
Ādažu novada domes saistošie noteikumi: Šajā laidienā 1 Pēdējās nedēļas laikā 0 Visi
Ādažu novada pašvaldības domes saistošie noteikumi Nr. 1/2023
Ādažos 2023. gada 25. janvārī
Par Ādažu novada pašvaldības budžetu 2023. gadam
APSTIPRINĀTI
Ādažu novada pašvaldības domes
2023. gada 25. janvāra sēdē (prot. Nr. 1 § 46)
Izdoti saskaņā ar Pašvaldību likuma 10. panta pirmās daļas
1. punktu un 48. pantu, likuma "Par pašvaldību budžetiem"
16. un 17. pantu un likuma "Par budžetu un finanšu vadību" 6. pantu
1. Saistošie noteikumi nosaka Ādažu novada pašvaldības pamatbudžetu 2023. gadam saskaņā ar 1.–5. pielikumu, nosakot 2023. gada pamatbudžeta, ziedojumu un dāvinājumu ieņēmumu, izdevumu un aizņēmumu apmēru (turpmāk – budžets), kā arī budžeta izpildītāju pienākumus un atbildību.
2. Apstiprināt budžetu šādās sadaļās un apmērā:
2.1. pamatbudžeta finanšu līdzekļu atlikums 2023. gada 1. janvārī EUR 7 741 521;
2.2. ziedojumu un dāvinājumu finanšu līdzekļu atlikums 2023. gada 1. janvārī EUR 1 749;
2.3. pamatbudžets 2023. gadā (2. pielikums):
2.3.1. ieņēmumi EUR 46 153 371;
2.3.2. izdevumi EUR 54 533 533;
2.3.3. plānotie aizņēmumi EUR 4 267 404;
2.3.4. atmaksājamā summa Valsts kases kredītiem EUR 3 601 890;
2.4. ziedojumi un dāvinājumi 2023. gadā:
2.4.1. ieņēmumi EUR 450;
2.4.2. izdevumi EUR 2 199.
3. Apstiprināt pašvaldības domes priekšsēdētāja ziņojumu (1. pielikums).
4. Apstiprināt paskaidrojuma rakstu par budžetu (3. pielikums).
5. Apstiprināt aizņēmumu un citu ilgtermiņa saistību pārskatu (4. pielikums).
6. Apstiprināt ieņēmumu un izdevumu sadalījumu 2023. gadam pa funkcionālajām kategorijām un ekonomiskās klasifikācijas kodiem (5. pielikums).
7. Noteikt, ka:
7.1. laika posmā starp pašvaldības budžeta grozījumiem dome pieņem lēmumus par līdzekļu piešķiršanu no programmas "Līdzekļi neparedzētiem gadījumiem"; Līdzekļus līdz 5000 euro var piešķirt ar pašvaldības domes priekšsēdētāja rīkojumu operatīvu neatliekamo izdevumu apmaksai;
7.2. Grāmatvedības nodaļa nodrošina kredītu pamatsummas un kredītu procentu samaksu noteiktajos termiņos un apmēros 2023. gadā saskaņā ar noslēgtajiem finanšu saistību līgumiem;
7.3. budžeta izpildītāji (iestāžu un struktūrvienību vadītāji) atbild par budžeta līdzekļu atbilstošu un racionālu izlietojumu. Izdevumi pēc naudas plūsmas nedrīkst pārsniegt attiecīgajā budžeta izdevumu tāmē apstiprinātos plānotos budžeta izdevumus atbilstoši ekonomiskajām un funkcionālajām kategorijām;
7.4. pašvaldības aizņēmuma apjoms katra investīciju projekta finansēšanai tiek apstiprināts ar domes lēmumu;
7.5. par ieņēmumu no maksas pakalpojumiem, ko sniedz pašvaldības budžeta iestādes, administrēšanu, aprēķināšanu, iekasēšanu atbild pakalpojuma sniedzējs – pašvaldības budžeta iestāde. Pašvaldības budžeta iestādes atbild par pakalpojuma nepieciešamības izvērtēšanu, ņemot vērā tā būtību un sniegšanas lietderību, kā arī izcenojuma atbilstību budžetā apstiprinātajiem izdevumiem.
8. Saistošie noteikumi stājas spēkā nākamajā dienā pēc to parakstīšanas.
Ādažu novada pašvaldības domes priekšsēdētāja K. Miķelsone
1. pielikums
Ādažu novada pašvaldības
2023. gada 25. janvāra
saistošajiem noteikumiem Nr. 1/2023
Vispārīga informācija par ekonomisko situāciju pašvaldībā un pašvaldības domes priekšsēdētāja ziņojums par 2023. gada budžetu
2022. gads Ādažu novadā bija pakāpeniskas izaugsmes un atgūšanās gads pēc Covid-19 pandēmijas pārvarēšanai radītajiem ierobežojumiem. Diemžēl starptautiskā drošības situācija veidoja jaunus politiskus, ekonomiskus un sociālus satricinājumus, un to rezonanse tieši ietekmēja arī novada iedzīvotājus, uzņēmējdarbību un sabiedrību kopumā. Krievijas izraisītā kara Ukrainā atbalsis ātri sasniedza novadu ar vairākiem simtiem bēgļu no kara plosītajām teritorijām, ar energoresursu un izejvielu cenu lēcienu, ar strauju inflācijas kāpumu precēm un pakalpojumiem, ar pilsoniskās līdzcietības un palīdzības akcijām Ukrainas valstij un tās pilsoņiem, kā arī ar trauksmes sajūtu par personisko drošību un skaidru izpratni, ka svarīgas un pierastas lietas transformējas un pielāgojas jauniem un skarbiem ārējiem apstākļiem.
Kopumā vispārējais stāvoklis novadā ir pozitīvi tendēts. Vidējais bezdarba līmenis (bezdarbnieku skaits darbaspējas vecumā) bija ievērojami zemāks nekā valstī, Rīgā un Pierīgas reģionā, arī Covid-19 pandēmijas ietekmē tas būtiski nepieauga. Iedzīvotāju skaits daudzus gadus turpina pieaugt valsts iekšējās migrācijas rezultātā, vienlaikus radot pieaugošu slodzi publiskajai infrastruktūrai, komunālo pakalpojumu un izglītības sektoram, kā rezultātā šobrīd pieprasījums pēc kvalitatīviem pakalpojumiem pārsniedz to faktisko pieejamību.
Ādažu novads ir ekonomiski aktīvs. Uzņēmējdarbība attīstās vairākos virzienos – mājokļu celtniecība, ražošana, pakalpojumu sniegšana, tirdzniecība, u.tml. 2023. gada sākumā novadā bija reģistrēti 1850 uzņēmumu. Lielākie no tiem ražošanas apjomu un nodarbināto skaita ziņā darbojas pārtikas produktu ražošanā (zivju un gaļas produktu, alkoholisko un bezalkoholisko dzērienu, kā arī maizes izstrādājumu ražošana), kokapstrādē, celtniecībā, kravu pārvadāšanā, plastmasas būvelementu ražošanā, šķiroto materiālu pārstrādē, gatavo tekstilizstrādājumu un plastmasas iepakojumu ražošanā, apģērbu un apavu, kā arī augļu un dārzeņu tirdzniecībā.
