
Ādažu novada domes saistošie noteikumi: Šajā laidienā 2 Pēdējās nedēļas laikā 2 Visi
Ādažu novada pašvaldības domes saistošie noteikumi Nr. 42/2024
Ādažos 2024. gada 29. augustā
Grozījumi Ādažu novada pašvaldības domes 2023. gada 28. decembra saistošajos noteikumos Nr. 52/2023 "Par Ādažu novada pašvaldības budžetu 2024. gadam"
APSTIPRINĀTI
ar Ādažu novada pašvaldības domes
2024. gada 29. augusta sēdes lēmumu
(prot. Nr. 20 § 51)
Izdoti saskaņā ar Pašvaldību likuma
10. panta pirmās daļas 1. punktu un 48. pantu,
likuma "Par pašvaldību budžetiem"
16. un 17. pantu
un likuma "Par budžetu un finanšu vadību"
6. pantu
Izdarīt Ādažu novada pašvaldības domes 2023. gada 28. decembra saistošajos noteikumos Nr. 52/2023 "Par Ādažu novada pašvaldības budžetu 2024. gadam" šādus grozījumus:
1. Izteikt noteikumu 2. punkta 2.3., 2.3.1., 2.3.2., 2.3.3. un 2.3.4. apakšpunktus šādā redakcijā:
2.3. "pamatbudžets 2024. gadā (1. pielikums):
2.3.1. ieņēmumi – EUR 53 088 603;
2.3.2. izdevumi – EUR 61 061 627;
2.3.3. plānotie aizņēmumi – EUR 1 913 234;
2.3.4. atmaksājamā summa Valsts kases kredītiem (2. pielikums) – EUR 3 657 198".
Ādažu novada pašvaldības domes priekšsēdētāja K. Miķelsone
1. pielikums
Ādažu novada pašvaldības domes 2024. gada 29. augusta
saistošajiem noteikumiem Nr. 42/2024 "Grozījumi Ādažu novada pašvaldības domes
2023. gada 28. decembra saistošajos noteikumos Nr. 52/2023
"Par Ādažu novada pašvaldības budžetu 2024. gadam""
Pamatbudžets 2024. gadam
IEŅĒMUMU DAĻA
|
Klasifikācijas kods |
Nr.p.k. |
Sadaļa |
27.06.2024. grozījumi |
29.08.2024. grozījumi |
Izmaiņas |
| 1. – 5. | Nodokļu ieņēmumi |
38 519 847 |
38 539 687 |
19 840 |
|
| 1.1.0.0. | 1. | Iedzīvotāju ienākuma nodoklis |
35 276 996 |
35 296 836 |
19 840 |
|
1.1. |
pārskata gada |
35 276 996 |
35 296 836 |
19 840 |
|
| 4.1.1.0. | 2. | Nekustamā īpašuma nodoklis par zemi |
2 040 018 |
2 040 018 |
|
|
2.1. |
pārskata gada |
1 900 000 |
1 900 000 |
||
|
2.2. |
iepriekšējo gadu parādi |
140 018 |
140 018 |
||
| 4.1.2.0. | 3. | Nekustamā īpašuma nodoklis par ēkām |
410 967 |
410 967 |
|
|
3.1. |
pārskata gada |
350 989 |
350 989 |
||
|
3.2. |
iepriekšējo gadu parādi |
59 978 |
59 978 |
||
| 4.1.3.0. | 4. | Nekustamā īpašuma nodoklis par mājokļiem un inženierbūvēm |
721 866 |
721 866 |
|
|
4.1. |
pārskata gada |
650 000 |
650 000 |
||
|
4.2. |
iepriekšējo gadu parādi |
71 866 |
71 866 |
||
| 5.5.3.0. | 5. | Dabas resursu nodoklis |
70 000 |
70 000 |
|
| 9.0.0.0. | 6. | Valsts (pašvaldību) un kancelejas nodevas |
167 000 |
167 000 |
|
|
6.1. |
valsts nodevas |
6 700 |
6 700 |
||
|
6.1.1. |
t.sk.: – par apliecinājumiem un citu funkciju pildīšanu bāriņtiesā |
1 700 |
1 700 |
||
|
6.1.2. |
t.sk.: – par civilstāvokļa aktu reģistrēšanu, grozīšanu un papildināšanu |
4 500 |
4 500 |
||
|
6.1.3. |
t.sk.: – pārējās valsts nodevas, kuras ieskaita pašvaldību budžetā |
500 |
500 |
||
|
6.2. |
pašvaldību nodevas |
160 300 |
160 300 |
||
|
6.2.1. |
t.sk.: – nodeva par domes izstrādāto oficiālo dokumentu saņemšanu |
350 |
350 |
||
|
6.2.2. |
t.sk.: – nodeva par izklaidējoša rakstura pasākumu sarīkošanu publiskās vietās |
1 100 |
1 100 |
||
|
6.2.3. |
t.sk.: – nodeva par tirdzniecību publiskās vietās |
34 000 |
34 000 |
||
|
6.2.4. |
t.sk.: – nodeva par dzīvnieku turēšanu |
– |
– |
||
|
6.2.5. |
t.sk.: – nodeva par reklāmas, afišu un sludinājumu izvietošanu publiskās vietās |
11 500 |
11 500 |
||
|
6.2.6. |
t.sk.: – nodeva par būvatļaujas saņemšanu |
106 350 |
106 350 |
||
|
6.2.7. |
t.sk.: – pārējās nodevas |
7 000 |
7 000 |
||
| 10.0.0.0. | 7. | Naudas sodi un sankcijas |
