
Ogres novada domes saistošie noteikumi: Šajā laidienā 1 Pēdējās nedēļas laikā 1 Visi
Ogres novada pašvaldības domes saistošie noteikumi Nr. 16/2023
Ogrē 2023. gada 20. jūlijā (prot. Nr. 12; 20.)
Grozījumi Ogres novada pašvaldības 2023. gada 16. februāra saistošajos noteikumos Nr. 1/2023 "Par Ogres novada pašvaldības 2023. gada konsolidēto budžetu"
Izdoti saskaņā ar Pašvaldību likuma
10. panta pirmās daļas 1. punktu un
likumu "Par pašvaldību budžetiem"
Izdarīt Ogres novada pašvaldības 2023. gada 16. februāra saistošajos noteikumos Nr. 1/2023 "Par Ogres novada pašvaldības 2023. gada konsolidēto budžetu" (Latvijas Vēstnesis, 61, 27.03.2023.) šādus grozījumus:
1. Izteikt 1. punktu šādā redakcijā:
"1. Apstiprināt Ogres novada pašvaldības 2023. gada pamatbudžeta ieņēmumus 91 492 546 euro (deviņdesmit viens miljons četri simti deviņdesmit divi tūkstoši pieci simti četrdesmit seši euro) saskaņā ar Pielikums Nr. 1."
2. Izteikt 2. punktu šādā redakcijā:
"2. Apstiprināt Ogres novada pašvaldības 2023. gada pamatbudžeta izdevumus 117 614 411 euro (viens simts septiņpadsmit miljoni seši simti četrpadsmit tūkstoši četri simti vienpadsmit euro) saskaņā ar Pielikums Nr. 2."
3. Izteikt 3. punktu šādā redakcijā:
"3. Noteikt 2023. gada budžetā 11 773 859 euro (vienpadsmit miljoni septiņi simti septiņdesmit trīs tūkstoši astoņi simti piecdesmit deviņi euro) lielu Valsts kases kredītu Ogres novada pašvaldības projektu nodrošināšanai saskaņā ar Pielikums Nr. 3."
4. Izteikt 5. punktu šādā redakcijā:
"5. Noteikt finansējumu aizņēmumu atmaksai 6 023 878 euro (seši miljoni divdesmit trīs tūkstoši astoņi simti septiņdesmit astoņi euro) saskaņā ar Pielikums Nr. 4."
5. Izteikt 6. punktu šādā redakcijā:
"6. Ogres novada pašvaldības 2023. gada budžetā apstiprināt ieguldījumu Ogres novada pašvaldības SIA "Lielvārdes Remte" pamatkapitālā 683 978 euro."
6. Izteikt pielikumu Nr. 5 jaunā redakcijā.
7. Izteikt 9. punktu šādā redakcijā:
" 9. Noteikt 2023. gadā pamatbudžeta atlikumu uz gada beigām 1 832 130 euro (viens miljons astoņi simti trīsdesmit divi tūkstoši viens simts trīsdesmit euro)."
Ogres novada pašvaldības domes priekšsēdētājs E. Helmanis
Paskaidrojuma raksts
Ogres novada pašvaldības saistošajiem noteikumiem Nr. 16/2023
"Grozījumi Ogres novada pašvaldības 2023. gada 16. februāra saistošajos
noteikumos Nr. 1/2023 "Par Ogres novada pašvaldības 2023. gada konsolidēto
budžetu"
1. VISPĀRĪGA INFORMĀCIJA PAR GROZĪJUMU BŪTĪBU
Pamatojoties uz Ogres novada pašvaldības budžeta izpildes analīzi gan ieņēmumos, gan izdevumos, papildu piešķirto finansējumu mācību līdzekļu iegādei pašvaldības izglītības iestādēm un papildu līdzekļiem Eiropas Savienības projektu realizācijai, Ogres novada pašvaldības pieņemtajiem lēmumiem un izmaksām saistībā ar iepirkumu komisijas pabeigtām iepirkuma procedūrām, Ogres novada pašvaldības 2023. gada 20. jūlija budžeta grozījumos apkopoti šādi priekšlikumi pašvaldības budžeta grozījumiem:
1) precizēt ieņēmumu prognozes;
2) precizēt izdevumus pamatbudžetā valdības funkcionālajām kategorijām un ekonomiskās klasifikācijas kodiem;
3) precizēt pamatbudžeta finansēšanas daļu.
