
Ministru kabineta noteikumi: Šajā laidienā 4 Pēdējās nedēļas laikā 40 Visi
Šī publikācija ir precizēta.
Precizējums: OP 2022/58.1
Ministru kabineta noteikumi Nr. 177
Rīgā 2022. gada 8. martā (prot. Nr. 13 14. §)
Grozījumi Ministru kabineta 2020. gada 2. septembra noteikumos Nr. 560 "Noteikumi par elektroenerģijas ražošanu, izmantojot atjaunojamos energoresursus, kā arī par cenu noteikšanas kārtību un uzraudzību"
Izdoti saskaņā ar Elektroenerģijas tirgus likuma
29. panta ceturto daļu, 30.4 panta trešo daļu,
31.1 panta devīto daļu, 31.2 panta trešo
un piekto daļu, 31.3 panta trešo daļu,
31.4 panta ceturto daļu un 31.5 panta trešo daļu
1. Izdarīt Ministru kabineta 2020. gada 2. septembra noteikumos Nr. 560 "Noteikumi par elektroenerģijas ražošanu, izmantojot atjaunojamos energoresursus, kā arī par cenu noteikšanas kārtību un uzraudzību" (Latvijas Vēstnesis, 2020, 175. nr.) šādus grozījumus:
1.1. izteikt norādi, uz kāda likuma pamata noteikumi izdoti, šādā redakcijā:
"Izdoti saskaņā ar Elektroenerģijas tirgus likuma 29. panta ceturto daļu, 30.4 panta trešo daļu, 31.1 panta devīto daļu, 31.2 panta trešo un piekto daļu, 31.3 panta trešo daļu, 31.4 panta ceturto daļu un 31.5 panta trešo daļu";
1.2. papildināt noteikumus ar 1.12., 1.13. un 1.14. apakšpunktu šādā redakcijā:
"1.12. Elektroenerģijas tirgus likuma 31.4 panta pirmajā un otrajā daļā minēto aprēķinu veikšanas kārtību un nosacījumus;
1.13. elektrostacijas darbības vienotā tehnoloģiskā cikla principa piemērošanas nosacījumus un kārtību;
1.14. kārtību, kādā pārtrauc valsts atbalsta izmaksu un birojs pieņem lēmumu atcelt tiesības pārdot no atjaunojamiem energoresursiem saražoto elektroenerģiju obligātā iepirkuma ietvaros.";
1.3. papildināt noteikumus ar 2.1 punktu šādā redakcijā:
"2.1 Šie noteikumi attiecas arī uz Elektroenerģijas tirgus likuma pārejas noteikumu 52. punktā minētajiem elektroenerģijas ražotājiem (izņemot šo noteikumu 50.1, 50.2, 50.3, 50.4, 50.5 un 50.6 punktā minētos vienotā tehnoloģiskā cikla principa piemērošanas nosacījumus, II nodaļā, 23., 52. un 54. punktā minētās prasības attiecībā uz cenas aprēķināšanu un termiņu un IV1 nodaļā minētās prasības attiecībā uz pārkompensācijas izvērtēšanu un novēršanu).";
1.4. papildināt noteikumus ar 11.1 punktu šādā redakcijā:
"11.1 Ja birojs konstatē, ka komersants ir turpinājis saņemt valsts atbalstu pēc elektrostacijas pamatlīdzekļu pilna nolietojuma saskaņā ar normatīvajiem aktiem par grāmatvedības prasībām, birojs pieņem lēmumu par obligātā iepirkuma tiesību atcelšanu un šo noteikumu 61. punktā minēto lēmumu, nelikumīgi saņemto valsts atbalstu skaitot no dienas, kad iestājies elektrostacijas pamatlīdzekļu pilns nolietojums.";
1.5. papildināt noteikumus ar 12.1 punktu šādā redakcijā:
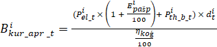
"12.1 Komersants ne biežāk kā reizi gadā, iesniedzot iesniegumu, var lūgt biroju palielināt vai samazināt šo noteikumu 10. punktā minētajās formulās izmantoto cenas diferencēšanas koeficientu pārkompensācijas novēršanai s, atbilstoši pārskatot atlikušo valsts atbalsta perioda ilgumu. Birojs pieņem lēmumu par šo noteikumu 10. punktā minētajās formulās izmantotā cenas diferencēšanas koeficienta pārkompensācijas novēršanai s un atlikušā valsts atbalsta perioda ilguma pārskatīšanu, ievērojot šo noteikumu 10. punktā minēto valsts atbalsta periodu ilgumu, kā arī šo noteikumu 59.11 un 59.12 punktā minētos nosacījumus.";
1.6. papildināt noteikumus ar 13.1 punktu šādā redakcijā:
"13.1 Šo noteikumu 13. punktā minēto kurināmā izejvielu piegādes attālums apjomam, kas pārsniedz to kurināmā izejvielu īpatsvaru, par kādu komersants, iesniedzot šo noteikumu 2.1. apakšpunktā minēto iesniegumu, ir saņēmis kvalifikācijas punktus, var pārsniegt šo noteikumu 5. pielikuma 2. punktā minēto attālumu.";
1.7. izteikt 21. punktu šādā redakcijā:
"21. Lai pārdotu no atjaunojamiem energoresursiem saražoto elektroenerģiju obligātā iepirkuma ietvaros:
