
Ādažu novada domes saistošie noteikumi: Šajā laidienā 4 Pēdējās nedēļas laikā 2 Visi
Ādažu novada pašvaldības domes saistošie noteikumi Nr. 7/2024
Ādažos 2024. gada 25. janvārī
Grozījumi Ādažu novada pašvaldības domes 2023. gada 25. janvāra saistošajos noteikumos Nr. 1/2023 "Par Ādažu novada pašvaldības budžetu 2023. gadam"
APSTIPRINĀTI
ar Ādažu novada pašvaldības domes
2024. gada 25. janvāra sēdes lēmumu (prot. Nr. 2 § 46)
Izdoti saskaņā ar Pašvaldību likuma 10. panta pirmās daļas 1.
punktu
un 48. pantu, likuma "Par pašvaldību budžetiem" 16. un 17. pantu
un likuma "Par budžetu un finanšu vadību" 6. pantu
Izdarīt Ādažu novada pašvaldības domes 2023. gada 25. janvāra saistošajos noteikumos Nr. 1/2023 "Par Ādažu novada pašvaldības budžetu 2023. gadam" šādus grozījumus:
1. Izteikt noteikumu 2. punkta 2.3., 2.3.1., 2.3.2., 2.3.3. un 2.3.4. apakšpunktus šādā redakcijā:
2.3. "pamatbudžets 2023. gadā (1. pielikums):
2.3.1. ieņēmumi – EUR 49 177 060;
2.3.2. izdevumi – EUR 55 012 173;
2.3.3. plānotie aizņēmumi – EUR 2 647 215;
2.3.4. atmaksājamā summa Valsts kases kredītiem (2. pielikums) – EUR 3 772 866".
Ādažu novada pašvaldības domes priekšsēdētāja K. Miķelsone
1. pielikums
Ādažu novada pašvaldības domes 2024. gada 25. janvāra saistošajiem noteikumiem
Nr. 7/2024 "Grozījumi Ādažu novada pašvaldības domes 2023. gada 25. janvāra
saistošajos noteikumos Nr. 1/2023 "Par Ādažu novada pašvaldības budžetu 2023.
gadam""
Pamatbudžets 2023. gadam
IEŅĒMUMU DAĻA
|
Klasifikācijas kods |
Nr.p.k. |
Sadaļa |
28.12.2023. grozījumi |
25.01.2024. grozījumi |
Izmaiņas |
| 1. – 5. | Nodokļu ieņēmumi |
32 432 465 |
33 319 244 |
886 779 |
|
| 1.1.0.0. | 1. | Iedzīvotāju ienākuma nodoklis |
29 459 153 |
30 345 932 |
886 779 |
| 1.1. | pārskata gada |
29 459 153 |
30 345 932 |
886 779 |
|
| 4.1.1.0. | 2. | Nekustamā īpašuma nodoklis par zemi |
1 998 295 |
1 998 295 |
|
| 2.1. | pārskata gada |
1 807 872 |
1 807 872 |
|
|
| 2.2. | iepriekšējo gadu parādi |
190 423 |
190 423 |
|
|
| 4.1.2.0. | 3. | Nekustamā īpašuma nodoklis par ēkām |
412 472 |
412 472 |
|
| 3.1. | pārskata gada |
326 353 |
326 353 |
|
|
| 3.2. | iepriekšējo gadu parādi |
86 119 |
86 119 |
|
|
| 4.1.3.0. | 4. | Nekustamā īpašuma nodoklis par mājokļiem un inženierbūvēm |
492 545 |
492 545 |
|
| 4.1. | pārskata gada |
431 787 |
431 787 |
|
|
| 4.2. | iepriekšējo gadu parādi |
60 758 |
60 758 |
|
|
| 5.5.3.0. | 5. | Dabas resursu nodoklis |
70 000 |
70 000 |
|
| 9.0.0.0. | 6. | Valsts (pašvaldību) un kancelejas nodevas |
160 000 |
160 000 |
|
| 6.1. | valsts nodevas |
6 700 |
6 700 |
|
|
| 6.1.1. | t.sk.: – par apliecinājumiem un citu funkciju pildīšanu bāriņtiesā |
1 700 |
1 700 |
|
|
| 6.1.2. | t.sk.: – par civilstāvokļa aktu reģistrēšanu, grozīšanu un papildināšanu |
4 500 |
4 500 |
|
|
