
Sabiedrisko pakalpojumu regulēšanas komisijas lēmumi: Šajā laidienā 8 Pēdējās nedēļas laikā 0 Visi
Sabiedrisko pakalpojumu regulēšanas komisijas padomes lēmums Nr. 84
Rīgā 2023. gada 10. augustā (prot. Nr. 31, 7. p.)
Par kapitāla atdeves likmi elektroenerģijas pārvades sistēmas un elektroenerģijas sadales sistēmas pakalpojumu tarifu projekta aprēķināšanai
Sabiedrisko pakalpojumu regulēšanas komisija (turpmāk – Regulators), pamatojoties uz likuma "Par sabiedrisko pakalpojumu regulatoriem" 9.panta otro daļu, savas kompetences ietvaros patstāvīgi pieņem lēmumus un izdod administratīvos aktus, kas ir saistoši konkrētiem sabiedrisko pakalpojumu sniedzējiem un lietotājiem.
Regulators konstatē
1. Saskaņā ar Regulatora 2022.gada 29.augusta lēmuma Nr.1/12 "Kapitāla izmaksu uzskaites un aprēķināšanas metodika" (turpmāk – Metodika) 14.punktu Regulators reizi gadā līdz 1.septembrim sagatavo kapitāla atdeves likmes aprēķinu un ar lēmumu nosaka kapitāla atdeves likmi.
2. Atbilstoši Metodikas 14.punktam Regulatora noteikto kapitāla atdeves likmi komersants piemēro, izstrādājot elektroenerģijas pārvades sistēmas pakalpojumu un elektroenerģijas sadales sistēmas pakalpojumu tarifu projektu, kura spēkā stāšanās datums plānots nākamajā kalendārajā gadā pēc Regulatora lēmuma par kapitāla atdeves likmes noteikšanu pieņemšanas dienas.
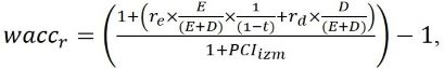
3. Atbilstoši Metodikas 40.punktam kapitāla atdeves likme, ko piemēro, aprēķinot elektroenerģijas pārvades sistēmas pakalpojumu un elektroenerģijas sadales sistēmas pakalpojumu tarifu projektu, kura spēkā stāšanās datums plānots 2024.gadā, tiek aprēķināta reālā izteiksmē saskaņā ar šādu formulu:
kur waccr ir kapitāla atdeves likme reālā izteiksmē;
PCIizm – patēriņa cenu gada vidējo (janvāris–decembris) pārmaiņu desmit iepriekšējo kalendāro gadu vidējā vērtība [%]. Ja PCIizm vērtība ir negatīva, aprēķinā izmanto vērtību 0%.
4. Atbilstoši Metodikas 15.punktam pašu kapitāla attiecības pret kopējo (pašu un aizņemto) kapitālu E/(E+D) un aizņemtā kapitāla attiecības pret kopējo (pašu un aizņemto) kapitālu D/(E+D) vērtība tiek pieņemta 50%.
5. Atbilstoši Metodikas 16.punktam pašu kapitāla atdeves likmi re aprēķina saskaņā ar šādu formulu:
re = rf + rc + βe × rm + se,
kur rf ir bezriska likme, kas noteikta kā Eiropas Centrālās bankas ikmēneša publicētā Vācijas valdības desmit gadu obligāciju vērtspapīru otrreizējā tirgus gada vidējā procentu likme desmit gadu periodā [%];
rc – valsts riska piemaksa, ko aprēķina kā Latvijas un Vācijas valsts desmit gadu obligāciju vērtspapīru otrreizējā tirgus gada vidējo procentu likmju starpību [%];
βe – pašu kapitāla beta koeficients;
rm – tirgus riska piemaksa [%];
se – Regulatora novērtēta pašu kapitāla izmēra riska piemaksa, ko piemēro komersants, kurš, pēc pēdējā pieejamā gada pārskata datiem, atbilst mikrouzņēmumu vai mazo uzņēmumu kategorijai [%].
6. Atbilstoši Metodikas 17.punktam pašu kapitāla beta koeficientu βe aprēķina atbilstoši pašu un aizņemtā kapitāla struktūrai saskaņā ar šādu formulu:
|
βe = βa × [1 + (1 – t) × ( |
D |
)], |
|
E |
kur βa – nozares aktīvu beta koeficients;
D/E – nozares aizņemtā un pašu kapitāla vidējā attiecība. Ņemot vērā, ka pašu kapitāla attiecība pret kopējo kapitālu un aizņemtā kapitāla attiecība pret kopējo kapitālu ir vienādas, D/E=1.
