
Ādažu novada domes saistošie noteikumi: Šajā laidienā 2 Pēdējās nedēļas laikā 2 Visi
Ādažu novada pašvaldības domes saistošie noteikumi Nr. 47/2025
Ādažos 2025. gada 22. decembrī
Grozījumi Ādažu novada pašvaldības domes 2025. gada 22. janvāra saistošajos noteikumos Nr. 1/2025 "Par Ādažu novada pašvaldības budžetu 2025. gadam"
APSTIPRINĀTI
ar Ādažu novada pašvaldības domes
2025. gada 22. decembra sēdes lēmumu (prot. Nr. 31 § 31)
Izdoti saskaņā ar
Pašvaldību likuma 10. panta pirmās daļas 1. punktu un 48. pantu,
likuma "Par pašvaldību budžetiem" 16. un 17. pantu un
likuma "Par budžetu un finanšu vadību" 6. pantu
Izdarīt Ādažu novada pašvaldības domes 2025. gada 22. janvāra saistošajos noteikumos Nr. 1/2025 "Par Ādažu novada pašvaldības budžetu 2025. gadam" šādus grozījumus:
1. Izteikt noteikumu 2. punkta 2.3., 2.3.1., 2.3.2., 2.3.3. un 2.3.4. apakšpunktus šādā redakcijā:
2.3. "pamatbudžets 2025. gadā (1. pielikums):
2.3.1. ieņēmumi – EUR 62 890 468;
2.3.2. izdevumi – EUR 72 331 447;
2.3.3. plānotie aizņēmumi – EUR 6 668 106;
2.3.4. atmaksājamā summa Valsts kases kredītiem (2. pielikums) – EUR 3 702 737".
Ādažu novada pašvaldības domes
priekšsēdētājas vietnieks attīstības jautājumos G. Miglāns
1. pielikums
Ādažu novada pašvaldības domes 2025. gada 22. decembra saistošajiem noteikumiem
Nr. 47/2025 "Grozījumi Ādažu novada pašvaldības domes 2025. gada 22. janvāra
saistošajos noteikumos Nr. 1/2025 "Par Ādažu novada pašvaldības budžetu 2025.
gadam""
Pamatbudžets 2025. gadam
IEŅĒMUMU DAĻA
|
Klasifikācijas kods |
Nr.p.k. |
Sadaļa |
23.10.2025. grozījumi |
22.12.2025. grozījumi |
Izmaiņas |
| 1. – 5. | Nodokļu ieņēmumi |
41 793 189 |
41 793 189 |
|
|
| 1.1.0.0. | 1. | Iedzīvotāju ienākuma nodoklis |
38 486 849 |
38 486 849 |
|
| 1.1. | pārskata gada |
38 486 849 |
38 486 849 |
|
|
| 2.-4. | Nekustamā īpašuma nodokļu ieņēmumi |
3 211 340 |
3 211 340 |
|
|
| 4.1.1.0. | 2. | Nekustamā īpašuma nodoklis par zemi |
2 082 625 |
2 082 625 |
|
| 2.1. | pārskata gada |
1 945 625 |
1 945 625 |
|
|
| 2.2. | iepriekšējo gadu parādi |
137 000 |
137 000 |
|
|
| 4.1.2.0. | 3. | Nekustamā īpašuma nodoklis par ēkām |
392 228 |
392 228 |
|
| 3.1. | pārskata gada |
362 228 |
362 228 |
|
|
| 3.2. | iepriekšējo gadu parādi |
30 000 |
30 000 |
|
|
| 4.1.3.0. | 4. | Nekustamā īpašuma nodoklis par mājokļiem un inženierbūvēm |
736 487 |
736 487 |
|
| 4.1. | pārskata gada |
665 899 |
665 899 |
|
|
| 4.2. | iepriekšējo gadu parādi |
70 588 |
70 588 |
|
|
| 5.5.3.0. | 5. | Nodokļi un maksājumi par tiesībām lietot atsevišķas preces |
95 000 |
95 000 |
|
| 5.1. | Azartspēļu nodoklis |
5 000 |
5 000 |
|
|
| 5.2. | Dabas resursu nodoklis |
90 000 |
90 000 |
|
|
| 9.0.0.0. | 6. | Valsts (pašvaldību) un kancelejas nodevas |
144 060 |
144 060 |
|
| 6.1. | valsts nodevas |
6 100 |
6 100 |
|
|
| 6.1.1. | t.sk.: – par apliecinājumiem un citu funkciju pildīšanu bāriņtiesā |
1 100 |
1 100 |
|
|