| 6.1.3. | t.sk.: – pārējās valsts nodevas, kuras ieskaita pašvaldību budžetā |
500 |
500 |
|
|
| 6.2. | pašvaldību nodevas |
153 300 |
153 300 |
|
|
| 6.2.1. | t.sk.: – nodeva par domes izstrādāto oficiālo dokumentu saņemšanu |
350 |
350 |
|
|
| 6.2.2. | t.sk.: – nodeva par izklaidējoša rakstura pasākumu sarīkošanu publiskās vietās |
1 100 |
1 100 |
|
|
| 6.2.3. | t.sk.: – nodeva par tirdzniecību publiskās vietās |
27 000 |
27 000 |
|
|
| 6.2.4. | t.sk.: – nodeva par dzīvnieku turēšanu |
0 |
0 |
|
|
| 6.2.5. | t.sk.: – nodeva par reklāmas, afišu un sludinājumu izvietošanu publiskās vietās |
11 500 |
11 500 |
|
|
| 6.2.6. | t.sk.: – nodeva par būvatļaujas saņemšanu |
106 350 |
106 350 |
|
|
| 6.2.7. | t.sk.: – pārējās nodevas |
7 000 |
7 000 |
|
|
| 10.0.0.0. | 7. | Naudas sodi un sankcijas |
65 000 |
65 000 |
|
| 7.1. | Naudas sodi un sankcijas |
31 000 |
31 000 |
|
|
| 7.2. | Naudas sodi par pārkāpumiem ceļu satiksmē |
34 000 |
34 000 |
|
|
| 12.0.0.0. | 8. | Pārējie nenodokļu ieņēmumi |
176 317 |
176 317 |
|
| 8.1. | citi nenodokļu ieņēmumi |
169 864 |
169 864 |
|
|
| 8.2. | līgumsodi un procentu maksājumi par saistību neizpildi |
500 |
500 |
|
|
| 8.3. | ieņēmumi no zvejas tiesību nomas |
5 953 |
5 953 |
|
|
| 13.0.0.0. | 9. | Ieņēmumi no pašvaldības īpašumu pārdošana |
433 856 |
433 856 |
|
| 18.6.0.0. | 10. | Valsts budžeta transferti un projektu finansējums |
12 205 690 |
12 205 690 |
|
| 10.1. | Valsts budžeta transferti |
10 511 542 |
10 511 542 |
|
|
| 10.1.1. | dotācija mākslas skolas algām |
675 507 |
675 507 |
|
|
| 10.1.2. | dotācija sporta skolai |
312 590 |
312 590 |
|
|
| 10.1.3. | dotācija skolēnu ēdināšanai |
254 468 |
254 468 |
|
|
| 10.1.4. | dotācija mācību grāmatām |
64 751 |
64 751 |
|
|
| 10.1.5. | dotācijas pedagogu algām (vsk., PII) |
5 441 043 |
5 441 043 |
|
|
| 10.1.5.1. | t.sk.: – piecgadīgo bērnu apmācība |
778 047 |
778 047 |
|
|
| 10.1.5.2. | t.sk.: – skolotāju algām |
4 352 143 |
4 352 143 |
|
|
| 10.1.5.3. | t.sk.: – interešu izglītība |
310 853 |
310 853 |
|
|
| 10.1.6. | dotācija māksliniecisko kolektīvu vadītāju atalgojumam |
13 088 |
13 088 |
|
|
| 10.1.7. | Projekts "Skolas soma" Ādaži |
28 578 |
28 578 |
|
|
| 10.1.8. | Projekts "Skolas soma" Carnikava |
7 665 |
7 665 |
|
|
| 10.1.9. | dotācija asistenta pakalpojumu nodrošināšanai |
473 192 |
473 192 |
|
|
| 10.1.10. | dotācija sociālajiem darbiniekiem, kuri strādā ar ģimenēm un bērniem |
25 954 |
25 954 |
|
|
| 10.1.11. | valsts dotācija ceļu uzturēšanai |
375 056 |
375 056 |
|
|
| 10.1.12. | dotācijas Ukrainas pilsoņu atbalstam |
150 000 |
150 000 |
|
|
| 10.1.13. | dotācijas "Energoresursu atbalsts" |
663 500 |
663 500 |
|
|
| 10.1.14. | AM līdzfinansējums Vecštāles ceļa pārbūvei |
1 875 165 |
1 875 165 |
|
|
| 10.1.15. | pārējās dotācijas |
150 985 |
150 985 |
|
|