7. Atbilstoši Metodikas 18.punktam aizņemtā kapitāla atdeves likmi aprēķina saskaņā ar šādu formulu:
rd = rdm + sd,
kur rdm – Eiropas Centrālās bankas ikmēneša publicētā nefinanšu sabiedrībām euro valūtā izsniegto kredītu (ar sākotnējo termiņu ilgāku par pieciem gadiem; atlikumiem) gada vidējā procentu likme desmit gadu periodā [%];
sd – Regulatora novērtēta aizņemtā kapitāla izmēra riska piemaksa, ko piemēro komersants, kurš, pēc pēdējā pieejamā gada pārskata datiem, atbilst mikrouzņēmumu vai mazo uzņēmumu kategorijai [%].
8. Atbilstoši Metodikas 38.punktam līdz 2024.gadam aizņemtā kapitāla atdeves likmes rd noteikšanai izmanto Eiropas Centrālās bankas publicētos statistikas datus par periodu, kas sākas ar 2014.gada 1.janvāri.
9. Izmantojot Eiropas Centrālās bankas tīmekļvietnē www.ecb.europa.eu publicētos datus, Regulators konstatē, ka Vācijas valdības desmit gadu obligāciju vērtspapīru otrreizējā tirgus gada vidējā procentu likme (rf) periodā no 2013.gada jūlija līdz 2023.gada jūnijam ir 0,45%1.
10. Izmantojot Eiropas Centrālās bankas tīmekļvietnē www.ecb.europa.eu publicētos datus, Regulators konstatē, ka valsts riska piemaksa (rc), kas aprēķināta kā Latvijas un Vācijas valsts desmit gadu obligāciju vērtspapīru otrreizējā tirgus gada vidējo procentu likmju vidējā starpība periodā no 2018.gada jūlija līdz 2023.gada jūnijam, ir 0,73%.
11. Saskaņā ar Uzņēmumu ienākuma nodokļa likuma 3.panta pirmo daļu uzņēmumu ienākuma nodokļa likme (t) ir 20%.
12. Izmantojot Eiropas Enerģētikas regulatoru padomes (turpmāk – EERP) apkopotos datus, kas pieejami jaunākajā publikācijā "Ziņojums par Eiropas enerģētikas tīklu regulēšanas ietvaru 2022" (turpmāk – EERP Ziņojums) tīmekļvietnē www.ceer.eu, Regulators konstatē, ka EERP dalībvalstu, kur beta koeficienta korekcijas formulā tiek ņemta vērā nodokļu ietekme, vidējais aktīvu beta koeficients elektroenerģijas nozarē2 (βa) ir 0,41. Regulatora ieskatā, pieeja, kurā tiek izmantoti citiem regulētiem elektroenerģijas nozares komersantiem (pārvades un sadales sistēmu operatoriem) EERP dalībvalstu regulatīvo iestāžu kapitāla atdeves likmju aprēķināšanā piemērotie beta koeficienti, ir pamatota, ņemot vērā, ka šie beta koeficienti piemēroti komersantiem, kas sniedz infrastruktūras pakalpojumus līdzīgos apstākļos (regulētā vidē). Ievērojot Metodikas 17.punktu, izmantojot šā lēmuma konstatējošās daļas 11.punktā norādīto rādītāja skaitlisko vērtību un aktīvu beta koeficienta elektroenerģijas nozarē vērtību, elektroenerģijas nozares pašu kapitāla beta koeficients (βe) ir 0,74.
13. Tirgus riska piemaksa novērtēta, izmantojot EERP Ziņojumā apkopotos datus par dalībvalstu regulatīvo iestāžu izmantoto starptautisko ekspertu novērtējumu par kapitāla tirgiem. EERP dalībvalstu vidējā tirgus riska piemaksa3 (rm) ir 5,28%.