Briljantu un Mežgarciema ražošanas zonās soli pa solim ienāk jauni uzņēmumi, kuru darba augļi dažu gadu laikā sniegs jūtamu pienesumu novada ekonomiskajai izaugsmei. Carnikavā un Kadagā paredz sākt darbību jauni tirdzniecības uzņēmumi, Podnieku ciematā pašvaldība sāks projektēt jaunu pirmsskolas izglītības iestādi, savukārt komerczona pie valsts autoceļa A1 (Baltezers–Ainaži) ir vilinoša investoriem un attīstītājiem.
Pašvaldība pārskatīja tai piederošo īpašumu izmantošanas kapacitāti Carnikavā un piedāvāja telpas medicīnisko un laboratorisko izmeklējumu pakalpojumu sniedzējiem, kuru pašreizējās nomātās telpas neatbilst prasībām vai tiks fiziski likvidētas.
2022. gads pašvaldībai bija nozīmīgu izaicinājumu gads, jo faktiski tika pabeigta iestāžu un struktūrvienību reorganizācija, nostiprinot vadības funkciju centralizāciju, kā arī praksē aprobējot darba organizācijas metodes. Stabila makroekonomiskā un finansiālā vide un piesardzīga optimisma attīstības prognozes sekmē finanšu resursu pieejamību, kas savukārt rada iespēju īstenot investīcijās balstītu darbību, uzlabojot novada infrastruktūru.
Pašvaldība var veikt investīcijas, savlaicīgi paredzot tām budžetā attiecīgus izdevumus – uzkrājot nepieciešamo naudas apjomu, pārdodot tai piederošus aktīvus, vai arī aizņemoties (faktisko ieguldījumu veicot aizņēmuma atmaksas veidā vairāku gadu garumā).
Pašvaldības darbības finansiālo pamatu veido budžets, kas ir svarīgākais instruments pašvaldības autonomo funkciju un brīvprātīgo iniciatīvu izpildes nodrošināšanai, ekonomisko un sociālo vajadzību sabalansēšanai, kā arī teritorijas ilgtermiņa attīstībai.
Pašvaldības nozīmīgākie pēdējos gados īstenotie projekti:
1) Carnikavas pamatskolas rekonstrukcija;
2) Sociālās rehabilitācijas pakalpojumu centra būvniecība, Ādažos;
3) Plūdu risku novēršanas pasākumi Ādažu novada teritorijā, veicot Ādažu centra poldera aizsargdambja atjaunošanu un pagarināšanu;
4) Mežaparka ceļa 3. kārtas būvdarbu izpilde, Kadagā;
5) Ūdenssaimniecības attīstības III kārtas pabeigšana Carnikavā.
Veidojot savu budžetu, pašvaldība ir tieši atkarīga no valsts nodokļu politikas, kā arī valsts noteiktajiem makroekonomiskajiem scenārijiem un aprēķiniem pašvaldību finanšu izlīdzināšanai. Sastādot pašvaldības 2023. gada budžeta projektu, iedzīvotāju ienākuma nodokļa prognoze tika balstīta uz pašvaldību finanšu izlīdzināšanas aprēķinu 2023. gadam, kas pieejami Finanšu ministrijas tīmekļvietnē.
Šis 2023. gada pašvaldības budžets ir izstrādāts, balstoties uz ārējiem normatīvajiem aktiem, kā arī valsts finansēšanas un nodokļu politikas prognozēm. 2023. gadā pašvaldības ieņēmumu un izdevumu apjomu būtiski ietekmēs valsts fiskālās politikas vairākas izmaiņas, piemēram, aizņēmumu procentlikmju kāpums, valsts aizdevumu un grantu pieejamības regulējumi un Eiropas Savienības struktūrfondu pieejamības un izlietojuma nosacījumu spēkā stāšanās.
Pašvaldības budžets 2023. gadam sastāv no pamatbudžeta un ziedojumiem (dāvinājumiem), ko veido ieņēmumu un izdevumu daļas. Budžeta ieņēmumus veido galvenokārt ieņēmumi no iedzīvotāju ienākuma nodokļa (IIN), kā arī citi nodokļu ieņēmumi, valsts dažādas mērķdotācijas un ES projektu finansējumi.
Pašvaldība ņēma vērā visu nozaru intereses un centās sabalansēt pieejamos finanšu līdzekļus tā, lai nodrošinātu uzlabojumus pašvaldībai un sabiedrībai kopumā svarīgās jomās.
Pašvaldības budžeta izdevumu lielākā daļa tiks tērēta izglītībai (40 %) un pašvaldības teritoriju un mājokļu apsaimniekošanai (30 %).
Pandēmijas laikā gūtie atzinumi attālināta izglītības procesa jautājumos liek pilnveidot izglītības iestāžu optisko sakaru sistēmas un palielināt datortehnikas skaitu.
Publiskās infrastruktūras uzlabošanai tiks pabeigta Ādažu aizsargdambja Gaujas kreisā krasta nostiprinājumu izbūve, kā arī Carnikavas pamatskolas stadiona pārbūve. Paredzams, ka ar Aizsardzības ministrijas būtisku finansiālu atbalstu varēs uzsākt Vecštāles ceļa rekonstrukciju Ādažu pagastā, savukārt ar valsts finansējuma atbalstu – Kalngales notekūdeņu attīrīšanas ietaišu paplašināšanu. Tiks turpinātas sagatavošanas darbības projektu "Maģistrālās veloceļu infrastruktūras būvniecība prioritārajā koridorā Rīga–Carnikava" un "Mobilitātes punkta infrastruktūras izveidošana Rīgas metropoles areālā – Carnikava" uzsākšanai.
Iepriekšējos gados pašvaldības ņemto kredītu lielais apjoms Valsts Kasē, lai realizētu Eiropas Savienības struktūrfondu atbalstītos investīciju projektus, šodien liek piesardzīgāk plānot ilgtermiņa aktivitātes un attīstības projektus, jo, uzņemoties jaunas finanšu saistības, objektīvi samazināsies budžeta pašu ieņēmumu apmērs, kas vitāli nepieciešamas pašvaldības iestāžu uzturēšanai, ārējos normatīvajos aktos noteikto funkciju paplašināšanai, kā arī pašvaldības brīvprātīgo funkciju izpildei.
Skaitliskā informācija par budžeta ieņēmumiem, izdevumiem un klasifikāciju norādīta šo saistošo noteikumu 2., 3. un 4. pielikumā.
