
Ministru kabineta noteikumi: Šajā laidienā 20 Pēdējās nedēļas laikā 33 Visi
Ministru kabineta noteikumi Nr. 35
Rīgā 2024. gada 9. janvārī (prot. Nr. 1 67. §)
Eiropas Savienības kohēzijas politikas programmas 2021.–2027. gadam 1.1.1. specifiskā atbalsta mērķa "Pētniecības un inovāciju kapacitātes stiprināšana un progresīvu tehnoloģiju ieviešana kopējā P&A sistēmā" 1.1.1.9. pasākuma "Pēcdoktorantūras pētījumi" īstenošanas noteikumi
Izdoti saskaņā ar Eiropas Savienības fondu
2021.–2027. gada plānošanas perioda vadības likuma
19. panta 6. un 13. punktu
I. Vispārīgie jautājumi
1. Noteikumi nosaka:
1.1. kārtību, kādā īsteno Eiropas Savienības kohēzijas politikas programmas 2021.–2027. gadam 1.1.1. specifiskā atbalsta mērķa "Pētniecības un inovāciju kapacitātes stiprināšana un progresīvu tehnoloģiju ieviešana kopējā P&A sistēmā" 1.1.1.9. pasākumu "Pēcdoktorantūras pētījumi" (turpmāk – pasākums);
1.2. pasākuma mērķi;
1.3. pasākumam plānoto un pieejamo finansējumu;
1.4. prasības Eiropas Reģionālās attīstības fonda projekta iesniedzējam un finansējuma saņēmējam;
1.5. atbalstāmo darbību un izmaksu attiecināmības nosacījumus;
1.6. vienkāršoto izmaksu piemērošanas nosacījumus un kārtību.
2. Noteikumos lietoti šādi termini:
2.1. ar saimniecisko darbību nesaistīts pētniecības pieteikums – pētniecības pieteikums, kas atbilst šādiem kritērijiem:
2.1.1. pētniecības pieteikumu īsteno Latvijas Republikas zinātnisko institūciju reģistrā reģistrēta zinātniskā institūcija, kas atbilst šo noteikumu 2.13. apakšpunktā minētajai pētniecības organizācijas definīcijai;
2.1.2. pētniecības pieteikumā īsteno darbības, kurām nav saimnieciska rakstura;
2.2. ar saimniecisko darbību saistīts pētniecības pieteikums – pētniecības pieteikums, kas atbilst vienam vai vairākiem šādiem kritērijiem:
2.2.1. pētniecības pieteikumu īsteno zinātniskā institūcija, kas neatbilst pētniecības organizācijas definīcijai, vai Latvijas Republikas Uzņēmumu reģistrā reģistrēts sīkais (mikro), mazais, vidējais vai lielais komersants;
2.2.2. pētniecības pieteikumā īsteno saimnieciskas darbības;
2.3. darbība, kurai nav saimnieciska rakstura, – pētniecības organizācijas darbība, kas neietilpst Līguma par Eiropas Savienības darbību 107. panta 1. punktā noteiktajā darbības jomā, tai skaitā:
2.3.1. publiska izglītība, lai vairotu un uzlabotu cilvēkresursu prasmes un kas tiek nodrošināta valsts izglītības sistēmas ietvaros un galvenokārt vai pilnībā ir valsts finansēta un uzraudzīta;
2.3.2. neatkarīga pētniecība un izstrāde, lai gūtu vairāk zināšanu un labāku izpratni, tostarp kopīga pētniecība un izstrāde, pētniecības organizācijai iesaistoties efektīvā sadarbībā;
2.3.3. pētniecības rezultātu izplatīšana bez ekskluzivitātes un diskriminēšanas, tai skaitā izmantojot mācīšanu, brīvas piekļuves datubāzes, atklātas publikācijas vai atklātā pirmkoda programmatūru;
2.3.4. zinātības un tehnoloģiju pārneses darbības, ja zinātības un tehnoloģiju pārneses darbības veic pētniecības organizācijas nodaļa vai pētniecības organizācijas meitas uzņēmums (tāda komercsabiedrība, kurā mātes uzņēmuma līdzdalības daļa pārsniedz 50 procentu vai kurā mātes uzņēmumam ir balsu vairākums un kura atbilst šo noteikumu 2.13. apakšpunktā minētajai pētniecības organizācijas definīcijai), pētniecības organizācija kopīgi ar citām pētniecības organizācijām vai pētniecības organizācija ar trešajām pusēm, atklātā konkursā slēdzot līgumus par noteiktiem pakalpojumiem, un ja visa peļņa no šādas darbības tiek atkal ieguldīta pētniecības organizācijas pamatdarbībās;
2.4. zinātības un tehnoloģiju pārnese – noteiktu zināšanu un tehnoloģiju nodošana lietotājam, tai skaitā mantisko tiesību uz zinātību un tehnoloģijām atsavināšana, lai radītu jaunus produktus vai tehnoloģijas;
2.5. efektīva sadarbība – sadarbība, kas atbilst Eiropas Komisijas 2014. gada 17. jūnija Regulas (ES) Nr. 651/2014, ar ko noteiktas atbalsta kategorijas atzīst par saderīgām ar iekšējo tirgu, piemērojot Līguma 107. un 108. pantu (turpmāk – Komisijas regula Nr. 651/2014), 2. panta 90. punktā sniegtajai definīcijai;
2.6. fundamentālie pētījumi – darbības, kas atbilst Komisijas regulas Nr. 651/2014 2. panta 84. punktā noteiktajai definīcijai;
2.7. grūtībās nonācis saimnieciskās darbības veicējs, kas atbilst Komisijas regulas Nr. 651/2014 2. panta 18. punktā noteiktajai definīcijai;
2.8. strādājoša persona ar invaliditāti – persona, kas atbilst Komisijas regulas Nr. 651/2014 2. panta 3. punktā noteiktajai definīcijai;
2.9. nelabvēlīgā situācijā esošs darba ņēmējs – persona, kas atbilst Komisijas regulas Nr. 651/2014 2. panta 4. punktā noteiktajai definīcijai;
2.10. pēcdoktorants – Latvijas vai ārvalstu zinātnieks, kas doktora grādu ieguvis ne vairāk kā 10 gadus pirms pētniecības pieteikuma iesniegšanas termiņa. Šo periodu var pagarināt, ja personai ir pamatots iemesls:
2.10.1. grūtniecības un dzemdību atvaļinājums;
2.10.2. bērna kopšanas atvaļinājums;
2.10.3. pārejoša darbnespēja;
2.11. starptautiskais pēcdoktorants – Latvijas vai ārvalstu zinātnieks, kas doktora grādu ieguvis pirms starptautiskās pētniecības pieteikuma iesniegšanas termiņa, vai zinātniskais personāls ar ne mazāk kā četru gadu pilna darba laika zinātniskās darbības pieredzi pirms starptautiskās pētniecības pieteikuma iesniegšanas termiņa;
2.12. lielais komersants – komersants, kas atbilst Komisijas regulas Nr. 651/2014 2. panta 24. punktā noteiktajai definīcijai;
2.13. pētniecības organizācija – pētniecības un zināšanu izplatīšanas organizācija, kas atbilst Komisijas regulas Nr. 651/2014 2. panta 83. punktā noteiktajai definīcijai;
2.14. pētniecības pieteikums – individuāla atbalsta pētniecības, apmācības un tīklošanās projekts, ko iesniedz un, nodarbinot pēcdoktorantu, īsteno zinātniskā institūcija vai Latvijas Republikas Uzņēmumu reģistrā reģistrēts sīkais (mikro), mazais, vidējais vai lielais komersants (turpmāk – komersants);
2.15. starptautiskās pētniecības pieteikums – starptautiskās pētniecības pieteikumu atlasē zinātniskās institūcijas iesniegts ar saimniecisko darbību nesaistīts individuāla atbalsta pētniecības, mācību un tīklošanās projekts, kuru īsteno zinātniskā institūcija un kurā ir nodarbināts starptautiskais pēcdoktorants;
2.16. publiskā finansējuma intensitāte – kopējais Eiropas Reģionālās attīstības fonda finansējuma un valsts budžeta finansējuma apmērs procentos no projekta kopējām attiecināmajām izmaksām;
2.17. rūpnieciskie pētījumi – pētījumi, kas atbilst Komisijas regulas Nr. 651/2014 2. panta 85. punktā noteiktajai definīcijai;
2.18. saimnieciskā darbība – jebkura darbība, kas ietver preču vai pakalpojumu piedāvāšanu tirgū, tai skaitā pētniecības infrastruktūras iznomāšana, komersantu uzdevumā īstenoti pakalpojumi vai līgumpētījumi;
2.19. sīkais (mikro), mazais un vidējais komersants – komersants, kas atbilst Komisijas regulas Nr. 651/2014 I pielikumā noteiktajām definīcijām;
2.20. tehnoloģiju tiesības – zinātība un turpmāk minētās tiesības vai to kombinācija, tostarp minēto tiesību pieteikumi vai reģistrācijas pieteikumi: patenti, funkcionālie modeļi, dizainparauga tiesības, pusvadītāju izstrādājumu topogrāfijas, papildu aizsardzības sertifikāti medicīnas produktiem vai citiem produktiem, attiecībā uz kuriem iespējams saņemt šādus papildu aizsardzības sertifikātus, augu selekcionāru sertifikāti un programmatūras autortiesības;
2.21. zinātniskais personāls – vadošais pētnieks, pētnieks un zinātniskais asistents;
2.22. zinātniskā institūcija – Latvijas Republikas zinātnisko institūciju reģistrā reģistrēts zinātniskais institūts (publiska aģentūra, atvasināta publiska persona vai privāto tiesību juridiskā persona) vai augstskola.
3. Pasākuma mērķis ir attīstīt jauno zinātnieku prasmes un palielināt zinātnisko kapacitāti, nodrošinot jauno zinātnieku karjeras uzsākšanas iespējas zinātniskajās institūcijās un pie komersantiem, kā arī pētniecības kompetenču pilnveidošanu, cilvēkresursu atjaunotni un kvalificētu speciālistu skaita pieaugumu.
4. Pasākuma ietvaros tiek atbalstīti pētniecības pieteikumi un starptautiskās pētniecības pieteikumi, kas sniedz ieguldījumu Latvijas viedās specializācijas stratēģijas mērķu sasniegšanā vai specializācijas jomu attīstībā, tai skaitā starpdisciplināri pētniecības pieteikumi, kas atbilst vismaz vienai no definētajām Latvijas viedās specializācijas jomām.
5. Pasākuma mērķa grupa ir zinātniskās institūcijas, zinātnieki, augstākās izglītības institūcijas, Latvijas Republikas Uzņēmumu reģistrā reģistrēti komersanti.
6. Pasākuma ietvaros ir sasniedzami šādi uzraudzības rādītāji:
6.1. iznākuma rādītāji līdz 2024. gada 31. decembrim:
6.1.1. pētniecības organizācijas, kas piedalās kopīgos pētniecības projektos, – 5;
6.1.2. uzņēmumi, kas sadarbojas ar pētniecības organizācijām, – 5;
6.2. iznākuma rādītāji līdz 2029. gada 31. decembrim:
6.2.1. pētniecības organizācijas, kas piedalās kopīgos pētniecības projektos, – 10;
6.2.2. uzņēmumi, kas sadarbojas ar pētniecības organizācijām, – 13;
6.3. rezultātu rādītāji līdz 2029. gada 31. decembrim:
6.3.1. atbalstītajās struktūrās izveidotās pētniecības darba vietas – 41;
6.3.2. publisko atbalstu papildinošās privātās investīcijas (tai skaitā granti un finanšu instrumenti) – 628 142 euro;
6.4. nacionālie rādītāji:
6.4.1. līdz 2024. gada 31. decembrim:
6.4.1.1. izstrādāts un iesniegts projekta iesniegums Eiropas Savienības pētniecības un inovāciju pamatprogrammas "Apvārsnis Eiropa" Marijas Sklodovskas-Kirī programmas aktivitātē "Līdzfinansējums reģionālajām, nacionālajām un starptautiskajām programmām (COFUND – Co-funding of regional, national and international programmes)" (turpmāk – COFUND projekts), un tas novērtēts virs kvalitātes sliekšņa;
6.4.2. līdz 2029. gada 31. decembrim:
6.4.2.1. pēcdoktoranti, kas saņēmuši Eiropas Reģionālā attīstības fonda atbalstu, – vismaz 165;
6.4.2.2. zinātnisko rakstu skaits, kuru izstrādei un publicēšanai Web of Science un Scopus datubāzē iekļautajos žurnālos vai konferenču rakstu krājumos sniegts atbalsts pētniecības pieteikumu ietvaros;
6.4.2.3. jauno produktu un tehnoloģiju skaits, kas ir komercializējami un kuru izstrādei sniegts atbalsts pētniecības pieteikuma ietvaros.
