
Sabiedrisko pakalpojumu regulēšanas komisijas lēmumi: Šajā laidienā 6 Pēdējās nedēļas laikā 1 Visi
Sabiedrisko pakalpojumu regulēšanas komisijas padomes lēmums Nr. 54
Rīgā 2025. gada 3. jūlijā (prot. Nr. 25, 11. p.)
Par kapitāla atdeves likmi elektronisko sakaru nozarē
Sabiedrisko pakalpojumu regulēšanas komisija (turpmāk – Regulators), pamatojoties uz likuma "Par sabiedrisko pakalpojumu regulatoriem" 9.panta otro daļu un Elektronisko sakaru likuma 9.panta otro daļu, savas kompetences ietvaros patstāvīgi pieņem lēmumus un izdod administratīvos aktus, kas ir saistoši konkrētiem elektronisko sakaru komersantiem un galalietotājiem.
Regulators konstatē un secina
1. Elektronisko sakaru likuma 84.panta trešā daļa noteic, ka Regulators nosaka metodiku pietiekamas vairumtirdzniecības un mazumtirdzniecības pakalpojumu cenu starpības aprēķināšanai.
2. Saskaņā ar Regulatora 2022.gada 15.septembra lēmuma Nr.1/25 "Pietiekamas cenu starpības aprēķināšanas metodika elektronisko sakaru nozarē" (turpmāk – Metodika) 1.2.apakšpunktā noteikto Regulators atbilstoši Metodikā noteiktajiem pamatprincipiem aprēķina, vai regulētā komersanta1 vairumtirdzniecības un mazumtirdzniecības pakalpojumu cenu starpība (turpmāk – Cenu starpība) ir pietiekama. Lai Regulators varētu veikt minēto aprēķinu, jāaprēķina arī kapitāla atdeves likme.
3. Saskaņā ar Metodikas 40.punktu Regulators izmanto vidējo svērto kapitāla atdeves likmi, lai aprēķinātu modelētā komersanta2 elektronisko sakaru tīkla kapitālizdevumus un lai diskontētu un sadalītu vienreizējos vairumtirdzniecības ieguldījumus un mazumtirdzniecības cenu sastāvdaļas pa gadiem vidējā elektronisko sakaru pakalpojuma līguma ilguma periodā.
4. Atbilstoši Elektronisko sakaru likuma 79.panta pirmajā daļā noteiktajam Regulators ir tiesīgs elektronisko sakaru komersantam ar būtisku ietekmi tirgū piemērot speciālās prasības mazumtirdzniecības tirgū saistībā ar tarifu regulēšanu un izmaksu attiecināšanu. Savukārt Elektronisko sakaru likuma 84.panta septītā daļa noteic, ka Regulators nosaka izmaksu aprēķināšanas un attiecināšanas metodiku.
5. Attiecīgi saskaņā ar Regulatora 2022.gada 4.augusta lēmuma Nr.1/7 "Tarifu aprēķināšanas un izmaksu aprēķināšanas un attiecināšanas metodika elektronisko sakaru nozarē" 1.3.apakšpunktu un 25.punktu Regulatora aprēķinātā kapitāla atdeves likme tiks piemērota, lai elektronisko sakaru komersants (turpmāk – komersants) ar būtisku ietekmi tirgū aprēķinātu kapitāla finansēšanas izmaksas, kuras jāiekļauj arī Regulatoram iesniedzamajā ziņojumā par izmaksu aprēķināšanas un attiecināšanas atbilstību izmaksu aprēķināšanas un attiecināšanas sistēmai.
6. Atbilstoši Metodikas 39.punktam Regulators kapitāla atdeves likmi aprēķina pirmsnodokļu, nominālā izteiksmē saskaņā ar formulu:
kur
WACC – kapitāla atdeves likme;
E/(E+D) – pašu kapitāla īpatsvars kopējā kapitālā;
RFR – bezriska likme;
βe – pašu kapitāla beta koeficients;
ERP – tirgus riska piemaksa;
t – uzņēmumu ienākuma nodokļa likme;
D/(E+D) – aizņemtā kapitāla īpatsvars kopējā kapitālā;
DP – aizņemšanās riska piemaksa.