Ādažu novada pašvaldības domes priekšsēdētāja K. Miķelsone
2. pielikums
Ādažu novada pašvaldības
2023. gada 25. janvāra
saistošajiem noteikumiem Nr. 1/2023
Pamatbudžets 2023. gadam
|
IEŅĒMUMU DAĻA |
|||
|
Klasifikācijas kods |
N.p.k. |
Sadaļa |
2023. gada budžets |
| 1.-5. | Nodokļu ieņēmumi | 31 414 871 | |
| 1.1.0.0. | 1. | Iedzīvotāju ienākuma nodoklis | 28 441 559 |
| 1.1. | pārskata gada | 28 441 559 | |
| 4.1.1.0. | 2. | Nekustamā īpašuma nodoklis par zemi | 1 998 295 |
| 2.1. | pārskata gada | 1 807 872 | |
| 2.2. | iepriekšējo gadu parādi | 190 423 | |
| 4.1.2.0. | 3. | Nekustamā īpašuma nodoklis par ēkām | 412 472 |
| 3.1. | pārskata gada | 326 353 | |
| 3.2. | iepriekšējo gadu parādi | 86 119 | |
| 4.1.3.0. | 4. | Nekustamā īpašuma nodoklis par mājokļiem un inženierbūvēm | 492 545 |
| 4.1. | pārskata gada | 431 787 | |
| 4.2. | iepriekšējo gadu parādi | 60 758 | |
| 5.5.3.0. | 5. | Dabas resursu nodoklis | 70 000 |
| 9.0.0.0. | 6. | Valsts (pašvaldību) un kancelejas nodevas | 160 000 |
| 6.1. | valsts nodevas | 6 700 | |
| 6.1.1. | t.sk.: - par apliecinājumiem un citu funkciju pildīšanu bāriņtiesā | 1 700 | |
| 6.1.2. | t.sk.: - par civilstāvokļa aktu reģistrēšanu, grozīšanu un papildināšanu | 4 500 | |
| 6.1.3. | t.sk.: - pārējās valsts nodevas, kuras ieskaita pašvaldību budžetā | 500 | |
| 6.2. | pašvaldību nodevas | 153 300 | |
| 6.2.1. | t.sk.: - nodeva par domes izstrādāto oficiālo dokumentu saņemšanu | 350 | |
| 6.2.2. | t.sk.: - nodeva par izklaidējoša rakstura pasākumu sarīkošanu publiskās vietās | 1 100 | |
| 6.2.3. | t.sk.: - nodeva par tirdzniecību publiskās vietās | 27 000 | |
| 6.2.4. | t.sk.: - nodeva par dzīvnieku turēšanu | 0 | |
| 6.2.5. | t.sk.: - nodeva par reklāmas, afišu un sludinājumu izvietošanu publiskās vietās | 11 500 | |
| 6.2.6. | t.sk.: - nodeva par būvatļaujas saņemšanu | 106 350 | |
| 6.2.7. | t.sk.: - pārējās nodevas | 7 000 | |
| 10.0.0.0. | 7. | Naudas sodi un sankcijas | 65 000 |
| 7.1. | Naudas sodi un sankcijas | 31 000 | |
| 7.2. | Naudas sodi par pārkāpumiem ceļu satiksmē | 34 000 | |
| 12.0.0.0. | 8. | Pārējie nenodokļu ieņēmumi | 22 453 |
| 8.1. | citi nenodokļu ieņēmumi | 16 000 | |
| 8.2. | līgumsodi un procentu maksājumi par saistību neizpildi | 500 | |
| 8.3. | ieņēmumi no zvejas tiesību nomas | 5 953 | |
| 13.0.0.0. | 9. | Ieņēmumi no pašvaldības īpašumu pārdošana | 433 856 |
| 18.6.0.0. | 10. | Valsts budžeta transferti un projektu finansējums | 9 528 140 |
| 10.1. | Valsts budžeta transferti | 7 875 899 | |
| 10.1.1. | dotācija mākslas skolas algām | 593 640 | |
| 10.1.2. | dotācija sporta skolai | 299 288 | |
| 10.1.3. | dotācija skolēnu ēdināšanai | 249 276 | |
| 10.1.4. | dotācija mācību grāmatām | 0 | |
| 10.1.5. | dotācijas pedagogu algām (vsk., PII) | 5 320 740 | |
| 10.1.5.1. | t.sk.: - piecgadīgo bērnu apmācība | 723 948 | |
| 10.1.5.2. | t.sk.: - skolotāju algām | 4 279 428 | |
| 10.1.5.3. | t.sk.: - interešu izglītība | 317 364 | |
| 10.1.6. | dotācija māksliniecisko kolektīvu vadītāju atalgojumam | 13 088 | |
| 10.1.7. | Projekts "Skolas soma" Ādaži | 16 104 | |
| 10.1.8. | Projekts "Skolas soma" Carnikava | 6 454 | |
| 10.1.9. | dotācija asistenta pakalpojumu nodrošināšanai | 421 092 | |
| 10.1.10. | dotācija sociālajiem darbiniekiem, kuri strādā ar ģimenēm un bērniem | 25 954 | |
| 10.1.11. | valsts dotācija ceļu uzturēšanai | 342 263 | |
| 10.1.12. | dotācijas Ukrainas pilsoņu atbalstam | 50 000 | |
| 10.1.13. | dotācijas "Energoresursu atbalsts" | 400 000 | |
| 10.1.14. | pārējās dotācijas | 138 000 | |
| 18.6.3.0. | 10.2. | ES struktūrfondu līdzekļi un aktivitāšu līdzfinansējumi | 1 652 241 |
| 10.2.1. | t.sk.: Dotācija nodarbinātības pasākumiem | 7 417 | |
| 10.2.2. | t.sk. Plūdu risku projekts | 109 839 | |
| 10.2.3. | t.sk.: VISA projekts "Atbalsts izglītojamo individuālo kompetenču attīstībai" | 81 714 | |
| 10.2.4. | t.sk.: SAM 9311 Deinstitucionalizācija - Dienas centrs - specializētās darbnīcas | 117 147 | |
| 10.2.5. | t.sk.: Dienas centrs - pakalpojumi | 291 947 | |
| 10.2.6. | LAD projekts "Laivu ielas un tai piegulošā auto stāvlaukuma projektēšana un būvniecība" | 104 321 | |
| 10.2.7. | KF Ūdenssaimniecība 3. kārta Carnikavā | 40 898 | |
| 10.2.8. | SAM 5.5.1. Kultūras objektu būvniecība | 202 410 | |
| 10.2.9. | ERASMUS + projekti | 2 464 | |
| 10.2.10. | Ģimenes ārsta prakses izveide Garā iela 20 (ERAF, SAM 9.3.2. 4. kārta) | 14 100 | |
| 10.2.11. | EKII projekts | 382 739 | |
| 10.2.12. | Katlu mājas pārbūve Carnikavā, Tulpju iela | 297 245 | |
| 19.2.0.0. | 11. | Pašvaldību budžeta transferti | 295 000 |
| 11.1. | no citām pašvaldībām izglītības funkciju nodrošināšanai | 295 000 | |
| 21.0.0.0. | 12. | Budžeta iestāžu ieņēmumi | 4 234 051 |
| 12.1. | maksa par izglītības pakalpojumiem | 149 000 | |
| 12.1.1. | ieņēmumi no vecāku maksām (PII) | 24 000 | |
| 12.1.2. | ieņēmumi no vecāku maksām (ĀNMS, BJSS) | 125 000 | |
| 12.2. | ieņēmumi par nomu un īri | 157 000 | |
| 12.2.1. | ieņēmumi par telpu nomu | 120 000 | |
| 12.2.2. | ieņēmumi par zemes nomu | 36 000 | |
| 12.2.3. | pārējie ieņēmumi par nomu | 1 000 | |