65 000 |
110 000 |
45 000 |
|
7.1. |
Naudas sodi un sankcijas |
31 000 |
76 000 |
45 000 |
|
|
7.2. |
Naudas sodi par pārkāpumiem ceļu satiksmē |
34 000 |
34 000 |
||
| 12.0.0.0. | 8. | Pārējie nenodokļu ieņēmumi |
57 106 |
124 631 |
67 525 |
|
8.1. |
citi nenodokļu ieņēmumi |
50 653 |
111 653 |
61 000 |
|
|
8.2. |
līgumsodi un procentu maksājumi par saistību neizpildi |
500 |
500 |
||
|
8.3. |
ieņēmumi no zvejas tiesību nomas |
5 953 |
12 478 |
6 525 |
|
| 13.0.0.0. | 9. | Ieņēmumi no pašvaldības īpašumu pārdošana |
28 951 |
59 156 |
30 205 |
| 18.6.0.0. | 10. | Valsts budžeta transferti un projektu finansējums |
10 765 964 |
10 824 662 |
58 698 |
|
10.1. |
Valsts budžeta transferti |
9 519 030 |
9 519 030 |
||
|
10.1.1. |
dotācija mākslas skolas algām |
793 713 |
793 713 |
||
|
10.1.2. |
dotācija sporta skolai |
291 625 |
291 625 |
||
|
10.1.3. |
dotācija skolēnu ēdināšanai |
249 276 |
249 276 |
||
|
10.1.4. |
dotācija mācību grāmatām |
112 839 |
112 839 |
||
|
10.1.5. |
dotācijas pedagogu algām (vsk., PII) |
6 646 187 |
6 646 187 |
||
|
10.1.5.1. |
t.sk.: – piecgadīgo bērnu apmācība |
1 100 762 |
1 100 762 |
||
|
10.1.5.2. |
t.sk.: – skolotāju algām |
5 109 846 |
5 109 846 |
||
|
10.1.5.3. |
t.sk.: – interešu izglītība |
435 579 |
435 579 |
||
|
10.1.6. |
dotācija māksliniecisko kolektīvu vadītāju atalgojumam |
13 088 |
13 088 |
||
|
10.1.7. |
Projekts "Skolas soma" Ādaži |
40 660 |
40 660 |
||
|
10.1.8. |
Projekts "Skolas soma" Carnikava |
11 220 |
11 220 |
||
|
10.1.9. |
dotācija asistenta pakalpojumu nodrošināšanai |
501 000 |
501 000 |
||
|
10.1.10. |
valsts dotācija ceļu uzturēšanai |
406 769 |
406 769 |
||
|
10.1.11. |
dotācijas Ukrainas pilsoņu atbalstam |
50 000 |
50 000 |
||
|
10.1.12. |
dotācijas "Energoresursu atbalsts" |
200 000 |
200 000 |
||
|
10.1.13. |
pārējās dotācijas |
202 653 |
202 653 |
||
|
18.6.3.0. |
10.2. |
ES struktūrfondu līdzekļi un aktivitāšu līdzfinansējumi |
1 246 934 |
1 305 632 |
58 698 |
|
10.2.1. |
Plūdu risku projekts |
92 966 |
92 966 |
||
|
10.2.2. |
Pastaigu taka gar Baltezera kanālu |
63 988 |
63 988 |
||
|
10.2.3. |
LAD, Jūras Zeme projekts, Mākslu skolas ārtelpas projekts Garā iela 20, Carnikavā |
2 532 |
2 532 |
||
|
10.2.4. |
Publiskās ārtelpas izveide Gaujas ielā 31 Ādažos |
5 135 |
17 733 |
12 598 |
|
|
10.2.5. |
Projekts "Eiropas pilsētu iniciatīva" |
9 000 |
9 000 |
||
|
10.2.6. |
Projekts jauniešu asociāciju federācija Eiropas mobilitātei. CERV programmas projekts "YOUTth and democracy: empowering Europe's next generation" |
6 010 |
6 010 |
||
|
10.2.7. |
Projekts par energokopienām. Magliano Alpi pašvaldības Itālijā CERV Town Twinning programmas projekta ietvaros |
30 655 |
30 655 |
||
|
10.2.8. |
Dalība atveseļošanas un noturības mehānisma pasākumā "Atbalsta pasākumi cilvēkiem ar invaliditāti mājokļu vides pieejamības nodrošināšanai" |
18 299 |
18 299 |
||
|
10.2.9. |
ERASMUS + projekti |
150 645 |
196 745 |
46 100 |
|
|
10.2.10. |
"Mobilitātes punkta infrastruktūras izveidošana Rīgas metropoles areālā – "Carnikava"" |
118 650 |
118 650 |
||
|
10.2.11. |
Maģistrālā veloceļa izbūve Rīga–Carnikava |
390 462 |
390 462 |
||
|
10.2.12. |
EKII projekts |
358 592 |
358 592 |
||
| 19.2.0.0. | 11. | Pašvaldību budžeta transferti |
295 000 |
375 000 |
80 000 |
|
11.1. |
no citām pašvaldībām izglītības funkciju nodrošināšanai |
295 000 |
375 000 |
80 000 |
|
| 21.0.0.0. | 12. | Budžeta iestāžu ieņēmumi |
2 675 467 |
2 888 467 |
213 000 |
|
12.1. |
maksa par izglītības pakalpojumiem |
149 000 |
279 000 |
130 000 |
|
|
12.1.1. |