7. Metodikas 39.punkts noteic, ka Regulators, aprēķinot kapitāla atdeves likmi, ievēro Eiropas Elektronisko sakaru regulējošās iestādes (turpmāk – BEREC) publicēto ziņojumu par kapitāla atdeves likmes parametru aprēķiniem (turpmāk – Ziņojums).
8. BEREC 2025.gada Ziņojums publicēts tīmekļvietnē berec.europa.eu 2025.gada 10.jūnijā.3
9. Atbilstoši Ziņojuma 2.tabulā "Valstu ekonomiskie faktori un bezriska likmes" publicētajam Latvijā piemērojamā bezriska likme (RFR) ir 2,03%.
10. Aizņemšanās riska piemaksu BEREC rekomendē izvēlēties no Ziņojuma 5.tabulas "Aizņemšanās riska piemaksa un aizņemtā kapitāla atdeves likme" kā aprēķināto aizņemšanās riska piemaksu atbilstošam salīdzināmam komersantam. Tomēr, ņemot vērā, ka kapitāla atdeves likme tiek aprēķināta elektronisko sakaru nozarei kopumā, nevis konkrētam komersantam, Regulatora ieskatā, ir pamatoti izmantot visu izlasē iekļauto komersantu aritmētisko vidējo aizņemšanās riska piemaksu. Tādējādi, izmantojot Ziņojuma 5.tabulā publicēto informāciju, aizņemšanās riska piemaksa (DP) ir 117 bāzes punkti jeb, izsakot procentos, 1,17%.
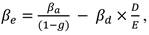
11. Pašu kapitāla beta koeficientu BEREC rekomendē izvēlēties no Ziņojuma 8.tabulas "BEREC salīdzināmo komersantu grupa – pašu kapitāla beta, aizņemtā kapitāla īpatsvars, aktīvu beta" kā atbilstoša salīdzināmā komersanta aprēķināto beta koeficientu. Ņemot vērā, ka kapitāla atdeves likme tiek aprēķināta elektronisko sakaru nozarei kopumā, nevis konkrētam komersantam, Regulatora ieskatā, ir pamatoti izmantot visu izlasē iekļauto komersantu beta koeficientu vidējo vērtību. Lai iegūtu korekti aprēķinātu pašu kapitāla beta koeficienta vērtību, tiek izmantota aritmētiskā vidējā aktīvu beta koeficienta vērtība, pārrēķinot to pašu kapitāla beta koeficientā ar pārveidotu Ziņojuma 5.3.sadaļā publicētu formulu:
kur
βa – aktīvu beta koeficients;
g – aizņemtā kapitāla īpatsvars kopējā kapitālā (attiecīgi g = D/(E+D));
βd – aizņemšanās beta koeficients;
D/E – aizņemtā un pašu kapitāla attiecība.
12. Atbilstoši Ziņojuma 8.tabulā publicētajai informācijai salīdzināmo komersantu grupas aritmētiskais vidējais aktīvu beta koeficients (βa) ir 0,36.
13. Atbilstoši Ziņojuma 8.tabulā publicētajai informācijai salīdzināmo komersantu grupas aritmētiskais vidējais aizņemtā kapitāla īpatsvars kopējā kapitālā (D/(E+D)) ir 47,35%. Attiecīgi pašu kapitāla īpatsvars kopējā kapitālā (E/(E+D)) ir 52,65%.
14. Atbilstoši Ziņojuma 5.3.sadaļā norādītajam aizņemšanās beta koeficienta (βd) vērtība ir 0,1.
15. Aizņemtā un pašu kapitāla attiecība ir aprēķināma, dalot aizņemtā kapitāla īpatsvaru kopējā kapitālā ar pašu kapitāla īpatsvaru kopējā kapitālā. Izmantojot šā lēmuma 13.punktā norādītās skaitliskās vērtības, aizņemtā un pašu kapitāla attiecība (D/E) ir 0,90.