21.1. elektrostaciju pieslēdz licencēta sistēmas operatora tīklam un aprīko ar saražotās, kā arī ar elektroenerģijas sistēmas operatora tīklā nodotās un no tīkla saņemtās elektroenerģijas komercuzskaites mēraparātiem, kas atbilst normatīvajiem aktiem par mērījumu vienotību;
21.2. šo noteikumu 3.2. un 3.3. apakšpunktā minēto elektrostaciju aprīko ar siltumenerģijas uzskaites mērīšanas līdzekļiem vai mērīšanas līdzekļu sistēmu, kas atbilst normatīvajiem aktiem par mērījumu vienotību, un nodrošina koģenerācijas iekārtā, atsevišķos siltumenerģijas ražošanas katlos vai citā veidā saražotās siltumenerģijas un lietderīgi izmantotās siltumenerģijas atsevišķu uzskaiti;
21.3. nodrošina biogāzes ražošanai izmantoto izejvielu uzskaiti;
21.4. nodrošina šo noteikumu 3.2. un 3.3. apakšpunktā minētās elektrostacijas koģenerācijas iekārtā izmantotā kurināmā, tai skaitā biogāzes, uzskaiti;
21.5. elektroenerģijas, siltumenerģijas un kurināmā uzskaites datus par esošo un iepriekšējo kalendāra gadu uzglabā elektrostacijā uz vietas un uzrāda biroja pārstāvjiem pārbaudes veikšanas brīdī;
21.6. nodrošina, ka šo noteikumu 3.2. un 3.3. apakšpunktā minētajā elektrostacijā saražotā siltumenerģija tiek izmantota lietderīgi, tai skaitā nodrošina, ka lietderīgās siltumenerģijas kopējā apjomā netiek ieskaitīta tāda siltumenerģija, ko izmanto elektrostacijas pašpatēriņam. Par lietderīgi izmantotu siltumenerģiju tiek uzskatīta:
21.6.1. šo noteikumu 3.2. apakšpunktā minētajās elektrostacijās (izņemot 21.6.2. apakšpunktā minētās elektrostacijas) – arī tāda siltumenerģija, kas tiek izmantota biogāzes ražošanas tehnoloģiskajām vajadzībām, bet ne vairāk kā 20 % apmērā no koģenerācijas iekārtā saražotās siltumenerģijas daudzuma norēķinu periodā laikposmā no kārtējā gada 1. aprīļa līdz 31. oktobrim un ne vairāk kā 40 % apmērā no koģenerācijas iekārtā saražotās siltumenerģijas daudzuma norēķinu periodā laikposmā no kārtējā gada 1. novembra līdz 31. martam;
21.6.2. biogāzes elektrostacijās, kas kā kurināmo izmanto poligonu gāzi, – visa saražotā siltumenerģija, ja pēc siltumenerģijas izmantošanas biogāzes ražošanas tehnoloģiskajām vajadzībām atlikušais siltumenerģijas apjoms pārsniedz 30 % no saražotās siltumenerģijas apjoma.";
1.8. papildināt 22. punktu aiz vārdiem "pieslēguma shēma ir" ar vārdiem "sagatavota saskaņā ar vienotā tehnoloģiskā cikla principu";
1.9. izteikt 25. punktu šādā redakcijā:
"25. Elektrostacijas principiālajā elektriskā pieslēguma shēmā komersants norāda visas elektrostacijas lietu kopībā ietilpstošās iekārtas un ierīces atbilstoši vienotā tehnoloģiskā cikla principam, tai skaitā to darbības nodrošināšanai izmantotās kurināmā sagatavošanas iekārtas un palīgiekārtas, šo noteikumu 21.1. apakšpunktā minētos mērīšanas līdzekļus un pieslēguma punktus sistēmas operatora tīklam, kas nosaka elektrostacijas robežas.";
1.10. papildināt noteikumus ar 25.1 punktu šādā redakcijā:
"25.1 Elektrostacijas siltumapgādes shēmā komersants norāda elektrostacijā esošās iekārtas un ierīces saskaņā ar vienotā tehnoloģiskā cikla principu, šo noteikumu 21.2. apakšpunktā minētos uzskaites mērīšanas līdzekļus vai mērīšanas līdzekļu sistēmas un norāda elektrostacijas robežas. Elektrostacijas kurināmā padeves shēmā komersants norāda iekārtas un ierīces saskaņā ar vienotā tehnoloģiskā cikla principu, kā arī mērīšanas līdzekļus, kas tiek izmantoti šo noteikumu 21.3. un 21.4. apakšpunktā minētajai izejvielu un kurināmā uzskaitei, un norāda elektrostacijas robežas.";
1.11. papildināt noteikumus ar 30.1, 30.2 un 30.3 punktu šādā redakcijā:
"30.1 Ja komersanta sniegtie dati atbilstoši biroja aprēķiniem liecina, ka elektroenerģijas pašpatēriņa apjoms ir mazāks, nekā attiecīgajai tehnoloģijai iespējams saskaņā ar vienotā tehnoloģiskā cikla principu vai iesniegtajām aktuālajām elektroenerģijas, siltumenerģijas un kurināmā padeves pieslēguma shēmām, birojs triju darbdienu laikā pēc šā fakta konstatēšanas pieņem lēmumu apturēt valsts atbalsta izmaksu par iepirkto elektroenerģiju par periodu no lēmuma spēkā stāšanās dienas līdz šo noteikumu 30.2 punktā minētā lēmuma pieņemšanas dienai.
