
Ādažu novada domes saistošie noteikumi: Šajā laidienā 1 Pēdējās nedēļas laikā 2 Visi
Ādažu novada pašvaldības domes saistošie noteikumi Nr. 8/2023
Ādažos 2023. gada 22. martā
Grozījumi Ādažu novada pašvaldības domes 2023. gada 25. janvāra saistošajos noteikumos Nr. 1/2023 "Par Ādažu novada pašvaldības budžetu 2023. gadam"
APSTIPRINĀTI
ar Ādažu novada pašvaldības domes
2023. gada 22. marta sēdes lēmumu
(prot. Nr. 5 § 45)
Izdoti saskaņā ar Pašvaldību likuma
10. panta pirmās daļas 1. punktu un 48. pantu,
likuma "Par pašvaldību budžetiem" 16. un 17. pantu un
likuma "Par budžetu un finanšu vadību" 6. pantu
Izdarīt Ādažu novada pašvaldības domes 2023. gada 25. janvāra saistošajos noteikumos Nr. 1/2023 "Par Ādažu novada pašvaldības budžetu 2023. gadam" šādus grozījumus:
1. Izteikt noteikumu 2. punkta 2.3., 2.3.1., 2.3.2., 2.3.3. un 2.3.4. apakšpunktus šādā redakcijā:
2.3. "pamatbudžets 2023. gadā (1. pielikums):
2.3.1. ieņēmumi EUR 46 211 727;
2.3.2. izdevumi - EUR 54 591 889;
2.3.3. plānotie aizņēmumi - EUR 4 267 404;
2.3.4. atmaksājamā summa Valsts kases kredītiem
(2. pielikums) - EUR 3 601 890".
Ādažu novada pašvaldības domes priekšsēdētāja K. Miķelsone
1. pielikums
Ādažu novada pašvaldības domes 2023. gada 22. marta saistošajiem noteikumiem
Nr. 8/2023 "Grozījumi Ādažu novada pašvaldības domes 2023. gada 25. janvāra
saistošajos noteikumos Nr. 1/2023 "Par Ādažu novada pašvaldības budžetu 2023.
gadam""
Pamatbudžets 2023. gadam
IEŅĒMUMU DAĻA
|
Klasifikācijas kods |
N.p.k. |
Sadaļa |
2023. gada budžets |
22.03.2023. grozījumi |
Izmaiņas |
| 1. - 5. | Nodokļu ieņēmumi | 31 414 871 | 31 414 871 | ||
| 1.1.0.0. | 1. | Iedzīvotāju ienākuma nodoklis | 28 441 559 | 28 441 559 | |
| 1.1. | pārskata gada | 28 441 559 | 28 441 559 | ||
| 4.1.1.0. | 2. | Nekustamā īpašuma nodoklis par zemi | 1 998 295 | 1 998 295 | |
| 2.1. | pārskata gada | 1 807 872 | 1 807 872 | ||
| 2.2. | iepriekšējo gadu parādi | 190 423 | 190 423 | ||
| 4.1.2.0. | 3. | Nekustamā īpašuma nodoklis par ēkām | 412 472 | 412 472 | |
| 3.1. | pārskata gada | 326 353 | 326 353 | ||
| 3.2. | iepriekšējo gadu parādi | 86 119 | 86 119 | ||
| 4.1.3.0. | 4. | Nekustamā īpašuma nodoklis par mājokļiem un inženierbūvēm | 492 545 | 492 545 | |
| 4.1. | pārskata gada | 431 787 | 431 787 | ||
| 4.2. | iepriekšējo gadu parādi | 60 758 | 60 758 | ||
| 5.5.3.0. | 5. | Dabas resursu nodoklis | 70 000 | 70 000 | |
| 9.0.0.0. | 6. | Valsts (pašvaldību) un kancelejas nodevas | 160 000 | 160 000 | |
| 6.1. | valsts nodevas | 6 700 | 6 700 | ||
| 6.1.1. | t.sk.: - par apliecinājumiem un citu funkciju pildīšanu bāriņtiesā | 1 700 | 1 700 | ||
| 6.1.2. | t.sk.: - par civilstāvokļa aktu reģistrēšanu, grozīšanu un papildināšanu | 4 500 | 4 500 | ||