7. Pasākumu ietvaros Kohēzijas politikas fondu vadības informācijas sistēmā finansējuma saņēmējam ir jāuzkrāj šādi RIS3 rādītāji katrā no RIS3 jomām sadalījumā pa gala labuma guvēju veidiem:
7.1. publiskais finansējums pa RIS3 jomām (euro);
7.2. privātais finansējums pa RIS3 jomām (euro);
7.3. fundamentālie pētījumi (euro);
7.4. rūpnieciskie (lietišķie) pētījumi (euro);
7.5. jaunradītās tehnoloģijas (skaits);
7.6. jaunradītie produkti (skaits);
7.7. iesaistītais zinātniskais personāls (tai skaitā jaunie zinātnieki, skaits);
7.8. iesaistītais zinātniskais personāls (tai skaitā jaunie zinātnieki, pilna laika slodzes ekvivalents);
7.9. iesaistītais zinātnes tehniskais personāls (skaits);
7.10. iesaistītais zinātnes tehniskais personāls (pilna laika slodzes ekvivalents);
7.11. publikācijas – WoS un SCOPUS (kopā).
8. Finansējuma saņēmējs šo noteikumu 7. punktā minēto informāciju iesniedz Kohēzijas politikas fondu vadības informācijas sistēmā kopā ar maksājuma pieprasījumu.
9. Pasākumu īsteno ierobežotas projektu iesniegumu atlases veidā.
10. Pasākumam paredzēts atbalsts grantu veidā.
11. Pasākuma ietvaros atbildīgās iestādes funkcijas pilda Izglītības un zinātnes ministrija (turpmāk – atbildīgā iestāde).
12. Pasākuma ietvaros plānotais kopējais finansējums ir 44 800 000 euro (tai skaitā elastības finansējuma apmērs 5 488 842 euro), tai skaitā Eiropas Reģionālās attīstības fonda finansējums – 38 080 000 euro (tai skaitā elastības finansējuma apmērs 4 665 516 euro), valsts budžeta līdzfinansējums – 5 149 646 euro (tai skaitā elastības finansējuma apmērs 823 326 euro) un privātais līdzfinansējums – 1 570 354 euro.
13. Pasākuma īstenošanai pieejamo kopējo finansējumu plāno ne vairāk kā 39 311 158 euro apmērā, tai skaitā Eiropas Reģionālās attīstības fonda finansējumu – 33 414 484 euro, valsts budžeta līdzfinansējumu – 4 326 320 euro un privāto līdzfinansējumu – 1 570 354 euro apmērā.
14. Atbildīgā iestāde pēc Eiropas Komisijas lēmuma par vidusposma pārskatu var ierosināt no 2026. gada 1. janvāra palielināt pasākumam pieejamo kopējo finansējumu līdz šo noteikumu 12. punktā minētajam plānotajam kopējam finansējuma apmēram.
15. Pasākumu īsteno vienā projektu iesniegumu atlases kārtā par visu pasākumam pieejamo finansējumu.
16. Sadarbības iestāde lēmumu par projekta iesnieguma apstiprināšanu, apstiprināšanu ar nosacījumu vai noraidīšanu pieņem triju mēnešu laikā no projekta iesnieguma iesniegšanas beigu datuma, kas noteikts projekta iesnieguma atlases nolikumā.
II. Prasības projekta iesniedzējam un finansējuma saņēmējam
17. Projekta iesniedzējs pasākuma ietvaros ir Latvijas Zinātnes padome, kas pēc projekta iesnieguma apstiprināšanas ir Eiropas Reģionālās attīstības fonda finansējuma saņēmēja (turpmāk – finansējuma saņēmējs).
18. Projekta iesniedzējs sagatavo projekta iesniegumu atbilstoši projekta iesniegumu atlases nolikumā noteiktajām prasībām un iesniedz to Kohēzijas politikas fondu vadības informācijas sistēmā. Projekta iesniegumam pielikumā papildus pievieno šādus sadarbībā ar Latvijas Rektoru padomi, Latvijas Tirdzniecības un rūpniecības kameru, Valsts zinātnisko institūtu asociāciju un Latvijas Jauno zinātnieku apvienību izstrādātus un ar Izglītības un zinātnes ministriju saskaņotus dokumentus:
18.1. pētniecības pieteikumu atlases procedūra un kārtība;
18.2. pētniecības pieteikumu pirmās atlases kārtas dokumenti:
18.2.1. pētniecības pieteikumu atlases nolikums;
18.2.2. pētniecības pieteikumu vērtēšanas kritēriji un to piemērošanas metodika;
18.2.3. pētniecības pieteikuma veidlapa un tās aizpildīšanas metodika.
19. Pētniecības pieteikumu īstenošanai plānoto kopējo finansējumu plāno ne mazāk kā 31 407 079 euro apmērā (tai skaitā elastības finansējuma apmērs 5 488 842 euro), tai skaitā Eiropas Reģionālās attīstības fonda finansējumu – 26 696 017 euro (tai skaitā elastības finansējuma apjoms 4 665 516 euro), valsts budžeta līdzfinansējumu – 3 140 708 euro (tai skaitā elastības finansējuma apmērs 823 326 euro) un privāto līdzfinansējumu – 1 570 354 euro apmērā.
20. Pētniecības pieteikumu īstenošanai pieejamo kopējo finansējumu plāno ne mazāk kā 25 918 237 euro apmērā, tai skaitā Eiropas Reģionālās attīstības fonda finansējumu – 22 030 501 euro, valsts budžeta līdzfinansējumu – 2 317 382 euro un privāto līdzfinansējumu – 1 570 354 euro apmērā.
21. Ja Eiropas Komisijas Pētniecības izpildaģentūra apstiprina šo noteikumu 17. punktā minētā finansējuma saņēmēja izstrādāto un iesniegto COFUND projektu un piešķir finansējumu tā īstenošanai, COFUND projekta īstenošanai plāno kopējo finansējumu ne vairāk kā 10 000 000 euro apmērā, tai skaitā Eiropas Reģionālās attīstības fonda finansējumu – 8 500 000 euro un valsts budžeta līdzfinansējumu – 1 500 000 euro apmērā.
22. Finansējuma saņēmējs:
22.1. divu mēnešu laikā pēc tam, kad ir noslēgta vienošanās par projekta īstenošanu, izsludina pirmo pētniecības pieteikumu atlases konkursu;
22.2. izstrādā un pēc saskaņošanas ar Izglītības un zinātnes ministriju apstiprina pētniecības pieteikumu vērtēšanas komisijas reglamentu;
22.3. izstrādā pētniecības pieteikumu atlases nolikumu, tai skaitā paredzot atlases nolikumā kārtību, kādā izvērtē pētniecības pieteikumus, ja tie ir saņēmuši vienādu punktu skaitu;
22.4. organizē pētniecības pieteikumu zinātniskās kvalitātes starptautisku novērtēšanu, piesaistot zinātnisko ekspertu datubāzēs iekļautus ekspertus un piemērojot Eiropas Savienības pētniecības un inovāciju pamatprogrammas "Apvārsnis Eiropa" Marijas Sklodovskas-Kirī programmas "Pēcdoktorantūras stipendijas" vērtēšanas pieeju un principus;
22.5. izvērtē pētniecības pieteikumus un pieņem lēmumu par pētniecības pieteikumu apstiprināšanu vai noraidīšanu, lēmumā iekļaujot informāciju par lēmuma pārsūdzēšanas kārtību;
22.6. uzkrāj datus par pētniecības pieteikumiem, tai skaitā personu datus, lai uzskaitītu pēcdoktorantus, kas būs saņēmuši atbalstu gan 2014.–2020. gada plānošanas perioda darbības programmas "Izaugsme un nodarbinātība" 1.1.1. specifiskā atbalsta mērķa "Palielināt Latvijas zinātnisko institūciju pētniecisko un inovatīvo kapacitāti un spēju piesaistīt ārējo finansējumu, ieguldot cilvēkresursos un infrastruktūrā" 1.1.1.2. pasākumā "Pēcdoktorantūras pētniecības atbalsts", gan 1.1.1.9. pasākumā;
22.7. pēc atbildīgās iestādes pieprasījuma 10 darbdienu laikā iesniedz atbildīgajai iestādei informāciju par pētniecības pieteikumiem;
22.8. nodrošina interešu konflikta novēršanas pasākumu ievērošanu, kā arī nodrošina Eiropas Parlamenta un Padomes 2018. gada 18. jūlija Regulas (ES, Euratom) 2018/1046 par finanšu noteikumiem, ko piemēro Savienības vispārējam budžetam, ar kuru groza Regulas (ES) Nr. 1296/2013, (ES) Nr. 1301/2013, (ES) Nr. 1303/2013, (ES) Nr. 1304/2013, (ES) Nr. 1309/2013, (ES) Nr. 1316/2013, (ES) Nr. 223/2014, (ES) Nr. 283/2014 un Lēmumu Nr. 541/2014/ES un atceļ Regulu (ES, Euratom) Nr. 966/2012 (turpmāk – regula Nr. 2018/1046), 61. panta noteikumu uzraudzību attiecībā uz finansējuma saņēmēja speciālistiem, kas nodrošina ekspertīzes procesu, nepieļaujot interešu konflikta situāciju iestāšanos un vadot riskus attiecībā uz regulas Nr. 2018/1046 61. panta interešu konflikta tvērumu;
22.9. nodrošina, ka katrs finansējuma saņēmēja speciālists, kas veic ekspertu atlasi, izvērtē pētniecības pieteikumus un pieņem lēmumu par pētniecības pieteikumu apstiprināšanu, kā arī paraksta interešu konflikta neesības apliecinājumu (apliecinājumā ietverot atsauci uz regulas Nr. 2018/1046 61. pantu);
22.10. preču un pakalpojumu sniedzējus izvēlas saskaņā ar normatīvajiem aktiem publisko iepirkumu jomā, īstenojot atklātu, pārredzamu, nediskriminējošu un konkurenci nodrošinošu procedūru.
23. Finansējuma saņēmējs slēdz līgumus ar pētniecības pieteikumu iesniedzējiem par pētniecības pieteikumu īstenošanu. Līgumā iekļauj šādu informāciju:
23.1. pētniecības pieteikuma veids (ar saimniecisko darbību saistīts pētniecības pieteikums vai ar saimniecisko darbību nesaistīts pētniecības pieteikums), atbalstāmās darbības un šo noteikumu 6.2., 6.3. un 6.4.2. apakšpunktā minēto rādītāju sasniedzamās vērtības;
23.2. plānotais kopējā un publiskā finansējuma apmērs, kopējās attiecināmās izmaksas un to sadalījums pa ieguldījumu veidiem;
23.3. kārtība, kādā kontrolē pētniecības pieteikuma iesniedzēja īstenojamo atbalstāmo darbību kvalitāti un izvērtē zinātnisko kvalitāti;
23.4. kārtība, kādā veic pārbaudes pētniecības pieteikuma īstenošanas vietā, tai skaitā paredzot iespēju sadarbības iestādei veikt pārbaudes pētniecības pieteikuma īstenošanas vietā;
23.5. pētniecības pieteikuma iesniedzēja tiesības, pienākumi, atbildība un pārskatu sniegšanas kārtība, tai skaitā iesaiste zinātnes komunikācijas aktivitātēs;
23.6. kārtība, kādā tiek piešķirts avanss pētniecības pieteikuma iesniedzējam, kā arī izmaksātā avansa dzēšanas un atgūšanas kārtība;
23.7. kārtība, kādā iesaistītās puses groza vai lauž līgumu par pētniecības pieteikuma īstenošanu;
23.8. strīdu izšķiršanas kārtība;
23.9. ar pētniecības pieteikuma īstenošanu saistīto dokumentu glabāšanas termiņš.
24. Finansējuma saņēmējs šo noteikumu 23. punktā minētā līguma projektu pirms līgumu noslēgšanas ar pētniecības pieteikumu iesniedzējiem saskaņo ar Izglītības un zinātnes ministriju.
25. Finansējuma saņēmējs projekta ietvaros plāno finansējumu pētniecības pieteikuma iesniedzējam šo noteikumu 45. punktā minēto atbalstāmo darbību veikšanai.
26. Lai izvērtētu pētniecības pieteikumu zinātnisko kvalitāti, finansējuma saņēmējs nodrošina atbilstošu zinātnisko ekspertu datubāzē iekļautu ārvalstu ekspertu atlasi, izmantojot šādus atlases kritērijus:
26.1. ekspertam ir doktora zinātniskais grāds;
26.2. eksperta zinātniskā kvalifikācija atbilst konkrētā pētniecības pieteikuma zinātnes nozarei vai apakšnozarei;
26.3. eksperta līdzšinējā darba pieredze atbilst konkrētā pētniecības pieteikuma zinātnes nozarei vai apakšnozarei;
26.4. eksperts izvērtējumu veic neatkarīgi, viņš nepārstāv pētniecības pieteikuma iesniedzēja institūciju un viņa darbībā nav tādu apstākļu, kas varētu izraisīt interešu konfliktu.