30.2 Lai atjaunotu saskaņā ar šo noteikumu 30.1 punktu apturēto valsts atbalsta izmaksu, komersants mēneša laikā no dienas, kad stājies spēkā lēmums apturēt valsts atbalsta izmaksu par iepirkto elektroenerģiju, pierāda, ka elektrostacijā saražotās elektroenerģijas izlietošana tiek nodrošināta atbilstoši šo noteikumu 24. punktā minētajam nosacījumam. Birojs pārliecinās, ka komersanta sniegtā informācija pierāda atbilstību šo noteikumu 24. punktā minētajam nosacījumam, un mēneša laikā pieņem lēmumu par apturētās valsts atbalsta izmaksas atsākšanu. Publiskais tirgotājs apturēto valsts atbalsta izmaksu veic 10 kalendāra dienu laikā pēc minētā lēmuma spēkā stāšanās dienas.
30.3 Ja komersants šo noteikumu 30.2 punktā minētajā termiņā neiesniedz minētos pierādījumus vai ja pēc pierādījumu saņemšanas birojs konstatē, ka elektrostacijā saražotās elektroenerģijas izlietošana joprojām netiek nodrošināta atbilstoši šo noteikumu 24. punktā minētajam nosacījumam, birojs pieņem lēmumu par obligātā iepirkuma tiesību atcelšanu atbilstoši šo noteikumu 48.8. apakšpunktam.";
1.12. izteikt 31.3. apakšpunktu šādā redakcijā:
"31.3. ja saskaņā ar šo noteikumu 31.1. apakšpunktu aprēķinātais biogāzes vai biomasas elektrostacijas faktiskais kopējais lietderības koeficients ir mazāks nekā šo noteikumu 31.2.1. vai 31.2.2. apakšpunktā minētās vērtības, koģenerācijā saražotās elektroenerģijas daudzumu, kas atlicis pēc tās izlietošanas biogāzes vai biomasas elektrostacijas darbības nodrošināšanai, aprēķina, izmantojot šādu formulu:
EnpCHP = Qnp x α , kur
α – attiecība starp biogāzes vai biomasas elektrostacijā esošajās koģenerācijas iekārtās uzstādīto elektrisko jaudu un siltuma jaudu saskaņā ar tehniskās pases datiem ar nosacījumu, ka maksimāli pieļaujamā α vērtība šā aprēķina veikšanai ir vienāda ar 1,5. Ja šādi dati nav pieejami, minēto lielumu nosaka atkarībā no izmantotās koģenerācijas tehnoloģijas saskaņā ar šo noteikumu 3. pielikumu;";
1.13. papildināt III nodaļu ar 35.1, 35.2, 35.3, 35.4 un 35.5 punktu šādā redakcijā:
"35.1 Elektroenerģijas daudzumu, kas elektrostacijā saražots un nodots sistēmas operatora tīklā periodā, par kuru apturēts valsts atbalsts, komersants pārdod:
35.1 1. publiskajam tirgotājam par cenu, kas tiek aprēķināta, izmantojot šādu formulu:
C = CNPS – X (bez PVN), kur
C – cena bez pievienotās vērtības nodokļa, par kādu publiskais tirgotājs iepērk no elektrostacijas elektroenerģiju (euro/MWh) periodā, kurā apturēts valsts atbalsts;
CNPS – elektroenerģijas biržas Nord Pool Spot Latvijas tirdzniecības apgabala (Elspot) ikstundas cena;
X – publiskā tirgotāja noteikta maksa, kas ietver pārdošanas un balansēšanas izmaksas un kuru publiskais tirgotājs publicē savā tīmekļvietnē;
35.1 2. jebkuram tirgus dalībniekam, savstarpēji vienojoties par elektroenerģijas cenu, par to rakstveidā paziņojot publiskajam tirgotājam vismaz piecas dienas pirms tirdzniecības uzsākšanas citam tirgus dalībniekam. Laikposmā, kamēr komersants pārdod elektroenerģiju citam tirgus dalībniekam, starp publisko tirgotāju un komersantu noslēgtā līguma darbība tiek apturēta un publiskais tirgotājs komersanta elektrostacijai nesniedz balansēšanas pakalpojumu.