| 6.1.3. | t.sk.: - pārējās valsts nodevas, kuras ieskaita pašvaldību budžetā | 500 | 500 | ||
| 6.2. | pašvaldību nodevas | 153 300 | 153 300 | ||
| 6.2.1. | t.sk.: - nodeva par domes izstrādāto oficiālo dokumentu saņemšanu | 350 | 350 | ||
| 6.2.2. | t.sk.: - nodeva par izklaidējoša rakstura pasākumu sarīkošanu publiskās vietās | 1 100 | 1 100 | ||
| 6.2.3. | t.sk.: - nodeva par tirdzniecību publiskās vietās | 27 000 | 27 000 | ||
| 6.2.4. | t.sk.: - nodeva par dzīvnieku turēšanu | - | - | ||
| 6.2.5. | t.sk.: - nodeva par reklāmas, afišu un sludinājumu izvietošanu publiskās vietās | 11 500 | 11 500 | ||
| 6.2.6. | t.sk.: - nodeva par būvatļaujas saņemšanu | 106 350 | 106 350 | ||
| 6.2.7. | t.sk.: - pārējās nodevas | 7 000 | 7 000 | ||
| 10.0.0.0. | 7. | Naudas sodi un sankcijas | 65 000 | 65 000 | |
| 7.1. | Naudas sodi un sankcijas | 31 000 | 31 000 | ||
| 7.2. | Naudas sodi par pārkāpumiem ceļu satiksmē | 34 000 | 34 000 | ||
| 12.0.0.0. | 8. | Pārējie nenodokļu ieņēmumi | 22 453 | 33 317 | 10 864 |
| 8.1. | citi nenodokļu ieņēmumi | 16 000 | 26 864 | 10 864 | |
| 8.2. | līgumsodi un procentu maksājumi par saistību neizpildi | 500 | 500 | ||
| 8.3. | ieņēmumi no zvejas tiesību nomas | 5 953 | 5 953 | ||
| 13.0.0.0. | 9. | Ieņēmumi no pašvaldības īpašumu pārdošana | 433 856 | 433 856 | |
| 18.6.0.0. | 10. | Valsts budžeta transferti un projektu finansējums | 9 528 140 | 9 575 632 | 47 492 |
| 10.1. | Valsts budžeta transferti | 7 875 899 | 7 923 391 | 47 492 | |
| 10.1.1. | dotācija mākslas skolas algām | 593 640 | 645 929 | 52 289 | |
| 10.1.2. | dotācija sporta skolai | 299 288 | 299 288 | ||
| 10.1.3. | dotācija skolēnu ēdināšanai | 249 276 | 249 276 | ||
| 10.1.4. | dotācija mācību grāmatām | - | - | ||
| 10.1.5. | dotācijas pedagogu algām (vsk., PII) | 5 320 740 | 5 320 740 | ||
| 10.1.5.1. | t.sk.: - piecgadīgo bērnu apmācība | 723 948 | 723 948 | ||
| 10.1.5.2. | t.sk.: - skolotāju algām | 4 279 428 | 4 279 428 | ||
| 10.1.5.3. | t.sk.: - interešu izglītība | 317 364 | 317 364 | ||
| 10.1.6. | dotācija māksliniecisko kolektīvu vadītāju atalgojumam | 13 088 | 13 088 | ||
| 10.1.7. | Projekts "Skolas soma" Ādaži | 16 104 | 14 093 | - 2 011 | |
| 10.1.8. | Projekts "Skolas soma" Carnikava | 6 454 | 3 668 | - 2 786 | |
| 10.1.9. | dotācija asistenta pakalpojumu nodrošināšanai | 421 092 | 421 092 | ||
| 10.1.10. | dotācija sociālajiem darbiniekiem, kuri strādā ar ģimenēm un bērniem | 25 954 | 25 954 | ||
| 10.1.11. | valsts dotācija ceļu uzturēšanai | 342 263 | 342 263 | ||
| 10.1.12. | dotācijas Ukrainas pilsoņu atbalstam | 50 000 | 50 000 | ||
| 10.1.13. | dotācijas "Energoresursu atbalsts" | 400 000 | 400 000 | ||