| 18.6.3.0. | 10.2. | ES struktūrfondu līdzekļi un aktivitāšu līdzfinansējumi |
1 694 148 |
1 694 148 |
|
| 10.2.1. | t.sk.: Dotācija nodarbinātības pasākumiem |
7 417 |
7 417 |
|
|
| 10.2.2. | t.sk.: Plūdu risku projekts |
109 839 |
109 839 |
|
|
| 10.2.3. | t.sk.: VISA projekts "Atbalsts izglītojamo individuālo kompetenču attīstībai" |
81 714 |
81 714 |
|
|
| 10.2.4. | t.sk.: SAM 9311 Deinstitucionalizācija – Dienas centrs – specializētās darbnīcas |
117 147 |
117 147 |
|
|
| 10.2.5. | t.sk.: Dienas centrs – pakalpojumi |
291 947 |
291 947 |
|
|
| 10.2.6. | LAD projekts "Laivu ielas un tai piegulošā auto stāvlaukuma projektēšana un būvniecība" |
104 321 |
104 321 |
|
|
| 10.2.7. | KF Ūdenssaimniecība 3. kārta Carnikavā |
40 898 |
40 898 |
|
|
| 10.2.8. | SAM 5.5.1. Kultūras objektu būvniecība |
202 410 |
202 410 |
|
|
| 10.2.9. | ERASMUS + projekti |
50 764 |
50 764 |
|
|
| 10.2.10. | Ģimenes ārsta prakses izveide Garā iela 20 (ERAF, SAM 9.3.2. 4.kārta) |
14 100 |
14 100 |
|
|
| 10.2.11. | EKII projekts |
382 739 |
382 739 |
|
|
| 10.2.12. | Katlu mājas pārbūve Carnikavā, Tulpju iela |
0 |
0 |
|
|
| 10.2.13. | Apgaismojuma izbūve uz Salas aizsargdambja D-2 posmā, Carnikavas pagastā |
31 285 |
31 285 |
|
|
| 10.2.14. | "Auto stāvlaukuma Lilastē paplašināšana, atpūtas vietu, labiekārtojuma, labierīcību, kempinga iespēju projektēšana un izbūve" © |
133 641 |
133 641 |
|
|
| 10.2.15. | Eiropas Bauhaus pieejas piemērošana sabiedrisko ēku pārveidošanai |
125 926 |
125 926 |
|
|
| 19.2.0.0. | 11. | Pašvaldību budžeta transferti |
342 100 |
342 100 |
|
| 11.1. | no citām pašvaldībām izglītības funkciju nodrošināšanai |
342 100 |
342 100 |
|
|
| 21.0.0.0. | 12. | Budžeta iestāžu ieņēmumi |
2 474 853 |
2 474 853 |
|
| 12.1. | maksa par izglītības pakalpojumiem |
149 000 |
149 000 |
|
|
| 12.1.1. | ieņēmumi no vecāku maksām (PII) |
24 000 |
24 000 |
|
|
| 12.1.2. | ieņēmumi no vecāku maksām (ĀNMS, BJSS) |
125 000 |
125 000 |
|
|
| 12.2. | ieņēmumi par nomu un īri |
207 000 |
207 000 |
|
|
| 12.2.1. | ieņēmumi par telpu nomu |
170 000 |
170 000 |
|
|
| 12.2.2. | ieņēmumi par zemes nomu |
36 000 |
36 000 |
|
|
| 12.2.3. | pārējie ieņēmumi par nomu |
1 000 |
1 000 |
|
|
| 12.3. | budžeta iestāžu maksas pakalpojumi |
2 016 853 |
2 016 853 |
|
|
| 12.3.1. | budžeta iestāžu maksas pakalpojumi |
170 000 |
170 000 |
|
|
| 12.3.2. | ieņēmumi no biļešu realizācijas |
2 500 |
2 500 |
|
|
| 12.3.3. | ieņēmumi no dzīvokļu un komunālajiem pakalpojumiem © |
1 844 353 |
1 844 353 |
|
|
| 12.4. | pārējie ieņēmumi/stāvvietu ieņēmumi |
102 000 |
102 000 |
|
|
|
KOPĀ IEŅĒMUMI: |
48 290 281 |
49 177 060 |
886 779 |
||
| F21010000 AS | 13. | Naudas līdzekļu atlikums gada sākumā |
7 741 521 |
7 741 521 |
|
| 13.1. | Naudas atlikums iezīmētiem mērķiem |
1 450 964 |
1 450 964 |
|
|
| 13.2. | Naudas atlikums pašvaldības līdzekļi |
