
Sabiedrisko pakalpojumu regulēšanas komisijas lēmumi: Šajā laidienā 6 Pēdējās nedēļas laikā 1 Visi
Sabiedrisko pakalpojumu regulēšanas komisijas padomes lēmums Nr. 52
Rīgā 2025. gada 3. jūlijā (prot. Nr. 25, 9. p.)
Par kapitāla atdeves likmi siltumenerģijas apgādes pakalpojumu tarifu projekta aprēķināšanai
Sabiedrisko pakalpojumu regulēšanas komisija (turpmāk – Regulators), pamatojoties uz likuma "Par sabiedrisko pakalpojumu regulatoriem" 9.panta otro daļu, savas kompetences ietvaros patstāvīgi pieņem lēmumus un izdod administratīvos aktus, kas ir saistoši konkrētiem sabiedrisko pakalpojumu sniedzējiem un lietotājiem.
Regulators konstatē
1. Saskaņā ar Regulatora 2022.gada 29.augusta lēmuma Nr.1/12 "Kapitāla izmaksu uzskaites un aprēķināšanas metodika" (turpmāk – Metodika) 14.punktu Regulators reizi gadā līdz 1.septembrim sagatavo kapitāla atdeves likmes aprēķinu un ar lēmumu nosaka kapitāla atdeves likmi.
2. Atbilstoši Metodikas 2.1.apakšpunktam un 14.punktam Regulatora noteikto kapitāla atdeves likmi komersants piemēro, izstrādājot siltumenerģijas ražošanas pakalpojuma, siltumenerģijas pārvades un sadales pakalpojuma un siltumenerģijas tirdzniecības pakalpojuma tarifu projektu, kura spēkā stāšanās datums plānots nākamajā kalendārajā gadā pēc Regulatora lēmuma par kapitāla atdeves likmes noteikšanu pieņemšanas dienas.
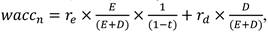
3. Atbilstoši Metodikas 15.punktam vidējo svērto kapitāla atdeves likmi aprēķina nominālā izteiksmē (waccn) saskaņā ar šādu formulu:
kur
re ir pašu kapitāla atdeves likme [%];
E/(E+D) – pašu kapitāla attiecība pret kopējo (pašu un aizņemto) kapitālu, kuras vērtība tiek pieņemta 50%;
rd – aizņemtā kapitāla atdeves likme [%];
D/(E+D) – aizņemtā kapitāla attiecība pret kopējo (pašu un aizņemto) kapitālu, kuras vērtība tiek pieņemta 50%;
t – uzņēmumu ienākuma nodokļa likme.
4. Atbilstoši Metodikas 16.punktam pašu kapitāla atdeves likmi aprēķina saskaņā ar šādu formulu:
kur
rf ir bezriska likme, kas noteikta kā Eiropas Centrālās bankas ikmēneša publicētā Latvijas valdības desmit gadu obligāciju vērtspapīru otrreizējā tirgus gada vidējā procentu likme piecu gadu periodā [%];
βe – pašu kapitāla beta koeficients;
rm – tirgus riska piemaksa [%].
5. Atbilstoši Metodikas 17.punktam pašu kapitāla beta koeficientu aprēķina atbilstoši pašu un aizņemtā kapitāla struktūrai saskaņā ar šādu formulu:
kur
βa – nozares aktīvu beta koeficients;
D/E – nozares aizņemtā un pašu kapitāla vidējā attiecība. Ņemot vērā, ka pašu kapitāla attiecība pret kopējo kapitālu un aizņemtā kapitāla attiecība pret kopējo kapitālu ir vienādas, D/E=1.
6. Atbilstoši Metodikas 18.punktam aizņemtā kapitāla atdeves likmi aprēķina kā Eiropas Centrālās bankas ikmēneša publicēto nefinanšu sabiedrībām euro valūtā izsniegto kredītu (ar sākotnējo termiņu ilgāku par pieciem gadiem; atlikumiem) gada vidējo procentu likmi piecu gadu periodā [%].
7. Izmantojot Eiropas Centrālās bankas tīmekļvietnē www.ecb.europa.eu publicētos datus, Regulators konstatē, ka Latvijas valdības desmit gadu obligāciju vērtspapīru otrreizējā tirgus gada vidējā procentu likme (rf) periodā no 2020.gada jūnija līdz 2025.gada maijam ir 2,13%1.