| 10.1.14. | pārējās dotācijas | 138 000 | 138 000 | ||
| 18.6.3.0. | 10.2. | ES struktūrfondu līdzekļi un aktivitāšu līdzfinansējumi | 1 652 241 | 1 652 241 | |
| 10.2.1. | t.sk.: Dotācija nodarbinātības pasākumiem | 7 417 | 7 417 | ||
| 10.2.2. | t.sk. Plūdu risku projekts | 109 839 | 109 839 | ||
| 10.2.3. | t.sk. VISA projekts "Atbalsts izglītojamo individuālo kompetenču attīstībai" | 81 714 | 81 714 | ||
| 10.2.4. | t.sk.: SAM 9311 Deinstitucionalizācija - Dienas centrs - specializētās darbnīcas | 117 147 | 117 147 | ||
| 10.2.5. | t.sk.: Dienas centrs - pakalpojumi | 291 947 | 291 947 | ||
| 10.2.6. | LAD projekts "Laivu ielas un tai piegulošā auto stāvlaukuma projektēšana un būvniecība" | 104 321 | 104 321 | ||
| 10.2.7. | KF Ūdenssaimniecība 3.kārta Carnikavā | 40 898 | 40 898 | ||
| 10.2.8. | SAM 5.5.1. Kultūras objektu būvniecība | 202 410 | 202 410 | ||
| 10.2.9. | ERASMUS + projekti | 2 464 | 2 464 | ||
| 10.2.10. | Ģimenes ārsta prakses izveide Garā iela 20 (ERAF, SAM 9.3.2. 4.kārta) | 14 100 | 14 100 | ||
| 10.2.11. | EKII projekts | 382 739 | 382 739 | ||
| 10.2.12. | Katlu mājas pārbūve Carnikavā, Tulpju iela | 297 245 | 297 245 | ||
| 19.2.0.0. | 11. | Pašvaldību budžeta transferti | 295 000 | 295 000 | |
| 11.1. | no citām pašvaldībām izglītības funkciju nodrošināšanai | 295 000 | 295 000 | ||
| 21.0.0.0. | 12. | Budžeta iestāžu ieņēmumi | 4 234 051 | 4 234 051 | |
| 12.1. | maksa par izglītības pakalpojumiem | 149 000 | 149 000 | ||
| 12.1.1. | ieņēmumi no vecāku maksām (PII) | 24 000 | 24 000 | ||
| 12.1.2. | ieņēmumi no vecāku maksām (ĀNMS, BJSS) | 125 000 | 125 000 | ||
| 12.2. | ieņēmumi par nomu un īri | 157 000 | 157 000 | ||
| 12.2.1. | ieņēmumi par telpu nomu | 120 000 | 120 000 | ||
| 12.2.2. | ieņēmumi par zemes nomu | 36 000 | 36 000 | ||
| 12.2.3. | pārējie ieņēmumi par nomu | 1 000 | 1 000 | ||
| 12.3. | budžeta iestāžu maksas pakalpojumi | 3 826 051 | 3 826 051 | ||
| 12.3.1. | budžeta iestāžu maksas pakalpojumi | 110 000 | 110 000 | ||
| 12.3.2. | ieņēmumi no biļešu realizācijas | 2 500 | 2 500 | ||
| 12.3.3. | ieņēmumi no dzīvokļu un komunālajiem pakalpojumiem | 3 713 551 | 3 713 551 | ||
| 12.4. | pārējie ieņēmumi/stāvvietu ieņēmumi | 102 000 | 102 000 | ||
| KOPĀ IEŅĒMUMI: | 46 153 371 | 46 211 727 | 58 356 | ||
| F21010000 AS | 13. | Naudas līdzekļu atlikums gada sākumā | 7 741 521 | 7 741 521 | |
| 13.1. | Naudas atlikums iezīmētiem mērķiem | 1 450 964 | 1 450 964 | ||
| 13.2. | Naudas atlikums pašvaldības līdzekļi | 6 290 557 | 6 290 557 | ||
| F40020010 | 14. | Valsts Kases kredīti | 4 267 404 | 4 267 404 | |
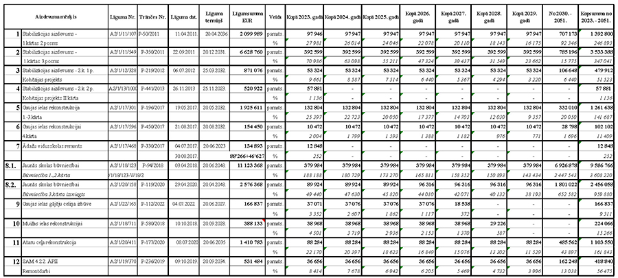
| 14.1. | "Mobilitātes punkta infrastruktūras izveidošana Rīgas metropoles areālā – "Carnikava"" | 59 922 | 59 922 | ||