ieņēmumi no vecāku maksām (PII) |
24 000 |
79 000 |
55 000 |
|
|
12.1.2. |
ieņēmumi no vecāku maksām (ĀNMS, BJSS) |
125 000 |
200 000 |
75 000 |
|
|
12.2. |
ieņēmumi par nomu un īri |
195 370 |
278 370 |
83 000 |
|
|
12.2.1. |
ieņēmumi par telpu nomu |
158 370 |
220 370 |
62 000 |
|
|
12.2.2. |
ieņēmumi par zemes nomu |
36 000 |
57 000 |
21 000 |
|
|
12.2.3. |
pārējie ieņēmumi par nomu |
1 000 |
1 000 |
||
|
12.3. |
budžeta iestāžu maksas pakalpojumi |
2 224 097 |
2 224 097 |
||
|
12.3.1. |
budžeta iestāžu maksas pakalpojumi |
135 600 |
135 600 |
||
|
12.3.2. |
ieņēmumi no biļešu realizācijas |
2 500 |
2 500 |
||
|
12.3.3. |
ieņēmumi no dzīvokļu un komunālajiem pakalpojumiem © |
2 085 997 |
2 085 997 |
||
|
12.4. |
pārējie ieņēmumi/stāvvietu ieņēmumi |
107 000 |
107 000 |
||
| KOPĀ IEŅĒMUMI: |
52 574 335 |
53 088 603 |
514 268 |
||
| F21010000 AS | 13. | Naudas līdzekļu atlikums gada sākumā |
9 755 067 |
9 755 067 |
|
|
13.1. |
Naudas atlikums iezīmētiem mērķiem |
3 195 223 |
3 195 223 |
||
|
13.2. |
Naudas atlikums pašvaldības līdzekļi |
6 559 844 |
6 559 844 |
||
| F40020010 | 14. | Valsts Kases kredīti |
1 941 929 |
1 913 234 |
-28 695 |
|
14.1. |
Jaunas pirmsskolas izglītības iestādes būvniecībai Podniekos |
541 742 |
513 047 |
-28 695 |
|
|
14.2. |
SAM 5.1.1. Pretplūdu pasākumi Ādažu centra polderī, Ādažu novadā |
349 985 |
349 985 |
||
|
14.3. |
Ādažu vidusskolas ēkas B korpusa un savienojuma daļas starp korpusiem (C un B) fasādes atjaunošana |
79 023 |
79 023 |
||
|
14.4. |
Ādažu vidusskolas ēkas A korpusa, savienojuma daļas starp korpusiem (A un B), kā arī, vidusskolas centrālās daļas, tai skaitā torņa fasādes atjaunošana. |
783 000 |
783 000 |
||
|
14.5. |
EKII projekts |
188 179 |
188 179 |
||
|
KOPĀ PIEEJAMAIS FINANSĒJUMS: |
64 271 331 |
64 756 904 |
485 573 |
||
IZDEVUMU DAĻA
|
Klasifikācijas kods |
Nr.p.k. |
Sadaļa |
27.06.2024. grozījumi |
29.08.2024. grozījumi |
Izmaiņas |
| 01.000 | 1. | Vispārējie valdības dienesti |
11 668 303 |
11 628 303 |
-40 000 |
|
1.1. |
pārvalde |
1 983 487 |
1 983 487 |
||
|
1.2. |
deputāti |
376 850 |
376 850 |
||
|
1.3. |
administratīvā komisija |
62 512 |
62 512 |
||
|
1.4. |
iepirkumu komisija |
45 277 |
45 277 |
||
|
1.5. |
vēlēšanu komisija |
67 053 |
67 053 |
||
|
1.6. |
pārējās komisijas |
53 045 |
53 045 |
||
|
1.7. |
aizņēmumu procentu maksājumi |
2 178 615 |
2 138 615 |
-40 000 |
|
|
1.8. |
Iemaksas PFIF |
6 498 116 |
6 498 116 |
||
|
1.9. |
Informācijas tehnoloģiju nodaļa, vispārējas nozīmes dienestu darbība un pakalpojumi – datortīkla uzturēšana |
403 348 |
403 348 |
||
| 03.000 | 2. | Sabiedriskā kārtība un drošība |
1 046 226 |
1 058 357 |
12 131 |
| 04.000 | 3. | Ekonomiskā darbība |
587 548 |
587 548 |
|
|
3.1. |
Sabiedriskās attiecības, laikraksts |
179 026 |
179 026 |
||
|
3.2. |
Autoceļu fonds |
408 522 |
408 522 |
||
| 05.000 | 4. | Vides aizsardzība |
174 970 |
174 970 |
|
|
4.1. |
Dabas resursu nodokļa izlietojums |
174 970 |
174 970 |
||
| 06.000 | 5. | Pašvaldības teritoriju un mājokļu apsaimniekošana |
15 381 807 |
15 496 067 |
114 260 |
|
5.1. |
Izdevumi neparedzētiem gadījumiem |
70 000 |
70 000 |
||
|
5.2. |
Būvvalde |
330 452 |
330 452 |
||
|
5.3. |
Teritorijas plānošanas nodaļa |
393 055 |
393 055 |
||
|
5.4. |
Attīstības un projektu nodaļa |
1 862 424 |
1 777 862 |
-84 562 |
|
|
5.4.1. |
nodaļa |
669 797 |
531 836 |
-137 961 |
|
|
5.4.2. |
Projekts "Sabiedrība ar dvēseli" |
40 000 |
40 000 |
||
|
5.4.3. |
Iedzīvotāju iniciatīvas un konkursi. |
15 094 |
15 094 |
||
|
5.4.4. |
TEP "Atjaunojamo energoresursu izmantošana Ādažu novadā" (EUCF) |