2. Ogres novada pašvaldības ieņēmumi
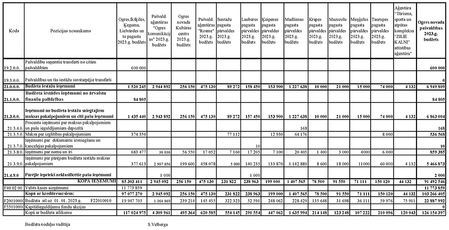
Ogres novada pašvaldības pamatbudžeta ieņēmumi saskaņā ar grozījumiem ir 91 492 546 eiro, kas, salīdzinot ar sākotnēji apstiprināto budžetu, ir palielināti par 807 510 eiro.
| Ieņēmumi | 2023. gada budžets EUR | Grozījumi | 2023. gada koriģētais budžets EUR |
| Nodokļu ieņēmumi | 59 029 699 | 4 647 | 59 034 346 |
| Nenodokļu ieņēmumi | 362 472 | 25 873 | 388 345 |
| Maksas pakalpojumi un citi pašu ieņēmumi | 6 739 600 | 125 404 | 6 865 004 |
| Ārvalstu finanšu palīdzība | 18 249 | 66 556 | 84 805 |
| Pašvaldību saņemtie transferti no valsts budžeta daļēji finansētām atvasinātām publiskām personām | 265 446 | 0 | 265 446 |
| Valsts budžeta transferti | 23 669 570 | 585 030 | 24 254 600 |
| Pašvaldību budžetu transferti | 600 000 | 0 | 600 000 |
| KOPĀ: | 90 685 036 | 807 510 | 91 492 546 |
1. tabula. Ogres novada pašvaldības ieņēmumu izmaiņas 2023. gada jūlija grozījumos.
Ogres novada pašvaldības pamatbudžeta ieņēmumu palielinājumu veido maksas pakalpojumu un citu pašu ieņēmumu pārpilde, kā arī realizējamo un jaunu Eiropas Savienības projektu saņemtās investīcijas.
Nodokļu ieņēmumi: Ogres novada pašvaldības 2023. gada jūlija budžeta grozījumos nodokļu ieņēmumi tiek palielināti par 4 647 eiro sakarā ar ieņēmumu pārpildi pret plānoto – dabas resursu nodoklis – par 4 647 eiro.
Nenodokļu ieņēmumi: Ogres novada pašvaldības 2023. gada jūlija budžeta grozījumos šie ieņēmumi palielinās par 25 873 eiro. Galvenokārt tas saistīts ar to, ka ieņēmumi no pašvaldības īpašuma pārdošanas saskaņā ar domes pieņemtajiem lēmumiem palielinās par 13 500 eiro Suntažu pagasta pārvaldē, kā arī ar pārējiem ieņēmumiem no sporta biedrībām.
Valsts budžeta transferti: Ieņēmumi, ko pašvaldība saņem no valsts budžeta konkrētam mērķim. Ogres novada pašvaldības 2023. gada budžeta grozījumos šie ieņēmumi palielinās par 585 030 eiro. Plānots valsts finansējums mācību līdzekļu iegādei – pašvaldības izglītības iestādēm 2023.gadā 183 897 eiro apmērā.
Precizēti transfertos no valsts budžeta Ogres novada pašvaldībai 2023. gada jūlija budžeta grozījumos projektu ieņēmumi, attiecīgi gan samazināti, gan palielināti tiem plānotie ieņēmumi. Plānoti arī ieņēmumi vairākiem jauniem investīciju projektiem, lielākie no tiem ir "Elektrotransporta un uzlādes stacijas iegāde Ogres novada pašvaldības skolēnu mobilitātes veicināšanai", Erasmus programmas projekts Ogres 1. vidusskolā "Personu mobilitāte mācību nolūkos", "Ogres novada publisko ūdeņu zivju resursu aizsardzības pilnveide 3".