| 14.2. | Maģistrālā veloceļa izbūve Rīga-Carnikava | 207 089 | 207 089 | ||
| 14.3. | "Auto stāvlaukuma Lilastē paplašināšana, atpūtas vietu, labiekārtojuma, labierīcību, kempinga iespēju projektēšana un izbūve" © | 320 141 | 320 141 | ||
| 14.4. | SAM 5.1.1. Pretplūdu pasākumi Ādažu centra polderī, Ādažu novadā | 624 704 | 624 704 | ||
| 14.5. | Apgaismojuma izbūve uz Salas aizsargdambja D-2 posmā, Carnikavas pagastā | 37 335 | 37 335 | ||
| 14.6. | Carnikavas stadiona rekonstrukcija | 582 946 | 582 946 | ||
| 14.7. | Ādažu vidusskolas ēkas B korpusa un savienojuma daļas starp korpusiem (C un B) fasādes atjaunošana | 390 000 | 390 000 | ||
| 14.8. | Kalngales NAI pārbūve | 645 000 | 645 000 | ||
| 14.9. | EKII projekts | 164 032 | 164 032 | ||
| 14.10. | Katlu mājas pārbūve Carnikavā, Tulpju iela | 907 235 | 907 235 | ||
| 14.11. | Ķiršu ielas III kārta no Saules ielas līdz Attekas ielai 0.17km | 203 000 | 203 000 | ||
| 14.12. | Draudzības iela posmā no Saules ielai līdz Podnieku ielai ar ietvi 0.35km | 126 000 | 126 000 | ||
| KOPĀ PIEEJAMAIS FINANSĒJUMS: | 58 162 296 | 58 220 652 | 58 356 | ||
IZDEVUMU DAĻA
|
Klasifikācijas kods |
N.p.k. |
Sadaļa |
2023. gada budžets |
22.03.2023. grozījumi |
Izmaiņas |
| 01.000 | 1. | Vispārējie valdības dienesti | 8 245 497 | 8 245 497 | |
| 1.1. | pārvalde | 1 904 696 | 1 904 696 | ||
| 1.2. | deputāti | 355 819 | 355 819 | ||
| 1.3. | administratīvā komisija | 58 895 | 58 895 | ||
| 1.4. | iepirkumu komisija | 50 294 | 50 294 | ||
| 1.5. | vēlēšanu komisija | 6 588 | 6 588 | ||
| 1.6. | pārējās komisijas | 71 620 | 71 620 | ||
| 1.7. | aizņēmumu procentu maksājumi | 1 047 339 | 1 047 339 | ||
| 1.8. | Iemaksas PFIF | 4 392 666 | 4 392 666 | ||
| 1.9. | Informācijas tehnoloģiju nodaļa, vispārējas nozīmes dienestu darbība un pakalpojumi - datortīkla uzturēšana | 357 580 | 357 580 | ||
| 03.000 | 2. | Sabiedriskā kārtība un drošība | 936 069 | 936 069 | |
| 04.000 | 3. | Ekonomiskā darbība | 556 693 | 556 693 | |
| 3.1. | Sabiedriskās attiecības, laikraksts | 207 617 | 207 617 | ||
| 3.2. | Autoceļu fonds | 349 076 | 349 076 | ||
| 05.000 | 4. | Vides aizsardzība | 260 002 | 260 002 | |
| 4.1. | Dabas resursu nodokļa izlietojums | 260 002 | 260 002 | ||
| 06.000 | 5. | Pašvaldības teritoriju un mājokļu apsaimniekošana | 16 329 241 | 16 329 241 | |
| 5.1. | Izdevumi neparedzētiem gadījumiem | 70 000 | 70 000 | ||
| 5.2. | Būvvalde | 313 524 | 313 524 | ||
| 5.3. | Teritorijas plānošanas nodaļa | 345 571 | 345 571 | ||
| 5.4. | Attīstības un projektu nodaļa | 1 526 970 | 1 526 970 | ||
| 5.4.1. | nodaļa | 1 009 113 | 1 014 146 | 5 033 | |
| 5.4.2. | Projekts "Sabiedrība ar dvēseli" | 40 000 | 40 000 | ||
