas soma" | 42 102 | 42 182 |
80 |
|
| 8.8.6. | ES Kohēzijas fonda projekts "STEM un pilsoniskās līdzdalības norises plašākai izglītības pieredzei un karjeras izvēlei" | 42 376 | 42 376 |
|
|
| 8.8.7. | Ādažu vidusskolas D korpusa siltināšana |
59 199 |
59 199 |
|
|
| 8.8.8. | sākumskolas uzturēšanas izmaksas |
702 301 |
702 301 |
|
|
| 8.8.9. | sākumskolas uzturēšanas izmaksas (CKS) |
393 201 |
393 201 |
|
|
| 8.8.10. | sākumskolas ēdināšana (mērķdotācija) |
250 743 |
250 743 |
|
|
| 8.8.11. | PII |
238 525 |
238 525 |
|
|
| 8.8.11.1. | pedagogu algas (mērķdotācija) |
49 111 |
49 111 |
|
|
| 8.8.11.2. | uzturēšana |
170 322 |
170 322 |
|
|
| 8.8.11.3. | ES Kohēzijas fonda projekts "STEM un pilsoniskās līdzdalības norises plašākai izglītības pieredzei un karjeras izvēlei" |
1 221 |
1 221 |
|
|
| 8.8.11.4. | uzturēšanas izmaksas (CKS) |
17 871 |
17 871 |
|
|
| 8.9. | Ādažu novada mākslu skola |
1 995 994 |
1 995 994 |
|
|
| 8.9.1. | pedagogu algas (mērķdotācija) |
849 067 |
849 067 |
|
|
| 8.9.2. | pārējās izmaksas |
1 146 927 |
1 146 927 |
|
|
| 8.10. | Sporta skola |
915 221 |
915 221 |
|
|
| 8.10.1. | pedagogu algas (mērķdotācija) |
339 485 |
339 485 |
|
|
| 8.10.2. | Pašvaldības finansējums |
575 736 |
575 736 |
|
|
| 8.11. | Izglītības un jauniešu lietu pārvalde |
753 249 |
806 783 |
53 534 |
|
| 8.12. | Līdzfinansējums skolēnu dalībai konkursos |
2 000 |
2 000 |
|
|
| 8.13. | Jaunas pirmsskolas izglītības iestādes Podniekos būvniecība |
8 910 183 |
8 910 183 |
|
|
| 8.14. | Teritorijas novērtēšana pirms būvprojekta izstrādes un būvprojekts jaunas pamatskolas izveidei Ādažu pilsētā |
78 747 |
78 747 |