| 6.1.2. | t.sk.: – par civilstāvokļa aktu reģistrēšanu, grozīšanu un papildināšanu |
4 500 |
4 500 |
|
|
| 6.1.3. | t.sk.: – pārējās valsts nodevas, kuras ieskaita pašvaldību budžetā |
500 |
500 |
|
|
| 6.2. | pašvaldību nodevas |
137 960 |
137 960 |
|
|
| 6.2.1. | t.sk.: – nodeva par domes izstrādāto oficiālo dokumentu saņemšanu |
100 |
100 |
|
|
| 6.2.2. | t.sk.: – nodeva par izklaidējoša rakstura pasākumu sarīkošanu publiskās vietās |
1 860 |
1 860 |
|
|
| 6.2.3. | t.sk.: – nodeva par tirdzniecību publiskās vietās |
33 000 |
33 000 |
|
|
| 6.2.4. | t.sk.: – nodeva par reklāmas, afišu un sludinājumu izvietošanu publiskās vietās |
13 000 |
13 000 |
|
|
| 6.2.5. | t.sk.: – nodeva par būvatļaujas saņemšanu |
85 000 |
85 000 |
|
|
| 6.2.6. | t.sk.: – pārējās nodevas |
5 000 |
5 000 |
|
|
| 10.0.0.0. | 7. | Naudas sodi un sankcijas |
130 000 |
130 000 |
|
| 7.1. | Naudas sodi un sankcijas |
90 000 |
90 000 |
|
|
| 7.2. | Naudas sodi par pārkāpumiem ceļu satiksmē |
40 000 |
40 000 |
|
|
| 12.0.0.0. | 8. | Pārējie nenodokļu ieņēmumi |
35 728 |
35 728 |
|
| 8.1. | citi nenodokļu ieņēmumi |
25 728 |
25 728 |
|
|
| 8.2. | līgumsodi un procentu maksājumi par saistību neizpildi |
– |
– |
|
|
| 8.3. | ieņēmumi no zvejas tiesību nomas |
10 000 |
10 000 |
|
|
| 13.0.0.0. | 9. | Ieņēmumi no pašvaldības īpašumu pārdošana |
159 278 |
159 278 |
|
| 18.6.0.0. | 10. | Valsts budžeta transferti un projektu finansējums |
19 335 619 |
19 390 884 |
55 265 |
| 10.1. | Valsts budžeta transferti |
10 401 710 |
10 456 975 |
55 265 |
|
| 10.1.1. | dotācija mākslas skolas algām |
833 236 |
833 236 |
|
|
| 10.1.2. | dotācija sporta skolai |
313 180 |
313 180 |
|
|
| 10.1.3. | dotācija skolēnu ēdināšanai |
341 692 |
341 692 |
|
|
| 10.1.4. | dotācija mācību grāmatām |
120 296 |
120 296 |
|
|
| 10.1.4.1. | t.sk.: – dotācija mācību grāmatām |
120 296 |
120 296 |
|
|
| 10.1.4.2. | t.sk.: – dotācija digitālajiem mācību līdzekļiem |
|
|
|
|
| 10.1.5. | dotācijas pedagogu algām (vsk., PII) |
7 340 502 |
7 340 502 |
|
|
| 10.1.5.1. | t.sk.: – piecgadīgo bērnu apmācība |
1 045 720 |
1 045 720 |
|
|
| 10.1.5.2. | t.sk.: – skolotāju algām |
5 751 505 |
5 751 505 |
|
|
| 10.1.5.3. | t.sk.: – interešu izglītība |
543 277 |
543 277 |
|
|
| 10.1.6. | dotācija māksliniecisko kolektīvu vadītāju atalgojumam |
26 360 |
26 360 |
|
|
| 10.1.7. | Projekts "Skolas soma" Ādaži |
37 756 |
37 756 |
|
|
| 10.1.8. | Projekts "Skolas soma" Carnikava |
13 882 |
13 882 |
|
|
| 10.1.9. | dotācija asistenta pakalpojumu nodrošināšanai |
580 000 |
635 265 |
55 265 |
|
| 10.1.10. | valsts dotācija ceļu uzturēšanai |
406 576 |
406 576 |
|
|
| 10.1.11. | dotācijas Ukrainas pilsoņu atbalstam |
70 000 |
70 000 |
|
|
| 10.1.12. | dotācijas nodarbinātības pasākumiem |
12 607 |
12 607 |
|
|
| 10.1.13. | EKII |
38 052 |
38 052 |
|
|
| 10.1.14. | pārējās dotācijas |
267 571 |
267 571 |
|
|
| 18.6.3.0. | 10.2. | ES struktūrfondu līdzekļi un aktivitāšu līdzfinansējumi |