50 458 |
50 458 |
||
|
5.4.5. |
"Mobilitātes punkta infrastruktūras izveidošana Rīgas metropoles areālā – "Carnikava"" |
117 357 |
117 357 |
||
|
5.4.6. |
Maģistrālā veloceļa izbūve Rīga–Carnikava |
397 337 |
397 337 |
||
|
5.4.7. |
Pastaigu taka gar Baltezera kanālu |
280 127 |
280 127 |
||
|
5.4.8. |
LAD, Jūras Zeme projekts, Mākslu skolas ārtelpas projekts Garā iela 20, Carnikavā |
19 868 |
19 868 |
||
|
5.4.9. |
Publiskās ārtelpas izveide Gaujas ielā 31 Ādažos |
7 900 |
20 498 |
12 598 |
|
|
5.4.10. |
Projekts "Eiropas pilsētu iniciatīva" |
9 000 |
9 000 |
||
|
5.4.11. |
Projekts jauniešu asociāciju federācija Eiropas mobilitātei. CERV programmas projekts "YOUTth and democracy: empowering Europe's next generation" |
12 020 |
12 020 |
||
|
5.4.12. |
Projekts par energokopienām. Magliano Alpi pašvaldības Itālijā CERV Town Twinning programmas projekta ietvaros |
30 655 |
30 655 |
||
|
5.4.13. |
LIFE NewBauhaus projekts |
168 527 |
168 527 |
||
|
5.4.14. |
ANM pasākuma "Atbalsta pasākumi cilvēkiem ar invaliditāti mājokļu vides pieejamības nodrošināšanai" projekts |
44 284 |
– |
-44 284 |
|
|
5.4.15. |
Krastupes ielas projekts |
– |
85 085 |
85 085 |
|
|
5.5. |
Objektu un teritorijas apsaimniekošana un uzturēšana |
12 725 876 |
12 924 698 |
198 822 |
|
|
5.5.1. |
Nekustamā īpašuma nodaļa |
1 199 200 |
1 201 600 |
2 400 |
|
|
5.5.2. |
Vecštāles ceļa rekonstrukcija |
1 875 165 |
1 875 165 |
||
|
5.5.3. |
SAM 5.1.1. Pretplūdu pasākumi Ādažu centra polderī, Ādažu novadā |
452 896 |
452 896 |
||
|
5.5.4. |
Jaunais plūdu projekts – 2.1.3.2. "Nacionālas nozīmes plūdu un krasta erozijas pasākumi" 1.daļa |
– |
120 000 |
120 000 |
|
|
5.5.5. |
Pašvaldības aģentūra "Carnikavas Komunālserviss" |
2 254 379 |
2 254 379 |
||
|
5.5.6. |
P/A "Carnikavas komunālserviss" teritorijas un īpašumu apsaimniekošana |
5 380 462 |
5 420 641 |
40 179 |
|
|
5.5.7. |
Tirgus laukuma lietus kanalizācijas izbūve Ādažos |
35 000 |
35 000 |
||
|
5.5.8. |
Viršu ielas/atzars uz Sproģu ielu asfaltbetona seguma atjaunošana posmā no Dzērveņu ielas līdz Serģu iela (980 m) |
300 000 |
300 000 |
||
|
5.5.9. |
Liepu alejas rekonstrukcija |
263 703 |
263 703 |
||
|
5.5.10. |
Dzirnupes ielas tilta projekts, Carnikava |
17 500 |
17 500 |
||
|
5.5.11. |
Draudzības iela posmā no Saules ielai līdz Podnieku ielai ar ietvi 0.35km |
255 000 |
240 000 |
-15 000 |
|
|
5.5.12. |
Attekas ielas turpinājums 0,5 km – projektēšana |
39 800 |
21 |
-39 779 |
|
|
5.5.13. |
Apgaismes stabi Attekas ielas savienojumā no Ķiršu līdz Draudzības ielai. |
30 000 |
30 000 |
||
|
5.5.14. |
EKII projekts |
546 771 |
546 771 |
||
|
5.5.15. |
Kļavu ielā divkārtas virsmas apstrāde 0.35km |
55 000 |
105 000 |
50 000 |
|
|
5.5.16. |
Mežmalas ielas seguma vienkāršotā atjaunošana, 0.22km, Alderi |
21 000 |
62 022 |
41 022 |
|
| 08.000 | 6. | Atpūta, kultūra un reliģija |
2 554 562 |
2 551 562 |
-3 000 |
|
6.1. |
Kultūra |
1 355 693 |
1 352 693 |
-3 000 |
|
|
6.1.1. |
Ādažu kultūras centrs |
659 050 |
659 050 |
||
|
6.1.2. |
Tautas nams "Ozolaine" |
493 515 |
493 515 |
||
|
6.1.3. |
Muzejs un Carnikavas novadpētniecības centrs |
172 588 |
171 088 |
-1 500 |
|
|
6.1.4. |
Tūrisms |
30 540 |
29 040 |
-1 500 |
|
|
6.2. |
SAM 5.5.1. Kultūras objektu būvniecība (maksājumi projekta partneriem) © |
195 755 |
195 755 |
||
|
6.3. |
Ādažu bibliotēka |
153 119 |
153 119 |
||
|
6.4. |
Carnikavas bibliotēka |
64 752 |
64 752 |
||
|
6.5. |
Sporta daļa |
762 015 |
762 015 |
||
|
6.6. |
Evaņģēliski luteriskās draudzes |
4 000 |
4 000 |
||
|
6.7. |
Multihalle |
19 228 |
19 228 |
||