27. Pētniecības pieteikuma īstenošanas uzraudzībai finansējuma saņēmējs nodrošina pētniecības pieteikuma vidusposma un gala rezultātu zinātniskās kvalitātes izvērtējumu, ievērojot šādus nosacījumus:
27.1. izvērtējumus veic ārvalstu zinātnisko ekspertu datubāzē iekļauti eksperti, kas atbilst šo noteikumu 26. punktā minētajiem kritērijiem;
27.2. finansējuma saņēmējs izstrādā un ar atbildīgo iestādi saskaņo izvērtējumu standartformas, tai skaitā ietverot tajās prasību ekspertam izvērtēt un pamatot, cik lielā mērā pētniecības pieteikumu plānotie rezultāti ir sasniegti (novērtējumu izsakot arī procentos);
27.3. vidusposma rezultātu izvērtējuma secinājumus un ieteikumus izvērtē finansējuma saņēmējs, pētniecības pieteikuma iesniedzējs un atbildīgā iestāde, ja nepieciešams, vienojoties par grozījumiem pētniecības pieteikuma darba plānā;
27.4. gala rezultātu zinātniskās kvalitātes izvērtējumu izmanto lēmuma pieņemšanā par pētniecības pieteikuma mērķa un plānoto rezultātu sasniegšanu. Pamatojoties uz gala izvērtējumu par pētniecības pieteikuma plānoto rezultātu sasniegšanas līmeni, ja attiecināms, finansējuma saņēmējs pieņem lēmumu par izmaksātā finansējuma atgūšanu atbilstoši līgumam par pētniecības pieteikuma īstenošanu.
28. Finansējuma saņēmējam ir pienākums līdz projekta iesnieguma iesniegšanai izstrādāt iekšējās kontroles sistēmu korupcijas un interešu konflikta riska novēršanai publiskas personas institūcijā atbilstoši Ministru kabineta 2017. gada 17. oktobra noteikumu Nr. 630 "Noteikumi par iekšējās kontroles sistēmas pamatprasībām korupcijas un interešu konflikta riska novēršanai publiskas personas institūcijā" prasībām, kas ietver arī:
28.1. pasākumus interešu konflikta riska kontrolei atbalsta piešķiršanas procedūrā un publiskajos iepirkumos (preventīvus pasākumus un konstatēšanas pasākumus interešu konflikta riska kontrolei, tai skaitā paziņošanas procedūru, labošanas pasākumus), ietverot informāciju par interešu konflikta novēršanu saskaņā ar regulas Nr. 2018/1046 61. pantu;
28.2. krāpšanas un korupcijas risku novēršanas mehānismus;
28.3. iekšējās informācijas aprites un komunikācijas pasākumus par interešu konflikta, krāpšanas un korupcijas riska novēršanu;
28.4. ētikas kodeksu;
28.5. kārtību, kā darbiniekiem jārīkojas gadījumā, ja viņi vēlas ziņot par iespējamiem pārkāpumiem (tai skaitā iespējamām koruptīvām darbībām), ietverot pasākumus, lai nodrošinātu ziņotāja anonimitāti un aizsardzību;
28.6. pasākumus aizliegtās vienošanās riska kontrolei;
28.7. dubultā finansējuma novēršanas mehānismu, tostarp pret citiem finansēšanas avotiem, tai skaitā pret Eiropas Savienības kohēzijas politikas programmu 2021.–2027. gadam, Eiropas Savienības struktūrfondu un Kohēzijas fonda 2014.–2020. gada plānošanas perioda darbības programmu "Izaugsme un nodarbinātība" un citiem ārvalstu finanšu instrumentiem;
28.8. trauksmes celšanas sistēmu;
28.9. procedūru disciplināratbildības piemērošanai;
28.10. mehānismu, kā kompetentajām iestādēm ziņo par potenciāliem administratīviem vai kriminālpārkāpumiem.
III. Prasības pētniecības pieteikuma iesniedzējam
29. Pētniecības pieteikuma iesniedzējs ir zinātniskā institūcija vai Latvijas Republikas Uzņēmumu reģistrā reģistrēts sīkais (mikro), mazais, vidējais vai lielais komersants, kas nodibina darba tiesiskās attiecības ar pēcdoktorantu un nodrošina pieeju infrastruktūrai, materiāliem un cilvēkresursiem pētniecības pieteikuma ietvaros nepieciešamo pētījumu īstenošanai.
30. Pētniecības pieteikumu var īstenot individuāli vai partnerībā ar ārvalsts vai Latvijas zinātnisko institūciju, augstskolu vai komersantu (turpmāk – sadarbības partneris), kas uzņem pēcdoktorantu un nodrošina pieeju infrastruktūrai, materiāliem vai cilvēkresursiem. Sadarbības partneris var gūt ekonomiskas priekšrocības un intelektuālā īpašuma tiesības proporcionāli katra sadarbības partnera ieguldījumam pētniecības pieteikuma īstenošanā.
31. Ja pētniecības pieteikums tiek īstenots partnerībā ar sadarbības partneri, pēc pētniecības pieteikuma apstiprināšanas pētniecības pieteikuma iesniedzējs un sadarbības partneris noslēdz sadarbības līgumu, paredzot tajā saturiskās, tehniskās un finansiālās sadarbības nosacījumus, pušu tiesības, pienākumus un atbildību, kā arī tiesības uz pētniecības pieteikuma rezultātiem (tai skaitā intelektuālā īpašuma tiesības) proporcionāli katra sadarbības partnera ieguldījumam pētniecības pieteikuma īstenošanā un piekļuvi sadarbības partnera infrastruktūrai un citiem resursiem pētniecības pieteikuma ietvaros nepieciešamo pētījumu īstenošanai.
32. Pētniecības pieteikuma iesniedzējam un sadarbības partnerim izvirzītas šādas prasības:
32.1. uz tiem neattiecas līdzekļu atgūšanas rīkojums, kas minēts Komisijas regulas Nr. 651/2014 1. panta 4. punkta "a" apakšpunktā;
32.2. tie nav uzskatāmi par finansiālās grūtības nonākušiem atbilstoši šo noteikumu 2.7. apakšpunktam, un tiek iesniegts apliecinājums par atbilstību Komisijas regulas Nr. 651/2014 2. panta 18. punkta "c" apakšpunktam;
32.3. uz pētniecības pieteikuma iesniedzēju nav attiecināmi Eiropas Savienības fondu 2021.–2027. gada plānošanas perioda vadības likuma 22. pantā noteiktie izslēgšanas nosacījumi;
32.4. ja pētniecības pieteikuma iesniedzējs veic gan saimnieciskas darbības, gan darbības, kurām nav saimnieciska rakstura, tas nodala darbību veidus un to izmaksas, finansējumu un ieņēmumus tā, lai efektīvi novērstu saimnieciskās darbības šķērssubsidēšanu.
33. Pētniecības pieteikuma iesniedzējs sagatavo pētniecības pieteikumu un atklāta pētniecības pieteikumu iesniegumu konkursa noteiktajā termiņā iesniedz finansējuma saņēmējam pētniecības pieteikuma iesniegumu par vienu vai vairākiem pēcdoktorantu pētījumiem atbilstoši pētniecības pieteikumu iesniegumu atlases nolikumam, tai skaitā iesniedz zinātniskās daļas aprakstu un pēcdoktoranta dzīvesgaitas aprakstu (CV) angļu valodā.
34. Pētniecības pieteikuma iesniedzējs atklāta pētniecības pieteikumu iesniegumu atlases konkursa ietvaros var iesniegt vienu vai vairākus pētniecības pieteikumus.
35. Pētniecības pieteikuma iesniedzējs:
35.1. pirms pētniecības pieteikumu iesniegšanas finansējuma saņēmējam var izstrādāt pēcdoktorantu pieteikumu atlases kārtību atbilstoši iestādes cilvēkresursu attīstības plānam un pētniecības programmai. Ja pētniecības pieteikuma iesniedzējs īsteno iekšējo pieteikumu atlasi, tam ir pienākums nodrošināt interešu konflikta novēršanas pasākumu ievērošanu, nepieļaujot interešu konflikta situāciju iestāšanos un vadot riskus attiecībā uz regulas Nr. 2018/1046 61. panta interešu konflikta tvērumu;
35.2. pētniecības pieteikuma īstenošanai piesaista pēcdoktorantu(-us) normālā darba laika ietvaros un veic darba laika uzskaiti par pēcdoktoranta veiktajām funkcijām un nostrādāto laiku;
35.3. iesniedz finansējuma saņēmējam pētniecības pieteikumu un sadarbībā ar pēcdoktorantu(-iem) to īsteno, abām pusēm vienojoties par pētniecības pieteikuma saturu, tehniskās un finansiālās sadarbības nosacījumiem, pušu tiesībām, pienākumiem un atbildību, pētniecības pieteikuma rezultātu izmantošanas, ieviešanas, vizuālās identitātes un komercializācijas nosacījumiem.
36. Pētniecības pieteikuma iesniedzējs pasākuma ietvaros var iesniegt arī projektu ārvalsts pēcdoktoranta piesaistei, kas tika iesniegts Eiropas Savienības pētniecības un inovāciju pamatprogrammas "Apvārsnis Eiropa" Marijas Sklodovskas-Kirī programmā "Pēcdoktorantūras stipendijas" un minētajā projektu iesniegumu vērtēšanā novērtēts virs kvalitātes sliekšņa, bet nesaņēma finansējumu projekta īstenošanai. Šādā gadījumā, lai pretendētu uz finansējumu pasākuma ietvaros, jānodrošina šādu nosacījumu izpilde:
36.1. pētniecības pieteikums sniedz ieguldījumu šo noteikumu 4. punktā minētās Latvijas viedās specializācijas stratēģijas mērķu sasniegšanā;
36.2. pētniecības pieteikuma kopējais finansējums nepārsniedz šo noteikumu 61. punktā norādīto pētniecības pieteikuma maksimālo kopējo attiecināmo finansējuma apmēru un 62. punktā minētos izmaksu ierobežojumus.
37. Šo noteikumu 36. punktā minēto pētniecības pieteikumu un starptautiskās pētniecības pieteikumu zinātniskās kvalitātes vērtēšanai atkārtoti nepiesaista zinātnisko ekspertu datubāzē iekļautos ekspertus, bet izmanto Eiropas Savienības pētniecības un inovāciju pamatprogrammas "Apvārsnis Eiropa" Marijas Sklodovskas-Kirī programmas "Pēcdoktorantūras stipendijas" ietvaros saņemto ekspertu vērtējumu par projekta zinātnisko kvalitāti.
38. Šo noteikumu 36. punktā minēto pētniecības pieteikumu un starptautiskās pētniecības pieteikumu iesniedz atbilstoši šo noteikumu 18.2.3. apakšpunktā minētajai pētniecības pieteikuma veidlapai, pielikumā pievieno šo noteikumu 37. punktā minēto zinātnisko ekspertu datubāzē iekļauto ekspertu vērtējumu par projekta zinātnisko kvalitāti, Eiropas Komisijas lēmumu par projekta apstiprināšanu un Eiropas Savienības pētniecības un inovāciju pamatprogrammas "Apvārsnis Eiropa" Marijas Sklodovskas-Kirī programmas "Pēcdoktorantūras stipendijas" ietvaros iesniegtā projekta iesnieguma kopiju.
39. Lai nodrošinātu šo noteikumu 74. un 76. punktā minēto nosacījumu izpildi un novērstu dubultā finansējuma risku, pētniecības pieteikuma iesniedzējs nodrošina pētniecības pieteikumā iesaistītā darbinieka kopējā darba laika un paveiktā darba uzskaiti atbilstoši finansējuma saņēmēja izstrādātajai darba laika uzskaites veidlapai, ievērojot šādus darba laika uzskaites nosacījumus:
39.1. darba laika uzskaitē ietver informāciju par visiem pētniecības pieteikumā iesaistītā zinātniskā darbinieka veiktajiem uzdevumiem pētniecības pieteikuma iesniedzēja un sadarbības partnera (ja attiecināms) institūcijā;
39.2. katrai ar pētniecību saistītajai darbībai norāda tieši saistīto pētniecības kategoriju.
40. Pētniecības pieteikuma īstenošanā iesaistītais pēcdoktorants un starptautiskās pētniecības pieteikuma īstenošanā iesaistītais starptautiskais pēcdoktorants sniedz apliecinājumu, ka vienlaikus nesaņem atlīdzību šā pasākuma ietvaros un Latvijas Atveseļošanas un noturības mehānisma plāna 5.2. reformu un investīciju virziena "Augstskolu pārvaldības modeļa maiņas nodrošināšana" 5.2.1.r. reformas "Augstākās izglītības un zinātnes izcilības un pārvaldības reforma" 5.2.1.1.i. investīcijas "Pētniecības, attīstības un konsolidācijas granti" otrās kārtas "Konsolidācijas un pārvaldības izmaiņu ieviešanas granti" projekta ietvaros attiecībā uz pēcdoktorantūras atbalstu un Eiropas Savienības kohēzijas politikas programmas 2021.–2027. gadam 1.1. "Pētniecība un prasmes" 1.1.1. specifiskā atbalsta mērķa "Pētniecības un inovāciju kapacitātes stiprināšana un progresīvu tehnoloģiju ieviešana kopējā P&A sistēmā" 1.1.1.4. pasākumā "Mobilitātes, pieredzes apmaiņas un sadarbības aktivitātes starptautiskās konkurētspējas uzlabošanai zinātnē", kā arī citu valsts vai ārvalstu finanšu instrumentu ietvaros.