7 981 640 |
7 981 640 |
|
| 10.2.1. | Projekts "Infrastruktūras uzlabošana uzņēmējdarbības attīstībai Ādažos" |
638 646 |
638 646 |
|
|
| 10.2.2. | Publiskās ārtelpas izveide Gaujas ielā 31 Ādažos |
103 070 |
103 070 |
|
|
| 10.2.3. | ES Kohēzijas fonda projekts "STEM un pilsoniskās līdzdalības norises plašākai izglītības pieredzei un karjeras izvēlei" |
73 815 |
73 815 |
|
|
| 10.2.4. | LIFE NewBauhaus projekts |
267 455 |
267 455 |
|
|
| 10.2.5. | Jaunais plūdu projekts – 2.1.3.2. "Nacionālas nozīmes plūdu un krasta erozijas pasākumi" 1. daļa |
217 332 |
217 332 |
|
|
| 10.2.6. | Krastupes ielas projekts |
308 659 |
308 659 |
|
|
| 10.2.7. | EKII |
– |
– |
|
|
| 10.2.8. | Jaunas pirmsskolas izglītības iestādes Podniekos būvniecība |
2 500 000 |
2 500 000 |
|
|
| 10.2.9. | Projekts "Digitālā darba ar jaunatni sistēmas attīstība pašvaldībās" |
30 428 |
30 428 |
|
|
| 10.2.10. | "Mobilitātes punkta infrastruktūras izveidošana Rīgas metropoles areālā – "Carnikava"" |
830 550 |
830 550 |
|
|
| 10.2.11. | Maģistrālā veloceļa izbūve Rīga–Carnikava |
2 661 252 |
2 661 252 |
|
|
| 10.2.12. | "Blusu" kroga pārbūves tehniskā projekta izstrāde |
333 333 |
333 333 |
|
|
| 10.2.13. | LEADER projektu realizācija |
17 100 |
17 100 |
|
|
| 10.3. | IIN budžeta dotācija |
952 269 |
952 269 |
|
|
| 19.2.0.0. | 11. | Pašvaldību budžeta transferti |
350 000 |
350 000 |
|
| 11.1. | no citām pašvaldībām izglītības funkciju nodrošināšanai |
350 000 |
350 000 |
|
|
| 21.0.0.0. | 12. | Budžeta iestāžu ieņēmumi |
887 329 |
887 329 |
|
| 12.1. | maksa par izglītības pakalpojumiem |
219 800 |
219 800 |
|
|
| 12.1.1. | ieņēmumi no vecāku maksām (PII) |
61 000 |
61 000 |
|
|
| 12.1.2. | ieņēmumi no vecāku maksām (ĀNMS, BJSS) |
158 800 |
158 800 |
|
|
| 12.2. | pārrobežu projektu ieņēmumi |
136 186 |
136 186 |
|
|
| 12.2.1. | ERASMUS + projekti |
136 186 |
136 186 |
|
|
| 12.2.2. | citi pārrobežu projektu ieņēmumi |
– |
– |
|
|
| 12.3. | ieņēmumi par nomu un īri |
332 370 |
332 370 |
|
|
| 12.3.1. | ieņēmumi par telpu nomu |
236 370 |
236 370 |
|
|
| 12.3.2. | ieņēmumi par zemes nomu |
96 000 |
96 000 |
|
|
| 12.3.3. | pārējie ieņēmumi par nomu |
– |
– |
|
|
| 12.4. | budžeta iestāžu maksas pakalpojumi |
98 350 |
98 350 |
|
|
| 12.4.1. | budžeta iestāžu maksas pakalpojumi |
98 350 |
98 350 |
|
|
| 12.4.2. | ieņēmumi no biļešu realizācijas |
– |
– |
|
|
| 12.5. | pārējie ieņēmumi/stāvvietu ieņēmumi |
100 623 |
100 623 |
|
|
|
KOPĀ IEŅĒMUMI: |
62 835 203 |
62 890 468 |
55 265 |
||
| F21010000 AS | 13. | Naudas līdzekļu atlikums gada sākumā |
6 694 243 |
6 694 243 |
|
| 13.1. | Naudas atlikums iezīmētiem mērķiem |
1 040 957 |
1 040 957 |
|
|
| 13.2. | Naudas atlikums pašvaldības līdzekļi |
5 653 286 |
5 653 286 |
|
|
| F40020010 | 14. | Valsts Kases kredīti |
6 668 106 |
6 668 106 |
|
| 14.1. | Aizņēmums skolas ielas rekonstrukcijai |
85 000 |
85 000 |
|
|