14. Pašu kapitāla izmēra riska piemaksa, ko piemēro komersants, kurš, pēc pēdējā pieejamā gada pārskata datiem, atbilst mikrouzņēmumu vai mazo uzņēmumu kategorijai (se) (neatkarīgi no nozares), ir novērtēta, izmantojot regulēto siltumapgādes pakalpojumu sniedzēju datus un Latvijas Centrālās statistikas pārvaldes apkopotos uzņēmējdarbības finanšu datus no komersantu gada pārskatiem 2016. un 2017.gadā par ekonomiski aktīvajiem komersantiem (institucionālais sektors S110000 "Nefinanšu sabiedrības") tautsaimniecībā. Novērtētā pašu kapitāla izmēra riska piemaksa (se) ir 2,28%.
15. Izmantojot Eiropas Centrālās bankas tīmekļvietnē www.ecb.europa.eu publicētos datus, Regulators konstatē, ka nefinanšu sabiedrībām euro valūtā izsniegto kredītu (ar sākotnējo termiņu ilgāku par pieciem gadiem; atlikumiem) gada vidējā procentu likme (rdm) periodā no 2014.gada janvāra līdz 2023.gada jūnijam ir 2,65%.
16. Aizņemtā kapitāla izmēra riska piemaksa, ko piemēro komersants, kurš, pēc pēdējā pieejamā gada pārskata datiem, atbilst mikrouzņēmumu vai mazo uzņēmumu kategorijai (sd) (neatkarīgi no nozares), ir novērtēta, izmantojot Regulatora apkopotos datus par faktiskajām kredītu procentu likmēm, kas piemērotas kredītiem, kuri izsniegti siltumapgādes komersantiem investīcijām siltumapgādes pakalpojumu sniegšanai nepieciešamajos aktīvos. Novērtētā aizņemtā kapitāla izmēra riska piemaksa (sd) ir 0,65%.
17. Izmantojot Latvijas Centrālās statistikas pārvaldes apkopotos datus par patēriņa cenu inflāciju, patēriņa cenu gada vidējo (janvāris–decembris) pārmaiņu desmit iepriekšējo kalendāro gadu vidējā vērtība (PCIizm) ir 2,99%.
18. Mikrouzņēmumu, mazo, vidējo vai lielāku uzņēmumu kategorijas nosaka Komisijas (ES) 2014.gada 17.jūnija Regulas Nr.651/2014, ar ko noteiktas atbalsta kategorijas atzīst par saderīgām ar iekšējo tirgu, piemērojot Līguma 107. un 108.pantu 1.pielikuma 2.pantā minētās darbinieku skaita un finansiālās robežvērtības.
19. Atbilstoši likuma "Par sabiedrisko pakalpojumu regulatoriem" 19.panta pirmajai daļai sabiedrisko pakalpojumu tarifus regulējamās nozarēs sabiedrisko pakalpojumu sniedzēji aprēķina saskaņā ar noteikto tarifu aprēķināšanas metodiku un pēc savas iniciatīvas vai Regulatora pieprasījuma iesniedz Regulatoram aprēķināto tarifu projektus kopā ar tarifu aprēķina projektā minēto tarifus veidojošo izmaksu pamatojumu.
20. Šobrīd spēkā ir Regulatora 2022.gada 22.septembra lēmums Nr.178 "Par kapitāla atdeves likmi elektroenerģijas pārvades sistēmas un elektroenerģijas sadales sistēmas pakalpojumu tarifu projekta aprēķināšanai".
21. Atbilstoši Administratīvā procesa likuma 70.panta trešajai daļai administratīvais akts ir spēkā tik ilgi, līdz to atceļ, izpilda vai vairs nevar izpildīt sakarā ar faktisko vai tiesisko apstākļu maiņu.
22. Regulatora sagatavotais lēmuma projekts tika publicēts Regulatora tīmekļvietnē4 2023.gada 25.jūlijā, lai iepazīstinātu komersantus un citus interesentus ar sagatavoto lēmuma projektu un dotu iespēju izteikt viedokli. Regulatorā tika saņemti rakstveidā iesniegti akciju sabiedrības "Augstsprieguma tīkls" un akciju sabiedrības "Sadales tīkls" viedokļi par sagatavoto lēmuma projektu.