16. Izmantojot šā lēmuma 12., 13., 14. un 15.punktā norādītās skaitliskās vērtības un 11.punktā norādīto formulu, vidējais elektronisko sakaru nozares pašu kapitāla beta koeficients (βe) ir 0,59.
17. Par tirgus riska piemaksu Ziņojumā norādīts, ka kapitāla atdeves likmes aprēķināšanā izmantojama Eiropas Savienības (turpmāk – ES) aritmētiskā vidējā tirgus riska piemaksa. Eiropas Komisijas paziņojuma par kapitāla cenas aprēķināšanu mantotajai infrastruktūrai saistībā ar valstu paziņojumu ES elektronisko sakaru nozarē pārskatīšanu, ko veic Komisija4 (turpmāk – Paziņojums) 38.punktā Eiropas Komisija norāda, ka ES mēroga tirgus riska piemaksa atbilst empīriskajiem pierādījumiem par to, ka finanšu tirgi ES kļūst aizvien integrētāki, un tāpēc valstu tirgus riska piemaksas konverģē, līdz ar to ir piemēroti izmantot vienotu ES mēroga tirgus riska piemaksu. Atbilstoši Ziņojuma 15.tabulā "ES tirgus riska piemaksa (ģeometriskais un aritmētiskais vidējais)/ES/Eiropas Ekonomiskās zonas tirgus riska piemaksa (ģeometriskais un aritmētiskais vidējais)" publicētajai informācijai tirgus riska piemaksa (ERP) ir 5,96%.
18. Par uzņēmumu ienākuma nodokļa likmi Ziņojuma 7.2.sadaļā norādīts, ka izmantojama attiecīgās dalībvalsts uzņēmumu ienākuma nodokļa likmes vērtība. Saskaņā ar Uzņēmumu ienākuma nodokļa likuma 3.panta pirmo daļu uzņēmumu ienākuma nodokļa likme (t) ir 20%.
19. Izmantojot šā lēmuma 9., 10., 13., 16., 17. un 18.punktā norādītās rādītāju skaitliskās vērtības, saskaņā ar Metodikas 39.punktu aprēķinātā vidējās svērtās kapitāla atdeves likmes elektronisko sakaru nozarē vērtība ir 5,17%.
20. Ņemot vērā, ka normatīvajos aktos nav noteikts imperatīvs termiņš jauna lēmuma par kapitāla atdeves likmi elektronisko sakaru nozarē pieņemšanai, bet atbilstoši Eiropas Komisijas 2019.gada 6.novembra paziņojumam par kapitāla cenas aprēķināšanu mantotajai infrastruktūrai saistībā ar valstu paziņojumu ES elektronisko sakaru nozarē pārskatīšanu, ko veic Komisija5, kapitāla atdeves likmi tiek rekomendēts pārskatīt vismaz reizi gadā, lai ņemtu vērā jaunākos ekonomiskos apstākļus6, tad lēmuma lemjošajā daļā nosakāms, ka kapitāla atdeves likme tiek piemērota, aprēķinot kapitāla finansēšanas izmaksas par 2025.gadu un turpmāk, līdz stāsies spēkā jauns Regulatora lēmums par kapitāla atdeves likmi elektronisko sakaru nozarē.
21. Šobrīd spēkā ir Regulatora 2024.gada 15.augusta lēmums Nr.48 "Par kapitāla atdeves likmi elektronisko sakaru nozarē".
22. Atbilstoši Administratīvā procesa likuma 70.panta trešajai daļai administratīvais akts ir spēkā tik ilgi, līdz to atceļ, izpilda vai vairs nevar izpildīt sakarā ar faktisko vai tiesisko apstākļu maiņu.