8. Saskaņā ar Uzņēmumu ienākuma nodokļa likuma 3.panta pirmo daļu uzņēmumu ienākuma nodokļa likme (t) ir 20%.
9. Izmantojot finanšu analītiķa A.Damodarana apkopotos datus datubāzē "Koriģētie un nekoriģētie beta koeficienti pa nozarēm Eiropā"2, Regulators konstatē, ka vidējais aktīvu beta koeficients vispārējo sabiedrisko pakalpojumu nozares komersantiem Eiropā (βa) ir 0,49. A.Damodarana novērtētie beta koeficienti komersantiem Eiropā ir aprēķināti, ievērojot starptautiski atzītu praksi un metodoloģiju, izmantojot Eiropas komersantu akciju iknedēļas tirdzniecības datus biržā divu un piecu gadu periodā. Ievērojot Metodikas 17.punktu, izmantojot šā lēmuma konstatējošās daļas 8.punktā norādīto rādītāja skaitlisko vērtību un aktīvu beta koeficienta vispārējo sabiedrisko pakalpojumu nozarē vērtību, siltumapgādes nozares pašu kapitāla beta koeficients (βe) ir 0,88.
10. Tirgus riska piemaksa rm (neatkarīgi no nozares) novērtēta, izmantojot jaunākajā Eiropas Enerģētikas regulatoru padomes publikācijā "Ziņojums par Eiropas enerģētikas tīklu regulēšanas ietvaru 2024" tīmekļvietnē www.ceer.eu apkopotos datus par dalībvalstu regulatīvo iestāžu izmantoto starptautisko ekspertu novērtējumu par kapitāla tirgiem. Eiropas Enerģētikas regulatoru padomes dalībvalstu vidējā tirgus riska piemaksa3 (rm) ir 5,33%.
11. Izmantojot Eiropas Centrālās bankas tīmekļvietnē www.ecb.europa.eu publicētos datus, Regulators konstatē, ka nefinanšu sabiedrībām euro valūtā izsniegto kredītu (ar sākotnējo termiņu ilgāku par pieciem gadiem; atlikumiem) gada vidējā procentu likme (rd) periodā no 2020.gada maija līdz 2025.gada aprīlim ir 4,05%.
12. Atbilstoši likuma "Par sabiedrisko pakalpojumu regulatoriem" 19.panta pirmajai daļai sabiedrisko pakalpojumu tarifus regulējamās nozarēs sabiedrisko pakalpojumu sniedzēji aprēķina saskaņā ar noteikto tarifu aprēķināšanas metodiku un pēc savas iniciatīvas vai Regulatora pieprasījuma iesniedz Regulatoram aprēķināto tarifu projektus kopā ar tarifu aprēķina projektā minēto tarifus veidojošo izmaksu pamatojumu.
13. Šobrīd spēkā ir Regulatora 2024.gada 15.augusta lēmums Nr.50 "Par kapitāla atdeves likmi siltumenerģijas apgādes pakalpojumu tarifu projekta aprēķināšanai".
14. Atbilstoši Administratīvā procesa likuma 70.panta trešajai daļai administratīvais akts ir spēkā tik ilgi, līdz to atceļ, izpilda vai vairs nevar izpildīt sakarā ar faktisko vai tiesisko apstākļu maiņu.
15. Lai iepazīstinātu komersantus un citus interesentus ar sagatavoto lēmuma projektu, kā arī dotu iespēju izteikt viedokli, Regulatora sagatavotais lēmuma projekts tika publicēts Regulatora tīmekļvietnē4 2025.gada 27.jūnijā. Līdz šā lēmuma pieņemšanai viedokļi un iebildumi par sagatavoto lēmuma projektu Regulatorā netika saņemti.
Regulators secina
1. Izmantojot šā lēmuma konstatējošās daļas 7., 9. un 10.punktā norādītās rādītāju skaitliskās vērtības, saskaņā ar Metodikas 16.punktu aprēķinātā pašu kapitāla atdeves likme re ir 6,82%.
2. Izmantojot šā lēmuma konstatējošās daļas 11.punktā norādīto rādītāja skaitlisko vērtību, saskaņā ar Metodikas 18.punktu aprēķinātā aizņemtā kapitāla atdeves likme rd ir 4.05%.