| 12.3. | budžeta iestāžu maksas pakalpojumi | 3 826 051 | |
| 12.3.1. | budžeta iestāžu maksas pakalpojumi | 110 000 | |
| 12.3.2. | ieņēmumi no biļešu realizācijas | 2 500 | |
| 12.3.3. | ieņēmumi no dzīvokļu un komunālajiem pakalpojumiem © | 3 713 551 | |
| 12.4. | pārējie ieņēmumi/stāvvietu ieņēmumi | 102 000 | |
| KOPĀ IEŅĒMUMI: | 46 153 371 | ||
| F21010000 AS | 13. | Naudas līdzekļu atlikums gada sākumā | 7 741 521 |
| 13.1. | Naudas atlikums iezīmētiem mērķiem | 1 450 964 | |
| 13.2. | Naudas atlikums pašvaldības līdzekļi | 6 290 557 | |
| F40020010 | 14. | Valsts Kases kredīti | 4 267 404 |
| 14.1. | "Mobilitātes punkta infrastruktūras izveidošana Rīgas metropoles areālā - "Carnikava"" | 59 922 | |
| 14.2. | Maģistrālā veloceļa izbūve Rīga-Carnikava | 207 089 | |
| 14.3. | "Auto stāvlaukuma Lilastē paplašināšana, atpūtas vietu, labiekārtojuma, labierīcību, kempinga iespēju projektēšana un izbūve" © | 320 141 | |
| 14.4. | SAM 5.1.1. Pretplūdu pasākumi Ādažu centra polderī, Ādažu novadā | 624 704 | |
| 14.5. | Apgaismojuma izbūve uz Salas aizsargdamja D-2 posmā, Carnikavas pagastā | 37 335 | |
| 14.6. | Carnikavas stadiona rekonstrukcija | 582 946 | |
| 14.7. | Ādažu vidusskolas ēkas B korpusa un savienojuma daļas starp korpusiem (C un B) fasādes atjaunošana | 390 000 | |
| 14.8. | Kalngales NAI pārbūve | 645 000 | |
| 14.9. | EKII projekts | 164 032 | |
| 14.10. | Katlu mājas pārbūve Carnikavā, Tulpju iela | 907 235 | |
| 14.11. | Ķiršu ielas III kārta no Saules ielas līdz Attekas ielai 0.17 km | 203 000 | |
| 14.12. | Draudzības iela posmā no Saules ielai līdz Podnieku ielai ar ietvi 0.35 km | 126 000 | |
| KOPĀ PIEEJAMAIS FINANSĒJUMS: | 58 162 296 | ||
| IZDEVUMU DAĻA | |||
| Klasifikācijas kods | N.p.k. | Sadaļa | 2023. gada budžets |
| 01.000 | 1. | Vispārējie valdības dienesti | 8 245 497 |
| 1.1. | pārvalde | 1 904 696 | |
| 1.2. | deputāti | 355 819 | |
| 1.3. | administratīvā komisija | 58 895 | |
| 1.4. | iepirkumu komisija | 50 294 | |
| 1.5. | vēlēšanu komisija | 6 588 | |
| 1.6. | pārējās komisijas | 71 620 | |
| 1.7. | aizņēmumu procentu maksājumi | 1 047 339 | |
| 1.8. | Iemaksas PFIF | 4 392 666 | |
| 1.9. | Informācijas tehnoloģiju nodaļa, vispārējas nozīmes dienestu darbība un pakalpojumi - datortīkla uzturēšana | 357 580 | |
| 03.000 | 2. | Sabiedriskā kārtība un drošība | 936 069 |
| 04.000 | 3. | Ekonomiskā darbība | 556 693 |
| 3.1. | Sabiedriskās attiecības, laikraksts | 207 617 | |
| 3.2. | Autoceļu fonds | 349 076 | |
| 05.000 | 4. | Vides aizsardzība | 260 002 |
| 4.1. | Dabas resursu nodokļa izlietojums | 260 002 | |
| 06.000 | 5. | Pašvaldības teritoriju un mājokļu apsaimniekošana | 16 329 241 |
| 5.1. | Izdevumi neparedzētiem gadījumiem | 70 000 | |
| 5.2. | Būvvalde | 313 524 | |
| 5.3. | Teritorijas plānošanas nodaļa | 345 571 | |
| 5.4. | Attīstības un projektu nodaļa | 1 526 970 | |
| 5.4.1. | nodaļa | 1 009 113 | |
| 5.4.2. | Projekts "Sabiedrība ar dvēseli" | 40 000 | |
| 5.4.3. | Iedzīvotāju iniciatīvas un konkursi. | 10 000 | |
| 5.4.4. | TEP "Atjaunojamo energoresursu izmantošana Ādažu novadā" (EUCF) | 42 000 | |
| 5.4.5. | "Mobilitātes punkta infrastruktūras izveidošana Rīgas metropoles areālā - "Carnikava"" | 85 290 | |
| 5.4.6. | Maģistrālā veloceļa izbūve Rīga-Carnikava | 236 171 | |
| 5.4.7. | Apgaismojuma izbūve uz Salas aizsargdamja D-2 posmā, Carnikavas pagastā | 53 240 | |
| 5.4.8. | ES Padomes projekts LIFE COHABIT © | 32 020 | |
| 5.4.9. | Pārrobežu EST-LAT projekts "Militārais mantojums © | 4 136 | |
| 5.4.10. | Ģimenes ārsta prakses izveide_Garā iela 20 (ERAF, SAM 9.3.2. 4. kārta) | 15 000 | |
| 5.5. | Objektu un teritorijas apsaimniekošana un uzturēšana | 14 073 176 | |
| 5.5.1. | Nekustamā īpašumas nodaļa | 160 572 | |
| 5.5.2. | Mežaparka ceļš (Ā) | 355 701 | |
| 5.5.3. | SAM 5.1.1. Pretplūdu pasākumi Ādažu centra polderī, Ādažu novadā | 891 139 | |
| 5.5.4. | Pašvaldības aģentūra "Carnikavas Komunālserviss" | 3 779 449 | |
| 5.5.5. | P/A "Carnikavas komunālserviss" teritorijas un īpašumu apsaimniekošana | 5 552 775 | |
| 5.5.6. | Auto stāvlaukuma Lilastē paplašināšanas un atpūtas vietu labiekārtojuma projektēšana un izbūve | 391 245 | |
| 5.5.7. | Ķiršu ielas III kārta no Saules ielas līdz Attekas ielai 0.17 km | 293 146 | |
| 5.5.8. | Draudzības iela posmā no Saules ielai līdz Podnieku ielai ar ietvi 0.35 km | 180 000 | |
| 5.5.9. | Rasiņu ielas seguma atjaunošana | 32 000 | |
| 5.5.10. | Kalngales NAI pārbūve | 645 000 | |
| 5.5.11. | EKII projekts | 546 771 | |
| 5.5.12. | Katlu mājas pārbūve Carnikavā, Tulpju iela | 1 204 480 | |
| 5.5.13. | KF Ūdenssaimniecības projekts Carnikavā, 3. kārta © | 40 898 | |
| 08.000 | 6. | Atpūta, kultūra un reliģija | 2 486 999 |
| 6.1. | Kultūra | 1 187 108 | |
| 6.1.1. | Ādažu kultūras centrs | 589 107 | |
| 6.1.2. | Tautas nams "Ozolaine" | 409 634 | |
| 6.1.3. | Muzejs un Carnikavas novadpētniecības centrs | 188 367 | |
| 6.2. | Dziesmu svētki 2023 | 135 146 | |
| 6.3. | SAM 5.5.1. Kultūras objektu būvniecība (maksājumi projekta partneriem) | 212 422 | |
| 6.4. | ES projekts Eiropa pilsoņiem (diskriminētām personām) | 15 704 | |