| 14.2. | Jaunas pirmsskolas izglītības iestādes Podniekos būvniecība |
3 100 179 |
3 100 179 |
|
|
| 14.3. | Āra lifta izbūve pie A korpusa |
85 000 |
85 000 |
|
|
| 14.4. | Ādažu vidusskolas D korpusa siltināšana |
255 000 |
255 000 |
|
|
| 14.5. | Ādažu vidusskolas ēkas A korpusa, savienojuma daļas starp korpusiem (A un B), kā arī, vidusskolas centrālās daļas, tai skaitā torņa fasādes atjaunošana. |
474 147 |
474 147 |
|
|
| 14.6. | Dzirnupes ielas tilta pārbūve I kārta |
510 000 |
510 000 |
|
|
| 14.7. | Projekts "Infrastruktūras uzlabošana uzņēmējdarbības attīstībai Ādažos" |
295 238 |
295 238 |
|
|
| 14.8. | Krastupes ielas projekts |
70 622 |
70 622 |
|
|
| 14.9. | "Mobilitātes punkta infrastruktūras izveidošana Rīgas metropoles areālā – "Carnikava"" |
183 524 |
183 524 |
|
|
| 14.10. | Maģistrālā veloceļa izbūve Rīga–Carnikava |
1 609 396 |
1 609 396 |
|
|
|
KOPĀ PIEEJAMAIS FINANSĒJUMS: |
76 197 552 |
76 252 817 |
55 265 |
||
IZDEVUMU DAĻA
|
Klasifikācijas kods |
Nr.p.k. |
Sadaļa |
23.10.2025. grozījumi |
22.12.2025. grozījumi |
Izmaiņas |
| 01.000 | 1. | Vispārējie valdības dienesti |
12 225 212 |
12 225 212 |
|
| 1.1. | pārvalde |
2 119 494 |
2 119 494 |
|
|
| 1.2. | deputāti |
377 185 |
377 185 |
|
|
| 1.3. | administratīvā komisija |
62 822 |
62 822 |
|
|
| 1.4. | iepirkumu komisija |
45 177 |
45 177 |
|
|
| 1.5. | vēlēšanu komisija |
88 097 |
88 097 |
|
|
| 1.6. | pārējās komisijas |
33 489 |
33 489 |
|
|
| 1.7. | aizņēmumu procentu maksājumi |
2 052 431 |
2 052 431 |
|
|
| 1.8. | Iemaksas PFIF |
6 917 724 |
6 917 724 |
|
|
| 1.9. | Informācijas tehnoloģiju nodaļa, vispārējas nozīmes dienestu darbība un pakalpojumi – datortīkla uzturēšana |
528 793 |
528 793 |
|
|
| 03.000 | 2. | Sabiedriskā kārtība un drošība |
1 122 076 |
1 122 076 |
|
| 04.000 | 3. | Ekonomiskā darbība |
646 058 |
646 058 |
|
| 3.1. | Sabiedriskās attiecības, laikraksts |
200 531 |
200 531 |
|
|
| 3.2. | Autoceļu fonds |
445 527 |
445 527 |
|
|
| 05.000 | 4. | Vides aizsardzība |
255 687 |
255 687 |
|
| 4.1. | Dabas resursu nodokļa izlietojums |
255 687 |
255 687 |
|
|
| 06.000 | 5. | Pašvaldības teritoriju un mājokļu apsaimniekošana |
18 072 875 |
18 063 244 |
-9 631 |
| 5.1. | Izdevumi neparedzētiem gadījumiem |
70 000 |
70 000 |
|
|
| 5.2. | Līdzdalības budžets |
52 568 |
52 568 |
|
|
| 5.3. | Būvvalde |
333 393 |
333 393 |
|
|
| 5.4. | Teritorijas plānošanas nodaļa |
334 779 |
334 779 |
|
|
| 5.5. | Attīstības un projektu nodaļa |
8 499 555 |
8 499 555 |
|
|
| 5.5.1. | nodaļa |
562 673 |
562 673 |
|
|
| 5.5.2. | Projekts "Sabiedrība ar dvēseli" |
40 000 |
40 000 |
|
|
| 5.5.3. | Iedzīvotāju iniciatīvas un konkursi. |
14 400 |
14 400 |
|
|
| 5.5.4. | TEP "Atjaunojamo energoresursu izmantošana Ādažu novadā" (EUCF) |
38 413 |
38 413 |
|
|
| 5.5.5. | "Mobilitātes punkta infrastruktūras izveidošana Rīgas metropoles areālā – "Carnikava"" |
1 045 546 |
1 045 546 |
|
|