23. Akciju sabiedrība "Augstsprieguma tīkls" norāda, ka kapitāla atdeves likmes apmērs neatbilst pašreizējai situācijai finanšu tirgū, kur strauji aug aizņēmumu likmes, tādējādi rada finansējuma piesaistes riskus, apdraud spēju finansēt kapitālieguldījumu realizācijai nepieciešamos aizņēmumus un sniedz negatīvus signālus attiecībā uz regulatīvās vides stabilitāti, līdz ar to aicina Regulatoru izvērtēt iespēju veikt izmaiņas Metodikā ar mērķi novērst apstiprināmās kapitāla atdeves likmes ievērojamas svārstības.
24. Akciju sabiedrība "Sadales tīkls" norāda, ka aprēķinātais aktīvu ienesīgums ir zemāks par aizņēmuma likmēm tirgū un kaimiņvalstu regulatori 2024.gadam ir noteikuši augstākas kapitāla atdeves likmes – Lietuvā virs 5%, Igaunijā 6,27%. Analizējot Regulatora veikto aprēķinu, akciju sabiedrība "Sadales tīkls" secina, ka galvenais cēlonis tirgus līmenim neatbilstošas likmes aprēķināšanai ir Regulatora izmantotie pieņēmumi bezriska likmes noteikšanai un ir nepieciešams pārskatīt Metodiku un panākt tās atbilstību faktiskajai tirgus situācijai.
25. Regulatora padomes sēdē piedalījās akciju sabiedrības "Sadales tīkls" pārstāvji, kuri uzturēja rakstiski izteikto viedokli.
Regulators secina
1. Izmantojot šā lēmuma konstatējošās daļas 9., 10., 12., 13. un 14.punktā norādītās rādītāju skaitliskās vērtības, saskaņā ar Metodikas 16.punktu aprēķinātā pašu kapitāla atdeves likme re ir:
1.1. 7,37% komersantam, kurš, pēc pēdējā pieejamā gada pārskata datiem, atbilst mikrouzņēmumu vai mazo uzņēmumu kategorijai;
1.2. 5,09% komersantam, kurš, pēc pēdējā pieejamā gada pārskata datiem, atbilst vidējo uzņēmumu vai lielāku uzņēmumu kategorijai.
2. Izmantojot šā lēmuma konstatējošās daļas 15. un 16.punktā norādītās rādītāju skaitliskās vērtības, saskaņā ar Metodikas 18.punktu aprēķinātā aizņemtā kapitāla atdeves likme rd ir:
2.1. 3,30% komersantam, kurš, pēc pēdējā pieejamā gada pārskata datiem, atbilst mikrouzņēmumu vai mazo uzņēmumu kategorijai;
2.2. 2,65% komersantam, kurš, pēc pēdējā pieejamā gada pārskata datiem, atbilst vidējo uzņēmumu vai lielāku uzņēmumu kategorijai.
3. Izmantojot aprēķinātās pašu kapitāla atdeves likmes un aizņemtā kapitāla atdeves likmes, kā arī šā lēmuma konstatējošās daļas 4., 11. un 17.punktā norādītās rādītāju skaitliskās vērtības, saskaņā ar Metodikas 40.punktu aprēķinātā vidējā svērtā kapitāla atdeves likme reālā izteiksmē ir:
3.1. 3,18% komersantam, kurš, pēc pēdējā pieejamā gada pārskata datiem, atbilst mikrouzņēmumu vai mazo uzņēmumu kategorijai;
3.2. 1,48% komersantam, kurš, pēc pēdējā pieejamā gada pārskata datiem, atbilst vidējo uzņēmumu vai lielāku uzņēmumu kategorijai.
4. Regulatora ieskatā, kapitāla atdeves likme 3,18% apmērā komersantam, kurš, pēc pēdējā pieejamā gada pārskata datiem, atbilst mikrouzņēmumu vai mazo uzņēmumu kategorijai, un 1,48% apmērā komersantam, kurš, pēc pēdējā pieejamā gada pārskata datiem, atbilst vidējo uzņēmumu vai lielāku uzņēmumu kategorijai, ņem vērā situāciju finanšu tirgos un atbilstoši novērtē finansējuma piesaistes riskus ilgtermiņā, tādējādi neradot šķēršļus komersantam finansēt aizņēmumus, ieguldīt elektroenerģijas pārvades sistēmas un elektroenerģijas sadales sistēmas atjaunošanā un attīstībā, kā arī gūt samērīgu peļņu, vienlaikus nodrošinot lietotājiem iespēju saņemt nepārtrauktus, drošus un kvalitatīvus sabiedriskos pakalpojumus, kuru tarifi (cenas) atbilst ekonomiski pamatotām izmaksām.