6 290 557 |
6 290 557 |
|
|
| F40020010 | 14. | Valsts Kases kredīti |
2 647 215 |
2 647 215 |
|
| 14.1. | "Mobilitātes punkta infrastruktūras izveidošana Rīgas metropoles areālā – "Carnikava"" |
59 922 |
59 922 |
|
|
| 14.2. | Maģistrālā veloceļa izbūve Rīga-Carnikava |
207 089 |
207 089 |
|
|
| 14.3. | "Auto stāvlaukuma Lilastē paplašināšana, atpūtas vietu, labiekārtojuma, labierīcību, kempinga iespēju projektēšana un izbūve" © |
167 687 |
167 687 |
|
|
| 14.4. | SAM 5.1.1. Pretplūdu pasākumi Ādažu centra polderī, Ādažu novadā |
624 704 |
624 704 |
|
|
| 14.5. | Apgaismojuma izbūve uz Salas aizsargdambja D-2 posmā, Carnikavas pagastā |
37 335 |
37 335 |
|
|
| 14.6. | Carnikavas stadiona rekonstrukcija |
582 946 |
582 946 |
|
|
| 14.7. | Ādažu vidusskolas ēkas B korpusa un savienojuma daļas starp korpusiem (C un B) fasādes atjaunošana |
390 000 |
390 000 |
|
|
| 14.8. | Kalngales NAI pārbūve |
0 |
0 |
|
|
| 14.9. | EKII projekts |
164 032 |
164 032 |
|
|
| 14.10. | Katlu mājas pārbūve Carnikavā, Tulpju iela |
0 |
0 |
|
|
| 14.11. | Ķiršu ielas III kārta no Saules ielas līdz Attekas ielai 0.17 km |
287 500 |
287 500 |
|
|
| 14.12. | Draudzības iela posmā no Saules ielai līdz Podnieku ielai ar ietvi 0.35 km |
0 |
0 |
|
|
| 14.13. | Liepu aleja |
126 000 |
126 000 |
|
|
| 14.14. | Atpūtas ielas pārbūve |
0 |
0 |
|
|
|
KOPĀ PIEEJAMAIS FINANSĒJUMS: |
58 679 017 |
59 565 796 |
886 779 |
||
IZDEVUMU DAĻA
|
Klasifikācijas kods |
Nr.p.k. |
Sadaļa |
28.12.2023. grozījumi |
25.01.2024. grozījumi |
Izmaiņas |
| 01.000 | 1. | Vispārējie valdības dienesti |
8 545 433 |
8 701 523 |
156 090 |
| 1.1. | pārvalde |
1 888 658 |
1 888 658 |
|
|
| 1.2. | deputāti |
355 819 |
355 819 |
|
|
| 1.3. | administratīvā komisija |
58 895 |
58 895 |
|
|
| 1.4. | iepirkumu komisija |
50 294 |
50 294 |
|
|
| 1.5. | vēlēšanu komisija |
6 588 |
6 588 |
|
|
| 1.6. | pārējās komisijas |
69 620 |
69 620 |
|
|
| 1.7. | aizņēmumu procentu maksājumi |
1 224 463 |
1 224 463 |
|
|
| 1.8. | Iemaksas PFIF |
4 533 516 |
4 689 606 |
156 090 |
|
| 1.9. | Informācijas tehnoloģiju nodaļa, vispārējas nozīmes dienestu darbība un pakalpojumi – datortīkla uzturēšana |
357 580 |
357 580 |
|
|
| 03.000 | 2. | Sabiedriskā kārtība un drošība |
936 069 |
936 069 |
|
| 04.000 | 3. | Ekonomiskā darbība |
589 486 |
589 486 |
|
| 3.1. | Sabiedriskās attiecības, laikraksts |
207 617 |
207 617 |
|
|
| 3.2. | Autoceļu fonds |
381 869 |
381 869 |
|
|
| 05.000 | 4. | Vides aizsardzība |
110 002 |
110 002 |
|
| 4.1. | Dabas resursu nodokļa izlietojums |
110 002 |
110 002 |
|
|
| 06.000 | 5. | Pašvaldības teritoriju un mājokļu apsaimniekošana |
15 607 183 |
15 607 183 |
|
| 5.1. | Izdevumi neparedzētiem gadījumiem |
70 000 |
70 000 |
|
|
| 5.2. | Būvvalde |
328 524 |
328 524 |
|
|
| 5.3. | Teritorijas plānošanas nodaļa |