| 5.5.6. | Maģistrālā veloceļa izbūve Rīga–Carnikava |
4 425 220 |
4 425 220 |
|
|
| 5.5.7. | "Upesceļi II/Ūdenstūrisma pieejamības veicināšana (RiverwaysII/Facilitating access to watertourism activities)". |
34 550 |
34 550 |
|
|
| 5.5.8. | Projekts "Infrastruktūras uzlabošana uzņēmējdarbības attīstībai Ādažos" |
950 824 |
950 824 |
|
|
| 5.5.9. | Publiskās ārtelpas izveide Gaujas ielā 31 Ādažos |
138 477 |
138 477 |
|
|
| 5.5.10. | Projekts jauniešu asociāciju federācija Eiropas mobilitātei. CERV programmas projekts "YOUTth and democracy: empowering Europe's next generation" |
936 |
936 |
|
|
| 5.5.11. | LIFE NewBauhaus projekts |
445 055 |
445 055 |
|
|
| 5.5.12. | "Blusu" kroga pārbūves tehniskā projekta izstrāde |
416 333 |
416 333 |
|
|
| 5.5.13. | Krastupes ielas projekts |
387 128 |
387 128 |
|
|
| 5.6. | Objektu un teritorijas apsaimniekošana un uzturēšana |
8 782 580 |
8 772 949 |
-9 631 |
|
| 5.6.1. | Nekustamā īpašuma nodaļa |
235 916 |
235 916 |
|
|
| 5.6.2. | SAM 5.1.1. Pretplūdu pasākumi Ādažu centra polderī, Ādažu novadā |
– |
– |
|
|
| 5.6.3. | Jaunais plūdu projekts – 2.1.3.2. "Nacionālas nozīmes plūdu un krasta erozijas pasākumi" 1. daļa |
255 685 |
255 685 |
|
|
| 5.6.4. | P/A "Carnikavas komunālserviss" teritorijas un īpašumu apsaimniekošana |
5 859 560 |
5 849 929 |
-9 631 |
|
| 5.6.5. | Investīcijas energosaimniecības uzlabošanā |
237 443 |
237 443 |
|
|
| 5.6.6. | Investīcijas vides pārvaldībā un uzlabošanā |
324 942 |
324 942 |
|
|
| 5.6.7. | Investīcijas ceļu, ielu infrastruktūras attīstībā un uzlabošanā |
1 869 034 |
1 869 034 |
|
|
| 08.000 | 6. | Atpūta, kultūra un reliģija |
2 595 021 |
2 625 660 |
30 639 |
| 6.1. | Kultūra |
1 559 120 |
1 559 120 |
|
|
| 6.1.1. | Ādažu kultūras centrs |
813 277 |
813 277 |
|
|
| 6.1.2. | Tautas nams "Ozolaine" |
526 028 |
526 028 |
|
|
| 6.1.3. | Muzejs un Carnikavas novadpētniecības centrs |
189 516 |
189 516 |
|
|
| 6.1.4. | Tūrisms |
30 299 |
30 299 |
|
|
| 6.2. | Ādažu bibliotēka |
158 076 |
158 076 |
|
|
| 6.3. | Carnikavas bibliotēka |
73 071 |
73 071 |
|
|
| 6.4. | Sporta daļa |
781 526 |
812 165 |
30 639 |
|
| 6.5. | Evaņģēliski luteriskās draudzes |
4 000 |
4 000 |
|
|
| 6.6. | Multihalle |
19 228 |
19 228 |
|
|
| 10.000 | 7. | Sociālā aizsardzība |
3 479 428 |
3 534 693 |
55 265 |
| 7.1. | Sociālais dienests |
2 701 443 |
2 756 708 |
55 265 |
|
| 7.1.1. | Sociālās funkcijas nodrošināšana |
646 488 |
646 488 |
|
|
| 7.1.2. | Pabalsti |
1 473 233 |
1 473 233 |
|
|
| 7.1.3. | Asistentu pakalpojumi |
580 000 |
635 265 |
55 265 |
|
| 7.1.4. | Uzturēšanas izdevumi (CKS) |
1 722 |
1 722 |
|
|
| 7.2. | Stipendiāti / bezdarbnieki |
14 883 |
14 883 |
|
|
| 7.3. | SAM 9311 Deinstitucionalizācija – Dienas centrs |
444 938 |
444 938 |
|
|
| 7.3.1. | DI centra uzturēšanas izdevumi |
432 274 |
432 274 |
|
|
| 7.3.2. | DI centra uzturēšanas izdevumi (CKS) |
12 664 |
12 664 |
|
|
| 7.4. | Bāriņtiesa |
158 418 |
158 418 |
|
|