|
|
| 8.15. | Izglītības iestāžu nodrošinājums pilnveidotā vispārējās izglītības satura kvalitatīvai ieviešanai Ādažu novadā |
622 519 |
622 519 |
|
|
|
KOPĀ IZDEVUMI: |
82 419 351 |
82 526 605 |
107 254 |
||
| F40020020 | 9. | Kredītu pamatsummas atmaksa |
3 907 497 |
3 907 497 |
|
|
PAVISAM KOPĀ IZDEVUMI: |
86 326 848 |
86 434 102 |
107 254 |
||
|
F21010000 AB |
- |
Naudas līdzekļu atlikums uz gada beigām |
150 304 |
103 595 |
-46 709 |
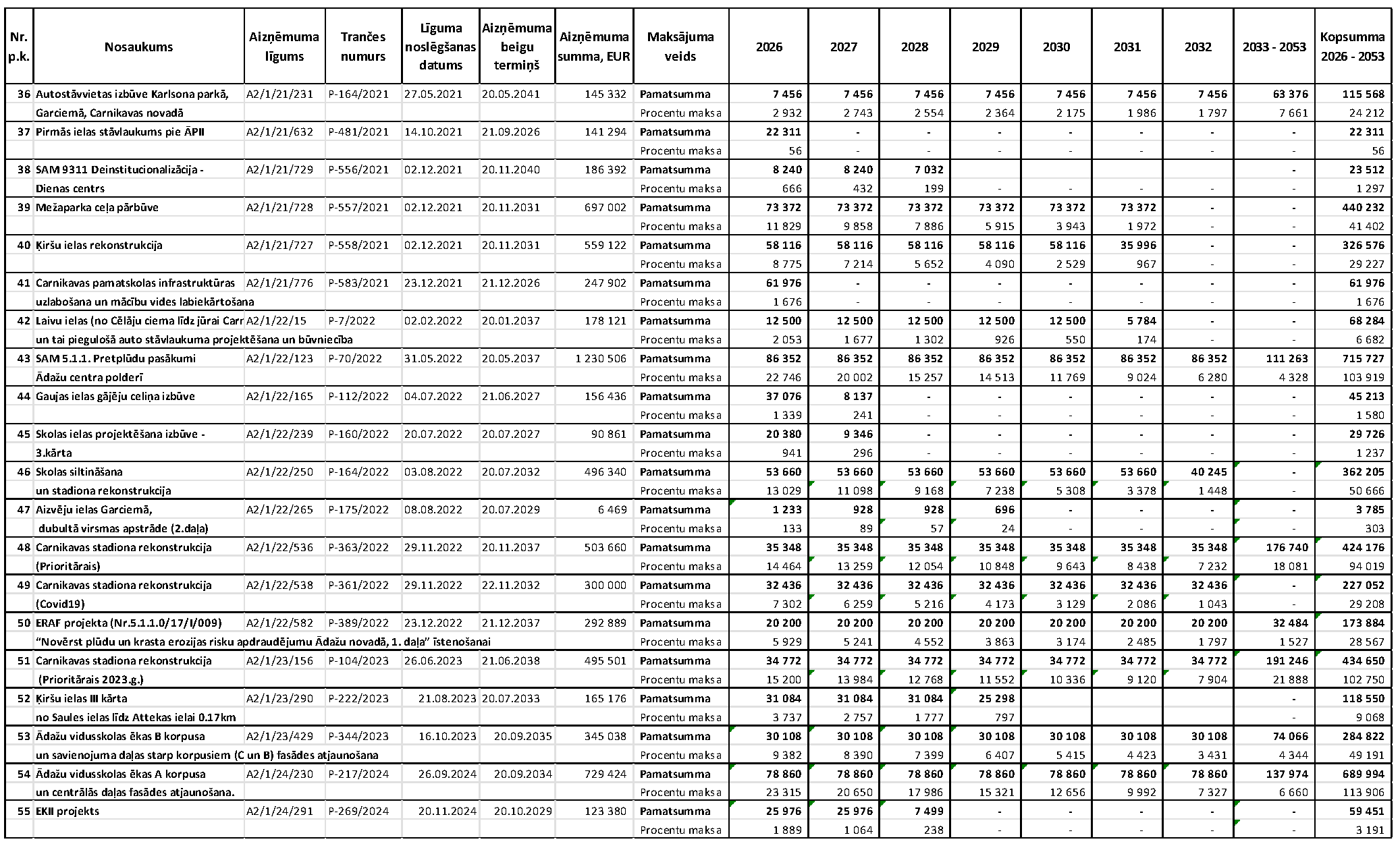
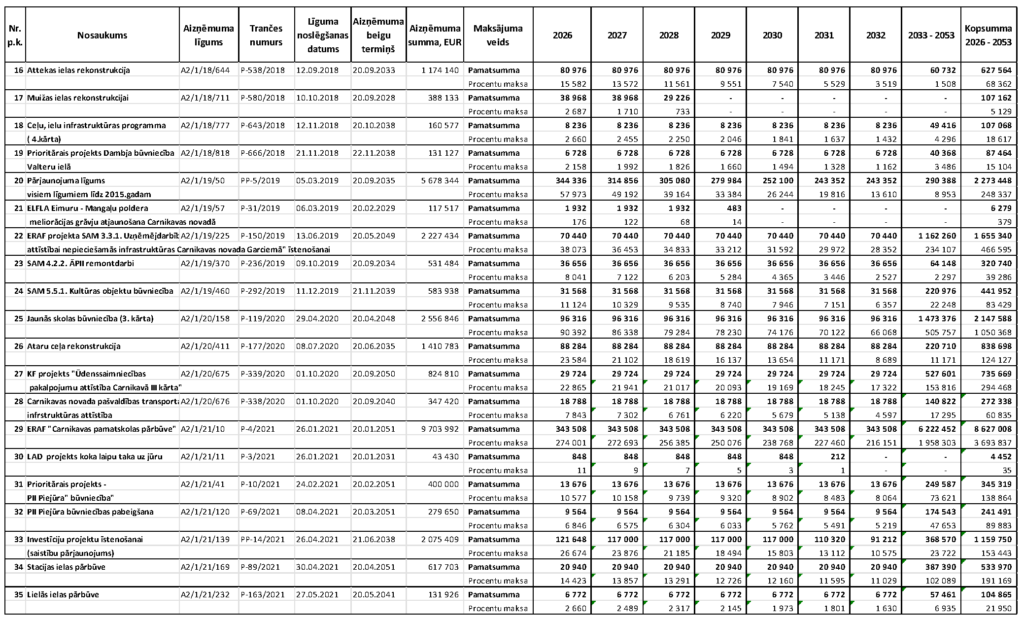
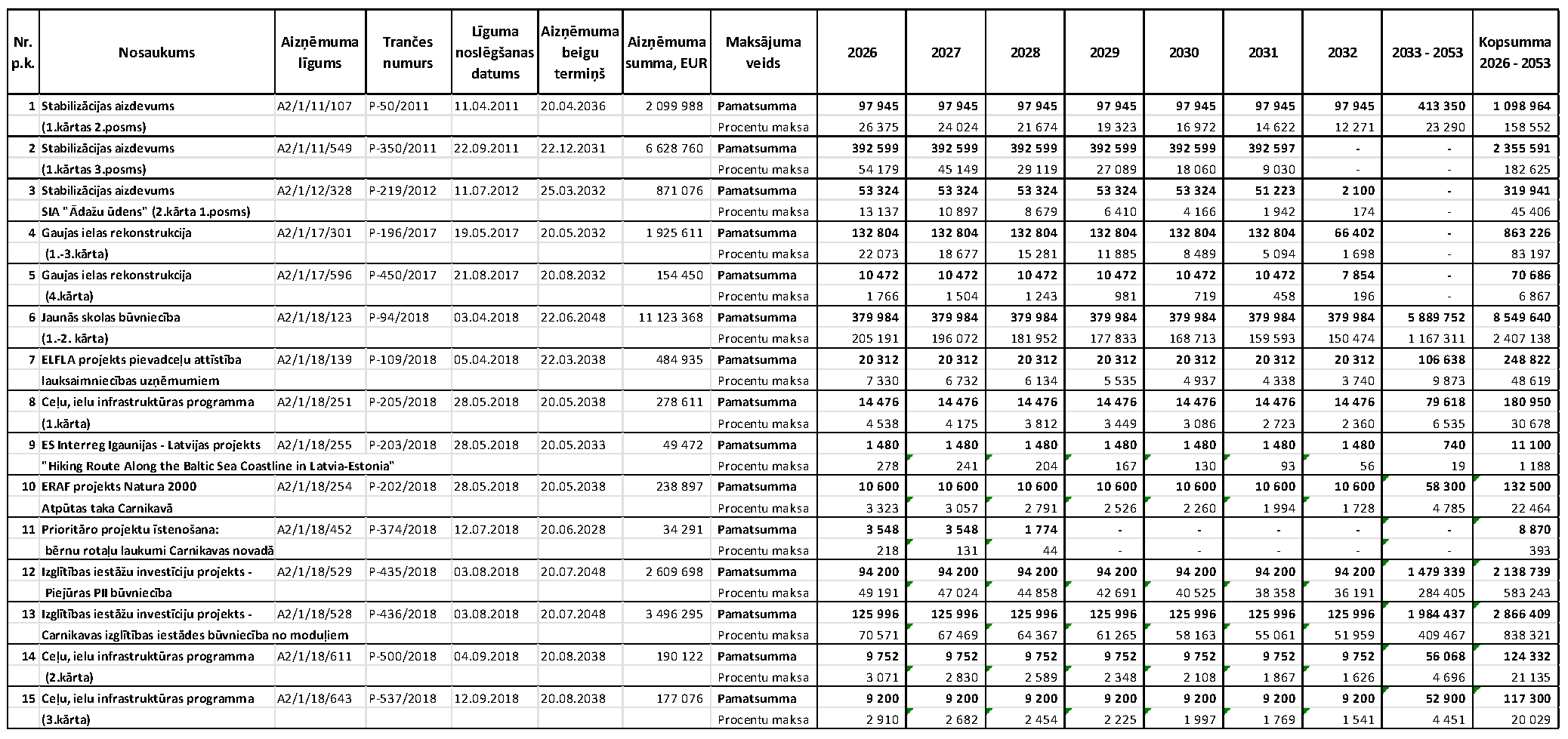
2. pielikums
Ādažu novada pašvaldības domes 2026. gada 26. marta saistošajiem noteikumiem
Nr. 7/2026 "Grozījumi Ādažu novada pašvaldības domes 2026. gada 29. janvāra
saistošajos noteikumos Nr. 1/2026 "Par Ādažu novada pašvaldības budžetu 2026.