| 10.000 | 7. | Sociālā aizsardzība |
3 850 931 |
3 850 931 |
|
|
7.1. |
Sociālais dienests |
2 756 959 |
2 756 959 |
||
|
7.1.1. |
Sociālās funkcijas nodrošināšana |
649 748 |
649 748 |
||
|
7.1.2. |
Pabalsti |
1 598 833 |
1 598 833 |
||
|
7.1.3. |
Mērķdotācija |
– |
– |
||
|
7.1.4. |
Asistentu pakalpojumi |
501 000 |
501 000 |
||
|
7.1.5. |
Uzturēšanas izdevumi (CKS) |
1 186 |
1 186 |
||
|
7.1.6. |
Sociālā centra "Kadiķis" uzturēšana |
6 192 |
6 192 |
||
|
7.2. |
Stipendiāti / bezdarbnieki |
14 244 |
14 244 |
||
|
7.3. |
SAM 9311 Deinstitucionalizācija – Dienas centrs |
631 533 |
631 533 |
||
|
7.3.1. |
DI centra uzturēšanas izdevumi |
370 805 |
370 805 |
||
|
7.3.2. |
DI centra uzturēšanas izdevumi (CKS) |
3 745 |
3 745 |
||
|
7.3.3. |
DI projekts- specializētās darbnīcas |
48 400 |
48 400 |
||
|
7.3.4. |
DI centra pakalpojumi (projekts) |
208 583 |
208 583 |
||
|
7.4. |
Bāriņtiesa |
139 599 |
139 599 |
||
|
7.5. |
Dotācijas "Energoresursu atbalsts" |
200 000 |
200 000 |
||
|
7.6. |
ANM pasākuma "Atbalsta pasākumi cilvēkiem ar invaliditāti mājokļu vides pieejamības nodrošināšanai" projekts |
44 284 |
44 284 |
||
|
7.7. |
Dotācijas Ukrainas pilsoņu atbalstam |
50 000 |
50 000 |
||
|
7.8. |
SAM 9.2.4.2. projekts "Pasākumi vietējās sabiedrības veselības veicināšanai Ādažu novada pašvaldības Ādažu pagastā" |
10 226 |
10 226 |
||
|
7.9. |
SAM 9.2.4.2. projekts "Pasākumi vietējās sabiedrības veselības veicināšanai Ādažu novada pašvaldības Carnikavas pagastā" |
4 086 |
4 086 |
||
| 09.000 | 8. | Izglītība |
25 291 772 |
25 713 889 |
422 117 |
|
8.1. |
Norēķini ar pašvaldību budžetiem par izglītības iestāžu pakalpojumiem |
750 000 |
900 000 |
150 000 |
|
|
8.2. |
Ādažu Pirmsskolas izglītības iestāde |
2 312 869 |
2 315 847 |
2 978 |
|
|
8.2.1. |
pedagogu algas, grāmatas (mērķdotācija) |
421 677 |
421 677 |
||
|
8.2.2. |
pārējās izmaksas |
1 577 105 |
1 577 105 |
||
|
8.2.3. |
uzturēšanas izmaksas (CKS) |
314 087 |
317 065 |
2 978 |
|
|
8.3. |
Kadagas PII |
1 426 182 |
1 430 782 |
4 600 |
|
|
8.3.1. |
pedagogu algas, grāmatas (mērķdotācija) |
162 247 |
162 247 |
||
|
8.3.2. |
pārējās izmaksas |
1 082 134 |
1 082 134 |
||
|
8.3.3. |
uzturēšanas izmaksas (CKS) |
181 801 |
186 401 |
4 600 |
|
|
8.4. |
Pirmsskolas izglītības iestāde "Riekstiņš" |
1 602 830 |
1 614 666 |
11 836 |
|
|
8.4.1. |
pedagogu algas, grāmatas (mērķdotācija) |
243 715 |
243 715 |
||
|
8.4.2. |
pārējās izmaksas |
1 194 183 |
1 206 019 |
11 836 |
|
|
8.4.3. |
uzturēšanas izmaksas (CKS) |
164 932 |
164 932 |
||
|
8.5. |
Pirmsskolas izglītības iestādes "Piejūra" |
1 451 590 |
1 451 590 |
||
|
8.5.1. |
pedagogu algas, grāmatas (mērķdotācija) |
156 962 |
156 962 |
||
|
8.5.2. |
pārējās izmaksas |
1 149 793 |
1 149 793 |
||
|
8.5.3. |
uzturēšanas izmaksas (CKS) |
144 835 |
144 835 |
||
|
8.6. |
Privātās izglītības iestādes |
2 827 823 |
3 046 262 |
218 439 |
|
|
8.7. |
Carnikavas pamatskola |
2 200 705 |
2 246 805 |
46 100 |
|
|
8.7.1. |
pedagogu algas, grāmatas (mērķdotācija) |
1 239 539 |
1 239 539 |
||
|
8.7.2. |
ēdināšana (mērķdotācija) |
54 247 |
54 247 |
||
|
8.7.3. |
pārējās izmaksas |
569 333 |
569 333 |
||
|
8.7.4. |
uzturēšanas izmaksas (CKS) |
283 797 |
283 797 |
||
|
8.7.5. |
projekts "Skolas soma" |
11 220 |
11 220 |
||
|
8.7.6. |
projekti Erasmus+; NordPlus |
42 569 |
88 669 |
46 100 |
|
|
8.8. |
Carnikavas stadiona rekonstrukcija |
114 786 |
114 786 |
||
|
8.9. |
Ādažu vidusskola |
8 850 462 |
8 838 626 |
-11 836 |
|
|
8.9.1. |
pedagogu algas, grāmatas (mērķdotācija) |
4 407 640 |
4 407 640 |
||
|
8.9.2. |
pārējās izmaksas |