35.2 Komersants, kuram ir obligātā iepirkuma tiesības, reģistrē elektroenerģijas ražošanas iekārtu pārvades sistēmas operatora uzturētajā izcelsmes apliecinājumu reģistrā, kā izcelsmes apliecinājumu saņēmēju norādot publisko tirgotāju.
35.3 Komersants, kuram ir obligātā iepirkuma tiesības un kura koģenerācijas elektrostacijā uzstādītā elektroenerģijas ražošanas iekārta ir reģistrēta pārvades sistēmas operatora uzturētajā izcelsmes apliecinājumu reģistrā, un kura elektrostacijā enerģijas ražošanai tiek izmantoti un Eiropas Enerģijas sertifikācijas izcelsmes apliecinājumu sistēmā ir reģistrēti vairāki kurināmā vai enerģijas avota veidi, iesniedz pārvades sistēmas operatoram un publiskajam tirgotājam neatkarīga akreditēta auditora apstiprinātas jaukto enerģijas avotu ražošanas vienības deklarācijas ne vēlāk kā piecu mēnešu laikā pēc deklarācijas perioda, kas ir viens kalendāra mēnesis, sākuma.
35.4 Komersants, kas ieguvis tiesības pārdot no atjaunojamiem energoresursiem saražoto elektroenerģiju obligātā iepirkuma ietvaros, iesniedz pārvades sistēmas operatoram saražotās elektroenerģijas izcelsmes apliecinājumu izsniegšanai nepieciešamo informāciju.
35.5 Birojs apstiprina tā rīcībā esošo informāciju par elektroenerģijas ražošanas iekārtām, kas nepieciešama saražotās elektroenerģijas izcelsmes apliecinājumu izsniegšanai, un nosūta to pārvades sistēmas operatoram.";
1.14. izteikt IV nodaļas nosaukumu šādā redakcijā:
"IV. Obligātā iepirkuma tiesību izmantošanas uzraudzība";
1.15. izteikt 38. punkta ievaddaļu šādā redakcijā:
"38. Komersants, kurš izmanto obligātā iepirkuma tiesības, katru gadu līdz 1. martam iesniedz birojā pārskatu par elektrostacijas darbību iepriekšējā gadā atbilstoši šo noteikumu 4. pielikumam. Pārskatu iesniedz elektroniskajā sistēmā, kas paredzēta elektrostaciju gada pārskatu iesniegšanai. Sistēmas operators pēc biroja pieprasījuma iesniedz datus par elektroenerģijas apjomu, kuru komersants nodevis tīklā un saņēmis no tīkla, ieskaitot datus par minētās elektroenerģijas apjomu tajos elektroenerģijas pieslēguma punktos, kas ir tieši vai netieši (pastarpināti) saistīti ar elektrostaciju un tās iekārtām un ierīcēm atbilstoši vienotā tehnoloģiskā cikla principam. Pārskatā ietver šādu informāciju un pievieno šādus dokumentus:";
1.16. izteikt 38.2. apakšpunktu šādā redakcijā:
"38.2. akreditētas institūcijas (turpmāk – auditors) ziņojumu par saražoto siltumenerģiju, lietderīgo siltumenerģiju un patērēto kurināmo, tai skaitā izejvielu īpatsvaru atbilstoši šo noteikumu 13. un 15. punktam, ar norādi par elektrostacijas atbilstību minētajiem kritērijiem, kā arī minētā auditora sagatavotu detalizētu ziņojumu par biomasas vai biogāzes elektrostacijas gada pārskatā sniegtās informācijas atbilstību un pamatotību, kā arī par veiktajām darbībām un pārbaudītajiem dokumentiem, tostarp pievieno sarakstu, kurā norādīti šo noteikumu 21. punktā minēto mērīšanas līdzekļu numuri un verificēšanas vai kalibrēšanas termiņi;";
1.17. papildināt noteikumus ar 39.1 punktu šādā redakcijā:
"39.1 Ja komersants pēc obligātā iepirkuma tiesību atcelšanas vai pēc valsts atbalsta termiņa beigām šo noteikumu 39. punktā minētajā termiņā nav iesniedzis šo noteikumu 38. punktā minēto gada pārskatu, birojs mēneša laikā nosūta brīdinājumu par nepamatoti vai nelikumīgi saņemtā valsts atbalsta atmaksāšanu. Ja komersants mēneša laikā pēc šajā punktā minētā brīdinājuma saņemšanas neiesniedz gada pārskatu, birojs pieņem lēmumu par pienākumu komersantam mēneša laikā atmaksāt publiskajam tirgotājam saņemto nepamatoto vai nelikumīgo valsts atbalstu.";
1.18. izteikt 40. un 41. punktu šādā redakcijā:
"40. Šo noteikumu 38.2. apakšpunktā minētais auditors ir juridiska persona, kura ir akreditēta nacionālajā akreditācijas institūcijā kā neatkarīga trešās puses inspicēšanas institūcija atbilstoši normatīvajiem aktiem par atbilstības novērtēšanas institūciju novērtēšanu, akreditāciju un uzraudzību.