41. Pētniecības pieteikumu iesniedzējs katrā atlases kārtā noslēdz līgumu ar finansējuma saņēmēju par pētniecības pieteikuma īstenošanu 36 mēnešu laikā, bet ne ilgāk par pētniecības pieteikuma īstenošanas beigu termiņu – 2029. gada 30. jūniju. Pētniecības pieteikuma iesniedzējs noslēguma ziņojumu zinātniskās kvalitātes vērtēšanai finansējuma saņēmējam iesniedz līdz 2029. gada 15. jūlijam, bet noslēguma maksājuma pieprasījumu – līdz 2029. gada 31. augustam.
42. Pētniecības pieteikuma iesniedzējs pētniecības pieteikuma īstenošanu uzsāk sešu mēnešu laikā pēc lēmuma pieņemšanas par pētniecības pieteikuma iesnieguma apstiprināšanu.
IV. Atbalstāmās darbības
43. Finansējuma saņēmējs pasākuma ietvaros nodrošina pēcdoktorantu pētniecības atbalsta pasākumu īstenošanu, pētniecības pieteikumu atlasi, vērtēšanu un līgumsaistību izpildes uzraudzību, īstenojot šādas darbības:
43.1. nodrošina projekta iesnieguma izstrādi un iesniegšanu kopā ar zinātniskajām institūcijām un komersantiem Eiropas Savienības pētniecības un inovāciju pamatprogrammas "Apvārsnis Eiropa" Marijas Sklodovskas-Kirī programmas aktivitātē "Līdzfinansējums reģionālajām, nacionālajām un starptautiskajām programmām (COFUND)", lai piesaistītu finansējumu pētniecībai un mācību un karjeras attīstībai;
43.2. nodrošina ārvalsts pēcdoktorantu apzināšanu un piesaisti Latvijas zinātniskajām institūcijām vai komersantiem;
43.3. nodrošina darbības komersantu piesaistes un līdzdalības veicināšanai;
43.4. izstrādā un īsteno stratēģiju atbalstīto pēcdoktorantu iesaistei zinātnes komunikācijas aktivitātēs;
43.5. nodrošina organizatorisko atbalstu pēcdoktorantu mācību pasākumu īstenošanai;
43.6. nodrošina pētniecības pieteikumu atlasi un vērtēšanu atbilstoši šo noteikumu 22.4. apakšpunktam;
43.7. pirms atbalsta piešķiršanas izvērtē ar saimniecisko darbību nesaistītu pētniecības pieteikumu atbilstību šo noteikumu 2.1. apakšpunktā minētajiem kritērijiem vai, ja tiek piešķirts komercdarbības atbalsts, nodrošina izvērtējumu par atbilstību komercdarbības atbalsta kontroles nosacījumiem saskaņā ar Komisijas regulu Nr. 651/2014;
43.8. pirms atbalsta piešķiršanas saskaņā ar Komisijas regulu Nr. 651/2014 pārbauda, vai uz brīdi, kad tiek pieņemts lēmums par atbalsta piešķiršanu, pētniecības pieteikuma iesniedzējs un sadarbības partneris (ja attiecināms) nav nonācis finansiālās grūtībās atbilstoši Komisijas regulas Nr. 651/2014 2. panta 18. punktam;
43.9. nodrošina konsultatīvo un metodisko atbalstu pētniecības pieteikumu iesniedzējiem visos pētniecības pieteikuma īstenošanas posmos:
43.9.1. nodarbinātības un darba laika uzskaites jautājumos;
43.9.2. finanšu un ar iepirkumu procedūrām saistītajos jautājumos (plānots piemērot zaļā publiskā iepirkuma, sociāli atbildīga publiskā iepirkuma un inovatīva publiskā iepirkuma nosacījumus, ja iespējams);
43.9.3. pētniecības pieteikuma sagatavošanas un īstenošanas jautājumos, tai skaitā atbilstībai Latvijas viedās specializācijas stratēģijai;
43.10. nodrošina informācijas un vizuālās identitātes pasākumus par finansējuma saņēmēja projekta un pētniecības pieteikumu īstenošanu;
43.11. nodrošina līgumu slēgšanu ar pētniecības pieteikumu iesniedzējiem par pētniecības pieteikumu īstenošanu;
43.12. nodrošina pētniecības pieteikumu īstenošanai nepieciešamā finansējuma plānošanu un piešķiršanu;
43.13. nodrošina, ka pētniecības pieteikuma iesniedzēju iekšējo atlašu procesā tiek ievēroti regulas Nr. 2018/1046 61. panta nosacījumi, ja pētniecības pieteikuma iesniedzējs īsteno iekšējo pieteikumu atlasi;
43.14. veic pētniecības pieteikumu īstenošanas uzraudzību, tai skaitā:
43.14.1. pārbauda ar saimniecisko darbību nesaistītu pētniecības pieteikumu atbilstību šo noteikumu 2.1. apakšpunktā minētajiem kritērijiem;
43.14.2. nodrošina starptautisku pētniecības pieteikumu vidusposma un gala rezultāta zinātniskās kvalitātes vērtēšanu, piesaistot zinātnisko ekspertu datubāzēs iekļautus ekspertus;
43.15. nodrošina pētniecības pieteikumu īstenošanas kontroli pētniecības pieteikumu īstenošanas vietā pētniecības pieteikumu īstenošanas laikā un pēcuzraudzības periodā;
43.16. veic nepieciešamos uzlabojumus elektroniskās platformas darbībai pētniecības pieteikumu iesniegumu un pārskatu iesniegšanai;
43.17. nodrošina projekta vadību un īstenošanu.
44. Finansējuma saņēmējs nodrošina darbības programmas "Izaugsme un nodarbinātība" 1.1.1. specifiskā atbalsta mērķa "Palielināt Latvijas zinātnisko institūciju pētniecisko un inovatīvo kapacitāti un spēju piesaistīt ārējo finansējumu, ieguldot cilvēkresursos un infrastruktūrā" 1.1.1.2. pasākuma "Pēcdoktorantūras pētniecības atbalsts" ilgtspējas uzraudzību.
45. Pētniecības pieteikuma ietvaros īsteno šādas atbalstāmās darbības:
45.1. pētniecība, kas ietver vienu no šādām kategorijām:
45.1.1. fundamentālais pētījums;
45.1.2. rūpnieciskais pētījums;
45.2. tādu tehnoloģiju tiesību (nemateriālo aktīvu) iegūšana, apstiprināšana un aizstāvēšana, kuras izriet no šo noteikumu 45.1. apakšpunktā veiktās darbības (turpmāk – tehnoloģiju tiesību aizsardzība), ja attiecināms;
45.3. zinātības un tehnoloģiju pārnese;
45.4. pētniecības pieteikuma īstenošanā iesaistītā pēcdoktoranta:
45.4.1. kompetenču pilnveide (mācības);
45.4.2. starptautiskā mobilitāte (vismaz divus mēnešus) pētniecības pieteikuma īstenošanas laikā ar saimniecisko darbību nesaistīta pētniecības pieteikuma gadījumā un tīklošanās;
45.5. bakalauru, maģistru un doktoru darbu vadīšana, recenzēšana un dalība noslēguma darbu komisijās;
45.6. pētniecības vai inovācijas projektu sagatavošana iesniegšanai Latvijas un starptautisko projektu konkursos;
45.7. sabiedrības iesaiste pētniecības pieteikuma norisēs un informēšana par projekta rezultātiem, kas nav saistīti ar intelektuālā īpašuma tiesībām.
46. Šo noteikumu 45.1.1. apakšpunktā minēto fundamentālo pētījumu īstenošanai plānotais finansējuma apmērs nepārsniedz 20 procentu no šo noteikumu 13. punktā minētā pētniecības pieteikumu īstenošanai paredzētā kopējā attiecināmā finansējuma apmēra. Pēc Eiropas Komisijas lēmuma par vidusposma pārskatu fundamentālo pētījumu finansējums var tikt palielināts līdz 20 procentiem no šo noteikumu 12. punktā norādītā plānotā finansējuma pētniecības pieteikumu īstenošanai. Ja šo noteikumu 45.1.1. apakšpunktā minēto fundamentālo pētījumu īstenošanai netiek apgūts viss plānotais finansējums attiecīgās pētniecības pieteikumu iesniegumu atlases kārtas ietvaros, tas novirzāms pētniecības pieteikumiem, kuru ietvaros tiek īstenoti šo noteikumu 45.1.2. apakšpunktā minētie rūpnieciskie pētījumi.
47. Šo noteikumu 45. punktā minētās darbības ir attiecināmas, ja tās uzsāk:
47.1. ar saimniecisko darbību nesaistīta pētniecības pieteikuma ietvaros sešu mēnešu laikā pēc lēmuma pieņemšanas par pētniecības pieteikuma iesnieguma apstiprināšanu;
47.2. ar saimniecisko darbību saistīta pētniecības pieteikuma ietvaros sešu mēnešu laikā pēc lēmuma pieņemšanas par pētniecības pieteikuma iesnieguma apstiprināšanu.
48. Projekta ietvaros nav atbalstāmas darbības, kas noteiktas Komisijas regulas Nr. 651/2014 1. panta 2. punkta "c" un "d" apakšpunktā un 1. panta 5. punktā.
V. Finansēšanas nosacījumi finansējuma saņēmējam
49. Pasākuma ietvaros finansējuma saņēmēja projekta īstenošanai plāno šādus izmaksu veidus:
49.1. tiešās attiecināmās izmaksas, kas ir tieši saistītas ar finansējuma saņēmēja projekta īstenošanu un nepieciešamas rezultātu sasniegšanai, un šī saistība ir skaidri saprotama un pierādāma;
49.2. netiešās attiecināmās izmaksas, kas nav tieši saistītas ar finansējuma saņēmēja projekta rezultātu sasniegšanu, bet atbalsta un nodrošina atbilstošus apstākļus atbalstāmo darbību īstenošanai un rezultātu sasniegšanai.
50. Šo noteikumu 49.1. apakšpunktā minētās finansējuma saņēmēja projekta tiešās attiecināmās izmaksas ietver šādas izmaksu pozīcijas:
50.1. tiešās attiecināmās personāla izmaksas (projekta vadības un projekta īstenošanas personāla, tai skaitā to ekspertu atlīdzības izmaksas, kas veiks ekspertu atlasi pieteikumu zinātniskās kvalitātes vērtēšanai) (izņemot virsstundas) šo noteikumu 43. punktā minēto atbalstāmo darbību īstenošanai, kas līdz atbildīgās iestādes izstrādātās vienkāršoto izmaksu metodikas apstiprināšanai un saskaņošanai ar vadošo iestādi ir attiecināmas kā faktiskās izmaksas, paredzot projekta vadības personāla izmaksu Eiropas Savienības fondu daļas ierobežojumu kā fiksētu summu līdz 84 787 euro kalendāra gadā. Ja personāla iesaiste projektā ir nodrošināta saskaņā ar daļlaika attiecināmības principu, attiecināma ir ne mazāka kā 30 procentu noslodze;
50.2. zinātnisko ekspertu datubāzē iekļauto ekspertu darba samaksa, kuri veiks pētniecības pieteikuma sākotnējo, vidusposma un gala rezultātu zinātniskās kvalitātes vērtēšanu;
50.3. pakalpojumu (uzņēmuma) līgumu izmaksas šo noteikumu 43.16. apakšpunktā minētās atbalstāmās darbības īstenošanai, kas nepārsniedz piecus procentus no kopējā finansējuma saņēmējam pieejamā finansējuma;
50.4. jaunu darba vietu radīšanai vai gadījumā, ja esošo darba vietu aprīkojums ir nolietojies un tiek norakstīts, nepieciešamā aprīkojuma (biroja mēbeles un tehnika, datorprogrammas un licences) iegādes izmaksas ne vairāk kā 3000 euro apmērā vienai darba vietai visā projekta īstenošanas laikā. Ja personāls ir nodarbināts normālu darba laiku, darba vietas aprīkojuma iegādes izmaksas ir attiecināmas 100 procentu apmērā. Ja personāls ir nodarbināts nepilnu darba laiku vai personāla atlīdzībai piemēro daļlaika izmaksu attiecināmības principu, darba vietas aprīkojuma izmaksas ir attiecināmas proporcionāli slodzes procentuālajam sadalījumam. Savukārt daļlaika izmaksu attiecināmības principa gadījumā tiek ņemts vērā nodarbinātā iesaistes periods projektā pret kopējo īstenošanas ilgumu;
50.5. tulkošanas un citu pakalpojumu izmaksas, kas ir pamatotas un saistītas ar projekta īstenošanu;
50.6. ar semināru, informatīvo pasākumu, diskusiju un konferenču organizēšanu un īstenošanu saistītās izmaksas, tai skaitā telpu īres maksa (ja finansējuma saņēmēja projekta aktivitāšu īstenošanai nepieciešams īrēt telpas ārpus finansējuma saņēmēja juridiskās un faktiskās uzturēšanās adreses) un izdales materiālu izmaksas;
50.7. izmaksas horizontālā principa "Vienlīdzība, iekļaušana, nediskriminācija un pamattiesību ievērošana" darbību īstenošanai, tai skaitā zīmju valodas tulku, vieglās valodas tulkošanas, reāllaika transkripcijas, subtitru nodrošināšanas pakalpojumu, pacēlāju, pandusu un indukcijas cilpu nomas izmaksas, ja tās ir nepieciešamas vides un informācijas piekļūstamības nodrošināšanai;
50.8. transporta izmaksas (maksa par degvielu, maksa par sabiedriskā transporta izmantošanu) šo noteikumu 43.5., 43.10., 43.15. un 43.17. apakšpunktā minēto atbalstāmo darbību īstenošanai atbilstoši vadošās iestādes izstrādātajai metodikai "Vienas vienības izmaksu standarta likmes aprēķina un piemērošanas metodika 1 km izmaksām darbības programmas "Izaugsme un nodarbinātība" un Eiropas Savienības kohēzijas politikas programmas 2021.–2027. gadam īstenošanai";
50.9. transporta pakalpojumu iegādes izmaksas (transportlīdzekļu noma, transporta pakalpojumu pirkšana) projekta vadības un īstenošanas personālam šo noteikumu 43.5., 43.10., 43.15. un 43.17. apakšpunktā minēto atbalstāmo darbību īstenošanai;
50.10. informatīvo un metodisko materiālu izstrādes un publiskošanas izmaksas;
50.11. ārvalstu komandējumu izmaksas projekta vadītājam un projekta īstenošanas personālam atbilstoši normatīvajiem aktiem, kas nosaka kārtību, kādā atlīdzināmi ar komandējumiem saistītie izdevumi;
50.12. iekšzemes komandējumu un darba braucienu izmaksas atbilstoši vadošās iestādes izstrādātajai metodikai "Vienas vienības izmaksu standarta likmes aprēķina un piemērošanas metodika iekšzemes komandējumu izmaksām darbības programmas "Izaugsme un nodarbinātība" un Eiropas Savienības kohēzijas politikas programmas 2021.–2027. gadam īstenošanai";
50.13. projekta informācijas un vizuālās identitātes pasākumu izmaksas atbilstoši normatīvajiem aktiem, kas nosaka kārtību, kādā Eiropas Savienības fondu vadībā iesaistītās institūcijas nodrošina šo fondu ieviešanu 2021.–2027. gada plānošanas periodā;
50.14. finansējums pētniecības pieteikumu īstenošanai;
50.15. finansējums COFUND projekta īstenošanai.