993 686 |
988 086 |
-5 600 |
|
|
8.9.3. |
uzturēšanas izmaksas (CKS) |
500 969 |
506 569 |
5 600 |
|
|
8.9.4. |
projekts Erasmus+ |
238 993 |
238 993 |
||
|
8.9.5. |
projekts "Skolas soma" |
40 660 |
40 660 |
||
|
8.9.6. |
Ādažu vidusskolas ēkas B korpusa un savienojuma daļas starp korpusiem (C un B) fasādes atjaunošana |
87 728 |
87 728 |
||
|
8.9.7. |
Ādažu vidusskolas ēkas A korpusa, savienojuma daļas starp korpusiem (A un B), kā arī, vidusskolas centrālās daļas, tai skaitā torņa fasādes atjaunošana. |
870 000 |
870 000 |
||
|
8.9.8. |
sākumskolas uzturēšanas izmaksas |
684 194 |
684 194 |
||
|
8.9.9. |
sākumskolas uzturēšanas izmaksas (CKS) |
275 489 |
275 489 |
||
|
8.9.10. |
sākumskolas ēdināšana (mērķdotācija) |
236 281 |
236 281 |
||
|
8.9.11. |
PII |
514 822 |
502 986 |
-11 836 |
|
|
8.9.11.1. |
- pedagogu algas (mērķdotācija) |
140 817 |
140 817 |
||
|
8.9.11.2. |
- uzturēšana |
347 242 |
335 406 |
-11 836 |
|
|
8.9.11.3. |
- uzturēšanas izmaksas (CKS) |
26 763 |
26 763 |
||
|
8.10. |
Ādažu novada mākslu skola |
1 856 644 |
1 856 644 |
||
|
8.10.1. |
pedagogu algas (mērķdotācija) |
795 545 |
795 545 |
||
|
8.10.2. |
pārējās izmaksas |
1 061 099 |
1 061 099 |
||
|
8.11. |
Sporta skola |
740 716 |
740 716 |
||
|
8.11.1. |
pedagogu algas (mērķdotācija) |
291 666 |
291 666 |
||
|
8.11.2. |
Pašvaldības finansējums |
449 050 |
449 050 |
||
|
8.12. |
Izglītības un jauniešu lietu pārvalde |
482 391 |
482 391 |
||
|
8.13. |
Līdzfinansējums skolēnu dalībai konkursos |
3 000 |
3 000 |
||
|
8.14. |
ESF projekts Atbalsts priekšlaicīgas mācību pārtraukšanas samazināšanai |
16 121 |
16 121 |
||
|
8.15. |
ESF projekts Karjeras atbalsts vispārējās un profesionālās izglītības iestādēs © |
1 049 |
1 049 |
||
|
8.16. |
Valsts finansējums projektu konkursā "Atbalsts jaunatnes politikas īstenošanai vietējā līmenī" projekts "Mobilais darbs ar jaunatni Ādažu novadā" |
765 |
765 |
||
|
8.17. |
Jaunas pirmsskolas izglītības iestādes būvniecība Podniekos |
637 343 |
637 343 |
||
|
8.18. |
VISA projekts "Atbalsts izglītojamo individuālo kompetenču attīstībai" |
16 496 |
16 496 |
||
|
8.18.1. |
Ādaži |
16 496 |
16 496 |
||
|
8.18.2. |
Carnikava |
– |
– |
||
| KOPĀ IZDEVUMI: |
60 556 119 |
61 061 627 |
505 508 |
||
| F40020020 | 9. | Kredītu pamatsummas atmaksa |
3 657 198 |
3 657 198 |
|
| PAVISAM KOPĀ IZDEVUMI: |
64 213 317 |
64 718 825 |
505 508 |
||
| F21010000 AB | - | Naudas līdzekļu atlikums uz gada beigām |
58 014 |
38 079 |
-19 935 |
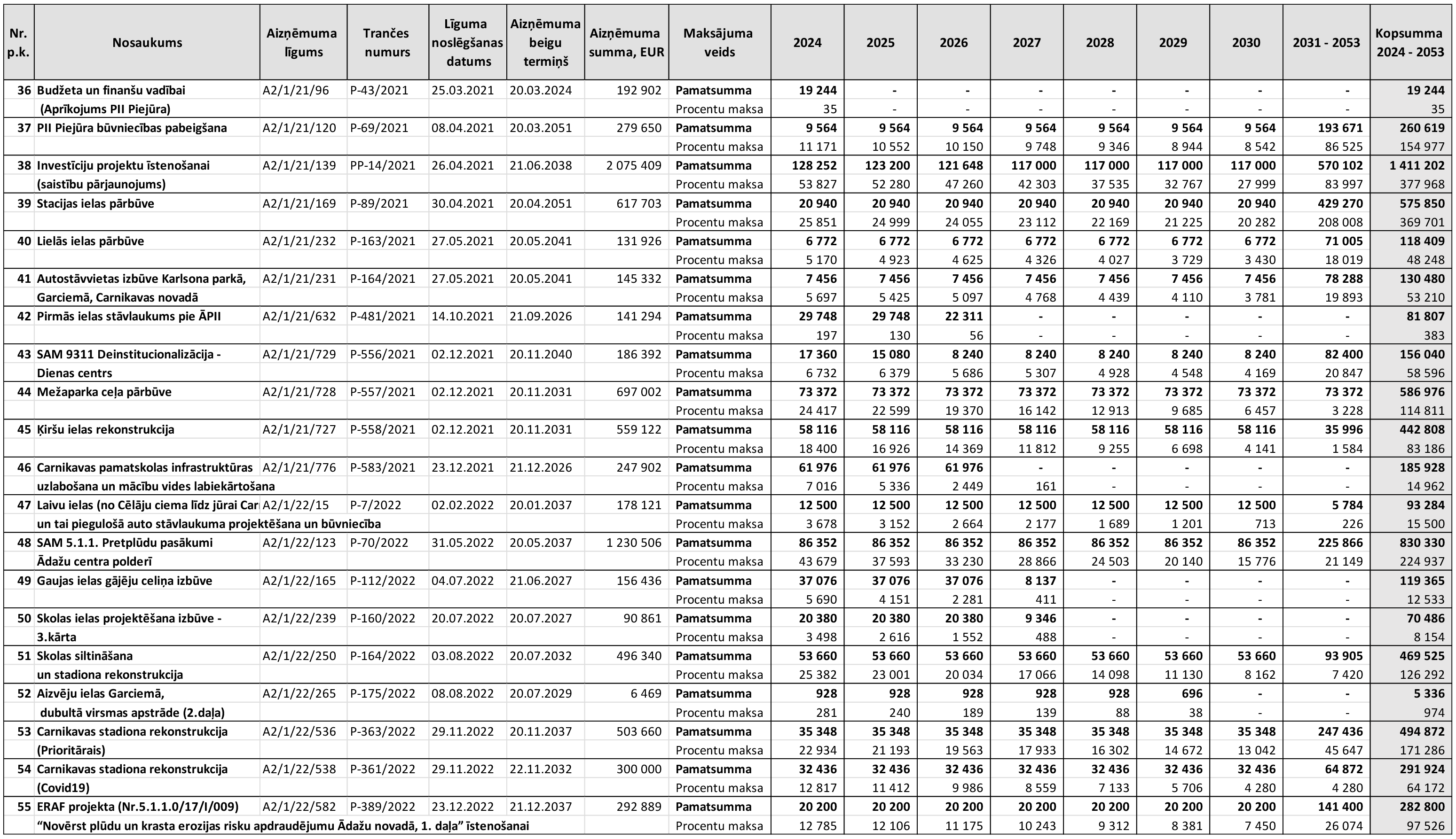
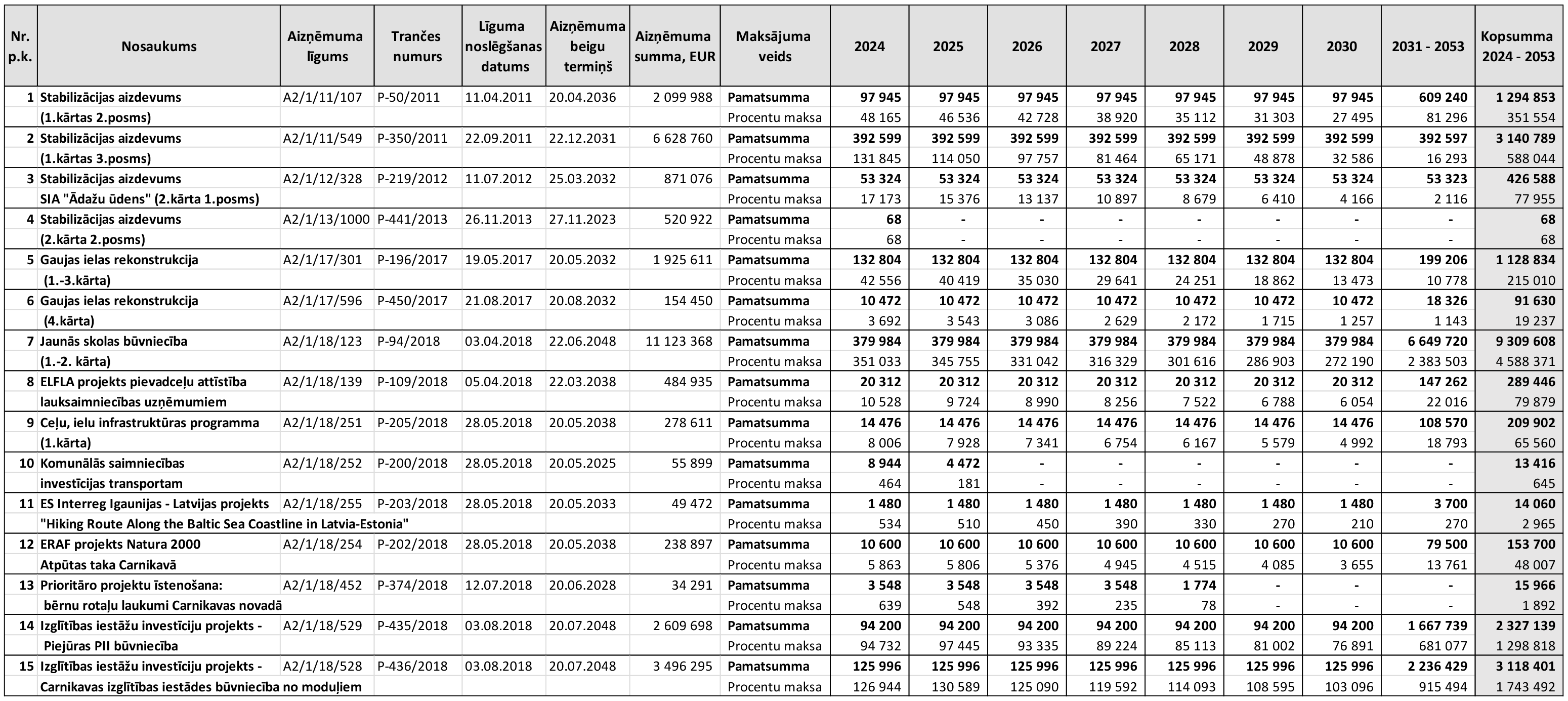
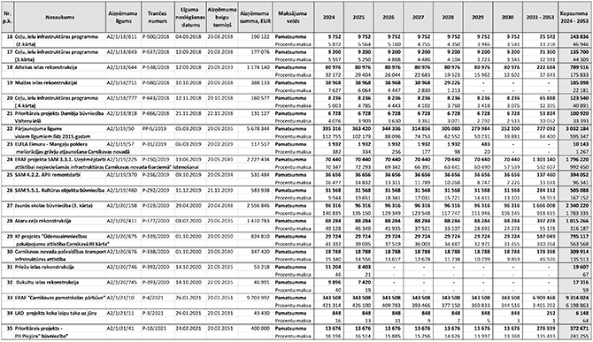
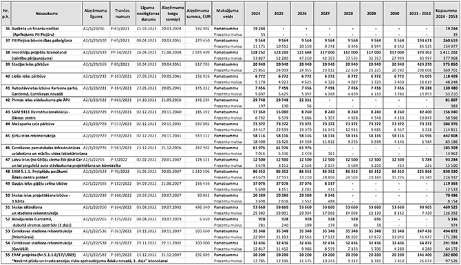
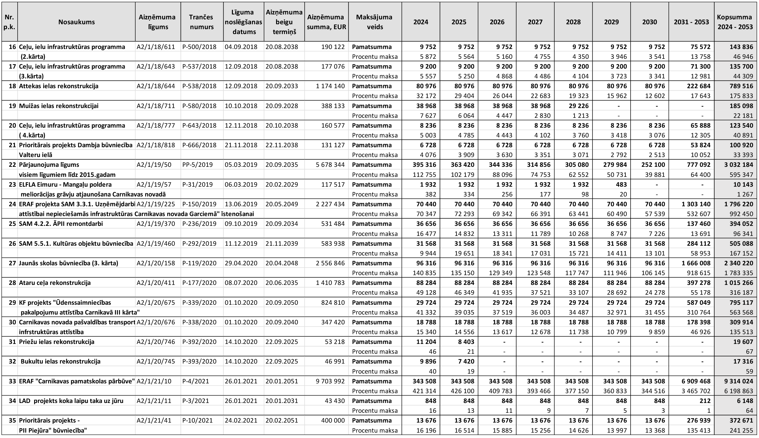
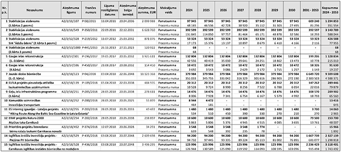
2. pielikums
Ādažu novada pašvaldības domes 2024. gada 29. augusta
saistošajiem noteikumiem Nr. 42/2024 "Grozījumi Ādažu novada pašvaldības domes
2023. gada 28. decembra saistošajos noteikumos Nr. 52/2023
"Par Ādažu novada pašvaldības budžetu 2024. gadam""
Aizņēmumu un citu ilgtermiņa saistību pārskats
Ādažu novada pašvaldības domes priekšsēdētāja K. Miķelsone
Paskaidrojuma raksts
Ādažu novada pašvaldības domes budžeta grozījumi 2024. gadam apstiprināti 2024. gada 29. augustā. Budžeta grozījumi sastāv no pamatbudžeta, kuru veido ieņēmumu, izdevumu daļas un aizņēmumu un citu ilgtermiņa saistību pārskata. Pašvaldība ir ņēmusi vērā visu funkciju vajadzības un sabalansējusi pieejamos finanšu līdzekļus tā, lai nodrošinātu uzlabojumus sabiedrībai svarīgās jomās saskaņā ar pašvaldības attīstības plānošanas dokumentos noteiktajiem mērķiem.