Budžeta iestāžu ieņēmumi: Ogres novada pašvaldības 2023. gada 20. jūlija budžeta grozījumos ir palielināti par 125 404 eiro, kas pamatā saistīts ar ieņēmumu pārsniegumu par nekustamā īpašuma nomu un ieņēmumiem no būvdarbu veicējiem par elektroenerģiju un komunāliem pakalpojumiem.
Ārvalstu finanšu palīdzības ieņēmumi: Palielināti par 66 556 eiro trīs jaunu Nordplus programmas projektu realizācijai Jumpravas pamatskolā un viena Nordplus projekta realizācijai Ogres centrālajā bibliotēkā.
3. Ogres novada pašvaldības budžeta izdevumi
Ogres novada pašvaldības 2023. gada pamatbudžeta izdevumu daļā precizēti izdevumi pa funkcionālajām kategorijām un ekonomiskās klasifikācijas kodiem, kopumā izdevumus palielinot par 1 050 500 eiro, kas pamatā saistīts ar projektu izmaksu precizējumiem un jaunu investīciju projektu realizācijas uzsākšanu, kā arī Ogres novada pašvaldības pieņemtajiem lēmumiem par līdzekļu piešķiršanu no "Izdevumi neparedzētiem gadījumiem".
Vispārējie valdības dienesti: Ogres novada pašvaldības izdevumi samazināti par 962 962 eiro. Pašvaldības institūciju un domes deputātu funkciju darbības nodrošināšanai izdevumi palielināti par 7 204 eiro.
Vispārēja rakstura transferti no pašvaldību budžeta valsts budžetam palielināti par 42 754 eiro. Lielāko atskaitījumu veido VARAM energoresursu pieauguma kompensācijai paredzēto līdzekļu atlikums par 2022. gadu 33 590 eiro apmērā.
Izdevumi neparedzētiem gadījumiem saskaņā ar pašvaldības domes pieņemtajiem lēmumiem samazināti par 1 012 920 eiro.
| Izdevumi | 2023. gada budžets EUR | Grozījumi | 2023. gada koriģētais budžets EUR |
| Izpildvaras institūcijas | 7 288 467 | 7 204 | 7 295 671 |
| Pašvaldības parāda darījumi | 2 767 717 | 0 | 2 767 717 |
| Vispārēja rakstura transferti no pašvaldību budžeta valsts budžetam | 273 380 | 42 754 | 316 134 |
| Pašvaldību savstarpējie norēķini | 790 000 | 0 | 790 000 |
| Izdevumi neparedzētiem gadījumiem | 1 119 551 | -1 012 920 | 106 631 |
| Sabiedriskā kārtība un drošība | 1 899 062 | 0 | 1 899 062 |
| Ekonomiskā darbība (bez autotransp.) | 1 922 360 | 28 185 | 1 950 545 |
| Autotransports | 4 955 334 | 325 806 | 5 281 140 |
| Vides aizsardzība | 3 970 394 | 52 157 | 4 022 551 |
| Pašvaldības teritoriju un mājokļu apsaimniekošana | 13 938 699 | 86 519 | 14 025 218 |
| Veselības aprūpei | 320 344 | 0 | 320 344 |
| Atpūta, kultūra un reliģija | 10 272 606 | 327 875 | 10 600 481 |
| Izglītība | 56 523 820 | 1 169 897 | 57 693 717 |
| Sociālai aizsardzībai | 10 522 177 | 23 023 | 10 545 200 |
| KOPĀ: | 116 563 911 | 1 050 500 | 117 614 411 |
2. tabula. Ogres novada pašvaldības izdevumu izmaiņas 2023. gada jūlija grozījumos.