| 5.4.3. | Iedzīvotāju iniciatīvas un konkursi. | 10 000 | 10 000 | ||
| 5.4.4. | TEP "Atjaunojamo energoresursu izmantošana Ādažu novadā" (EUCF) | 42 000 | 60 000 | 18 000 | |
| 5.4.5. | "Mobilitātes punkta infrastruktūras izveidošana Rīgas metropoles areālā – "Carnikava"" | 85 290 | 85 290 | ||
| 5.4.6. | Maģistrālā veloceļa izbūve Rīga-Carnikava | 236 171 | 236 171 | ||
| 5.4.7. | Apgaismojuma izbūve uz Salas aizsargdambja D-2 posmā, Carnikavas pagastā | 53 240 | 53 240 | ||
| 5.4.8. | ES Padomes projekts LIFE COHABIT © | 32 020 | 8 987 | - 23 033 | |
| 5.4.9. | Pārrobežu EST-LAT projekts "Militārais mantojums © | 4 136 | 4 136 | ||
| 5.4.10. | Ģimenes ārsta prakses izveide Garā iela 20 (ERAF, SAM 9.3.2. 4.kārta) | 15 000 | 15 000 | ||
| 5.5. | Objektu un teritorijas apsaimniekošana un uzturēšana | 14 073 176 | 14 073 176 | ||
| 5.5.1. | Nekustamā īpašuma nodaļa | 160 572 | 160 572 | ||
| 5.5.2. | Mežaparka ceļš (Ā) | 355 701 | 355 701 | ||
| 5.5.3. | SAM 5.1.1. Pretplūdu pasākumi Ādažu centra polderī, Ādažu novadā | 891 139 | 891 139 | ||
| 5.5.4. | Pašvaldības aģentūra "Carnikavas Komunālserviss" | 3 779 449 | 3 779 449 | ||
| 5.5.5. | P/A "Carnikavas komunālserviss" teritorijas un īpašumu apsaimniekošana | 5 552 775 | 5 552 775 | ||
| 5.5.6. | Auto stāvlaukuma Lilastē paplašināšanas un atpūtas vietu labiekārtojuma projektēšana un izbūve | 391 245 | 391 245 | ||
| 5.5.7. | Ķiršu ielas III kārta no Saules ielas līdz Attekas ielai 0.17km | 293 146 | 293 146 | ||
| 5.5.8. | Draudzības iela posmā no Saules ielai līdz Podnieku ielai ar ietvi 0.35km | 180 000 | 180 000 | ||
| 5.5.9. | Rasiņu ielas seguma atjaunošana | 32 000 | 32 000 | ||
| 5.5.10. | Kalngales NAI pārbūve | 645 000 | 645 000 | ||
| 5.5.11. | EKII projekts | 546 771 | 546 771 | ||
| 5.5.12. | Katlu mājas pārbūve Carnikavā, Tulpju iela | 1 204 480 | 1 204 480 | ||
| 5.5.13. | KF Ūdenssaimniecības projekts Carnikavā, 3.kārta © | 40 898 | 40 898 | ||
| 08.000 | 6. | Atpūta, kultūra un reliģija | 2 486 999 | 2 486 999 | |
| 6.1. | Kultūra | 1 187 108 | 1 187 108 | ||
| 6.1.1. | Ādažu kultūras centrs | 589 107 | 589 107 | ||
| 6.1.2. | Tautas nams "Ozolaine" | 409 634 | 409 634 | ||
| 6.1.3. | Muzejs un Carnikavas novadpētniecības centrs | 188 367 | 188 367 | ||
| 6.2. | Dziesmu svētki 2023 | 135 146 | 135 146 | ||
| 6.3. | SAM 5.5.1. Kultūras objektu būvniecība (maksājumi projekta partneriem) | 212 422 | 212 422 | ||
| 6.4. | ES projekts Eiropa pilsoņiem (diskriminētām personām) | 15 704 | 15 704 | ||
| 6.5. | Ādažu bibliotēka | 121 138 | 121 138 | ||
| 6.6. | Carnikavas bibliotēka | 62 656 | 62 656 | ||
| 6.7. | Sporta daļa | 729 597 | 729 597 | ||