334 488 |
334 488 |
|
|
| 5.4. | Attīstības un projektu nodaļa |
1 480 257 |
1 480 257 |
|
|
| 5.4.1. | nodaļa |
842 434 |
842 434 |
|
|
| 5.4.2. | Projekts "Sabiedrība ar dvēseli" |
41 630 |
41 630 |
|
|
| 5.4.3. | Iedzīvotāju iniciatīvas un konkursi. |
10 000 |
10 000 |
|
|
| 5.4.4. | TEP "Atjaunojamo energoresursu izmantošana Ādažu novadā" (EUCF) |
60 000 |
60 000 |
|
|
| 5.4.5. | "Mobilitātes punkta infrastruktūras izveidošana Rīgas metropoles areālā – "Carnikava"" |
85 290 |
85 290 |
|
|
| 5.4.6. | Maģistrālā veloceļa izbūve Rīga–Carnikava |
236 171 |
236 171 |
|
|
| 5.4.7. | Apgaismojuma izbūve uz Salas aizsargdambja D-2 posmā, Carnikavas pagastā |
53 240 |
53 240 |
|
|
| 5.4.8. | ES Padomes projekts LIFE COHABIT © |
8 987 |
8 987 |
|
|
| 5.4.9. | Pārrobežu EST-LAT projekts "Militārais mantojums © |
208 |
208 |
|
|
| 5.4.10. | Ģimenes ārsta prakses izveide Garā iela 20 (ERAF, SAM 9.3.2. 4.kārta) |
16 371 |
16 371 |
|
|
| 5.4.11. | Eiropas Bauhaus pieejas piemērošana sabiedrisko ēku pārveidošanai |
125 926 |
125 926 |
|
|
| 5.5. | Objektu un teritorijas apsaimniekošana un uzturēšana |
13 393 914 |
13 393 914 |
|
|
| 5.5.1. | Nekustamā īpašuma nodaļa |
1 429 636 |
1 429 636 |
|
|
| 5.5.2. | Mežaparka ceļš (Ā) |
355 701 |
355 701 |
|
|
| 5.5.3. | SAM 5.1.1. Pretplūdu pasākumi Ādažu centra polderī, Ādažu novadā |
891 139 |
891 139 |
|
|
| 5.5.4. | Pašvaldības aģentūra "Carnikavas Komunālserviss" |
2 173 751 |
2 173 751 |
|
|
| 5.5.5. | P/A "Carnikavas komunālserviss" teritorijas un īpašumu apsaimniekošana |
5 476 952 |
5 476 952 |
|
|
| 5.5.6. | Auto stāvlaukuma Lilastē paplašināšanas un atpūtas vietu labiekārtojuma projektēšana un izbūve |
242 379 |
242 379 |
|
|
| 5.5.7. | Ķiršu ielas III kārta no Saules ielas līdz Attekas ielai 0.17 km |
323 472 |
323 472 |
|
|
| 5.5.8. | Draudzības iela posmā no Saules ielai līdz Podnieku ielai ar ietvi 0.35 km |
6 050 |
6 050 |
|
|
| 5.5.9. | AM līdzfinansējums Vecštāles ceļa pārbūvei |
1 875 165 |
1 875 165 |
|
|
| 5.5.10. | Rasiņu ielas seguma atjaunošana |
32 000 |
32 000 |
|
|
| 5.5.11. | Kalngales NAI pārbūve |
0 |
0 |
|
|
| 5.5.12. | EKII projekts |
546 771 |
546 771 |
|
|
| 5.5.13. | Katlu mājas pārbūve Carnikavā, Tulpju iela |
0 |
0 |
|
|
| 5.5.14. | KF Ūdenssaimniecības projekts Carnikavā, 3. kārta © |
40 898 |
40 898 |
|
|
| 08.000 | 6. | Atpūta, kultūra un reliģija |
2 575 054 |
2 575 054 |
|
| 6.1. | Kultūra |
1 225 606 |
1 225 606 |
|
|
| 6.1.1. | Ādažu kultūras centrs |
608 605 |
608 605 |
|
|
| 6.1.2. | Tautas nams "Ozolaine" |
428 634 |
428 634 |
|
|
| 6.1.3. | Muzejs un Carnikavas novadpētniecības centrs |
188 367 |
188 367 |
|
|
| 6.2. | Dziesmu svētki 2023 |
136 146 |
136 146 |
|
|
| 6.3. | SAM 5.5.1. Kultūras objektu būvniecība (maksājumi projekta partneriem) |
212 422 |
212 422 |