51. Šo noteikumu 49.2. apakšpunktā minētās netiešās attiecināmās izmaksas plāno kā vienu izmaksu pozīciju, piemērojot netiešo izmaksu vienoto likmi 15 procentu apmērā no šo noteikumu 50.1. apakšpunktā minētajām tiešajām attiecināmajām personāla izmaksām.
52. Finansējuma saņēmēja šo noteikumu 50. (izņemot 50.14. un 50.15. apakšpunktu) un 51. punktā minētās izmaksas nepārsniedz 3 126 329 euro.
53. Finansējuma saņēmēja šo noteikumu 44. punktā minētās izmaksas nepārsniedz 266 592 euro.
54. Maksimālais pieļaujamais Eiropas Reģionālās attīstības fonda finansējuma apmērs ir 85 procenti no finansējuma saņēmēju attiecināmo izmaksu kopsummas. Nacionālo finansējumu 15 procentu apmērā nodrošina no valsts budžeta līdzekļiem.
VI. Vispārīgie finansēšanas nosacījumi pētniecības pieteikumu iesniedzējiem
55. Pasākuma ietvaros pētniecības pieteikuma iesniedzējs var īstenot:
55.1. ar saimniecisko darbību nesaistītu pētniecības pieteikumu;
55.2. ar saimniecisko darbību saistītu pētniecības pieteikumu.
56. Ar saimniecisko darbību nesaistītam pētniecības pieteikumam maksimālais attiecināmais Eiropas Reģionālās attīstības fonda finansējuma apmērs nepārsniedz 85 procentus no pētniecības pieteikuma kopējā attiecināmā finansējuma. Nepieciešamo līdzfinansējumu 15 procentu apmērā no pētniecības pieteikuma kopējām attiecināmajām izmaksām nodrošina no šādiem līdzekļiem:
56.1. no valsts budžeta finansējuma – ne vairāk kā 10 procentu apmērā;
56.2. no citiem pētniecības organizācijas rīcībā esošajiem līdzekļiem, tai skaitā no savas saimnieciskās darbības, kredītresursu līdzekļiem, citiem finanšu resursiem vai finansējuma, ko piešķir saskaņā ar normatīvajiem aktiem par kārtību, kādā paredzami valsts budžeta līdzekļi valsts zinātniskās institūcijas pamatdarbību īstenošanai, vai ieguldījumiem natūrā, kuru vērtību ir iespējams neatkarīgi auditēt un novērtēt atbilstoši šo noteikumu 57. punktā minētajiem nosacījumiem. Kopējais ieguldījums natūrā nepārsniedz piecus procentus no pētniecības pieteikuma kopējām attiecināmajām izmaksām. Ieguldījumu natūrā procentuālā ierobežojuma atbilstību pārbauda un absolūtu skaitļu pozīcijā fiksē finansējuma saņēmējs, apstiprinot pētniecības pieteikumu. Pētniecības pieteikuma īstenošanas periodā pētniecības pieteikuma budžeta izmaksu pozīciju, kurā ietverti ieguldījumi natūrā, absolūtos skaitļos nesamazina, ja citās pētniecības pieteikuma budžeta izmaksu pozīcijās:
56.2.1. rodas ietaupījums un tādēļ samazinās pētniecības pieteikuma kopējās attiecināmās izmaksas, bet pētniecības pieteikumā paredzētie mērķi un rādītāji tiek sasniegti;
56.2.2. konstatē neatbilstoši veiktas izmaksas, kuru neattiecināšanas dēļ samazinās pētniecības pieteikumu kopējās attiecināmās izmaksas.
57. Ar saimniecisko darbību nesaistītam pētniecības pieteikumam ieguldījumus natūrā var veidot:
57.1. materiālie aktīvi:
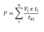
57.1.1. pamatlīdzekļi – tehnoloģiskās iekārtas (iekārtas, mēraparatūra, regulēšanas ierīces, laboratoriju un medicīnas iekārtas, autotransports), kuru kopējo lietošanas vērtību aprēķina, ņemot vērā katra pētniecības pieteikuma ietvaros izmantotā pamatlīdzekļa minimālo vērtību (vidējās vienas darbdienas lietošanas izmaksas visā pamatlīdzekļa lietderīgās lietošanas periodā) un laiku, kādā pamatlīdzekli plānots izmantot pētniecības pieteikumā paredzēto darbību veikšanai. Kopējo pamatlīdzekļu lietošanas vērtību nosaka, izmantojot šādu formulu:
| , kur |
P – kopējā pamatlīdzekļu lietošanas vērtība (euro);
Vi – i-tā pamatlīdzekļa sākotnējā vērtība (iegādes izmaksas vai ražošanas pašizmaksa) (euro);
i – pamatlīdzekļa variante (i = 1, 2, .., n; n – pamatlīdzekļu skaits);
ti – laiks, kādā pamatlīdzekli plānots izmantot pētniecības pieteikumā paredzēto darbību veikšanai (darbdienās);
tki – kopējais pamatlīdzekļa lietderīgās lietošanas laiks (darbdienās);
57.1.2. piešķirtie materiāli (fizikālie, bioloģiskie, ķīmiskie un citi materiāli, izmēģinājuma dzīvnieki, reaktīvi, ķimikālijas, laboratorijas trauki, medikamenti pētniecībai, zemes platības, elektronikas komponentes un moduļi), kuru vērtību aprēķina proporcionāli pētniecības pieteikuma ietvaros patērētajam materiālu daudzumam un materiālu tirgus cenai;
57.2. pētniecības pieteikuma ietvaros ar pētniecību saistītās profesionālās darbības:
57.2.1. kuras veic zinātniskais personāls vai zinātnes tehniskais personāls;
57.2.2. ja tās netiek veiktas laikā, kad atbilstoši noslēgtajiem līgumiem persona veic ar pētniecības pieteikumu nesaistītus uzdevumus, un par tām pētniecības pieteikuma ietvaros netiek saņemta atlīdzība;
57.2.3. kuru vērtību nosaka, ņemot vērā pētniecībai patērēto laiku un atalgojuma un darba algas likmes atbilstoši pētniecības pieteikuma iesniedzēja institūcijas atalgojuma un atlīdzības politikai.
58. Ja īsteno ar saimniecisko darbību saistītu pētniecības pieteikumu, pētniecības pieteikuma iesniedzējs neatkarīgi no tā juridiskā statusa (publisko vai privāto tiesību subjekts) vai saimnieciskā veida (peļņu gūstoša vai bezpeļņas zinātniskā institūcija) kvalificējams kā saimnieciskās darbības veicējs atbilstoši Komisijas regulas Nr. 651/2014 2. panta 24. punktā un 1. pielikumā noteiktajai definīcijai.
59. Ar saimniecisko darbību saistītam pētniecības pieteikumam:
59.1. atbalstu sniedz pārredzamu atbalsta kategoriju veidā (dotācija);
59.2. finansējuma saņemšanai pētniecības pieteikuma iesniedzējs pētniecības pieteikumā pamato kopējā publiskā finansējuma stimulējošo ietekmi un iesniedz rakstisku atbalsta pieteikumu, pirms sākas darbs pie pētniecības pieteikuma, ievērojot Komisijas regulas Nr. 651/2014 2. panta 23. punktā minēto darbu sākuma definīciju un 6. panta 2. punktā minēto stimulējošās ietekmes prasību. Iesniedzot ar saimniecisko darbību saistītu pētniecības pieteikumu, pieteikumā ir jāietver visi punkti, kas noteikti Komisijas regulas Nr. 651/2014 6. panta 2. punktā. Ja darbi pie projekta sākti pirms pētniecības pieteikuma iesniegšanas finansējuma saņēmējam, pētniecības pieteikums ir noraidāms.
60. Ja pētniecības pieteikuma iesniedzējs ir zinātniskā institūcija vai komersants, kas īsteno ar saimniecisko darbību saistītu pētniecības pieteikumu, privātā līdzfinansējuma apmēru nosaka, ņemot vērā publisko finansējumu, kas noteikts atbilstoši šo noteikumu 64., 74. un 76. punktam un šo noteikumu pielikumam. Privāto līdzfinansējumu nodrošina no pētniecības pieteikuma iesniedzēja rīcībā esošajiem līdzekļiem vai kredītresursu līdzekļiem un citiem finanšu resursiem, par kuriem nav saņemts nekāds publiskais atbalsts, tai skaitā nav saņemts nekāds valsts vai pašvaldību galvojums vai valsts vai pašvaldības kredīts uz atvieglojuma nosacījumiem.
61. Pētniecības pieteikuma maksimālais kopējais attiecināmais finansējums vienas kārtas ietvaros ir 191 700 euro.
62. Ar saimniecisko darbību nesaistīta pētniecības pieteikuma ietvaros attiecināmas šādas izmaksas:
62.1. pēcdoktoranta (personāla) atlīdzības izmaksas ir 3 860 euro mēnesī un gadā tās nepārsniedz 46 320 euro, tai skaitā valsts sociālās apdrošināšanas obligātās iemaksas un citas sociālās garantijas, kuras noteiktas normatīvajos aktos darba tiesību un atlīdzības jomā. Atlīdzības izmaksu apmērs tiek noteikts un izmaksas tiek attiecinātas atbilstoši atbildīgās iestādes apstiprinātajai vienkāršoto izmaksu metodikai, kas saskaņota ar vadošo iestādi;
62.2. vienas vienības izmaksas atbilstoši Eiropas Savienības pētniecības un inovāciju pamatprogrammas "Apvārsnis Eiropa" Marijas Sklodovskas-Kirī programmas "Pēcdoktorantūras stipendijas" noteiktajai standartlikmei – 1000 euro mēnesī, kas ietver:
62.2.1. pētniecības izmaksas, tai skaitā pētniecībai nepieciešamo materiālu iegādes, tehnoloģiju tiesību aizsardzības un ārpakalpojumu izmaksas;
62.2.2. publicēšanās izmaksas;
62.2.3. mācību izmaksas;
62.2.4. tīklošanās pasākumu izmaksas, tai skaitā komandējumi, konferenču dalības maksa un iesaistes izmaksas informatīvajos pasākumos;
62.3. izmaksas par pētniecības pieteikuma īstenošanas nodrošināšanai izmantotajiem pētniecības pieteikuma iesniedzēja administratīvajiem un infrastruktūras resursiem – 255 euro mēnesī – saskaņā ar vienas vienības izmaksu metodiku. Izmaksas var ietvert šādas izmaksu pozīcijas:
62.3.1. kancelejas preces, biroja piederumi un biroja aprīkojuma noma vai iegāde;
62.3.2. telpu noma vai īre, komunālie maksājumi un telpu uzturēšanas izmaksas (tai skaitā iestādes koplietošanas telpu un koplietošanas resursu izmantošanas izmaksu proporcionāla segšana);
62.3.3. telekomunikācijas, interneta un pasta pakalpojumu izmaksas;
62.3.4. informācijas tehnoloģiju uzturēšanas izmaksas;
62.3.5. pētniecības pieteikuma iesniedzēja atbalsta un vadības personāla atlīdzības izmaksas;
62.3.6. izmaksas, kas nav iekļautas šo noteikumu 62.1. un 62.2. apakšpunktā minētajās izmaksās, bet ir nepieciešamas pētniecības pieteikuma rezultātu sasniegšanai;
62.4. mobilitātes nodrošināšanas izmaksas atbilstoši Eiropas Savienības pētniecības un inovāciju pamatprogrammas "Apvārsnis Eiropa" Marijas Sklodovskas-Kirī programmas "Pēcdoktorantūras stipendijas" noteiktajai standartlikmei – 600 euro mēnesī, ja mobilitātes ilgums ir seši mēneši vai vairāk;
62.5. ģimenes pabalsta izmaksas atbilstoši Eiropas Savienības pētniecības un inovāciju pamatprogrammas "Apvārsnis Eiropa" Marijas Sklodovskas-Kirī programmas "Pēcdoktorantūras stipendijas" noteiktajai standartlikmei – 660 euro mēnesī, ja mobilitātes ilgums ir seši mēneši vai vairāk.