41. Komersantam, kurš līdz 1. martam nav iesniedzis šo noteikumu 38. punktā minēto gada pārskatu, birojs mēneša laikā nosūta brīdinājumu par iespējamu obligātā iepirkuma tiesību zaudēšanu. Ja komersants divu mēnešu laikā pēc šajā punktā minētā brīdinājuma saņemšanas neiesniedz gada pārskatu, birojs pieņem lēmumu par komersantam piešķirto obligātā iepirkuma tiesību atcelšanu un lēmumu par pienākumu komersantam mēneša laikā atmaksāt publiskajam tirgotājam saņemto nepamatoto vai nelikumīgo valsts atbalstu.";
1.19. papildināt noteikumus ar 42.1 un 42.2 punktu šādā redakcijā:
"42.1 Komersantam ir pienākums glabāt ar valsts atbalsta saņemšanu saistītos dokumentus par visu valsts atbalsta periodu vismaz 10 gadus pēc valsts atbalsta perioda beigām. Šo termiņu skaita no dienas, kad komersants ir saņēmis pēdējo valsts atbalsta maksājumu.
42.2 Komercdarbības atbalsta kontroles likumā minētais atbalsta sniedzējs glabā ar valsts atbalsta sniegšanu saistītos dokumentus 10 gadus pēc kopējā valsts atbalsta perioda beigām. Šo termiņu skaita no dienas, kad beidzies valsts atbalsta izmaksas termiņš pēdējam valsts atbalsta saņēmējam.";
1.20. izteikt 45. punktu šādā redakcijā:
"45. Ja publiskā tirgotāja rīcībā ir informācija par iespējamu elektrostacijas neatbilstību normatīvajiem aktiem, tas nekavējoties par to informē biroju. Lai pārliecinātos par elektrostacijas atbilstību, birojs ir tiesīgs pieprasīt, lai komersants iesniedz papildu informāciju un skaidrojumus. Komersantam ir pienākums pēc biroja pieprasījuma saņemšanas iesniegt pieprasīto informāciju. Ja komersants biroja noteiktajā termiņā, kas nav mazāks par 10 darbdienām, nesniedz pieprasīto informāciju, birojs var lemt par komersantam piešķirto obligātā iepirkuma tiesību atcelšanu.";
1.21. izteikt 47. punkta ievaddaļas otro teikumu šādā redakcijā:
"Komersantam ir pienākums nodrošināt biroja pārstāvjiem piekļuvi elektrostacijai, tai skaitā kurināmā sagatavošanas iekārtām, mērīšanas līdzekļiem un lietderīgā siltuma nodošanas mērīšanas līdzekļiem (arī tad, ja tie atrodas ārpus elektrostacijas).";
1.22. papildināt noteikumus ar 47.4.1 apakšpunktu šādā redakcijā:
"47.4.1 ja komersants nav nodrošinājis biroja pārstāvjiem iespēju veikt elektrostacijas pārbaudi, birojs nekavējoties pieņem lēmumu apturēt valsts atbalsta izmaksu par iepirkto elektroenerģiju par periodu no lēmuma spēkā stāšanās dienas līdz šo noteikumu 47.8.1. vai 47.9. apakšpunktā minētā lēmuma pieņemšanas dienai;";
1.23. papildināt noteikumus ar 47.8. un 47.9. apakšpunktu šādā redakcijā:
"47.8. pēc šo noteikumu 47.3. vai 47.4. apakšpunktā minētās atkārtotās pārbaudes veikšanas birojs atkarībā no šo noteikumu 47.7. apakšpunktā minētā pārbaudes aktā konstatētā veic vienu no šādām darbībām:
47.8.1. ja birojs guvis pārliecību, ka elektrostacijas darbībā tiek nodrošinātas šajos noteikumos un Elektroenerģijas tirgus likumā noteiktās prasības, tas pieņem lēmumu par saskaņā ar šo noteikumu 47.4.1 apakšpunktu apturētās valsts atbalsta izmaksas atsākšanu. Publiskais tirgotājs apturēto valsts atbalsta izmaksu veic 10 kalendāra dienu laikā pēc minētā lēmuma spēkā stāšanās dienas;
47.8.2. ja birojs elektrostacijas darbībā konstatējis šo noteikumu vai Elektroenerģijas tirgus likuma pārkāpumu, tas izsaka brīdinājumu vai pieņem lēmumu atbilstoši šajos noteikumos noteiktajam;
47.9. ja birojs pēc šo noteikumu 47.3. vai 47.4. apakšpunktā minētās atkārtotās pārbaudes veikšanas izteicis brīdinājumu un pārkāpums, par kuru izteikts brīdinājums, ir novērsts, birojs pieņem lēmumu par saskaņā ar šo noteikumu 47.4.1 apakšpunktu apturētās valsts atbalsta izmaksas atsākšanu. Publiskais tirgotājs apturēto valsts atbalsta izmaksu veic 10 kalendāra dienu laikā pēc minētā lēmuma spēkā stāšanās dienas.";
1.24. svītrot 48.4. apakšpunktā vārdu "tehnoloģiski";
1.25. izteikt 48.5. apakšpunktu šādā redakcijā:
"48.5. ja netiek veikta kurināmā vai kurināmā izejvielu uzskaite atbilstoši šo noteikumu 21. punktam vai elektrostacijā nav uzstādīti mērīšanas līdzekļi vai mērīšanas līdzekļu sistēmas;";
1.26. svītrot 48.7. apakšpunktu;
1.27. svītrot 48.8. apakšpunktā vārdus "saskaņā ar šiem noteikumiem";
1.28. papildināt noteikumus ar 48.9. apakšpunktu šādā redakcijā:
"48.9. birojs konstatē, ka komersants ir zaudējis elektrostacijas īpašuma vai lietojuma tiesības.";
1.29. papildināt noteikumus ar 48.1 punktu šādā redakcijā:
"48.1 Ja birojs biogāzes vai biomasas elektrostacijā konstatē izmantotā kurināmā veida izmaiņas un izmantotais kurināmais atbilst šajos noteikumos noteiktajiem obligātā iepirkuma tiesību iegūšanas un izmantošanas nosacījumiem, bet veiktās izmaiņas nav saskaņotas ar biroju, tas nosūta komersantam brīdinājumu par iespējamu obligātā iepirkuma tiesību zaudēšanu. Komersants divu mēnešu laikā pēc šajā punktā minētā brīdinājuma saņemšanas izmaiņas kurināmā izmantošanā saskaņo ar biroju. Ja komersants minētās izmaiņas nesaskaņo, birojs mēneša laikā pieņem lēmumu par obligātā iepirkuma tiesību atcelšanu.";
1.30. izteikt 49. punktu šādā redakcijā:
"49. Birojs nosūta komersantam brīdinājumu par iespējamu obligātā iepirkuma tiesību zaudēšanu, ja konstatē, ka elektrostacija neatbilst vai periodā, par kuru iesniegts šo noteikumu 38. punktā minētais gada pārskats, nav atbildusi vismaz vienam no šādiem kritērijiem:
49.1. elektrostacijā uzstādītā elektriskā jauda, kas pieslēgta sistēmas operatora tīklam, neatbilst līgumā ar publisko tirgotāju norādītajai jaudai;
49.2. komersants nav iesniedzis birojā šo noteikumu 21.1. un 21.2. apakšpunktā minēto mērīšanas līdzekļu (izņemot sistēmas operatora komercuzskaites mēraparātus) verificēšanas sertifikātus vai birojs konstatē, ka elektrostacijā uzstādītie mērīšanas līdzekļi nav atbilstoši šo noteikumu 21.1. vai 21.2. apakšpunktā minētajām prasībām;
49.3. elektrostacija neatbilst normatīvajiem aktiem, kas nosaka prasības elektrostaciju darbībai enerģētikas jomā, vai konstatēta tāda neatbilstība šo noteikumu prasībām, par kuru nav noteikta brīdinājuma izteikšana vai lēmuma pieņemšana saskaņā ar kādu citu šo noteikumu punktu, ja šī neatbilstība var ietekmēt izmaksājamā valsts atbalsta apmēru;
49.4. elektrostacijā neatrodas uzskaites dati par esošo un iepriekšējo kalendāra gadu vai tie nav tikuši uzrādīti biroja pārstāvjiem pārbaudes veikšanas brīdī;
49.5. komersanta iesniegtā šo noteikumu 14. punktā minētā informācija vai informācija par biogāzes elektrostacijā patērēto kurināmā daudzumu un lietderīgās siltumenerģijas daudzumu, ko komersants iesniedz publiskajam tirgotājam, vai šo noteikumu 38. punktā minētajā gada pārskatā minētā informācija neatbilst faktiskajai situācijai un šāda minētās informācijas neatbilstība ietekmējusi izmaksājamā valsts atbalsta apmēru, tādējādi publiskais tirgotājs iepircis elektroenerģiju obligātā iepirkuma ietvaros par lielāku cenu vai lielākā apmērā, nekā pienāktos.";
1.31. papildināt 50. punkta ievaddaļu aiz vārdiem "lietderīgu elektrostacijā saražotās siltumenerģijas izmantošanu" ar vārdiem "atbilstoši vienotā tehnoloģiskā cikla principam";
1.32. papildināt noteikumus ar 50.1, 50.2, 50.3, 50.4, 50.5 un 50.6 punktu šādā redakcijā:
"50.1 Ja birojs konstatē, ka vairākas elektrostacijas, attiecībā uz kurām komersantam vai komersantiem ir spēkā esošas obligātā iepirkuma tiesības, atbilstoši vienotā tehnoloģiskā cikla principam ir uzskatāmas par vienu elektrostaciju, bet tās darbojas kā vairākas atsevišķas elektrostacijas, birojs 10 darbdienu laikā pēc šā fakta konstatēšanas pieņem lēmumu apturēt valsts atbalstu par iepirkto elektroenerģiju par periodu no lēmuma spēkā stāšanās dienas līdz šo noteikumu 50.2 1. apakšpunktā vai 50.3 punktā minētā lēmuma pieņemšanas dienai.