|
|
| 6.4. | ES projekts Eiropa pilsoņiem (diskriminētām personām) |
15 704 |
15 704 |
|
|
| 6.5. | Ādažu bibliotēka |
135 295 |
135 295 |
|
|
| 6.6. | Carnikavas bibliotēka |
65 560 |
65 560 |
|
|
| 6.7. | Sporta daļa |
761 093 |
761 093 |
|
|
| 6.8. | Evaņģēliski luteriskās draudzes |
4 000 |
4 000 |
|
|
| 6.9. | Multihalle |
19 228 |
19 228 |
|
|
| 10.000 | 7. | Sociālā aizsardzība |
4 301 907 |
4 302 407 |
500 |
| 7.1. | Sociālais dienests |
2 457 635 |
2 458 135 |
500 |
|
| 7.1.1. | Sociālās funkcijas nodrošināšana |
578 699 |
578 699 |
|
|
| 7.1.2. | Pabalsti |
1 373 990 |
1 373 990 |
|
|
| 7.1.3. | Mērķdotācija |
25 954 |
25 954 |
|
|
| 7.1.4. | Asistentu pakalpojumi |
473 192 |
473 692 |
500 |
|
| 7.1.5. | Sociālā centra "Kadiķis" uzturēšana |
5 800 |
5 800 |
|
|
| 7.2. | Stipendiāti / bezdarbnieki |
10 038 |
10 038 |
|
|
| 7.3. | SAM 9311 Deinstitucionalizācija – Dienas centrs |
818 057 |
818 057 |
|
|
| 7.3.1. | DI centra uzturēšanas izdevumi |
326 297 |
326 297 |
|
|
| 7.3.2. | DI projekts – specializētās darbnīcas |
161 090 |
161 090 |
|
|
| 7.3.3. | DI centra pakalpojumi (projekts) |
330 670 |
330 670 |
|
|
| 7.4. | Bāriņtiesa |
125 796 |
125 796 |
|
|
| 7.5. | Dotācijas "Energoresursu atbalsts" |
698 344 |
698 344 |
|
|
| 7.6. | Dotācijas Ukrainas pilsoņu atbalstam |
150 000 |
150 000 |
|
|
| 7.7. | SAM 9.2.4.2. projekts "Pasākumi vietējās sabiedrības veselības veicināšanai Ādažu novada pašvaldības Ādažu pagastā" |
23 597 |
23 597 |
|
|
| 7.8. | SAM 9.2.4.2. projekts "Pasākumi vietējās sabiedrības veselības veicināšanai Ādažu novada pašvaldības Carnikavas pagastā" |
18 440 |
18 440 |
|
|
| 09.000 | 8. | Izglītība |
22 040 448 |
22 040 448 |
|
| 8.1. | Norēķini ar pašvaldību budžetiem par izglītības iestāžu pakalpojumiem |
783 532 |
783 532 |
|
|
| 8.2. | Ādažu Pirmsskolas izglītības iestāde |
1 981 391 |
1 981 077 |
-314 |
|
| 8.2.1. | pedagogu algas, grāmatas (mērķdotācija) |
299 143 |
298 829 |
-314 |
|
| 8.2.2. | pārējās izmaksas |
1 682 248 |
1 682 248 |
|
|
| 8.3. | Kadagas PII |
1 237 648 |
1 237 648 |
|
|
| 8.3.1. | pedagogu algas, grāmatas (mērķdotācija) |
120 814 |
120 814 |
|
|
| 8.3.2. | pārējās izmaksas |
1 116 834 |
1 116 834 |
|
|
| 8.4. | Pirmsskolas izglītības iestāde "Riekstiņš" |
1 327 591 |
1 327 591 |
|
|
| 8.4.1. | pedagogu algas, grāmatas (mērķdotācija) |
196 081 |
196 081 |
|
|
| 8.4.2. | pārējās izmaksas |
968 536 |
968 536 |
|
|
| 8.4.3. | uzturēšanas izmaksas (CKS) |
162 974 |
162 974 |
|
|
| 8.5. | Pirmsskolas izglītības iestādes "Piejūra" |
1 252 512 |
1 252 776 |
264 |
|
| 8.5.1. | pedagogu algas, grāmatas (mērķdotācija) |
89 997 |
90 261 |
264 |
|
| 8.5.2. | pārējās izmaksas |
1 003 768 |
1 003 768 |
|
|
| 8.5.3. | uzturēšanas izmaksas (CKS) |
158 747 |
158 747 |
|
|
| 8.6. | Privātās izglītības iestādes |