| 6.5. | Ādažu bibliotēka | 121 138 | |
| 6.6. | Carnikavas bibliotēka | 62 656 | |
| 6.7. | Sporta daļa | 729 597 | |
| 6.8. | Evaņģēliski luteriskās draudzes | 4 000 | |
| 6.9. | Multihalle | 19 228 | |
| 10.000 | 7. | Sociālā aizsardzība | 4 201 177 |
| 7.1. | Sociālais dienests | 2 428 655 | |
| 7.1.1. | Sociālās funkcijas nodrošināšana | 601 819 | |
| 7.1.2. | Pabalsti | 1 373 990 | |
| 7.1.3. | Mērķdotācija | 25 954 | |
| 7.1.4. | Asistentu pakalpojumi | 421 092 | |
| 7.1.5. | Sociālā centra "Kadiķis" uzturēšana | 5 800 | |
| 7.2. | Stipendiāti / bezdarbnieki | 10 038 | |
| 7.3. | SAM 9311 Deinstitucionalizācija - Dienas centrs | 839 598 | |
| 7.3.1. | DI centra uzturēšanas izdevumi | 347 838 | |
| 7.3.2. | DI projekts - specializētās darbnīcas | 161 090 | |
| 7.3.3. | DI centra pakalpojumi (projekts) | 330 670 | |
| 7.4. | Bāriņtiesa | 132 505 | |
| 7.5. | Dotācijas "Energoresursu atbalsts" | 698 344 | |
| 7.6. | Dotācijas Ukrainas pilsoņu atbalstam | 50 000 | |
| 7.7. | SAM 9.2.4.2. projekts "Pasākumi vietējās sabiedrības veselības veicināšanai Ādažu novada pašvaldības Ādažu pagastā" | 23 597 | |
| 7.8. | SAM 9.2.4.2. projekts "Pasākumi vietējās sabiedrības veselības veicināšanai Ādažu novada pašvaldības Carnikavas pagastā" | 18 440 | |
| 09.000 | 8. | Izglītība | 21 517 854 |
| 8.1. | Norēķini ar pašvaldību budžetiem par izglītības iestāžu pakalpojumiem | 1 009 440 | |
| 8.2. | Ādažu Pirmsskolas izglītības iestāde | 1 943 919 | |
| 8.2.1. | pedagogu algas, grāmatas (mērķdotācija) | 273 761 | |
| 8.2.2. | pārējās izmaksas | 1 670 158 | |
| 8.3. | Kadagas PII | 1 237 574 | |
| 8.3.1. | pedagogu algas, grāmatas (mērķdotācija) | 113 943 | |
| 8.3.2. | pārējās izmaksas | 1 123 631 | |
| 8.4. | Pirmsskolas izglītības iestāde "Riekstiņš" | 1 320 896 | |
| 8.4.1. | pedagogu algas, grāmatas (mērķdotācija) | 192 011 | |
| 8.4.2. | pārējās izmaksas | 968 536 | |
| 8.4.3. | uzturēšanas izmaksas (CKS) | 160 349 | |
| 8.5. | Pirmsskolas izglītības iestādes "Piejūra" | 1 231 648 | |
| 8.5.1. | pedagogu algas, grāmatas (mērķdotācija) | 71 133 | |
| 8.5.2. | pārējās izmaksas | 1 001 768 | |
| 8.5.3. | uzturēšanas izmaksas (CKS) | 158 747 | |
| 8.6. | Privātās izglītības iestādes | 2 137 999 | |
| 8.7. | Carnikavas pamatskola | 1 977 339 | |
| 8.7.1. | pedagogu algas, grāmatas (mērķdotācija) | 926 167 | |
| 8.7.2. | ēdināšana (mērķdotācija) | 74 869 | |
| 8.7.3. | pārējās izmaksas | 682 155 | |
| 8.7.4. | uzturēšanas izmaksas (CKS) | 241 081 | |
| 8.7.5. | projekts "Skolas soma" | 6 454 | |
| 8.7.6. | projekts Erasmus+ | 46 613 | |
| 8.8. | Carnikavas stadiona rekonstrukcija | 836 633 | |
| 8.9. | Ādažu vidusskola | 7 240 446 | |
| 8.9.1. | pedagogu algas, grāmatas (mērķdotācija) | 3 750 643 | |
| 8.9.2. | pārējās izmaksas | 1 425 818 | |
| 8.9.3. | projekts Erasmus+ | 250 373 | |
| 8.9.4. | projekts "Skolas soma" | 16 158 | |
| 8.9.5. | Ādažu vidusskolas ēkas B korpusa un savienojuma daļas starp korpusiem (C un B) fasādes atjaunošana | 390 000 | |
| 8.9.6. | sākumskolas uzturēšanas izmaksas | 838 367 | |
| 8.9.7. | sākumskolas ēdināšana (mērķdotācija) | 173 758 | |
| 8.9.8. | PII | 395 329 | |
| 8.9.8.1. | - pedagogu algas (mērķdotācija) | 83 788 | |
| 8.9.8.2. | - uzturēšana | 311 541 | |
| 8.10. | Ādažu novada mākslu skola | 1 489 093 | |
| 8.10.1. | pedagogu algas (mērķdotācija) | 593 640 | |
| 8.10.2. | pārējās izmaksas | 895 453 | |
| 8.11. | Sporta skola | 643 257 | |
| 8.11.1. | pedagogu algas (mērķdotācija) | 299 308 | |
| 8.11.2. | Pašvaldības finansējums | 343 949 | |
| 8.12. | Izglītības un jauniešu lietu pārvalde | 316 026 | |
| 8.13. | Aktivitātes jauniešiem, jauniešu projektu konkurss | 3 000 | |
| 8.14. | ESF projekts Atbalsts priekšlaicīgas mācību pārtraukšanas samazināšanai | 16 292 | |
| 8.15. | ESF projekts Karjeras atbalsts vispārējās un profesionālās izglītības iestādēs © | 1 049 | |
| 8.16. | Valsts finansējums projektu konkursā "Atbalsts jaunatnes politikas īstenošanai vietējā līmenī" projekts "Mobilais darbs ar jaunatni Ādažu novadā" | 7 000 | |
| 8.17. | VISA projekts "Atbalsts izglītojamo individuālo kompetenču attīstībai" | 106 243 | |
| 8.17.1. | Ādaži | 70 943 | |
| 8.17.2. | Carnikava | 35 300 | |
| KOPĀ IZDEVUMI: | 54 533 533 | ||
| F40020020 | 9. | Kredītu pamatsummas atmaksa | 3 601 890 |
| PAVISAM KOPĀ IZDEVUMI: | 58 135 423 | ||
| F21010000 AB | - | Naudas līdzekļu atlikums uz gada beigām | 26 873 |
Ādažu novada pašvaldības domes priekšsēdētāja K. Miķelsone
3. pielikums
Ādažu novada pašvaldības
2023. gada 25. janvāra
saistošajiem noteikumiem Nr. 1/2023
Paskaidrojuma raksts par 2023. gada budžetu
Ieņēmumi
Budžeta ieņēmumi 2023. gadā plānoti EUR 46 153 371 apmērā, un tos veido nodokļu un nenodokļu ieņēmumi (nodevas, naudas sodi un sankcijas), ieņēmumi no pašvaldības īpašumu pārdošanas, iestāžu sniegtajiem maksas pakalpojumiem un citiem pašu ieņēmumiem, kā arī transferti (mērķdotācijas, kas tiek saņemtas no atsevišķām ministrijām un pašvaldībām un paredzētas galvenokārt pedagogu darba samaksai, kā arī ES fondu finansēto projektu īstenošanai un pašvaldību maksājumiem par izglītības pakalpojumiem).