gadam""
Aizņēmumu un citu ilgtermiņa saistību pārskats
Ādažu novada pašvaldības domes
priekšsēdētāja vietnieks attīstības jautājumos G. Miglāns
Paskaidrojuma raksts
Ādažu novada pašvaldības domes budžeta grozījumi 2026. gadam apstiprināti 2026. gada 26. martā. Budžeta grozījumi sastāv no pamatbudžeta, kuru veido ieņēmumu un izdevumu sadaļas, kā arī aizņēmumu un citu ilgtermiņa saistību pārskata. Pašvaldība ir ņēmusi vērā visu funkciju vajadzības un sabalansējusi pieejamos finanšu līdzekļus tā, lai nodrošinātu uzlabojumus sabiedrībai svarīgās jomās saskaņā ar pašvaldības attīstības plānošanas dokumentos noteiktajiem mērķiem.
Saistošie noteikumi paredz šādus grozījumus budžetā:
• Precizēts summu sadalījums ieņēmumos un izdevumos starp Ādažu un Carnikavas vidusskolām projekta "Skolas soma" ietvaros. Ādažu vidusskolai papildus 80 euro un Carnikavas vidusskolai samazinājums 40 euro.
• Precizēta projekta "Pedagogu profesionālā atbalsta sistēmas izveide" naudas plūsma, palielinot ārfinansējuma apjomu un izdevumus par 45’534 euro.
• Saskaņā ar vienošanos ar Ropažu pašvaldību katru gadu tiek noteikts, kādā apjomā Ropažu pašvaldība veic līdzfinansējumu Baltezera kapu uzturēšanā. 2026. gadā līdzfinansējuma apjoms 13’930 euro. Tā kā 2025. gadā netika iztērēts plānotais apjoms, tad neiztērētā finansējuma daļa tiks atmaksāta Ropažu pašvaldībai 29’826 euro apmērā.
• Sagatavojot gada noslēgumu pārskatus, konstatēts, ka nesadalītais konta atlikums ir par 1’041 euro lielāks, kas uz gada sākumu kopumā veido 6’704’031 euro.
• Saskaņā ar Ādažu novada domes 26.02.2026. lēmumu Nr. 83, kur tiek pārcelta pozīcija kopienu speciālists no Attīstības daļas uz pārvaldi, arī izdevumu sadaļā veikta korekcija 28’474 euro pārcelšana, kopienu speciālista izmaksas, no sadaļas "Attīstības un projektu nodaļa" uz sadaļu "Vispārējie valdības dienesti, pārvalde".
• Tā kā pašvaldībā divus mēnešus priekšsēdētāja vakance ir brīva, tad ekonomija uz atalgojumu 10’296 euro apmērā tiek novirzīta uz nesadalīto konta atlikumu.
• Saskaņā ar Domes 26.02.2026. lēmumu Nr. 76, pārcelti EUR 10'000 no nesadalītā konta atlikuma Pirmā iela 42A metāla konstrukciju un pamatu detalizētai izpētei. Pēc iepirkuma procedūras noslēgšanās summa ir 10’890 euro, papildus nepieciešamie 890 euro pārcelti no sadaļas no "Attīstības un projektu nodaļa" uz sadaļu "LIFE NewBauhaus projekts".
• Zemes nodalīšanai Zvejnieku iela 23 un Tulpju iela 5, lai daļu nodotu SIA "Ādažu namsaimnieks", pārcelti 6’000 euro no nesadalītā konta atlikuma zemes ierīcības projekta izstrādei,
Kopumā Ādažu novada pašvaldības domes budžeta grozījumi paredz ieņēmumu palielinājumu par 59’504 euro, nosakot budžeta ieņēmumus 67’519’371 euro apmērā un izdevumu daļas palielinājumu par 107’254 euro, nosakot budžeta izdevumus 82’526’605 euro apmērā. Plānoto aizņēmumu apjoms 2026. gadā ir 10’307’001 euro apmērā, un aizņēmumu pamatsummas atmaksa 2026. gadā plānota 3’907’497 euro apmērā.
Ādažu novada pašvaldības domes
priekšsēdētāja vietnieks attīstības jautājumos G. Miglāns