| 6.8. | Evaņģēliski luteriskās draudzes | 4 000 | 4 000 | ||
| 6.9. | Multihalle | 19 228 | 19 228 | ||
| 10.000 | 7. | Sociālā aizsardzība | 4 201 177 | 4 201 177 | |
| 7.1. | Sociālais dienests | 2 428 655 | 2 428 655 | ||
| 7.1.1. | Sociālās funkcijas nodrošināšana | 601 819 | 601 819 | ||
| 7.1.2. | Pabalsti | 1 373 990 | 1 373 990 | ||
| 7.1.3. | Mērķdotācija | 25 954 | 25 954 | ||
| 7.1.4. | Asistentu pakalpojumi | 421 092 | 421 092 | ||
| 7.1.5. | Sociālā centra "Kadiķis" uzturēšana | 5 800 | 5 800 | ||
| 7.2. | Stipendiāti / bezdarbnieki | 10 038 | 10 038 | ||
| 7.3. | SAM 9311 Deinstitucionalizācija - Dienas centrs | 839 598 | 839 598 | ||
| 7.3.1. | DI centra uzturēšanas izdevumi | 347 838 | 347 838 | ||
| 7.3.2. | DI projekts - specializētās darbnīcas | 161 090 | 161 090 | ||
| 7.3.3. | DI centra pakalpojumi (projekts) | 330 670 | 330 670 | ||
| 7.4. | Bāriņtiesa | 132 505 | 132 505 | ||
| 7.5. | Dotācijas "Energoresursu atbalsts" | 698 344 | 698 344 | ||
| 7.6. | Dotācijas Ukrainas pilsoņu atbalstam | 50 000 | 50 000 | ||
| 7.7. | SAM 9.2.4.2. projekts "Pasākumi vietējās sabiedrības veselības veicināšanai Ādažu novada pašvaldības Ādažu pagastā" | 23 597 | 23 597 | ||
| 7.8. | SAM 9.2.4.2. projekts "Pasākumi vietējās sabiedrības veselības veicināšanai Ādažu novada pašvaldības Carnikavas pagastā" | 18 440 | 18 440 | ||
| 09.000 | 8. | Izglītība | 21 517 854 | 21 576 210 | 58 356 |
| 8.1. | Norēķini ar pašvaldību budžetiem par izglītības iestāžu pakalpojumiem | 1 009 440 | 1 009 440 | ||
| 8.2. | Ādažu Pirmsskolas izglītības iestāde | 1 943 919 | 1 943 919 | ||
| 8.2.1. | pedagogu algas, grāmatas (mērķdotācija) | 273 761 | 273 761 | ||
| 8.2.2. | pārējās izmaksas | 1 670 158 | 1 670 158 | ||
| 8.3. | Kadagas PII | 1 237 574 | 1 237 574 | ||
| 8.3.1. | pedagogu algas, grāmatas (mērķdotācija) | 113 943 | 113 943 | ||
| 8.3.2. | pārējās izmaksas | 1 123 631 | 1 123 631 | ||
| 8.4. | Pirmsskolas izglītības iestāde "Riekstiņš" | 1 320 896 | 1 320 896 | ||
| 8.4.1. | pedagogu algas, grāmatas (mērķdotācija) | 192 011 | 192 011 | ||
| 8.4.2. | pārējās izmaksas | 968 536 | 968 536 | ||
| 8.4.3. | uzturēšanas izmaksas (CKS) | 160 349 | 160 349 | ||
| 8.5. | Pirmsskolas izglītības iestādes "Piejūra" | 1 231 648 | 1 231 648 | ||
| 8.5.1. | pedagogu algas, grāmatas (mērķdotācija) | 71 133 | 71 133 | ||
| 8.5.2. | pārējās izmaksas | 1 001 768 | 1 001 768 | ||
| 8.5.3. | uzturēšanas izmaksas (CKS) | 158 747 | 158 747 | ||
| 8.6. | Privātās izglītības iestādes | 2 137 999 | 2 137 999 | ||
| 8.7. | Carnikavas pamatskola | 1 977 339 | 1 974 553 | - 2 786 | |
| 8.7.1. | pedagogu algas, grāmatas (mērķdotācija) | 926 167 | 926 167 | ||
| 8.7.2. | ēdināšana (mērķdotācija) | 74 869 | 74 869 | ||