2 459 747 |
2 459 747 |
|
|
| 8.7. | Carnikavas pamatskola |
2 087 578 |
2 083 828 |
-3 750 |
|
| 8.7.1. | pedagogu algas, grāmatas (mērķdotācija) |
983 195 |
979 445 |
-3 750 |
|
| 8.7.2. | ēdināšana (mērķdotācija) |
74 869 |
74 869 |
|
|
| 8.7.3. | pārējās izmaksas |
682 155 |
682 155 |
|
|
| 8.7.4. | uzturēšanas izmaksas (CKS) |
244 781 |
244 781 |
|
|
| 8.7.5. | projekts "Skolas soma" |
7 665 |
7 665 |
|
|
| 8.7.6. | projekts Erasmus+ |
94 913 |
94 913 |
|
|
| 8.8. | Carnikavas stadiona rekonstrukcija |
806 633 |
806 633 |
|
|
| 8.9. | Ādažu vidusskola |
7 416 867 |
7 420 667 |
3 800 |
|
| 8.9.1. | pedagogu algas, grāmatas (mērķdotācija) |
3 806 584 |
3 810 334 |
3 750 |
|
| 8.9.2. | pārējās izmaksas |
1 466 882 |
1 466 882 |
|
|
| 8.9.3. | projekts Erasmus+ |
250 373 |
250 373 |
|
|
| 8.9.4. | projekts "Skolas soma" |
28 632 |
28 632 |
|
|
| 8.9.5. | Ādažu vidusskolas ēkas B korpusa un savienojuma daļas starp korpusiem (C un B) fasādes atjaunošana |
433 500 |
433 500 |
|
|
| 8.9.6. | sākumskolas uzturēšanas izmaksas |
851 167 |
851 167 |
|
|
| 8.9.7. | sākumskolas ēdināšana (mērķdotācija) |
173 758 |
173 758 |
|
|
| 8.9.8. | PII |
405 971 |
406 021 |
50 |
|
| 8.9.8.1. | – pedagogu algas (mērķdotācija) |
94 430 |
94 480 |
50 |
|
| 8.9.8.2. | – uzturēšana |
311 541 |
311 541 |
|
|
| 8.10. | Ādažu novada mākslu skola |
1 570 960 |
1 570 960 |
|
|
| 8.10.1. | pedagogu algas (mērķdotācija) |
675 507 |
675 507 |
|
|
| 8.10.2. | pārējās izmaksas |
895 453 |
895 453 |
|
|
| 8.11. | Sporta skola |
656 559 |
656 559 |
|
|
| 8.11.1. | pedagogu algas (mērķdotācija) |
312 610 |
312 610 |
|
|
| 8.11.2. | Pašvaldības finansējums |
343 949 |
343 949 |
|
|
| 8.12. | Izglītības un jauniešu lietu pārvalde |
325 841 |
325 841 |
|
|
| 8.13. | Aktivitātes jauniešiem, jauniešu projektu konkurss |
3 000 |
3 000 |
|
|
| 8.14. | ESF projekts Atbalsts priekšlaicīgas mācību pārtraukšanas samazināšanai |
16 292 |
16 292 |
|
|
| 8.15. | ESF projekts Karjeras atbalsts vispārējās un profesionālās izglītības iestādēs © |
1 049 |
1 049 |
|
|
| 8.16. | Valsts finansējums projektu konkursā "Atbalsts jaunatnes politikas īstenošanai vietējā līmenī" projekts "Mobilais darbs ar jaunatni Ādažu novadā" |
7 005 |
7 005 |
|
|
| 8.17. | VISA projekts "Atbalsts izglītojamo individuālo kompetenču attīstībai" |
106 243 |
106 243 |
|
|
| 8.17.1. | Ādaži |
70 943 |
70 943 |
|
|
| 8.17.2. | Carnikava |
35 300 |
35 300 |
|
|
| 9. | Ieguldījumi uzņēmuma pamatkapitālā |
150 000 |
150 000 |
|
|
| 9.1. | SIA "Ādažu ūdens" |
150 000 |
150 000 |
|
|
| 9.2. | SIA "Garkalnes ūdens" |
|
|
|
|
|
KOPĀ IZDEVUMI: |
54 855 583 |
55 012 173 |
156 590 |
||
| F40020020 | 10. | Kredītu pamatsummas atmaksa |
3 772 866 |
3 772 866 |
|
|
PAVISAM KOPĀ IZDEVUMI: |
58 628 449 |
58 785 039 |
156 590 |
||
|
F21010000 AB |
– |