3. Izmantojot aprēķināto pašu kapitāla atdeves likmi un aizņemtā kapitāla atdeves likmi, kā arī šā lēmuma konstatējošās daļas 8.punktā norādīto rādītāja skaitlisko vērtību, saskaņā ar Metodikas 15.punktu aprēķinātā vidējā svērtā kapitāla atdeves likme nominālā izteiksmē ir 6,29%.
4. Regulatora ieskatā, kapitāla atdeves likme 6,29% apmērā ņem vērā situāciju finanšu tirgos un atbilstoši novērtē finansējuma piesaistes riskus ilgtermiņā, tādējādi neradot šķēršļus regulējamam siltumapgādes pakalpojumu sniedzējam finansēt aizņēmumus, ieguldīt pakalpojumu sniegšanai izmantoto pamatlīdzekļu atjaunošanā un attīstībā, kā arī gūt samērīgu peļņu, vienlaikus nodrošinot lietotājiem iespēju saņemt nepārtrauktus, drošus un kvalitatīvus sabiedriskos pakalpojumus, kuru tarifi (cenas) atbilst ekonomiski pamatotām izmaksām.
Saskaņā ar Regulatora 2022.gada 29.augusta lēmuma Nr.1/12 "Kapitāla izmaksu uzskaites un aprēķināšanas metodika" 14., 15., 16., 17. un 18.punktu, pamatojoties uz likuma "Par sabiedrisko pakalpojumu regulatoriem" 1.pantu, 5.pantu, 9.panta pirmās daļas 1.punktu un otro daļu un 20.panta pirmo daļu, kā arī Administratīvā procesa likuma 55.panta 2.punktu un 63.panta pirmās daļas 1.punktu, 68.panta pirmo daļu,
padome nolemj:
1. noteikt kapitāla atdeves likmi 6,29% siltumenerģijas ražošanas pakalpojuma, siltumenerģijas pārvades un sadales pakalpojuma vai siltumenerģijas tirdzniecības pakalpojuma tarifu projekta aprēķināšanai, ja komersants tarifu aprēķina projektā iekļauj kapitāla atdevi;
2. noteikt, ka šā lēmuma lemjošās daļas 1.punktā noteikto kapitāla atdeves likmi komersants piemēro, aprēķinot siltumenerģijas ražošanas pakalpojuma, siltumenerģijas pārvades un sadales pakalpojuma un siltumenerģijas tirdzniecības pakalpojuma tarifu projektu, kura spēkā stāšanās datums plānots 2026.gadā, ja tarifu aprēķināšanas metodika siltumapgādē noteic tarifu aprēķinā iekļaut kapitāla atdevi.
Lēmums stājas spēkā ar tā parakstīšanas dienu.
Šo administratīvo aktu var pārsūdzēt Administratīvajā apgabaltiesā viena mēneša laikā no dienas, kad ieinteresētā persona uzzina vai tai vajadzēja uzzināt par pieņemto administratīvo aktu.
1 Šis un visi citi aprēķinā izmantotie rādītāji skatīti 2025.gada 17.jūnijā.
2 Pieejams: https://pages.stern.nyu.edu/~adamodar/
3 Aprēķinā izmantotās tirgus riska piemaksas vērtības atrodamas EERP Ziņojuma 4.pielikumā (https://www.ceer.eu/wp-content/uploads/2025/02/Annex-4-xlsx-1.zip), "MS Excel" datnes "IRB - RFR24 - Chapter 4.xlsx" darblapā "4.3.3.1", 4.3.3.1.tabulā "Evaluating market risk premiums", kolonnā "Market risk premiums: Value". Valstīm, kuras tabulā norāda vairākas tirgus riska piemaksas vērtības, pirms dalībvalstu vidējās tirgus riska piemaksas aprēķināšanas tika aprēķināta konkrētās valsts vidējās tirgus riska piemaksas vērtība. Aprēķinā nav iekļauta Latvijas tirgus riska piemaksas vērtība, lai izvairītos no riņķveida atsauces radīšanas, kā arī EERP novērotāja statusā esošo valstu rādītāju vērtības.
4 https://www.sprk.gov.lv/events/sprk-sagatavojusi-lemumu-projektus-par-kapitala-atdeves-likmem-2026gadam
Sabiedrisko pakalpojumu
regulēšanas komisijas
padomes priekšsēdētāja p.i. padomes locekle R. Šņuka