63. Pēcdoktorantam var tikt izmaksātas šo noteikumu 62.4. un 62.5. apakšpunktā minētās izmaksas vienreizēja pabalsta apmērā izdevumu segšanai, kas saistīti ar pārcelšanos uz Latviju pētniecības pieteikuma īstenošanas ietvaros.
64. Ar saimniecisko darbību saistītam pētniecības pieteikumam attiecināmas ir Komisijas regulas Nr. 651/2014:
64.1. 25. panta 3. punkta "a", "b", "d" un "e" apakšpunktā noteiktās pētniecības izmaksas, ievērojot šo noteikumu 74. punktā noteikto pieļaujamā publiskā finansējuma atbalsta intensitāti, ja atbalsts tiek sniegts saskaņā ar Komisijas regulas Nr. 651/2014 25. pantu;
64.2. 28. panta 2. punkta "a" apakšpunktā noteiktās tehnoloģiju tiesību aizsardzības izmaksas, ievērojot šo noteikumu 76.1. apakšpunktā noteikto pieļaujamo publiskā finansējuma atbalsta intensitāti, ja atbalsts tiek sniegts saskaņā ar Komisijas regulas Nr. 651/2014 28. pantu;
64.3. 31. panta 3. punkta "b" un "d" apakšpunktā noteiktās mācību atbalsta izmaksas, ievērojot šo noteikumu 76.2. apakšpunktā noteikto pieļaujamo publiskā finansējuma atbalsta intensitāti, ja atbalsts tiek sniegts saskaņā ar Komisijas regulas Nr. 651/2014 31. pantu. Atbalsts netiks sniegts Komisijas regulas Nr. 651/2014 31. panta 2. punktā minētajām mācībām.
65. Ar saimniecisko darbību saistītam pētniecības pieteikumam publiskā finansējuma apmēru un vidējo svērto publiskā finansējuma atbalsta intensitāti nosaka šādi:
65.1. šo noteikumu 45.1.1. apakšpunktā minētajai pētniecības kategorijai pieļaujamo publiskā finansējuma apmēru nosaka atsevišķi atbilstoši šo noteikumu 74.1. apakšpunktā minētajai publiskā finansējuma intensitātei;
65.2. šo noteikumu 45.1.2. apakšpunktā minētajai pētniecības kategorijai pieļaujamo publiskā finansējuma apmēru nosaka atsevišķi atbilstoši šo noteikumu 74.2. un 74.3. apakšpunktā minētajai publiskā finansējuma intensitātei;
65.3. šo noteikumu 45.4.1. apakšpunktā minētajai pēcdoktoranta kompetenču pilnveidei pieļaujamo publiskā finansējuma apmēru nosaka atsevišķi atbilstoši šo noteikumu 76.2. apakšpunktā minētajai publiskā finansējuma intensitātei;
65.4. šo noteikumu 45.2. apakšpunktā minētajai atbalstāmajai darbībai pieļaujamo publiskā finansējuma apmēru nosaka atsevišķi atbilstoši šo noteikumu 76.1. apakšpunkta nosacījumiem.
66. Pasākuma ietvaros piešķirto pētniecības pieteikuma publisko finansējumu nevar apvienot ar atbalstu vienām un tām pašām attiecināmajām izmaksām, kas sniegts cita valsts atbalsta vai individuālā atbalsta projekta ietvaros.
67. Nepamatoti piešķirto publisko finansējumu atskaita no pētniecības pieteikuma kopējām attiecināmajām izmaksām un atmaksā finansējuma saņēmējam.
68. Ja pētniecības pieteikuma īstenošanas laikā vai piecus gadus pēc pētniecības pieteikuma īstenošanas termiņa beigām tiek pārkāptas šo noteikumu 2.1. apakšpunktā noteiktās komercdarbības atbalsta kontroles normas, pētniecības pieteikuma iesniedzējam ir pienākums atmaksāt finansējuma saņēmējam projekta ietvaros saņemto nelikumīgo komercdarbības atbalstu kopā ar procentiem no līdzekļiem, kas ir brīvi no komercdarbības atbalsta, atbilstoši Komercdarbības atbalsta kontroles likuma IV vai V nodaļas nosacījumiem.
69. Ja tiek pārkāpti Komisijas regulas Nr. 651/2014 nosacījumi, pētniecības pieteikuma iesniedzējam ir pienākums atmaksāt finansējuma saņēmējam projekta ietvaros saņemto nelikumīgo komercdarbības atbalstu kopā ar procentiem no līdzekļiem, kas ir brīvi no komercdarbības atbalsta, atbilstoši Komercdarbības atbalsta kontroles likuma IV vai V nodaļas nosacījumiem.
70. Pasākuma ietvaros nav attiecināmas šādas finansējuma saņēmēja projekta un pētniecības pieteikuma izmaksas:
70.1. izmaksas, kas radušās pēc projekta īstenošanas termiņa beigām, ko nosaka vienošanās par projekta īstenošanu vai līgums par pētniecības pieteikumu, vai kuru maksājumi veikti vēlāk nekā mēnesi pēc finansējuma saņēmēja projekta vai pētniecības pieteikuma īstenošanas termiņa beigām;
70.2. izmaksas, kas nav tieši saistītas ar finansējuma saņēmēja projekta un pētniecības pieteikuma ietvaros veiktajām darbībām un nav pamatotas ar izmaksas attaisnojošiem dokumentiem vai ir radušās normatīvo aktu prasību neievērošanas dēļ;
70.3. izmaksas, kas neatbilst pamatotas finanšu vadības principiem, īpaši naudas vērtībai un izmaksu efektivitātei;
70.4. izmaksas, kas pārsniedz šo noteikumu 50., 51., 61. un 62. punktā minēto izmaksu pozīciju noteiktos ierobežojumus;
70.5. samaksa par aizdevuma izskatīšanu, noformēšanu, rezervēšanu un apkalpošanu, maksa par finanšu darījumiem, nokavējuma procenti, līgumsodi un tiesvedības izdevumi;
70.6. finansējuma saņēmēja projekta un pētniecības pieteikuma īstenošanai nepieciešamā konta atvēršanas un uzturēšanas izmaksas.
71. Pievienotās vērtības nodoklis ir attiecināmās izmaksas, ja tas nav atgūstams atbilstoši normatīvajiem aktiem nodokļu politikas jomā.
72. Finansējuma saņēmēja projekta un pētniecības pieteikuma īstenošanas gaitā radušos sadārdzinājumu finansējuma saņēmējs un pētniecības pieteikuma iesniedzējs sedz no saviem līdzekļiem, par kuriem nav saņemts nekāds atbalsts no publiskiem resursiem. Ja to nav iespējams segt, pārdala ietaupījumu no citām finansējuma saņēmēja un pētniecības pieteikuma finansējuma pozīcijām. Pētniecības pieteikuma iesniedzējs nodrošina, ka netiek pārsniegts ar saimniecisko darbību saistīta pētniecības pieteikuma kopējais piešķirtais finansējuma apmērs un tiek ievērota šo noteikumu 74. un 76. punktā minētā atbalsta intensitāte.
73. Pasākuma ietvaros finansējuma saņēmēja projekta izmaksas ir attiecināmas, ja tās atbilst šajos noteikumos minētajām izmaksu pozīcijām un ir radušās ne agrāk kā no dienas, kad noslēgta vienošanās par projektu īstenošanu, izņemot šo noteikumu 50.1. apakšpunktā minētās izmaksas, kas radušās šo noteikumu 18.1., 18.2. un 22.2. apakšpunktā minēto darbību rezultātā un ir attiecināmas no 2024. gada 1. janvāra, un neietver pabeigtas darbības.
VII. Finansēšanas nosacījumi pētniecībai
74. Pieļaujamā publiskā finansējuma atbalsta intensitāte ar saimniecisko darbību saistīta pētniecības pieteikuma īstenošanai saskaņā ar Komisijas regulas Nr. 651/2014 25. pantu ir šāda:
74.1. 85 procenti fundamentālo pētījumu īstenošanai;
74.2. rūpniecisko pētījumu veikšanai:
74.2.1. 70 procenti pētniecības pieteikuma iesniedzējam, kas atbilst sīkā (mikro) vai mazā komersanta definīcijai;
74.2.2. 60 procenti pētniecības pieteikuma iesniedzējam, kas atbilst vidējā komersanta definīcijai;
74.2.3. 50 procenti pētniecības pieteikuma iesniedzējam, kas atbilst lielā komersanta definīcijai;
74.3. šo noteikumu 74.2. apakšpunktā minēto publiskā finansējuma atbalsta intensitāti var palielināt par 15 procentpunktiem no pētniecības pieteikuma kopējām attiecināmajām izmaksām, nepārsniedzot 80 procentus no pētniecības pieteikuma kopējām attiecināmajām izmaksām, ja rūpnieciskajiem pētījumiem tiek nodrošināta pētniecības rezultātu publiska pieejamība vismaz vienā no šādiem veidiem – pētniecības rezultātu izplatīšana tehniskās un zinātniskās konferencēs un publiski pieejamās krātuvēs (datubāzēs) vai bezmaksas programmatūras pieejamība.
VIII. Finansēšanas nosacījumi tehnoloģiju tiesību aizsardzībai un mācībām
75. Finansējumu tehnoloģiju tiesību aizsardzībai un mācībām var saņemt pētniecības pieteikuma iesniedzējs, kas atbilst:
75.1. sīkā (mikro), mazā vai vidējā komersanta definīcijai, ja īsteno ar saimniecisko darbību saistītu pētniecības pieteikumu;
75.2. šo noteikumu 2.13. apakšpunktā minētajai pētniecības organizācijas definīcijai, ja īsteno ar saimniecisko darbību nesaistītu pētniecības pieteikumu.
76. Pieļaujamā publiskā finansējuma atbalsta intensitāte ar saimniecisko darbību saistīta pētniecības pieteikuma īstenošanai ir šāda:
76.1. tehnoloģiju tiesību aizsardzības atbalstam 50 procenti pētniecības pieteikuma iesniedzējam, kas atbilst sīkā (mikro), mazā vai vidējā komersanta definīcijai atbilstoši Komisijas regulas Nr. 651/2014 28. panta 2. punktam;
76.2. atbalsts mācībām atbilstoši Komisijas regulas Nr. 651/2014 31. panta 4. punktam:
76.2.1. 50 procenti pētniecības pieteikuma iesniedzējam, kas atbilst lielā komersanta definīcijai;
76.2.2. 60 procenti, ja pētniecības pieteikuma iesniedzējs atbilst vidējā komersanta definīcijai vai mācības tiek nodrošinātas strādājošām personām ar invaliditāti vai nelabvēlīgā situācijā esošiem darba ņēmējiem;
76.2.3. 70 procenti pētniecības pieteikuma iesniedzējam, kas atbilst sīkā (mikro) vai mazā komersanta definīcijai.
IX. Pētniecības pieteikumu atlases izsludināšana un pētniecības pieteikumu sagatavošana un iesniegšana
77. Finansējuma saņēmējs izsludina atklātu pētniecības pieteikumu atlasi, publicējot oficiālajā izdevumā "Latvijas Vēstnesis", Eiropas Komisijas portālā "Euraxess" un Izglītības un zinātnes ministrijas tīmekļvietnē (www.izm.gov.lv) paziņojumu par pētniecības pieteikumu iesniegšanu.