Ekonomiskā darbība – izdevumi 2023. gada jūlija budžeta grozījumos palielināti par 353 991 eiro. Sakarā ar darbu apjomu izmaiņām ir precizēti 2023. gadā plānotie izdevumi Saules prospekta, Ogrē būvniecībai, kuru realizācija tika uzsākta 2022. gadā un bija ņemts aizņēmums Covid-19 izraisītās krīzes seku mazināšanai un novēršanai palielināti par 64 129 eiro, kā arī jauna investīciju projekta "Madlienas pagasta autoceļš A1 posmā Aveni–Šūšeni pārbūve" realizācijas uzsākšanu 261 677 eiro, darbu pabeigšana pilnībā paredzēta 2024. gadā un šī projekta realizācijai plānots šogad ņemt 222 425 eiro lielu aizņēmumu.
Vides aizsardzība – izdevumi palielināti par 52 157 eiro. Pamatā izdevumu pieaugums 36 000 eiro apmērā paredzēts priekšizpētes dokumentācijas izstrādei deviņām Ogres novada pašvaldības publiskām ēkām, būvniecības dokumentācijas izstrādei un energoefektivitātes pasākumu veikšanai, kā arī jauna projekta "Ogres novada publisko ūdeņu zivju resursu aizsardzības pilnveide 3" realizācijai 11 260 eiro apmērā.
Pašvaldības teritoriju un mājokļu apsaimniekošana – izdevumi palielināti par 86 519 eiro. Tas saistīts ar izdevumu sadārdzināšanos par energoresursiem objektos, kas ir būvniecības procesā un par ko pašvaldība iekasē maksu no būvniekiem.
Atpūta, kultūra un reliģija – izdevumi palielināti par 327 875 eiro. Pamatā palielinājums ir saistīts ar papildu izdevumiem būvprojekta "Muzikālais teātris" izstrādei par 356 878 eiro.
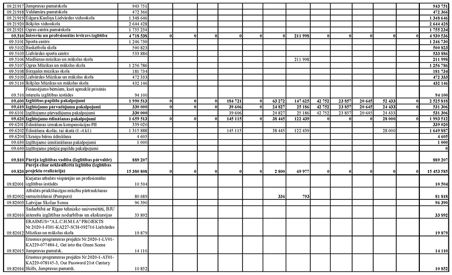
Izglītība – izdevumi palielināti par 1 169 897 eiro, tai skaitā mācību līdzekļu iegādei Izglītības iestādēs izdevumi palielināti par 183 897 eiro. Papildus Ogres 1. vidusskolai jaunas 1. klases atvēršanai – 8 686 eiro; Ogres Valsts ģimnāzijai 211 973 eiro laboratoriju aprīkojuma iegādei un uzstādīšanai; Ogres Centra pamatskolai tehniskās jaunrades metodiķa telpu iekārtošanai 30 000 eiro; Ogres sporta centram remontiem (avārijas seku novēršanai) – 11 310 eiro un jaunās sporta manēžas darbinieku atlīdzībai papildu 36 211eiro.
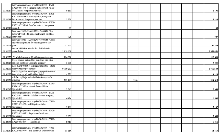
Finansējums "Pārējā citur neklasificētā izglītība" (izglītības projektu realizācijai) palielināts par 648 901 eiro. Pamatā tas ir saistīts ar ES projekta 8.1.2.SAM "Uzlabot vispārējās izglītības iestāžu mācību vidi Ogres novadā" papildu finansējumu aprīkojuma iegādei – 348 862 eiro. Papildus piešķirts finansējums ir arī projektam "Atbalsts izglītojamo individuālo kompetenču attīstībai" 102 149 eiro. Ir apstiprināti arī vairāki jauni Eiropas Savienības projekti, lielākais no tiem ir " Elektrotransporta un uzlādes stacijas iegāde Ogres novada pašvaldības skolēnu mobilitātes veicināšanai" 2023. gadā 232 727 eiro, šo projektu paredzēts realizēt divos gados.
Sociālā aizsardzība – 2023. gada budžeta grozījumos izdevumi palielināti par 23 023 eiro, pamatā tas ir saistīts ar papildus līdzekļu piešķiršanu sociālā dienesta transportlīdzekļa operatīvā līzinga maksājumiem 8 000 eiro. Sociālajā jomā plānots realizēt jaunu projektu "Sākotnējās profesionālās izglītības programmu īstenošana Jauniešu garantijas ietvaros" Nr. 7.2.1.2/15/I/001 – 22 741 eiro apmērā.