Pamatbudžeta kontu atlikums 2023. gada 1. janvārī bija EUR 7 741 521.
Ieņēmumi – 2023. gada plāns
Iedzīvotāju ienākuma nodokļa (IIN) prognoze ir EUR 28 441 559.
Nekustamā īpašuma nodokļa (NĪN) prognoze (ieskaitot iepriekšējo gadu parādus) par zemi – EUR 1 998 295, par ēkām – EUR 412 472, par mājokļiem un inženierbūvēm – EUR 492 545.
Dabas resursa nodokļa ieņēmumi plānoti EUR 70 000 apmērā.
Nenodokļu ieņēmumus EUR 681 309 apmērā veido valsts un pašvaldības nodevas, naudas sodi un sankcijas, ieņēmumi no pašvaldības īpašumu pārdošanas.
Valsts mērķdotācija pedagogu un treneru atalgojumam, mācību grāmatām, brīvpusdienām, programmai "Skolas soma", māksliniecisko kolektīvu vadītāju atalgojumam, sociālo asistentu pakalpojumu nodrošināšanai, ceļu uzturēšanai, dotācija iedzīvotāju energoresursu atbalstam un dotācija Ukrainas pilsoņu atbalstam plānota EUR 7 875 899 apmērā.
2023. gadā plānots saņemt Eiropas Savienības struktūrfondu līdzekļus EUR 1 652 241 apmērā.
Norēķiniem starp pašvaldībām par izglītojamajiem, kas ir deklarēti citās pašvaldībās, bet apmeklē Ādažu pašvaldības izglītības iestādes un citi ieņēmumi no citām pašvaldībām plānots EUR 295 000.
Ieņēmumi par maksas pakalpojumiem u.c. pašu ieņēmumi ir plānoti EUR 4 234 051 apmērā, tajā skaitā ieņēmumi no dzīvokļu un komunālajiem pakalpojumiem (EUR 3 713 551), vecāku maksa par bērnu interešu pulciņu apmeklēšanu pirmsskolas izglītības iestādēs, Mākslas un mūzikas skolās, Ādažu Bērnu un jaunatnes sporta skolā, ieņēmumi par telpu un zemes nomu, u.c.
Izdevumi
Budžeta izdevumi plānoti EUR 54 533 533 apmērā un Valsts kases aizņēmumu pamatsummu atmaksas 2023. gadā plānotas EUR 3 601 890 apmērā.
Izdevumi – 2023. gada plāns
Vispārējie valdības dienesti – EUR 8 245 497
Izdevumi paredz līdzekļus domes darbības nodrošināšanai, finanšu vadībai un klientu apkalpošanai, t.sk.:
• iemaksa pašvaldību finanšu izlīdzināšanas fondā EUR 4 392 666
• domes pārvalde EUR 1 904 696
• Informācijas tehnoloģiju nodaļa, vispārējas nozīmes dienestu darbība un pakalpojumi – datortīkla uzturēšana EUR 357 580
• deputātu atlīdzība EUR 355 819
• komisiju darba atalgojums EUR 187 397
• aizņēmumu procentu maksājumi Valsts kasei EUR 1 047 339
Sabiedriskā kārtība un drošība – EUR 936 069
Izdevumi paredzēti pašvaldības policijas darbības nodrošināšanai, uzturot divas patruļu grupas un vienu vecāko inspektoru/operatīvo dežurantu 24 stundu darba režīmā, nodrošinot pastāvīgu informācijas pieņemšanu no iedzīvotājiem, profilaktisko darbu ar nepilngadīgām personām un izbraukumus uz pārkāpumu vietu.
Ekonomiskās darbības izdevumi – EUR 556 693
• Sabiedriskās attiecības EUR 207 617. Izdevumi paredzēti sabiedrisko attiecību veidošanai, iedzīvotāju informēšanai, pašvaldības informatīvā izdevuma un gada kalendāra publicēšanai, kā arī domes reprezentatīvajiem izdevumiem.
• Autoceļa fonda izlietojums EUR 349 076, kas paredzēts pašvaldības ceļu uzturēšanai.
Pašvaldības teritoriju un mājokļu apsaimniekošana EUR 16 329 241
Rezerves fonds neparedzētiem gadījumiem – EUR 70 000.
Pārējie izdevumi paredzēti apsaimniekošanas pamatdarbību veikšanai, labiekārtošanai un investīciju projektiem:
• 2023. gadā nozīmīgākie ārējo finanšu instrumentu un pašvaldības līdzfinansētie investīciju projekti un konkursi (EUR 1 718 221):
o Gaujas pretplūdu projekta realizācija 891 139
o auto stāvlaukuma Lilastē paplašināšanas un atpūtas vietu labiekārtojuma projektēšana un izbūve 391 245
o maģistrālā veloceļa izbūve Rīga–Carnikava 236 171
o "Mobilitātes punkta infrastruktūras izveidošana Rīgas metropoles areālā – "Carnikava"" 85 290
o apgaismojuma izbūve uz Salas aizsargdamja D-2 posmā, Carnikavas pagastā 53 240
o TEP "Atjaunojamo energoresursu izmantošana Ādažu novadā" (EUCF) 42 000
o ģimenes ārsta prakses izveide Garā iela 20 (ERAF, SAM 9.3.2. 4. kārta) 15 000
o pārrobežu EST-LAT projekts "Militārais mantojums 4 136
• EUR 14 541 020 – pašvaldības teritorijas un objektu apsaimniekošanai, izveidošanai, labiekārtošanai un uzturēšanai.