Saistošie noteikumi paredz šādus grozījumus budžetā:
• Balstoties uz prognozēm, ka iedzīvotāju ienākuma nodokļu (IIN) ieņēmumi gada griezumā būs lielāki kā sākotnēji plānots un saskaņā ar lēmumu par finanšu un ekonomisko aprēķinu jaunās skolas būvniecībai 19’840 euro IIN palielinājums tiks novirzīti šim mērķim.
• Izvērtējot budžeta faktiskos ieņēmumus ir precizēta vairāku ieņēmumu plānotās summas gada griezumā:
○ par 45’000 euro palielināta sadaļa "naudas sodi un sankcijas", kas novirzīti uz nesadalīto konta atlikumu;
○ sadaļa "citi nenodokļu ieņēmumi" palielināta par 30’000 euro – procentu ieņēmumi no nakts depozīta, kas novirzīti uz nesadalīto konta atlikumu un par 31’000 euro palielinājums no iedzīvotāju līdzmaksājuma Mežmalas ielas atjaunošanai. Kopējās Mežmalas ielas atjaunošanas izmaksas plānotas 62’022 euro, kur pašvaldības līdzfinansējuma daļa ir 31’022 euro pret sākotnēji paredzēto 21’000 euro. Trūkstošā summa 10'022 euro pārcelta no Attekas ielas projektēšanas paredzētā finansējuma, jo to 2024. gadā vēl nebūs iespējams veikt;
○ par 6’525 euro palielināta sadaļa "ieņēmumi no zvejas tiesību nomas", kas novirzīti uz nesadalīto konta atlikumu;
○ par 30’205 euro palielināta sadaļa "ieņēmumi no pašvaldības īpašuma pārdošana", kas novirzīti uz nesadalīto konta atlikumu;
○ par 80’000 euro palielināta sadaļa "pašvaldību budžeta transferti no citām pašvaldībām izglītības funkciju nodrošināšanai", kas novirzīti uz nesadalīto konta atlikumu;
○ par 55’000 euro palielināta sadaļa "ieņēmumi no vecāku maksām par pirmsskolas izglītības iestāžu pakalpojumiem", kas novirzīti uz nesadalīto konta atlikumu;
○ par 75’000 euro palielināta sadaļa "ieņēmumi no vecāku maksām par profesionālās ievirzes izglītības apguvi", kas novirzīti uz nesadalīto konta atlikumu;
○ par 62’000 euro palielināta sadaļa "ieņēmumi par telpu nomu", kas novirzīti uz nesadalīto konta atlikumu;
○ par 21’000 euro palielināta sadaļa "ieņēmumi par zemes nomu", kas novirzīti uz nesadalīto konta atlikumu;
• Precizējot projekta "Publiskās ārtelpas izveide Gaujas ielā 31 Ādažos" un plānoto ārvalstu līdzfinansējuma avansa summu par 12’598 euro palielināta šī projekta realizācijas summas 2024. gadā gan ieņēmumu, gan izdevumu sadaļās.
• Precizējot projektu "Erasmus +" Nordplus aktivitātes un plānotās naudas plūsmas, ko realizā Carnikavas vidusskolā par 46’100 euro palielināta šo projekta realizācijas summas 2024. gadā gan ieņēmumu, gan izdevumu sadaļās.
• Tā kā projekta "Jaunas pirmsskolas izglītības iestādes Podniekos izveidošana" realizēšanai līgums ar CFLA nav noslēgts un Valsts kases aizņēmumu šim mērķim pagaidām pašvaldība nesaņems, līdz ar to zināms, ka projektēšana pilnā apmērā jāmaksā no pašvaldības, tāpēc plānotā aizņēmuma summa ir samazīnāta par 28’695 euro.
• Balstoties uz faktiski veiktajiem procentu maksājumiem par saņemtajiem aizņēmumiem un atlikušā maksājuma prognozi, izdevumu daļā pozīcija "aizņēmumu procentu maksājumi" ir samazināta par 40’000 euro.
• Lai turpinātu veikt pašvaldībai deleģēto uzdevumu – klaiņojošu dzīvnieku veterinārā apkope, 2024. gadā palielināts plānotais finansējuma apjoms par 12’131 euro pašvaldības policijas budžetā.
• No izdevumu sadaļas "Attīstības un projektu nodaļa" izcelti ārā vairāki projekti, lai tos budžetā atspoguļotu atsevišķās sadaļās:
○ 85'085 euro – Krastupes ielas projekts;
○ 120'000 euro – Jaunais plūdu projekts.
• Saskaņā ar Ādažu pašvaldības domes 29.08.2024. lēmumu Nr. 348 "Par grozījumu Ādažu novada pašvaldības domes 2024. gada 29. februāra lēmumā Nr. 68 "Par publiskās privātās partnerības projekta "Jaunas izglītības iestādes izveide 1.–9. klasei" īstenošanu"", pēc iepirkuma noslēgšanās par tehniski ekonomiskā pamatojuma "Jaunas izglītības iestādes 1.–9. klasei izveidei un Ādažu vidusskolas darbības nodrošināšanai līdz jaunās izglītības iestādes darbības uzsākšanai", šim mērķim papildus 2024. gada budžetā palielināts finansējuma apjoms par 19’840 euro.