Naudas līdzekļu atlikums uz gada beigām |
50 568 |
780 757 |
730 189 |
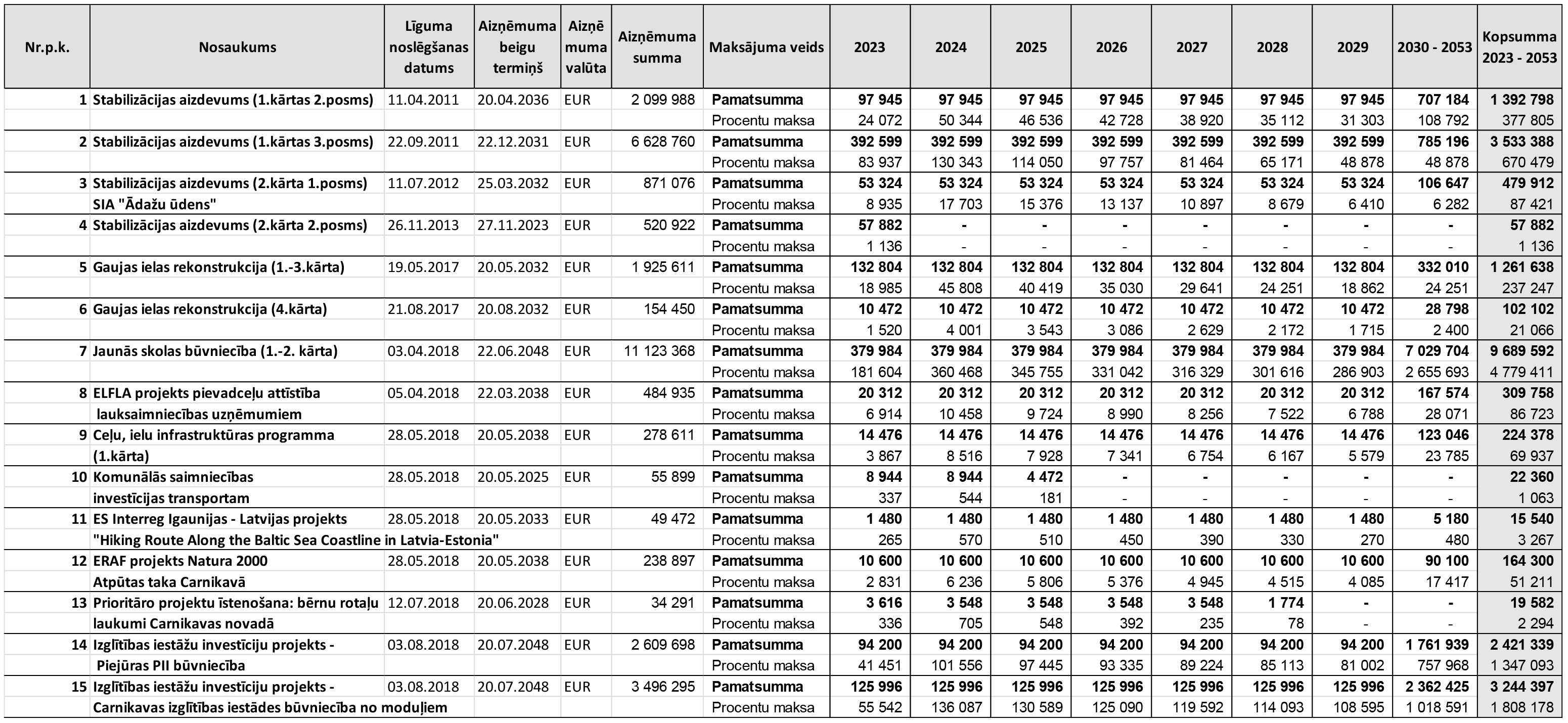
2. pielikums
Ādažu novada pašvaldības domes 2024. gada 25. janvāra saistošajiem noteikumiem
Nr. 7/2024 "Grozījumi Ādažu novada pašvaldības domes 2023. gada 25. janvāra
saistošajos noteikumos Nr. 1/2023 "Par Ādažu novada pašvaldības budžetu 2023.
gadam""
Aizņēmumu un citu ilgtermiņa saistību pārskats
Ādažu novada pašvaldības domes priekšsēdētāja K. Miķelsone
3. pielikums
Ādažu novada pašvaldības domes 2024. gada 25. janvāra saistošajiem noteikumiem
Nr. 7/2024 "Grozījumi Ādažu novada pašvaldības domes 2023. gada 25. janvāra
saistošajos noteikumos Nr. 1/2023 "Par Ādažu novada pašvaldības budžetu 2023.
gadam""
Paskaidrojuma raksts
Ādažu novada pašvaldības domes budžeta grozījumi 2023. gadam apstiprināti 2024. gada 25. janvārī. Budžeta grozījumi sastāv no pamatbudžeta, kuru veido ieņēmumu, izdevumu daļas un aizņēmumu un citu ilgtermiņa saistību pārskats. Pašvaldība ir ņēmusi vērā visu funkciju vajadzības un sabalansējusi pieejamos finanšu līdzekļus tā, lai nodrošinātu uzlabojumus sabiedrībai svarīgās jomās saskaņā ar pašvaldības attīstības plānošanas dokumentos noteiktajiem mērķiem.
Saistošie noteikumi paredz šādus grozījumus budžetā:
• 886’779 euro papildus iedzīvotāju ienākumu nodokļa (IIN) ieņēmumi, balstoties uz faktiski ieskaitīto pašvaldības budžetā, kas ir lielāki kā plānots. Līdz ar lielāku saņemto IIN, pieaug arī iemaksas pašvaldības finanšu izlīdzināšanas fondā par 156’090 euro.
• Izmaksas asistentu pakalpojumu nodrošināšanai izdevumu sadaļā bija par 500 euro lielākas, kas tiks ieskaitīta pašvaldības budžetā 2024. gada janvārī.
• Šajos budžeta grozījumos ir precizēts mērķdotāciju apjoms mācību materiālu iegādei starp pirmsskolas izglītības iestādēm (PII), pārceļot 264 euro no PII "Strautiņš" uz PII "Piejūra".
• Papildus ir precizēts pedagogu mērķdotācijas apjoma sadalījums starp iestādēm, pārceļot 50 euro no PII "Strautiņš" uz Ādažu vidusskolas PII, un 3’750 euro no Carnikavas pamatskolas uz Ādažu vidusskolu.
• Ir precizēts arī pedagogu mērķdotācijas apjoma sadalījums starp iestādēm, pārceļot 50 euro no PII "Strautiņš" uz Ādažu vidusskolas PII.
Budžeta grozījumu ietvaros ir veikti nepieciešamie grozījumi, kas saistīti ar finansējuma iekšējo pārdali pa klasifikācijas kodiem, apstiprināto tāmju ietvaros nodaļu un iestāžu darbības nodrošināšanai.
Kopumā Ādažu novada pašvaldības domes budžeta grozījumi paredz ieņēmumu palielinājumu par 886’779 euro, nosakot budžeta ieņēmumus 49’177’060 euro un izdevumu daļas palielinājumu par 156’590 euro, nosakot budžeta izdevumus 55’012’173 euro. Plānoto aizņēmumu 2’647’215 euro apmērā, un aizņēmumu pamatsummas atmaksu 2023. gadā 3’772’866 euro apmērā.
Ādažu novada pašvaldības domes priekšsēdētāja K. Miķelsone