| 7.5. | Dotācijas Ukrainas pilsoņu atbalstam |
70 604 |
70 604 |
|
|
| 7.6. | ANM pasākuma "Atbalsta pasākumi cilvēkiem ar invaliditāti mājokļu vides pieejamības nodrošināšanai" projekts |
44 312 |
44 312 |
|
|
| 7.7. | SAM 9.2.4.2. projekts "Pasākumi vietējās sabiedrības veselības veicināšanai" |
44 830 |
44 830 |
|
|
| 09.000 | 8. | Izglītība |
33 879 825 |
33 858 817 |
-21 008 |
| 8.1. | Norēķini ar pašvaldību budžetiem par izglītības iestāžu pakalpojumiem |
851 975 |
851 975 |
|
|
| 8.2. | Ādažu Pirmsskolas izglītības iestāde |
2 554 567 |
2 554 567 |
|
|
| 8.2.1. | pedagogu algas, grāmatas (mērķdotācija) |
366 421 |
366 421 |
|
|
| 8.2.2. | pārējās izmaksas |
1 669 482 |
1 669 482 |
|
|
| 8.2.3. | ES Kohēzijas fonda projekts "STEM un pilsoniskās līdzdalības norises plašākai izglītības pieredzei un karjeras izvēlei" |
4 307 |
4 307 |
|
|
| 8.2.4. | uzturēšanas izmaksas (CKS) |
514 357 |
514 357 |
|
|
| 8.3. | Kadagas PII |
1 507 350 |
1 507 350 |
|
|
| 8.3.1. | pedagogu algas, grāmatas (mērķdotācija) |
152 344 |
152 344 |
|
|
| 8.3.2. | pārējās izmaksas |
1 107 510 |
1 107 510 |
|
|
| 8.3.3. | ES Kohēzijas fonda projekts "STEM un pilsoniskās līdzdalības norises plašākai izglītības pieredzei un karjeras izvēlei" |
1 643 |
1 643 |
|
|
| 8.3.4. | uzturēšanas izmaksas (CKS) |
245 853 |
245 853 |
|
|
| 8.4. | Pirmsskolas izglītības iestāde "Riekstiņš" |
1 854 007 |
1 854 007 |
|
|
| 8.4.1. | pedagogu algas, grāmatas (mērķdotācija) |
202 607 |
202 607 |
|
|
| 8.4.2. | pārējās izmaksas |
1 405 395 |
1 405 395 |
|
|
| 8.4.3. | ES Kohēzijas fonda projekts "STEM un pilsoniskās līdzdalības norises plašākai izglītības pieredzei un karjeras izvēlei" |
2 331 |
2 331 |
|
|
| 8.4.4. | uzturēšanas izmaksas (CKS) |
243 674 |
243 674 |
|
|
| 8.5. | Pirmsskolas izglītības iestādes "Piejūra" |
1 571 620 |
1 571 620 |
|
|
| 8.5.1. | pedagogu algas, grāmatas (mērķdotācija) |
262 019 |
262 019 |
|
|
| 8.5.2. | pārējās izmaksas |
1 140 525 |
1 140 525 |
|
|
| 8.5.3. | ES Kohēzijas fonda projekts "STEM un pilsoniskās līdzdalības norises plašākai izglītības pieredzei un karjeras izvēlei" |
3 086 |
3 086 |
|
|
| 8.5.4. | uzturēšanas izmaksas (CKS) |
165 990 |
165 990 |
|
|
| 8.6. | Privātās izglītības iestādes |
3 828 674 |
3 828 674 |
|
|
| 8.7. | Carnikavas vidusskola |
2 930 022 |
2 930 022 |
|
|
| 8.7.1. | pedagogu algas, grāmatas (mērķdotācija) |
1 634 540 |
1 634 540 |
|
|
| 8.7.2. | ēdināšana (mērķdotācija) |
94 076 |
94 076 |
|
|
| 8.7.3. | pārējās izmaksas |
716 234 |
716 234 |
|
|
| 8.7.4. | uzturēšanas izmaksas (CKS) |
342 547 |
342 547 |
|
|
| 8.7.5. | projekts "Skolas soma" |
13 940 |
13 940 |
|
|
| 8.7.6. | ES Kohēzijas fonda projekts "STEM un pilsoniskās līdzdalības norises plašākai izglītības pieredzei un karjeras izvēlei" |
15 473 |
15 473 |
|
|
| 8.7.7. | projekti Erasmus+; NordPlus |
113 212 |
113 212 |
|
|
| 8.8. | Ādažu vidusskola |
9 274 809 |
9 254 101 |
-20 708 |