Saskaņā ar Regulatora 2022.gada 29.augusta lēmuma Nr.1/12 "Kapitāla izmaksu uzskaites un aprēķināšanas metodika" 14., 16., 17., 18., 38., 39. un 40.punktu, pamatojoties uz likuma "Par sabiedrisko pakalpojumu regulatoriem" 1.pantu, 5.pantu, 9.panta pirmās daļas 1.punktu un otro daļu un 20.panta pirmo daļu, kā arī Administratīvā procesa likuma 55.panta 2.punktu un 63.panta pirmās daļas 1.punktu,
padome nolemj:
1. noteikt kapitāla atdeves likmi elektroenerģijas pārvades sistēmas vai elektroenerģijas sadales sistēmas pakalpojumu tarifu projekta aprēķināšanai:
1.1. 3,18% apmērā komersantam, kurš, pēc pēdējā pieejamā gada pārskata datiem, atbilst mikrouzņēmumu vai mazo uzņēmumu kategorijai;
1.2. 1,48% apmērā komersantam, kurš, pēc pēdējā pieejamā gada pārskata datiem, atbilst vidējo uzņēmumu vai lielāku uzņēmumu kategorijai;
2. noteikt, ka šā lēmuma lemjošās daļas 1.punktā noteikto kapitāla atdeves likmi komersants piemēro, aprēķinot elektroenerģijas pārvades sistēmas vai elektroenerģijas sadales sistēmas pakalpojumu tarifu projektu, kura spēkā stāšanās datums plānots 2024.gadā.
Lēmums stājas spēkā ar tā parakstīšanas dienu.
Šo administratīvo aktu var pārsūdzēt Administratīvajā apgabaltiesā viena mēneša laikā no dienas, kad ieinteresētā persona uzzina vai tai vajadzēja uzzināt par pieņemto administratīvo aktu.
1 Šis un visi citi aprēķinā izmantotie rādītāji skatīti 2023.gada 4.augustā.
2 Aprēķinā izmantotās aktīvu beta koeficientu vērtības atrodamas EERP Ziņojuma 4.pielikumā (https://www.ceer.eu/documents/104400/7536045/Annex+4+-+RFR+Collected+%26+filled+out+tables/8a5be110-c077-a135-9f58-03b380ed4162), "MS Excel" datnes "20221115 IRB - RFR22 - Chapter 4.xlsx" darblapās "E TSO" un "E DSO", 4.3.6.2.tabulā "Betas in the regulation", kolonnā "Asset beta: aß = eß/[1+(1-t)*(D/E)]". Valstīm, kuras tabulā norāda vairākas beta koeficienta vērtības vai to intervālu, pirms dalībvalstu vidējā aktīvu beta koeficienta aprēķināšanas tika aprēķināta konkrētās valsts vidējā aktīvu beta koeficienta vērtība. Aprēķinā nav iekļauta Latvijas beta koeficienta vērtība, lai izvairītos no riņķveida atsauces radīšanas.
3 Aprēķinā izmantotās tirgus riska piemaksas vērtības atrodamas EERP Ziņojuma 4.pielikumā (https://www.ceer.eu/documents/104400/7536045/Annex+4+-+RFR+Collected+%26+filled+out+tables/8a5be110-c077-a135-9f58-03b380ed4162), "MS Excel" datnes "20221115 IRB - RFR22 - Chapter 4.xlsx" darblapās "E TSO", "E DSO", "G TSO" un "G DSO", 4.3.3.1.tabulā "Evaluating market risk premiums", kolonnā "Market risk premiums: Value". Valstīm, kuras tabulā norāda vairākas tirgus riska piemaksas vērtības, pirms dalībvalstu vidējās tirgus riska piemaksas aprēķināšanas tika aprēķināta konkrētās valsts vidējās tirgus riska piemaksas vērtība. Aprēķinā nav iekļauta Latvijas tirgus riska piemaksas vērtība, lai izvairītos no riņķveida atsauces radīšanas.
4 https://www.sprk.gov.lv/events/sprk-sagatavojusi-lemumu-projektus-par-kapitala-atdeves-likmem-2024gadam-visas-reguletajas
Sabiedrisko pakalpojumu regulēšanas komisijas
padomes priekšsēdētāja A. Ozola