Nozīmīgākās pozīcijas 2023. gadā:
o teritorijas un īpašumu apsaimniekošana 5 253 048
o dzīvokļu komunālie pakalpojumi Carnikavas pagastā 3 779 449
o katlu mājas pārbūve Carnikavā, Tulpju iela 5 1 204 480
o Kalngales NAI pārbūve 645 000
o EKII projekts 546 751
o Mežaparka ceļa pārbūve 355 701
o Ķiršu ielas III kārta no Saules ielas līdz Attekas ielai 0.17 km 293 146
o Draudzības iela (no Saules ielai līdz Podnieku ielai ar ietvi 0.35 km) 180 000
o Kastaņu ielas Garkalnē dubultās virsmas ieklāšana 1.1 km 95 832
o Atpūtas ielas asfaltbetona seguma atjaunošana 0.23 km 80 000
o Dārza ielas Ādažos dubultās virsmas ieklāšana 0,65 km 60 000
o Kempinga "Artibuss" teritorijas sakopšana 55 300
o pašvaldības ceļu audits 55 000
o Ādažu novada teritorijas plānojuma transporta plāns 50 000
o Jūras ielā gājēju pārejas ar ātrumvalni izbūve 50 000
o Dadzīšu ielas projektēšana 50 000
o Lazdu iela, Garkalne dubultās virsmas ieklāšana 0.45 km 44 105
o konkurss "Sabiedrība ar dvēseli" 40 000
o Gaujmalas ielai Ādažos dubultās virsmas ieklāšana 0,35 km 38 000
o Rasiņu ielas seguma atjaunošana (ar iedzīvotāju līdzfinansējum) 32 000
o Ādažu novada teritorijas plānojuma ainavu plāns 28 000
o Baltezera kapu paplašināšanas būvprojekts 15 000
o Dzirnupes ielas satiksmes organizācijas izmaiņas 10 000
o iniciatīvas projektu konkurss iedzīvotājiem un mākslas kolektīviem 10 000
Atpūta, kultūra, sports un reliģija – EUR 2 486 999
• Ādažu novada kultūras centram EUR 589 107, t.sk., novada svētkiem un pasākumiem EUR 124 500
• Carnikavas kultūras namam "Ozolaine" EUR 409 634, t.sk., novada svētkiem un pasākumiem EUR 123 400
• Carnikavas novadpētniecības centram EUR 188 367
• Dalības nodrošināšanai dziesmu svētkos EUR 135 146
• ERAF līdzfinansētais projekts SAM 5.5.1. "Saviļņojošā Vidzeme" Carnikavas pagastā ir noslēdzies, taču 2023. gadā ir jāveic no ERAF saņemtā noslēguma finansējuma atmaksa projekta partneriem EUR 212 422
• Ādažu bibliotēkai EUR 121 138
• Carnikavas bibliotēkai EUR 62 656
• sportam un sporta infrastruktūrai EUR 729 597, t.sk.:
o atbalstam sportistiem un sporta organizācijām 60 595
o sporta pasākumu rīkošanai 49 080
o disku golfa laukuma izveidei Carnikavā, Zibeņu trasē 29 875
• evaņģēliski luterisko draudžu atbalstam EUR 4 000
• Multifunkcionālās zāles uzturēšanai EUR 16 388
Izglītība – EUR 21 517 854
• pirmsskolas izglītības iestādei "Strautiņš" EUR 1 943 919, t.sk. mērķdotācija pedagogu darba samaksai un mācību līdzekļiem EUR 273 761.
2023. gadā plānotas sekojošas investīcijas:
o ūdensvada un apkures sistēmas remontdarbi pagrabā 22 000
o Interneta tīkla sakārtošana 21 500
o apkures sistēmas automatizācija (13 grupās) 18 300
o piekļuves sistēmas automatizācija (kodi vārtiem un ieejas durvīm) 11 222
• pirmsskolas izglītības iestādei "Mežavēji" EUR 1 237 574, t.sk. mērķdotācija pedagogu darba samaksai un mācību līdzekļiem EUR 113 943
• pirmsskolas izglītības iestādei "Riekstiņš" EUR 1 320 896, t.sk. mērķdotācija pedagogu darba samaksai un mācību līdzekļiem EUR 192 011.
• pirmsskolas izglītības iestādei "Piejūra" EUR 1 231 648, t.sk. mērķdotācija pedagogu darba samaksai un mācību līdzekļiem EUR 71 133
• Carnikavas pamatskolai EUR 1 977 339, t.sk.:
o mērķdotācija pedagogu darba samaksai, mācību līdzekļiem un ēdināšanai 1 001 036
o projektu "Erasmus+" realizācijai 46 613
o projekta "Skolas soma" realizācijai 6 454
• Carnikavas stadiona rekonstrukcijai 836 633
• Ādažu vidusskolai EUR 7 240 446, t.sk.:
o mērķdotācija pedagogu darba samaksai, mācību līdzekļiem 3 924 401
o pirmsskolas izglītības nodrošināšanai un uzturēšanai 311 541
o mērķdotācija izglītojamo ēdināšanai sākumskolā 83 788
o Ādažu vidusskolas ēkas B korpusa un savienojuma daļas starp korpusiem (C un B) fasādes atjaunošana 390 000
o kanalizācijas un ūdens sistēmas nomaiņa, remonts (A korpuss) 5 000
o sienu remonts administratīvajam korpusam, kāpņutelpām 2. stāvā A korpuss 3 000
o darba staciju iegādei un klases telpas papildināšanai datorikas apmācībai 31 500
o optiskās datu pārraides nodrošināšana (ierīkošana un abonēšana) 17 820
o projektu "Erasmus+" realizācijai 250 373
o projekta "Skolas soma" realizācijai 16 158
• Ādažu novada Mākslu skolai EUR 1 489 093, t.sk.:
o mērķdotācija pedagogu darba samaksai 593 640
o jaunu mūzikas instrumentu iegādei 9 400
o jaunu datoru iegādei 6 000
• Ādažu Bērnu un jaunatnes sporta skolai EUR 643 257, t.sk. mērķdotācija pedagogu darba samaksai EUR 299 308
• finansējums, kas pārskaitāms citām pašvaldībām par izglītības pakalpojumiem, jo bērni no Ādažu novada apmeklē izglītības iestādes citos novados plānots EUR 1 009 440 apmērā.