|
| 8.8.1. | pedagogu algas, grāmatas (mērķdotācija) |
4 741 726 |
4 741 726 |
|
|
| 8.8.2. | pārējās izmaksas |
895 840 |
896 140 |
300 |
|
| 8.8.3. | uzturēšanas izmaksas (CKS) |
780 672 |
745 630 |
-35 042 |
|
| 8.8.4. | projekts Erasmus+ |
91 079 |
91 079 |
|
|
| 8.8.5. | projekts "Skolas soma" |
41 221 |
41 221 |
|
|
| 8.8.6. | ES Kohēzijas fonda projekts "STEM un pilsoniskās līdzdalības norises plašākai izglītības pieredzei un karjeras izvēlei" |
45 754 |
45 754 |
|
|
| 8.8.7. | Ādažu vidusskolas D korpusa siltināšana |
300 000 |
305 650 |
5 650 |
|
| 8.8.8. | Ādažu vidusskolas ēkas A korpusa, savienojuma daļas starp korpusiem (A un B), kā arī, vidusskolas centrālās daļas, tai skaitā torņa fasādes atjaunošana. |
557 629 |
567 229 |
9 600 |
|
| 8.8.9. | sākumskolas uzturēšanas izmaksas |
797 453 |
797 453 |
|
|
| 8.8.10. | sākumskolas uzturēšanas izmaksas (CKS) |
424 433 |
421 033 |
-3 400 |
|
| 8.8.11. | sākumskolas ēdināšana (mērķdotācija) |
263 797 |
263 797 |
|
|
| 8.8.12. | PII |
335 205 |
337 389 |
2 184 |
|
| 8.8.12.1. | - pedagogu algas (mērķdotācija) |
86 339 |
86 339 |
|
|
| 8.8.12.2. | - uzturēšana |
231 989 |
231 989 |
|
|
| 8.8.12.3. | ES Kohēzijas fonda projekts "STEM un pilsoniskās līdzdalības norises plašākai izglītības pieredzei un karjeras izvēlei" |
1 221 |
1 221 |
|
|
| 8.8.12.4. | - uzturēšanas izmaksas (CKS) |
15 656 |
17 840 |
2 184 |
|
| 8.9. | Ādažu novada mākslu skola |
1 864 001 |
1 863 701 |
-300 |
|
| 8.9.1. | pedagogu algas (mērķdotācija) |
849 831 |
849 831 |
|
|
| 8.9.2. | pārējās izmaksas |
1 014 170 |
1 013 870 |
-300 |
|
| 8.10. | Sporta skola |
845 947 |
845 947 |
|
|
| 8.10.1. | pedagogu algas (mērķdotācija) |
313 283 |
313 283 |
|
|
| 8.10.2. | Pašvaldības finansējums |
532 664 |
532 664 |
|
|
| 8.11. | Izglītības un jauniešu lietu pārvalde |
687 830 |
690 310 |
2 480 |
|
| 8.12. | Līdzfinansējums skolēnu dalībai konkursos |
3 000 |
3 000 |
|
|
| 8.13. | Jaunas pirmsskolas izglītības iestādes Podniekos būvniecība |
5 600 179 |
5 600 179 |
|
|
| 8.14. | Teritorijas novērtēšana pirms būvprojekta izstrādes un būvprojekts jaunas pamatskolas izveidei Ādažu pilsētā |
220 567 |
218 087 |
-2 480 |
|
| 8.15. | Latvijas Skolu jaunatnes dziesmu un deju svētki |
285 277 |
285 277 |
|
|
|
KOPĀ IZDEVUMI: |
72 276 182 |
72 331 447 |
55 265 |
||
| F40020020 | 9. | Kredītu pamatsummas atmaksa |
3 702 737 |
3 702 737 |
|
|
PAVISAM KOPĀ IZDEVUMI: |
75 978 919 |
76 034 184 |
55 265 |
||
|
F21010000 AB |
- |
Naudas līdzekļu atlikums uz gada beigām |
218 633 |
218 633 |
|
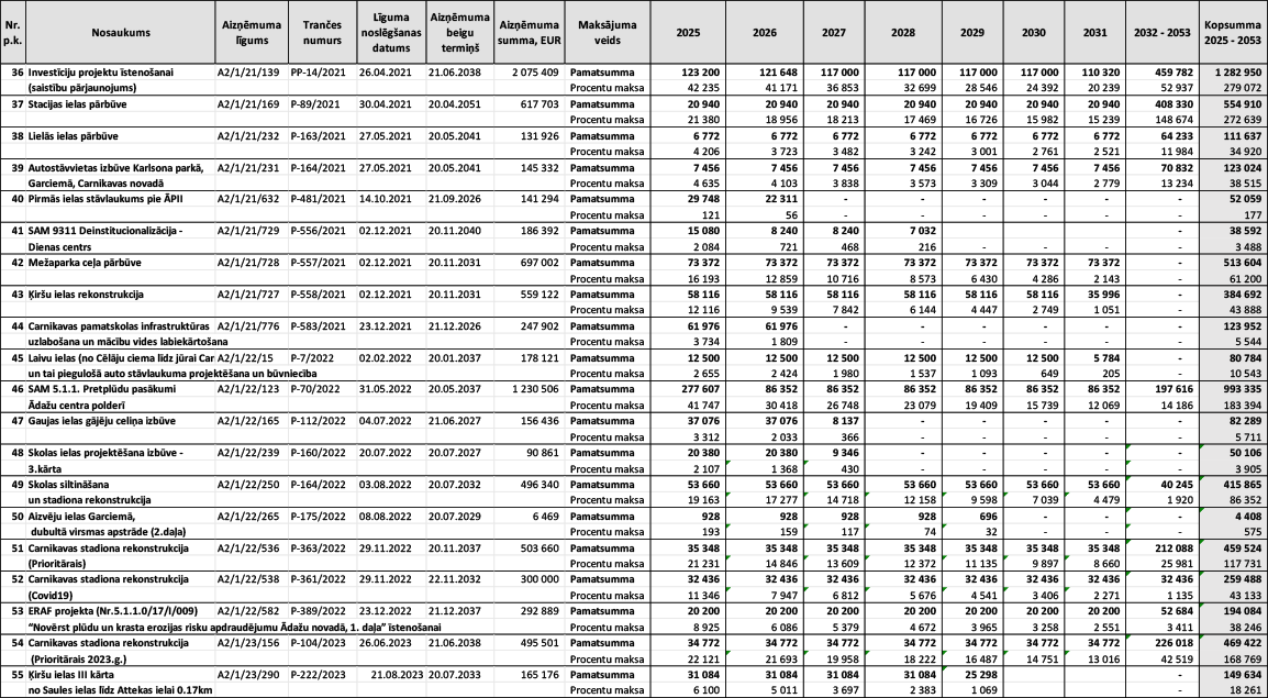
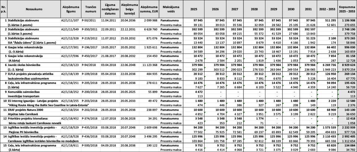
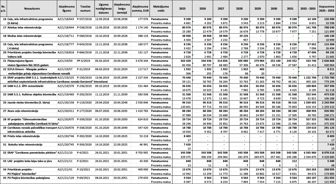
2. pielikums
Ādažu novada pašvaldības domes 2025. gada 22. decembra saistošajiem noteikumiem
Nr. 47/2025 "Grozījumi Ādažu novada pašvaldības domes 2025. gada 22. janvāra
saistošajos noteikumos Nr. 1/2025 "Par Ādažu novada pašvaldības budžetu 2025.