50.2 Ja komersants iesniedz birojā dokumentus, kas pierāda, ka elektrostacijā tiek ievērots vienotā tehnoloģiskā cikla princips, kā arī šo noteikumu 25. punktā minēto principiālo elektrisko pieslēgumu shēmu, birojs pārliecinās par elektrostacijas atbilstību vienotā tehnoloģiskā cikla principam un mēneša laikā:
50.2 1. konstatējot, ka neatbilstība vienotā tehnoloģiskā cikla principam ir novērsta, pieņem lēmumu par saskaņā ar šo noteikumu 50.1 punktu apturētā valsts atbalsta atsākšanu. Publiskais tirgotājs apturēto valsts atbalstu atsāk no minētā lēmuma spēkā stāšanās dienas vai, ja neatbilstības novēršanai elektrostacijas tikušas apvienotas atbilstoši šo noteikumu 50.5 punktam, no šo noteikumu 50.5 punktā minēto lēmuma grozījumu spēkā stāšanās dienas;
50.2 2. konstatējot, ka neatbilstība vienotā tehnoloģiskā cikla principam nav novērsta, par to informē komersantu un saskaņā ar šo noteikumu 50.1 punktu apturēto valsts atbalstu neatsāk.
50.3 Ja komersants sešu mēnešu laikā no šo noteikumu 50.1 punktā minētā lēmuma spēkā stāšanās dienas birojam neiesniedz dokumentus, kas pierāda, ka ir novērsta neatbilstība, kuras dēļ pieņemts šo noteikumu 50.1 punktā minētais lēmums, birojs pieņem lēmumu par obligātā iepirkuma tiesību atcelšanu.
50.4 Lai novērstu šo noteikumu 50.1 punktā minēto neatbilstību vienotā tehnoloģiskā cikla principam, komersanti ir tiesīgi veikt elektrostaciju un komersantu apvienošanu un nodot obligātā iepirkuma tiesības vienam no apvienojamiem komersantiem. Šādā gadījumā visu apvienojamo elektrostaciju šo noteikumu 2.2. apakšpunktā minētajā lēmumā norādītās obligātā iepirkuma ietvaros iepērkamās elektroenerģijas apjomu pieskaita tai elektrostacijai, kurai no visām apvienotajām ir visilgākais atlikušais valsts atbalsta termiņš (turpmāk – apvienojošā elektrostacija).
50.5 Komersants, kurš ir apvienojošās elektrostacijas īpašnieks, iesniedz birojam dokumentus, kas pierāda apvienošanu, un šo noteikumu 25. punktā minēto elektrostacijas principiālo elektriskā pieslēguma shēmu. Birojs pēc elektrostaciju apvienošanas veic grozījumus šo noteikumu 2.2. apakšpunktā minētajā lēmumā, kas pieņemts attiecībā uz apvienojošo elektrostaciju, nosakot obligātā iepirkuma ietvaros iepērkamās elektroenerģijas apjomu atbilstoši tiem valsts atbalsta saņemšanas termiņiem, kādi izriet no noteikto elektroenerģijas apjomu pārdošanas uzsākšanas obligātā iepirkuma ietvaros, obligātā iepirkuma ietvaros iepērkamās elektroenerģijas aprēķinam piemērojamos pieslēguma vietu sistēmas operatora tīkliem mērījumu punktus un kopējo uzstādīto elektrisko jaudu, kā arī visu minēto lielumu izmaiņas atlikušajā valsts atbalsta periodā atbilstoši apvienotajām elektrostacijām piešķirtajām obligātā iepirkuma tiesībām. Birojs vienlaikus atceļ tos šo noteikumu 2.2. apakšpunktā minētos lēmumus, kas pieņemti attiecībā uz elektrostacijām, kuras pēc apvienošanas vairs nepastāv kā atsevišķas elektrostacijas.