78. Paziņojumā par pētniecības pieteikumu iesniegšanu norāda:
78.1. pētniecības pieteikumu atlases kārtai plānoto kopējo publiskā finansējuma apmēru un šo noteikumu 45.1.1. apakšpunktā minēto fundamentālo pētījumu īstenošanai plānoto finansējuma apmēru;
78.2. pētniecības pieteikumu iesniegšanas termiņu, kas nav īsāks par 30 darbdienām no izsludināšanas dienas;
78.3. pētniecības pieteikumu iesniegšanas vietu un kārtību;
78.4. tīmekļvietni, kurā publicēti pētniecības pieteikumu sagatavošanai izmantojamie dokumenti.
79. Pētniecības pieteikumu, kas pētniecības pieteikumu atlases kārtas ietvaros netika atbalstīts, pētniecības pieteikuma iesniedzējs var iesniegt atkārtoti nākamajā pētniecības pieteikumu atlasē, taču nevar iesniegt identisku pētniecības pieteikumu, kas iepriekš tika noraidīts zemas zinātniskās kvalitātes dēļ.
X. Projekta īstenošanas nosacījumi
80. Finansējuma saņēmējs projektu īsteno ne ilgāk kā līdz 2029. gada 31. decembrim.
81. Izglītības un zinātnes ministrija līdz 2025. gada 31. decembrim veic pasākuma ieviešanas nosacījumu un atbalstāmo darbību vidusposma izvērtējumu, tai skaitā izvērtē pasākuma atbilstību aktuālajiem Latvijas viedās specializācijas stratēģijas uzstādījumiem, un, ja nepieciešams, sagatavo priekšlikumus grozījumiem pasākuma ieviešanas nosacījumos un atbalstāmajās darbībās.
82. Pētniecības pieteikumam, kura īstenošanas termiņš nepārsniedz 12 mēnešus, vidusposma rezultātu zinātniskās kvalitātes izvērtējums netiek veikts. Gala rezultātu zinātniskās kvalitātes izvērtējums tiek veikts atbilstoši šo noteikumu 27. punktā minētajiem nosacījumiem.
83. Projekta īstenošanas vieta ir Latvijas Republikas teritorija.
84. Finansējuma saņēmējs nodrošina projekta īstenošanas finanšu plūsmas un darbību veidu skaidru nodalīšanu no citu finansējuma saņēmēja darbību finanšu plūsmām un darbību veidiem.
85. Finansējuma saņēmējs ne vēlāk kā sešus mēnešus pēc projekta uzsākšanas izveido projekta īstenošanas uzraudzības padomi. Padomes sastāvā iekļauj pārstāvjus no Izglītības un zinātnes ministrijas, Ekonomikas ministrijas, Kultūras ministrijas, Veselības ministrijas, Zemkopības ministrijas, Vides aizsardzības un reģionālās attīstības ministrijas, Latvijas Darba devēju konfederācijas un Latvijas Tirdzniecības un rūpniecības kameras.
86. Pētniecības pieteikuma iesniedzējam, saņemot pēcdoktoranta iesniegumu ar lūgumu pagarināt pētniecības pieteikuma īstenošanas termiņu, ir tiesības saskaņā ar līgumu par pētniecības pieteikuma īstenošanu pagarināt pētniecības pieteikuma īstenošanas termiņu uz laiku, kas nepārsniedz šo noteikumu 41. punktā noteikto pētniecības pieteikuma īstenošanas beigu termiņu, ja pēcdoktorantam nav iespējas pabeigt pētniecības pieteikuma īstenošanu pētniecības pieteikumā noteiktajā termiņā šādu objektīvu iemeslu dēļ:
86.1. pēcdoktoranta ilgstoša pārejoša darbnespēja, kas ir:
86.1.1. ilgusi nepārtraukti vairāk nekā sešus mēnešus;
86.1.2. ar pārtraukumiem vienu gadu trīs gadu periodā, šajā laikā neieskaitot grūtniecības un dzemdību atvaļinājumu;
86.2. pēcdoktorants atrodas grūtniecības un dzemdību atvaļinājumā;
86.3. pēcdoktorants atrodas bērna kopšanas atvaļinājumā.
87. Pētniecības pieteikuma iesniedzējam, saņemot šo noteikumu 86. punktā minēto pēcdoktoranta iesniegumu, ir tiesības saskaņā ar līgumu par pētniecības pieteikuma īstenošanu pagarināt pētniecības pieteikuma īstenošanas termiņu uz laiku, kas pārsniedz šo noteikumu 41. punktā noteikto pētniecības pieteikuma īstenošanas beigu termiņu, ievērojot šādus nosacījumus:
87.1. pēcdoktorantam nav iespējas pabeigt pētniecības pieteikuma īstenošanu pētniecības pieteikumā noteiktajā termiņā šo noteikumu 86. punktā minēto objektīvo iemeslu dēļ;
87.2. pētniecības pieteikuma iesniedzējs ir izvērtējis pēcdoktoranta pētniecības pieteikuma tēmas aktualitāti un ir pieņēmis vienu no šādiem lēmumiem:
87.2.1. pētniecības pieteikums nav zaudējis aktualitāti, un pēcdoktorants var turpināt īstenot iesākto pētniecības pieteikumu;
87.2.2. pētniecības pieteikums ir zaudējis aktualitāti, bet pētniecības pieteikuma iesniedzējs var nodrošināt pēcdoktorantam pētnieka vai vadošā pētnieka amata vietu darbam ar pētījumiem par citu aktuālu tēmu;
87.3. šo noteikumu 87.2.1. un 87.2.2. apakšpunktā minētajā gadījumā pēcdoktorantam saglabā līdzvērtīgus pētniecības pieteikuma īstenošanas nosacījumus atbilstoši pēcdoktoranta pētniecības pieteikumā norādītajam laika grafikam uz periodu, kas ir vienāds ar pēcdoktoranta nepabeigtā pētniecības pieteikuma laika periodu;
87.4. ar pētniecības pieteikuma īstenošanas pabeigšanu saistītās izmaksas sedz pētniecības pieteikuma iesniedzēja dibinātājs. Ja pētniecības pieteikuma iesniedzējs ir zinātnisko institūciju reģistrā reģistrēts valsts zinātniskais institūts, valsts augstskola, valsts augstskolas zinātniskais institūts, tai skaitā valsts dibinātas universitātes zinātniskais institūts – atvasināta publiska persona, kas īsteno ar saimniecisko darbību nesaistītu pētniecības pieteikumu, tad radušās pētniecības pieteikuma izmaksas sedz no valsts budžeta līdzekļiem atbilstoši normatīvajam regulējumam par zinātniskās darbības bāzes finansējuma piešķiršanas kārtību. Īstenojot ar saimniecisko darbību saistītu pētniecības pieteikumu, ar pētniecības pieteikuma īstenošanas pabeigšanu saistītās izmaksas sedz no līdzekļiem, kas ir brīvi no komercdarbības atbalsta.
88. Ja pētniecības pieteikuma īstenošanas laikā pētniecības pieteikuma iesniedzējam tiek izmaksāts avanss, to var izmaksāt pa daļām. Avansa maksājums nepārsniedz 30 procentu no pētniecības pieteikumam piešķirtā publiskā finansējuma kopsummas. Pēc tam kad noslēgts līgums par pētniecības pieteikuma īstenošanu, finansējuma saņēmējs, pamatojoties uz pētniecības pieteikuma iesniedzēja rakstisku avansa pieprasījumu, nodrošina pētniecības pieteikuma iesniedzējam avansa maksājumu. Finansējuma saņēmējs var pieņemt lēmumu par nākamā avansa piešķiršanu pēc tam, kad iepriekšējais avansa maksājums ir apgūts pilnā apmērā.
89. Finansējuma saņēmējs nodrošina, ka projektā iekļautās darbības, to izpildes grafiks un izmaksu struktūra ir organizētas tā, lai līdz 2025. gada 31. maijam finansējuma saņēmēja iesniegto maksājuma pieprasījumu apmērs ir vismaz 5 094 418 euro.
90. Īstenojot projektu un pētniecības pieteikumus, finansējuma saņēmējs un pētniecības pieteikumu iesniedzēji nodrošina informācijas un vizuālās identitātes pasākumus saskaņā ar Eiropas Parlamenta un Padomes 2021. gada 24. jūnija Regulas (ES) 2021/1060, ar ko paredz kopīgus noteikumus par Eiropas Reģionālās attīstības fondu, Eiropas Sociālo fondu Plus, Kohēzijas fondu, Taisnīgas pārkārtošanās fondu un Eiropas Jūrlietu, zvejniecības un akvakultūras fondu un finanšu noteikumus attiecībā uz tiem un uz Patvēruma, migrācijas un integrācijas fondu, Iekšējās drošības fondu un Finansiāla atbalsta instrumentu robežu pārvaldībai un vīzu politikai, 47. un 50. pantu un normatīvajiem aktiem, kas nosaka kārtību, kādā Eiropas Savienības fondu vadībā iesaistītās institūcijas nodrošina šo fondu ieviešanu 2021.–2027. gada plānošanas periodā, kā arī ievēro Eiropas Savienības fondu 2021.–2027. gada plānošanas perioda un Atveseļošanas fonda komunikācijas un dizaina vadlīnijas.
91. Finansējuma saņēmējs nodrošina informācijas publicēšanu atbilstoši Komisijas regulas Nr. 651/2014 9. panta 1. un 4. punktam.
92. Finansējuma saņēmējs savā tīmekļvietnē ne retāk kā reizi sešos mēnešos ievieto aktuālo informāciju par projekta īstenošanu.
93. Finansējuma saņēmējs uzkrāj datus par horizontālā principa "Vienlīdzība, iekļaušana, nediskriminācija un pamattiesību ievērošana" rādītāju "sieviešu skaits atbalsta saņēmēju vidū".
94. Lēmumu par publiskā finansējuma piešķiršanu ar saimniecisko darbību saistītiem pētniecības pieteikumiem pieņem līdz Komisijas regulas Nr. 651/2014 58. panta 4. punktā un 59. pantā noteiktajam termiņam.
95. Finansējuma saņēmējs atbalstu ar saimniecisko darbību saistīta pētniecības pieteikuma iesniedzējam atbilstoši Komisijas regulas Nr. 651/2014 2. panta 28. punktam piešķir ar dienu, kad finansējuma saņēmējs un ar saimniecisko darbību saistīta pētniecības pieteikuma iesniedzējs ir noslēguši līgumu par pētniecības pieteikuma īstenošanu.
96. Finansējuma saņēmējs nodrošina informācijas pieejamību 10 gadus pēc pēdējā atbalsta piešķiršanas un pētniecības pieteikumu iesniedzēji nodrošina informācijas pieejamību 10 gadus no atbalsta piešķiršanas brīža atbilstoši Komisijas regulas Nr. 651/2014 12. pantam.
XI. Prasības COFUND projekta iesniedzējam, starptautiskās pētniecības pieteikuma iesniedzējiem un finansēšanas nosacījumi starptautiskās pētniecības pieteikumu īstenošanai
97. Starptautiskās pētniecības pieteikumus īsteno, ja finansējuma saņēmējs saņem pozitīvu vērtējumu par COFUND projektu un Eiropas Komisija ir piešķīrusi līdzfinansējumu tā īstenošanai saskaņā ar līgumu par COFUND projekta īstenošanu.
98. Finansējuma saņēmējs sagatavo un iesniedz saskaņošanai Izglītības un zinātnes ministrijā šādu starptautiskās pētniecības pieteikumu atlases kārtu dokumentāciju:
98.1. starptautiskās pētniecības pieteikumu atlases nolikumu;
98.2. starptautiskās pētniecības pieteikumu vērtēšanas kritērijus un to piemērošanas metodiku.
99. Finansējuma saņēmējs papildus šo noteikumu 43. punktā minētajām darbībām īsteno šādas darbības:
99.1. vismaz reizi gadā, kamēr pieejams finansējums, ievērojot šo noteikumu 22.4. apakšpunktu, veic starptautiskās pētniecības pieteikumu atlasi un vērtēšanu saskaņā ar Eiropas Savienības pētniecības un inovāciju pamatprogrammas "Apvārsnis Eiropa" Marijas Sklodovskas-Kirī programmas aktivitātē "Līdzfinansējums reģionālajām, nacionālajām un starptautiskajām programmām (COFUND)" noteikto vērtēšanas pieeju un principiem;
99.2. organizē informācijas kampaņas un vizuālās identitātes pasākumus starptautiskās pētniecības pieteikumu popularizēšanai;
99.3. plāno un piešķir starptautiskās pētniecības pieteikumiem nepieciešamo finansējumu saskaņā ar COFUND projekta nosacījumiem un slēdz līgumus vai vienošanos ar starptautiskās pētniecības pieteikumu iesniedzējiem par starptautiskās pētniecības pieteikumu īstenošanu;
99.4. īsteno starptautiskās pētniecības pieteikumu uzraudzību, tai skaitā veic starptautiskās pētniecības pieteikumu īstenošanas monitoringu;
99.5. sniedz Eiropas Komisijai pārskatus par COFUND projekta izpildi.