gadam""
Aizņēmumu un citu ilgtermiņa saistību pārskats
Ādažu novada pašvaldības domes
priekšsēdētājas vietnieks
attīstības jautājumos G. Miglāns
Paskaidrojuma raksts
Ādažu novada pašvaldības domes budžeta grozījumi 2025. gadam apstiprināti 2025. gada 22. decembrī. Budžeta grozījumi sastāv no pamatbudžeta, kuru veido ieņēmumu un izdevumu sadaļas, kā arī aizņēmumu un citu ilgtermiņa saistību pārskata. Pašvaldība ir ņēmusi vērā visu funkciju vajadzības un sabalansējusi pieejamos finanšu līdzekļus tā, lai nodrošinātu uzlabojumus sabiedrībai svarīgās jomās saskaņā ar pašvaldības attīstības plānošanas dokumentos noteiktajiem mērķiem.
Saistošie noteikumi paredz šādus grozījumus budžetā:
• Precizētas izmaksas asistentu pakalpojumu nodrošināšanai ieņēmumu un izdevumu sadaļā, kas kopsummā 2025. gadā ir 635’265 euro.
• Saskaņā ar Carnikavas komunālservisa 27. decembra protokollēmumu baseina ventilācijas sistēmas remontam novirzīti 26'000 euro. Šim mērķim veikti grozījumi, pārceļot 3’400 euro no Ādažu vidusskolas sākumskolas budžeta, 12’969 euro no Ādažu vidusskolas budžeta un 9’631 euro no teritorijas uzturēšanas sadaļas uz Sporta daļas budžetu.
• Papildus uz Sporta centra uzturēšanas izmaksām ir pārcelti 4’639 euro no uzturēšanas izmaksām Ādažu vidusskolai.
• 300 euro pārcelti no Ādažu Mākslu skolas budžeta uz Ādažu vidusskolas budžetu – obligātos bērnu tiesības kursus vadīs sadarbībā ar Ādažu vidusskolas darbinieci, kurai ir saskaņota šo kursu programma.
• Ādažu vidusskolas ēkas A korpusa projekta realizācijai pārcelti 9’600 euro un Ādažu vidusskolas ēkas D korpusa projekta realizācijai pārcelti 5’650 euro no Ādažu vidusskolas uzturēšanas izmaksām.
• 2’184 euro pārcelti no Ādažu vidusskolas uzturēšanas izmaksām uz Ādažu vidusskolas pirmsskolas izglītības iestādes uzturēšanas izmaksām.
• Paskaidrojuma raksta apmaksai projektam "Bērnu un jauniešu centra izveide Ādažos" pārcelti 2’480 euro no sadaļas "Teritorijas novērtēšana pirms būvprojekta izstrādes un būvprojekts jaunas pamatskolas izveidei Ādažu pilsētā" uz Izglītības un jaunatnes nodaļu
Kopumā Ādažu novada pašvaldības domes budžeta grozījumi paredz ieņēmumu palielinājumu par 55’265 euro, nosakot budžeta ieņēmumus 62’890’468 euro apmērā un izdevumu daļas palielinājumu par 55’265 euro, nosakot budžeta izdevumus 72’331’447 euro apmērā. Plānoto aizņēmumu apjoms 2025. gadā ir 6’668’106 euro apmērā, un aizņēmumu pamatsummas atmaksa 2025. gadā plānota 3’702’737 euro apmērā.
Ādažu novada pašvaldības domes
priekšsēdētājas vietnieks attīstības jautājumos G. Miglāns