• Lai būtu iespējams pretendēt uz ārfinansējuma piesaisti Blusu kroga, Carnikavā, rekonstrukcijai novirzīti 8'000 euro tā tehniskajai apsekošanai. (5'000 euro no Attīstības un projektu nodaļas budžeta, 1'500 euro no Novadpētniecības centra budžeta un 1'500 euro no tūrisma budžeta).
• Saskaņā ar Ādažu pašvaldības domes 25.07.2024. lēmumu Nr. 292 "Par elektroauto uzlādes staciju izveidi", nepieciešams veikt to izvietošanai pardzēto nekustamo īpašumu daļu novērtējumu, un paredzamās pakalpojuma izmaksas ir 2’400 euro (8 x 300 euro), kas iekļauti pašvaldības nekustamā īpašuma nodaļas budžeta sadaļā.
• No teritorijas uzturēšanai paredzētās dotācijas Carnikavas komunālservisam (turpmāk CKS) no tāmēšanas darbiem paredzētā finansējuma pārcelti 4'600 euro uz Pirmsskolas izglītības iestādes (turpmāk PII) "Mežavēji" budžeta sadaļu ēkas un telpu remontdarbiem.
• No Garās ielas 20 remontiem paredzēto līdzekļu pārpalikuma pārcelti 2'978 euro uz PII "Strautiņš" budžeta sadaļu terases balsta sienu remontdarbiem.
• Tā kā 2024. gadā ēka Gaujas ielā 16 vēl netiek pieslēgta centrālai apkurei, tad 6'000 euro tiek pārcelti uz sadaļu "Teritorijas uzturēšana (Dome)" uz apkures apmaksu, ko maksā dome nevis CKS.
• Energoefektivitātes pasākumu līdzfinansējumam daudzdzīvokļu mājām un daudzdzīvokļu māju pagalmu labiekārtošanai līdzfinansējumam papildus piešķirti 13'000 euro sadaļā "Teritorijas uzturēšana (Dome)".
• Attekas ielas projektēšanas 2024. gadā netiks realizēts, tāpēc finansējums 10'757 euro apmērā tiek novirzīts Ķiršu ielas III kārtas projekta nobeiguma nepieciešamajam papildus finansējumam.
• Finansējumu gāzes apkures sistēmas komponenšu remontam un apkures katla nomaiņai Carnikavā, Rīgas ielas 12 katlu mājā, paredzēts novirzīt kopsummā 140’000 euro no sekojošām budžeta pozīcijām:
○ 14’000 euro no plānotajiem līdzekļiem ēkas Gaujas ielā 16 pieslēgšanai pie centrālās apkures, ko nav iespējams realizēt 2024. gadā;
○ 66’197 euro no atalgojuma ekonomijas, kas radusies saistībā ar saimnieciskās darbības turpināšanu CKS un ekonomijas uz neaizpildītajām vakancēm;
○ 803 euro no investīciju projekta, Jūras ielas gājēju pārejas ar ātrumvalni izbūves, finansējuma ekonomijas;
○ 19’000 euro no Attekas ielas projektēšanai paredzētā finansējuma;
○ 40'000 euro no pieejamā nesadalītā konta atlikuma.
• Papildus nepieciešamais finansējums Kļavu ielas divkāršās virsmas apstrādes veikšanai (08.08.2024. protokollēmums) nepieciešamais finansējums 50’000 euro (kopsummā ar tam jau paredzēto 105’000 euro) tika novirzīts no sekojošām budžeta pozīcijām:
○ 6'508 euro no plānotajiem līdzekļiem elektroenerģijas iegādei sadaļā "Dotācija CKS teritorijas uzturēšanai";
○ 15'000 euro no plānotajiem līdzekļiem Draudzības ielas rekonstrukcijai;
○ 328 euro no paredzētā finansējuma gājēju pārejas Siguļos pārpalikuma;
○ 7'000 euro no pašizgāzēja pakalpojumu apmaksai paredzētajiem līdzekļiem sadaļā "Dotācija CKS ceļu uzturēšana";
○ 3'130 euro no lietus kanalizācijas uzturēšanas izmaksām sadaļā "Dotācija CKS ceļu uzturēšana";
○ 18'034 euro no tiltu uzturēšanai plānotajām izmaksām sadaļā "Dotācija CKS ceļu uzturēšana".
• Pārskatot sadaļu "Norēķini ar pašvaldību budžetiem par izglītības iestāžu pakalpojumiem" līdz gada beigām nepieciešami papildus 150’000 euro, kas novirzīti no pieejamā nesadalītā konta atlikuma. Savukārt sadaļā "Privātās izglītības iestādēm" nepieciešams papildus līdzfinansējums līdz gada beigām 218’439 euro apmērā, kas novirzīti no pieejamā nesadalītā konta atlikuma.
• Saskaņā ar 25.07.2024. lēmumu Nr. 293 "Par grozījumiem Ādažu novada pašvaldības domes 2024. gada 30. maija lēmumā Nr. 216 "Par izglītojamo skaita palielināšanu CPII Riekstiņš" papildus 2'300 euro pārcelts no Ādažu vidusskolas PII uz PII Riekstiņš, lai nodrošinātu izglītojamo skaita palielinājumam saimniecisko darbu izpildi grupas Nr. 4 pielāgošanai jaunākā vecuma bērniem.
• Saskaņā ar 25.07.2024. lēmumu Nr. 294 "Par izmaiņām Ādažu vidusskolas un Carnikavas pirmsskolas izglītības iestādes "Riekstiņš" struktūrā" amatu pārcelšanai pārcelt 9'536 euro no Ādažu vidusskolas PII uz PII Riekstiņš.
• Ādažu vidusskolas budžetā veikt izmaiņas, pārceļot 5'600 euro tualešu remontam uz CKS uzturēšanas izmaksu pozīciju.
Budžeta grozījumu ietvaros ir veikti nepieciešamie grozījumi, kas saistīti ar finansējuma iekšējo pārdali pa klasifikācijas kodiem, apstiprināto tāmju ietvaros nodaļu un iestāžu darbības nodrošināšanai.
Kopumā Ādažu novada pašvaldības domes budžeta grozījumi paredz ieņēmumu palielinājumu par 514’268 euro, nosakot budžeta ieņēmumus 53’088’603 euro un pamatbudžeta finanšu līdzekļu atlikumu 2024. gada 1. janvārī 9’755’067 euro. Saskaņā ar šiem Ādažu novada pašvaldības domes budžeta grozījumi paredz izdevumu daļas palielinājumu par 505’508 euro, nosakot budžeta izdevumus 64’718’825 euro. Plānoto aizņēmumu apjoms 2024. gadā 1’913’234 euro apmērā, un aizņēmumu pamatsummas atmaksa 2024. gadā 3’657’198 euro apmērā.
Ādažu novada pašvaldības domes priekšsēdētāja K. Miķelsone