| 8.7.3. | pārējās izmaksas | 682 155 | 682 155 | ||
| 8.7.4. | uzturēšanas izmaksas (CKS) | 241 081 | 241 081 | ||
| 8.7.5. | projekts "Skolas soma" | 6 454 | 3 668 | - 2 786 | |
| 8.7.6. | projekts Erasmus+ | 46 613 | 46 613 | ||
| 8.8. | Carnikavas stadiona rekonstrukcija | 836 633 | 836 633 | ||
| 8.9. | Ādažu vidusskola | 7 240 446 | 7 249 299 | 8 853 | |
| 8.9.1. | pedagogu algas, grāmatas (mērķdotācija) | 3 750 643 | 3 750 643 | ||
| 8.9.2. | pārējās izmaksas | 1 425 818 | 1 436 682 | 10 864 | |
| 8.9.3. | projekts Erasmus+ | 250 373 | 250 373 | ||
| 8.9.4. | projekts "Skolas soma" | 16 158 | 14 147 | - 2 011 | |
| 8.9.5. | Ādažu vidusskolas ēkas B korpusa un savienojuma daļas starp korpusiem (C un B) fasādes atjaunošana | 390 000 | 390 000 | ||
| 8.9.6. | sākumskolas uzturēšanas izmaksas | 838 367 | 838 367 | ||
| 8.9.7. | sākumskolas ēdināšana (mērķdotācija) | 173 758 | 173 758 | ||
| 8.9.8. | PII | 395 329 | 395 329 | ||
| 8.9.8.1. | - pedagogu algas (mērķdotācija) | 83 788 | 83 788 | ||
| 8.9.8.2. | - uzturēšana | 311 541 | 311 541 | ||
| 8.10. | Ādažu novada mākslu skola | 1 489 093 | 1 541 382 | 52 289 | |
| 8.10.1. | pedagogu algas (mērķdotācija) | 593 640 | 645 929 | 52 289 | |
| 8.10.2. | pārējās izmaksas | 895 453 | 895 453 | ||
| 8.11. | Sporta skola | 643 257 | 643 257 | ||
| 8.11.1. | pedagogu algas (mērķdotācija) | 299 308 | 299 308 | ||
| 8.11.2. | Pašvaldības finansējums | 343 949 | 343 949 | ||
| 8.12. | Izglītības un jauniešu lietu pārvalde | 316 026 | 316 026 | ||
| 8.13. | Aktivitātes jauniešiem, jauniešu projektu konkurss | 3 000 | 3 000 | ||
| 8.14. | ESF projekts Atbalsts priekšlaicīgas mācību pārtraukšanas samazināšanai | 16 292 | 16 292 | ||
| 8.15. | ESF projekts Karjeras atbalsts vispārējās un profesionālās izglītības iestādēs © | 1 049 | 1 049 | ||
| 8.16. | Valsts finansējums projektu konkursā "Atbalsts jaunatnes politikas īstenošanai vietējā līmenī" projekts "Mobilais darbs ar jaunatni Ādažu novadā" | 7 000 | 7 000 | ||
| 8.17. | VISA projekts "Atbalsts izglītojamo individuālo kompetenču attīstībai" | 106 243 | 106 243 | ||
| 8.17.1. | Ādaži | 70 943 | 70 943 | ||
| 8.17.2. | Carnikava | 35 300 | 35 300 | ||
| KOPĀ IZDEVUMI: | 54 533 533 | 54 591 889 | 58 356 | ||
| F40020020 | 9. | Kredītu pamatsummas atmaksa | 3 601 890 | 3 601 890 | |
| PAVISAM KOPĀ IZDEVUMI: | 58 135 423 | 58 193 779 | 58 356 | ||
|
F21010000 AB |
- |
Naudas līdzekļu atlikums uz gada beigām | 26 873 | 26 873 |
2. pielikums
Ādažu novada pašvaldības domes 2023. gada 22. marta saistošajiem noteikumiem
Nr. 8/2023 "Grozījumi Ādažu novada pašvaldības domes 2023. gada 25. janvāra
saistošajos noteikumos Nr. 1/2023 "Par Ādažu novada pašvaldības budžetu 2023.