• finansējums bērnu uzturēšanai privātajās izglītības iestādēs EUR 2 137 999
• Izglītības un jaunatnes lietu pārvaldei EUR 316 026, t.sk.:
o aptuveni 30 jauniešu nodarbinātībai vasarā 28 315
o radošajām darbnīcām vasarā 30 620
o labāko skolēnu apbalvošanai 24 000
o sabiedriskā transporta izdevumu apmaksu profesionālo skolu izglītojamo nokļūšanai uz mācību iestādēm speciālajām izglītības iestādēm 12 000
o jauniešu iniciatīvu projektu finansēšanai 4 000
o rezerve skolēnu līdzfinansējumam dalībai konkursos, balstoties uz kritērijiem 3 000
• VISA projektam "Atbalsts izglītojamo individuālo kompetenču attīstībai" Ādažu vidusskolā EUR 70 943, Carnikavas pamatskolā EUR 35 300
• ESF projekts Atbalsts priekšlaicīgas mācību pārtraukšanas samazināšanai 16 292
• Atbalsts jaunatnes politikas īstenošanai vietējā līmenī – Projekts "Mobilais darbs ar jaunatni Ādažu novadā" 7 000
• ESF projekts Karjeras atbalsts vispārējās un profesionālās izglītības iestādēs 1 049
Sociālā aizsardzība EUR 4 201 177
• dažādu veidu pabalstiem 1 077 990
• mērķdotācijai asistentu pakalpojumiem 421 092
• daudzbērnu ģimeņu atbalstam un atbalsta sistēmas nodrošināšanai 216 000
• pabalsts/ līdzfinansējums par ēdināšanu (EUR 1/dienā 5.–9. klase) no septembra 80 000
• valsts dotācija iedzīvotājiem energoresursu atbalstam 698 344
• valsts dotācija Ukrainas pilsoņu atbalstam 50 000
• deinstitucionalizācijas projekts – specializētās darbnīcas 161 090
• deinstitucionalizācijas projekta pakalpojumiem 330 670
• deinstitucionalizācijas centra uzturēšanai 347 838
• iniciatīvas projektu konkursam biedrībām 15 000
• Ādažu novada bāriņtiesas darbības nodrošināšanai 132 505
• sociālā centra "Kadiķis" uzturēšana 5 800
• Pasākumi vietējās sabiedrības veselības veicināšanai (Ādažos) 23 597
• Pasākumi vietējās sabiedrības veselības veicināšanai (Carnikavā) 18 440
Programma turpmākajiem 2 saimnieciskajiem gadiem
Turpmākajos divos gados lielākās investīcijas plānotas izglītības un sociālajā infrastruktūrā, energoresursu samazināšanas un kanalizācijas sistēmu uzlabošanā (Kalngales NAI pārbūvei) Carnikavas pagastā, Carnikavas stadiona pārbūvei, izglītības iestādes projektēšanai un būvniecībai Podniekos, Deinstitucionalizācijas projektu realizācijai, TEP "Atjaunojamo energoresursu izmantošana Ādažu novadā" (EUCF), katlu mājas pārbūvei Carnikavā, Tulpju ielā.
Pašvaldības aizņēmumi un galvojumi
Saskaņā ar aizņēmumu līgumiem ar Valsts kasi un plānotajiem aizņēmumiem, 2023. gadā paredzēts atmaksāt aizņēmumu pamatsummas EUR 3 601 890.
2023. gadā pašvaldība paredz aizņēmumus Valsts kasē EUR 4 234 051 apmērā Eiropas Savienības struktūrfondu līdzfinansētiem projektiem, Carnikavas stadiona rekonstrukcijai, Kalngales notekūdeņu attīrīšanas iekārtu pārbūvei, kā arī pašvaldības publiskās teritorijas labiekārtošanai un infrastruktūras uzlabošanai.
Ādažu novada pašvaldības domes priekšsēdētāja K. Miķelsone
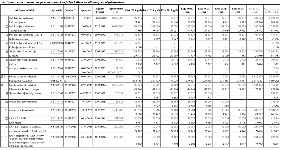
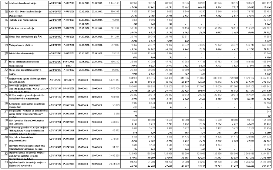
4. pielikums
Ādažu novada pašvaldības
2023. gada 25. janvāra saistošajiem noteikumiem Nr. 1/2023
Aizņēmumu un citu ilgtermiņa saistību pārskats
Ādažu novada pašvaldības domes priekšsēdētāja K. Miķelsone
5. pielikums
Ādažu novada pašvaldības
2023. gada 25. janvāra saistošajiem noteikumiem Nr. 1/2023
Ieņēmumu un izdevumu sadalījums pa funkcionālajām kategorijām un ekonomiskās klasifikācijas kodiem
| Ieņēmumu avoti un izdevumi atbilstīgi funkcionālajām un ekonomiskajām kategorijām | 2023. gada plāns | |
| KOPĀ IEŅĒMUMI AR FINANSĒŠANU | 58 162 296 | |
| I. | KOPĀ IEŅĒMUMI | 46 153 371 |
| 1.0.0.0. | Ienākuma nodokļi | 28 441 559 |
| 4.1.0.0. | Nekustamā īpašuma nodoklis | 2 903 312 |
| 5.5.3.0. | Dabas resursu nodoklis | 70 000 |
| 9.0.0.0. | Valsts (pašvaldību) nodevas un kancelejas nodevas | 160 000 |
| 10.0.0.0. | Naudas sodi un sankcijas | 65 000 |
| 12.0.0.0. | Pārējie nenodokļu ieņēmumi | 22 453 |
| 13.0.0.0. | Ieņēmumi no pašvaldības īpašumu pārdošanas | 433 856 |
| 18.0.0.0. | Valsts budžeta transferti | 9 528 140 |
| 19.0.0.0. | Pašvaldību budžetu transferti | 295 000 |
| 21.0.0.0. | Maksas pakalpojumi un citi pašu ieņēmumi | 4 234 051 |
| F 40020010 | Aizņēmumi Valsts kasē | 4 267 404 |
| F 40320010 | Naudas līdzekļu atlikums | 7 741 521 |
| II. | KOPĀ IZDEVUMI AR FINANSĒŠANU | 58 135 423 |
| II.1 | Izdevumi atbilstoši funkcionālajām kategorijām | 54 533 533 |
| 01.000 | Vispārējie valdības dienesti | 8 245 498 |
| 03.000 | Sabiedriskā kārtība un drošība | 936 069 |
| 04.000 | Ekonomiskā darbība | 556 693 |
| 05.000 | Vides aizsardzība | 260 002 |
| 06.000 | Teritoriju un mājokļu apsaimniekošana | 16 329 241 |
| 08.000 | Atpūta, kultūra un reliģija | 2 486 999 |
| 09.000 | Izglītība | 21 517 854 |
| 10.000 | Sociālā aizsardzība | 4 201 177 |
| F 40320020 | Aizņēmumu atmaksa | 3 601 890 |
| II.2 | Izdevumi atbilstoši ekonomiskajām kategorijām | 54 533 533 |
| 1000 | Atlīdzība | 21 891 642 |
| 2000 | Preces un pakalpojumi | 14 425 880 |
| 3000 | Subsīdijas un dotācijas | 224 185 |
| 4000 | Procentu izdevumi | 1 047 339 |
| 5000 | Pamatkapitāla veidošana | 8 049 231 |
| 6000 | Sociālie pabalsti | 2 376 538 |
| 7000 | Uzturēšanas izdevumu transferti, pašu resursu maksājumi, starptautiskā sadarbība | 6 518 718 |
| F 40320020 | Aizņēmumu atmaksa | 3 601 890 |
Ādažu novada pašvaldības domes priekšsēdētāja K. Miķelsone