4. Ogres novada pašvaldības budžeta FINANSĒŠANA
AIZŅĒMUMI
Ogres novada pašvaldībai 2023. gada jūlija budžeta grozījumos plānoto aizņēmumu apjoms palielināts par 222 425 eiro.
|
Nr. p.k. |
Aizņēmumu mērķis |
2023. g. plānotie aizņēmumi (EUR) |
Grozījumi |
Koriģēti 2023. g. plānotie aizņēmumi (EUR) |
|
1 |
8.1.2.SAM "Uzlabot vispārējās izglītības iestāžu mācību vidi Ogres novadā" | 6 661 012 | 6 661 012 | |
|
2 |
ERAF "Pakalpojumu infrastruktūras attīstība deinstitucionalizācijas plānu īstenošanai" | 302 997 | 302 997 | |
|
3 |
Saules prospekta, Ogrē pārbūve | 63 423 | 63 423 | |
|
4 |
SIA "Lielvārdes Remte" pamatkapitāla palielināšanai KF projekta "Ūdenssaimniecības pakalpojumu attīstība Lielvārdē 3. kārta" īstenošanai | 683 978 | 683 978 | |
|
5 |
Jaunas VPII ēkas būvniecība pie Lielvārdes pamatskolas | 2 112 000 | 2 112 000 | |
|
6 |
Kaibalas skolas pārbūve par pirmsskolas izglītības iestādi | 563 200 | 563 200 | |
|
7 |
Lielvārdes pilsētas Uzvaras ielas seguma atjaunošana | 60 537 | 60 537 | |
|
8 |
Lielvārdes pilsētas Meža ielas seguma atjaunošana | 48 124 | 48 124 | |
|
9 |
Lielvārdes pilsētas Stacijas ielas seguma atjaunošana | 107 843 | 107 843 | |
|
10 |
Lielvārdes pilsētas Rembates ielas seguma atjaunošana | 143 088 | 143 088 | |
|
11 |
Lielvārdes pilsētas Andreja Pumpura ielas seguma atjaunošana | 113 689 | 113 689 | |
|
12 |
Pašvaldības meliorācijas sistēmu pārbūve Ogres novada Ogresgala pagasta Ciemupes ciema Zvejnieku, Celmlaužu (bij. Pionieru), Daugavas un Krasta ielas rajonā" (kopā abos gados 150 000) | 75 000 | 75 000 | |
|
13 |
Strēlnieku prospekta (no Dārza ielas līdz Jāņa Čakstes prospektam), Ogrē pārbūves būvprojekta izstrāde un autoruzraudzība | 616 543 | 616 543 | |
|
14 |
Madlienas pagasta autoceļa A1 posmā Aveni–Šūšeni pārbūve | 222 425 | 222 425 | |
| Kopā: | 11 551 434 | 222 425 | 11 773 859 |
3. tabula. Ogres novada pašvaldības plānoto aizņēmumu izmaiņas 2023. gada jūlija grozījumos.
Uz 2023. gada 20. jūliju Ogres novada pašvaldībai ir 104 aizņēmumu līgumi (2023. gadā ir noslēgts 1 jauns aizņēmumu līgums). Aizņēmumu atmaksai 2023. gada jūlija budžeta grozījumos izdevumi palielināti par 34 810 eiro.
| Projekta nosaukums | Palielinās Valsts kasei atgriežamais aizņēmums |
| "Ogres pašvaldības ēkas Skolas ielā 12, Ogrē energoefektivitātes paaugstināšana izmantojot atjaunojamos energoresursus" P-459/2021 | 34 810 |
4. tabula. Ogres novada pašvaldības aizņēmumu atmaksu izmaiņas 2023. gada jūlija grozījumos.
Līdzekļu atlikumu uz gada beigām Ogres novada pašvaldības 2023. gada jūlija grozījumos plānots samazināt par 55 375 eiro.
Ogres novada pašvaldības domes priekšsēdētājs E. Helmanis