gadam""
Aizņēmumu un citu ilgtermiņa saistību pārskats
Ādažu novada pašvaldības domes priekšsēdētāja K. Miķelsone
3. pielikums
Ādažu novada pašvaldības domes 2023. gada 22. marta saistošajiem noteikumiem
Nr. 8/2023 "Grozījumi Ādažu novada pašvaldības domes 2023. gada 25. janvāra
saistošajos noteikumos Nr. 1/2023 "Par Ādažu novada pašvaldības budžetu 2023.
gadam""
Paskaidrojuma raksts
Ādažu novada pašvaldības domes budžeta grozījumi 2023. gadam apstiprināti 2023. gada 22. martā. Budžeta grozījumi sastāv no pamatbudžeta, kuru veido ieņēmumu, izdevumu daļas un aizņēmumu un citu ilgtermiņa saistību pārskati. Pašvaldība ir ņēmusi vērā visu funkciju vajadzības un sabalansējusi pieejamos finanšu līdzekļus tā, lai nodrošinātu uzlabojumus sabiedrībai svarīgās jomās saskaņā ar pašvaldības attīstības plānošanas dokumentos noteiktajiem mērķiem.
Saistošie noteikumi paredz grozījumus budžetā, kuru mērķis ir iekļaut budžetā:
• SIA "Ādažu Namsaimnieks" dividendes ieskaitītas pašvaldības budžetā EUR 10’864 apmērā, kas saskaņā ar Ādažu novada pašvaldības 2022. gada 3. maija lēmumu Nr. 215, izdevumu daļā tiks novirzīti projekta "Ādažu vidusskolas apkures sistēmas pāreja uz atjaunojamajiem energoresursiem" dokumentācijas sagatavošanai veikto izdevumu segšanai.
• Par EUR 52’289 palielinās ieņēmumi un izdevumi Ādažu mākslu skolas pedagogu mērķdotācija atalgojumam, balstoties uz precizēto līgumu.
• Pēc līguma noslēgšanas precizētas projektu ‘Skolas soma" izmaksas. Par EUR 2’011 samazinās projekta "Skolas soma" finansējums Ādažu vidusskolai un par EUR 2’786 samazinās projekta "Skolas soma" finansējums Carnikavas pamatskolai , kas samazina arī izdevumu daļu.
• Life CoHabit projekts noslēdzies un no saņemtajiem līdzekļiem, kas tika maksāti uzsākot projektu avansā un ir saņemti pašvaldības projektu kontā, EUR 18'000 novirzīti TEP "Atjaunojamo energoresursu izmantošana Ādažu novadā" (EUCF) projekta priekšfinansējumam un EUR 5’033 Gaujas-Baltezera projekta realizācijai.
Budžeta grozījumu ietvaros ir veikti nepieciešamie grozījumi, kas saistīti ar finansējuma iekšējo pārdali pa klasifikācijas kodiem, apstiprināto tāmju ietvaros nodaļu un iestāžu darbības nodrošināšanai.
Kopumā Ādažu novada pašvaldības domes budžeta grozījumi paredz ieņēmumu palielinājumu par EUR 58’356 nosakot budžeta ieņēmumus EUR 46’211’727 un arī izdevumu daļas palielinājumu par EUR 58’356, nosakot budžeta izdevumus EUR 54’591’889 apmērā, un aizņēmumu pamatsummas atmaksa 2023. gadā EUR 3’601’890 apmērā.
Ādažu novada pašvaldības domes priekšsēdētāja K. Miķelsone