23. Lai iepazīstinātu elektronisko sakaru nozares komersantus un citus interesentus ar Regulatora sagatavoto lēmuma projektu, kā arī dotu iespēju izteikt viedokli, sagatavotais lēmuma projekts tika publicēts Regulatora tīmekļvietnē7 2025.gada 27.jūnijā. Līdz šā lēmuma pieņemšanai viedokļi un iebildumi par sagatavoto lēmuma projektu Regulatorā netika saņemti.
Saskaņā ar Regulatora 2022.gada 15.septembra lēmuma Nr.1/25 "Pietiekamas cenu starpības aprēķināšanas metodika elektronisko sakaru nozarē" 39.punktu, pamatojoties uz likuma "Par sabiedrisko pakalpojumu regulatoriem" 1.pantu, 5.pantu, 9.panta pirmās daļas 1.punktu un otro daļu, Elektronisko sakaru likuma 9.panta otro daļu, 84.panta trešo un septīto daļu, kā arī Administratīvā procesa likuma 55.panta 2.punktu un 63.panta pirmās daļas 1.punktu,
padome nolemj:
1. noteikt kapitāla atdeves likmi elektronisko sakaru nozarē 5,17% nominālā izteiksmē;
2. noteikt, ka šā lēmuma lemjošās daļas 1.punktā noteiktā kapitāla atdeves likme tiek piemērota, aprēķinot kapitāla finansēšanas izmaksas par 2025.gadu un turpmāk, līdz stāsies spēkā jauns Regulatora lēmums par kapitāla atdeves likmi elektronisko sakaru nozarē.
Lēmums stājas spēkā ar tā parakstīšanas dienu.
Šo administratīvo aktu var pārsūdzēt Administratīvajā apgabaltiesā viena mēneša laikā no dienas, kad ieinteresētā persona uzzina vai tai vajadzēja uzzināt par pieņemto administratīvo aktu.
1 Saskaņā ar Metodikas 1.1.apakšpunktu regulētais komersants ir elektronisko sakaru komersants, kuram noteikta būtiska ietekme tirgū un tarifu regulēšanas un izmaksu aprēķināšanas saistība par pietiekamu vairumtirdzniecības un mazumtirdzniecības pakalpojumu cenu starpību.
2 Saskaņā ar Metodikas 2.7.apakšpunktu modelētais komersants ir Regulatora modelēts elektronisko sakaru komersants, kas nav regulētais komersants, kuram Regulators, izmantojot REO metodi, aprēķina starpību starp modelētā komersanta ieņēmumiem no mazumtirdzniecības pakalpojumu sniegšanas un saistītajām izmaksām par regulēto vairumtirdzniecības pakalpojumu, lai noteiktu, vai šī starpība sedz modelētā komersanta pakārtotās izmaksas, ieskaitot konkurētspējīgu kapitāla atdevi.
3 Pieejams: https://www.berec.europa.eu/en/all-documents/berec/reports/berec-report-on-wacc-parameter-calculations-according-to-the-european-commissions-wacc-notice-of-6th-november-2019-wacc-parameters-report-2025
4 Eiropas Komisijas paziņojums par kapitāla cenas aprēķināšanu mantotajai infrastruktūrai saistībā ar valstu paziņojumu ES elektronisko sakaru nozarē pārskatīšanu, ko veic Komisija (Dokuments attiecas uz EEZ) (2019/C 375/01) https://eur-lex.europa.eu/legal-content/LV/TXT/HTML/?uri=CELEX:52019XC1106(01)
5 Pieejams: https://eur-lex.europa.eu/legal-content/LV/ALL/?uri=CELEX:52019XC1106(01)
6 Minētais attiecas uz likmes pārskatīšanas rekomendācijām, bet nenozīmē, ka vienmēr pārskatīšanas rezultātā tiks pieņemts jauns lēmums, jo pastāv iespēja, ka likmes izmaiņas var būt nenozīmīgas.
7 https://www.sprk.gov.lv/events/sprk-sagatavojusi-lemumu-projektus-par-kapitala-atdeves-likmem-2026gadam
Sabiedrisko pakalpojumu
regulēšanas komisijas
padomes priekšsēdētāja p.i. padomes locekle R. Šņuka