100. Starptautiskās pētniecības pieteikuma iesniedzējs ir Latvijas zinātniskā institūcija, kas nodibina darba tiesiskās attiecības ar starptautisko pēcdoktorantu un nodrošina pieeju infrastruktūrai un cilvēkresursiem starptautiskās pētniecības pieteikuma ietvaros nepieciešamo pētījumu īstenošanai. Starptautiskās pētniecības pieteikumu zinātniskā institūcija var īstenot individuāli vai partnerībā ar ārvalsts zinātnisko institūciju vai ārvalsts augstskolu, kas uzņem starptautisko pēcdoktorantu, un, ja nepieciešams, nodibina darba tiesiskās attiecības ar starptautisko pēcdoktorantu uz mobilitātes laiku, nodrošinot pieeju infrastruktūrai un cilvēkresursiem (turpmāk – uzņemošā institūcija).
101. Ja starptautiskās pētniecības pieteikums tiek īstenots partnerībā ar uzņemošo institūciju, pēc starptautiskās pētniecības pieteikuma apstiprināšanas atbilstoši šiem noteikumiem starptautiskās pētniecības pieteikuma iesniedzējs un uzņemošā institūcija noslēdz sadarbības līgumu, paredzot tajā saturiskās, tehniskās un finansiālās sadarbības nosacījumus, pušu tiesības, pienākumus un atbildību, kā arī tiesības uz pētniecības pieteikuma rezultātiem (tai skaitā intelektuālā īpašuma tiesības) proporcionāli katra sadarbības partnera ieguldījumam pētniecības pieteikuma īstenošanā, kā arī piekļuvi uzņemošās institūcijas infrastruktūrai un citiem resursiem starptautiskās pētniecības pieteikuma ietvaros nepieciešamo pētījumu īstenošanai.
102. Starptautiskās pētniecības pieteikuma iesniedzējs starptautiskās pētniecības pieteikumu atlases nolikumā noteiktajā kārtībā iesniedz finansējuma saņēmējam starptautiskās pētniecības pieteikumu un sadarbībā ar starptautisko pēcdoktorantu to īsteno, abām pusēm vienojoties par starptautiskās pētniecības pieteikuma saturu, tehniskās un finansiālās sadarbības nosacījumiem, pušu tiesībām, pienākumiem un atbildību, kā arī par starptautiskās pētniecības pieteikuma rezultātu izmantošanas, ieviešanas, vizuālās identitātes un komercializācijas nosacījumiem.
103. Starptautiskās pētniecības pieteikuma iesniedzējs veic šādas atbalstāmās darbības:
103.1. piesaista starptautisko pēcdoktorantu uz pilnu darba laiku un veic darba laika uzskaiti par starptautiskā pēcdoktoranta veiktajām funkcijām un nostrādāto laiku starptautiskās pētniecības pieteikuma īstenošanai;
103.2. slēdz līgumu ar starptautisko pēcdoktorantu par starptautiskās pētniecības pieteikuma īstenošanu uz termiņu no 12 līdz 36 mēnešiem;
103.3. sniedz konsultatīvu atbalstu starptautiskajam pēcdoktorantam viņa mācību un uzturēšanās vajadzību nodrošināšanā, tai skaitā vīzu, dzīvesvietas, valodas un kultūras apguves, pēcdoktoranta ģimenes atbalsta jautājumu risināšanā, ja starptautiskais pēcdoktorants uzturas Latvijā vai ārvalstī kopā ar ģimeni.
104. Starptautiskās pētniecības pieteikuma iesniedzējs piesaista starptautisko pēcdoktorantu, nodrošinot vienu no šādām iespējamām starptautisko pēcdoktorantu nodarbinātības mobilitātēm:
104.1. no 12 līdz 36 mēnešiem ārvalstu (tai skaitā no Latvijas uz ārvalstīm aizbraukušais) starptautiskais pēcdoktorants tiek pieņemts darbā zinātniskajā institūcijā uz starptautiskās pētniecības pieteikuma īstenošanas laiku. Starptautiskais pēcdoktorants nedrīkst uzturēties vai veikt pamatdarbības (piemēram, darbs, mācības) uzņemošās institūcijas valstī ilgāk par 12 mēnešiem triju gadu laikā pirms starptautiskās pētniecības pieteikumu iesniegumu konkursa iesniegšanas termiņa;
104.2. no 12 līdz 36 mēnešiem, no kuriem uz laiku līdz 24 mēnešiem no Latvijas izbraukušais starptautiskais pēcdoktorants tiek pieņemts darbā ārvalsts zinātniskajā institūcijā vai ārvalsts augstskolā. Atgriešanos Latvijā darbā zinātniskajā institūcijā plāno 50 procentu apjomā no laika, kādā no Latvijas izbraukušais starptautiskais pēcdoktorants tika nodarbināts ārvalsts zinātniskajā institūcijā.
105. Starptautiskās pētniecības pieteikuma iesniedzējs var īstenot ar saimniecisko darbību nesaistītu pētniecības pieteikumu, kas atbilst šo noteikumu 45. punktā minētajām darbībām.
106. Pasākuma ietvaros finansējuma saņēmējam COFUND projekta īstenošanai ir attiecināmas šādas izmaksas:
106.1. Eiropas Komisijas noteiktās COFUND projekta vadības un starptautiskās pētniecības pieteikuma vienas vienības administratīvās izmaksas atbilstoši Eiropas Savienības pētniecības un inovāciju pamatprogrammas "Apvārsnis Eiropa" Marijas Sklodovskas-Kirī programmas "COFUND" noteiktajai standartlikmei – 650 euro mēnesī, ko veido Eiropas Komisijas līdzfinansējums – 325 euro mēnesī atbilstoši Eiropas Savienības pētniecības un inovāciju pamatprogrammas "Apvārsnis Eiropa" Marijas Sklodovskas-Kirī programmas "COFUND" noteiktajām likmēm finansējuma saņēmējam un valsts budžeta līdzfinansējums – 325 euro mēnesī starptautiskās pētniecības pieteikuma iesniedzējam par katru starptautiskā pēcdoktoranta starptautiskās pētniecības pieteikuma īstenošanas mēnesi. Izmaksu sadalījums ir šāds:
106.1.1. starptautiskās pētniecības pieteikuma iesniedzēja atbalsta un vadības personāla atlīdzības izmaksas – 325 euro mēnesī;
106.1.2. finansējuma saņēmēja vadības un atbalsta personāla atlīdzības izmaksas – 325 euro mēnesī;
106.2. Eiropas Komisijas noteiktās COFUND projekta un starptautiskās pētniecības pieteikuma koordinēšanas, īstenošanas un infrastruktūras izmaksas, ievērojot šo noteikumu 62.3.1., 62.3.2., 62.3.3. un 62.3.4. apakšpunktā noteikto vienas vienības izmaksu likmi, – 341 euro mēnesī, ko veido Eiropas Reģionālās attīstības fonda finansējums – 289,85 euro mēnesī jeb 85 procenti, valsts budžeta finansējums – 34,10 euro mēnesī jeb 10 procenti un finansējums no citiem pētniecības organizācijas rīcībā esošiem līdzekļiem (tai skaitā no savas saimnieciskās darbības, kredītresursu līdzekļiem un citiem finanšu resursiem) – 17,05 euro mēnesī jeb pieci procenti. Izmaksu sadalījums ir šāds:
106.2.1. starptautiskās pētniecības pieteikuma koordinēšanas, īstenošanas un infrastruktūras izmaksas – 186 euro mēnesī;
106.2.2. finansējuma saņēmēja COFUND projekta koordinēšanas, īstenošanas un infrastruktūras izmaksas – 155 euro mēnesī par katra starptautiskā pēcdoktoranta starptautiskās pētniecības pieteikuma īstenotu mēnesi;
106.3. starptautiskā pēcdoktoranta atalgojuma standartlikme atbilstoši Eiropas Savienības pētniecības un inovāciju pamatprogrammas "Apvārsnis Eiropa" Marijas Sklodovskas-Kirī programmas "COFUND" noteiktajai standartlikmei – 3980 euro mēnesī;
106.4. starptautiskās pētniecības pieteikuma starptautiskā pēcdoktoranta vienas vienības mobilitātes izmaksas atbilstoši Eiropas Savienības pētniecības un inovāciju pamatprogrammas "Apvārsnis Eiropa" Marijas Sklodovskas-Kirī programmas "Pēcdoktorantūras stipendijas" noteiktajai standartlikmei – 600 euro mēnesī, ko veido Eiropas Reģionālās attīstības fonda finansējums – 510 euro mēnesī jeb 85 procenti, valsts budžeta finansējums – 60 euro mēnesī jeb 10 procenti un finansējums no citiem pētniecības organizācijas rīcībā esošiem līdzekļiem (tai skaitā no savas saimnieciskās darbības, kredītresursu līdzekļiem un citiem finanšu resursiem) – 30 euro mēnesī jeb pieci procenti izejošām mobilitātēm, kas ietver:
106.4.1. mobilitāti;
106.4.2. tīklošanās pasākumu izmaksas, tai skaitā komandējumu, konferenču dalības maksu un iesaistes izmaksas informatīvajos pasākumos;
106.5. starptautiskās pētniecības pieteikuma vienas vienības izmaksas atbilstoši Eiropas Savienības pētniecības un inovāciju pamatprogrammas "Apvārsnis Eiropa" Marijas Sklodovskas-Kirī programmas "Pēcdoktorantūras stipendijas" noteiktajai standartlikmei – 1000 euro mēnesī, ko veido Eiropas Reģionālās attīstības fonda finansējums – 850 euro mēnesī jeb 85 procenti, valsts budžeta finansējums – 100 euro mēnesī jeb 10 procenti un finansējums no citiem pētniecības organizācijas rīcībā esošajiem līdzekļiem (tai skaitā no savas saimnieciskās darbības, kredītresursu līdzekļiem, citiem finanšu resursiem) – 50 euro mēnesī jeb pieci procenti, kas ietver pētniecības izmaksas, tai skaitā uz pētniecību attiecināmo materiālu iegādes izmaksas, mācību izmaksas, tehnoloģiju tiesību aizsardzības un ārpakalpojumu izmaksas;
106.6. pēcdoktoranta ģimenes atbalsta vienas vienības izmaksas – 660 euro mēnesī, ko veido Eiropas Reģionālās attīstības fonda finansējums – 561 euro mēnesī jeb 85 procenti, valsts budžeta finansējums – 66 euro mēnesī jeb 10 procenti un finansējums no citiem pētniecības organizācijas rīcībā esošajiem līdzekļiem (tai skaitā no savas saimnieciskās darbības, kredītresursu līdzekļiem un citiem finanšu resursiem) – 33 euro mēnesī jeb pieci procenti, ja starptautiskais pēcdoktorants uzturas Latvijā vai ārvalstīs kopā ar ģimeni, atbilstoši Eiropas Savienības pētniecības un inovāciju pamatprogrammas "Apvārsnis Eiropa" Marijas Sklodovskas-Kirī programmas "Pēcdoktorantūras stipendijas" noteiktajai standartlikmei.
107. Starptautiskās pētniecības pieteikuma maksimālais kopējais attiecināmais finansējums nepārsniedz 260 316 euro.
Ministru prezidente E. Siliņa
Izglītības un zinātnes ministre A. Čakša
Pielikums
Ministru kabineta
2024. gada 9. janvāra
noteikumiem Nr. 35
Eiropas Savienības kohēzijas politikas programmas 2021.–2027. gadam 1.1.1. specifiskā atbalsta mērķa "Pētniecības un inovāciju kapacitātes stiprināšana un progresīvu tehnoloģiju ieviešana kopējā P&A sistēmā" 1.1.1.9. pasākuma "Pēcdoktorantūras pētījumi" ar saimniecisko darbību saistīta pētniecības pieteikuma vidējās svērtās publiskā finansējuma intensitātes aprēķināšana
| Nr. p. k. | Projekta daļa | Granta pieteikuma iesniedzējs | Granta pieteikuma darbība | Attiecināmās izmaksas (EUR) | Publiskā finansējuma intensitāte (IP%) | |
| komersanta kategorija | nosaukums | [A] | [B] | |||
| 1 | Ar saimniecisku darbību saistīts pētniecības pieteikums | mazais komersants | Pētniecības pieteikuma iesniedzējs Nr.1 [nosaukums] | fundamentālie pētījumi | 85 | |
| 2 | rūpnieciskie pētījumi | |||||
| 3 | atbalsts mācībām | |||||
| 4 | tehnoloģiju tiesību aizsardzība | 50 | ||||
| 5 | Projekta daļa Nr. 1 | 0 | 0,000 | |||
Piezīme. Ievēro Ministru kabineta 2024. gada 9. janvāra noteikumu Nr. 35 "Eiropas Savienības kohēzijas politikas programmas 2021.–2027. gadam 1.1.1. specifiskā atbalsta mērķa "Pētniecības un inovāciju kapacitātes stiprināšana un progresīvu tehnoloģiju ieviešana kopējā P&A sistēmā" 1.1.1.9. pasākuma "Pēcdoktorantūras pētījumi" īstenošanas noteikumi" 60., 69. un 72. punkta nosacījumus.