50.6 Ja šo noteikumu 50.1 punktā minēto neatbilstību vienotā tehnoloģiskā cikla principam birojs konstatējis attiecībā uz šo noteikumu 50.5 punktā minēto komersantu, kuram nodotas tiesības un kurš apvieno elektrostaciju, kuras darbību reglamentē šie noteikumi, un elektrostaciju, kuras darbību reglamentē Ministru kabineta 2020. gada 2. septembra noteikumi Nr. 561 "Noteikumi par elektroenerģijas ražošanu, uzraudzību un cenu noteikšanu, ražojot elektroenerģiju koģenerācijā", tā turpmākai darbībai no šo noteikumu 50.5 punktā minētā lēmuma grozījumu spēkā stāšanās dienas piemēro Ministru kabineta 2020. gada 2. septembra noteikumus Nr. 561 "Noteikumi par elektroenerģijas ražošanu, uzraudzību un cenu noteikšanu, ražojot elektroenerģiju koģenerācijā".";
1.33. svītrot 51. punktu;
1.34. aizstāt 53. punktā vārdus "obligātā iepirkuma ietvaros pārdotās" ar vārdiem "tīklā nodotās";
1.35. svītrot 55. punktā skaitļus un vārdus "49.1., 49.3. vai 49.4. apakšpunktā vai 51. punktā";
1.36. papildināt noteikumus ar 55.1 un 55.2 punktu šādā redakcijā:
"55.1 Sešu mēnešu laikā pēc šo noteikumu 49.1. apakšpunktā minētā brīdinājuma saņemšanas komersants, kam ir obligātā iepirkuma tiesības, nodrošina elektrostacijas atbilstību attiecīgajam kritērijam un iesniedz birojā dokumentus, kas pierāda attiecīgo atbilstību.
55.2 Četru mēnešu laikā pēc šo noteikumu 49.3. apakšpunktā minētā brīdinājuma saņemšanas komersants, kam ir obligātā iepirkuma tiesības, nodrošina elektrostacijas atbilstību attiecīgajam kritērijam un iesniedz birojā dokumentus, kas pierāda attiecīgo atbilstību.";
1.37. izteikt 56. punktu šādā redakcijā:
"56. Vienlaikus ar šo noteikumu 49.2. apakšpunktā minēto brīdinājumu birojs pieņem lēmumu apturēt valsts atbalstu par iepirkto elektroenerģiju par periodu no lēmuma spēkā stāšanās dienas līdz šo noteikumu 56.2 punktā minētā lēmuma pieņemšanas dienai, kā arī lēmumu par pienākumu komersantam mēneša laikā atmaksāt publiskajam tirgotājam saņemto nepamatoto valsts atbalstu.";
1.38. papildināt noteikumus ar 56.1, 56.2, 56.3, 56.4 un 56.5 punktu šādā redakcijā:
"56.1 Lai atjaunotu ar šo noteikumu 56. punktu apturēto valsts atbalstu, komersants divu mēnešu laikā pēc šo noteikumu 49.2. apakšpunktā minētā brīdinājuma saņemšanas nodrošina elektrostacijas atbilstību attiecīgajam kritērijam. Ja komersants ir atmaksājis publiskajam tirgotājam nepamatoti izmaksāto valsts atbalstu, birojs mēneša laikā pieņem lēmumu par saskaņā ar šo noteikumu 56. punktu apturētā valsts atbalsta atsākšanu. Publiskais tirgotājs apturēto valsts atbalstu atsāk no minētā lēmuma spēkā stāšanās dienas.
56.2 Ja komersants saskaņā ar šo noteikumu 56.1 punktu nenodrošina elektrostacijas atbilstību attiecīgajam kritērijam vai nepamatoti saņemtā valsts atbalsta atmaksāšanu publiskajam tirgotājam, birojs mēneša laikā pieņem lēmumu par obligātā iepirkuma tiesību atcelšanu.
56.3 Vienlaikus ar šo noteikumu 49.5. apakšpunktā minēto brīdinājumu birojs pieņem lēmumu apturēt valsts atbalstu par iepirkto elektroenerģiju par periodu no lēmuma spēkā stāšanās dienas līdz šo noteikumu 56.4 punktā minētā lēmuma pieņemšanas dienai, kā arī lēmumu par pienākumu komersantam mēneša laikā atmaksāt publiskajam tirgotājam saņemto nepamatoto valsts atbalstu, ko publiskais tirgotājs izmaksājis par periodu, kurā attiecīgā neatbilstība ir konstatēta.
56.4 Ja komersants saskaņā ar šo noteikumu 56.3 punktu ir atmaksājis publiskajam tirgotājam nepamatoti saņemto valsts atbalstu, birojs mēneša laikā pieņem lēmumu par saskaņā ar šo noteikumu 56.3 punktu apturētā valsts atbalsta atsākšanu. Publiskais tirgotājs apturēto valsts atbalstu atsāk no minētā lēmuma spēkā stāšanās dienas.
56.5 Ja komersants nenodrošina nepamatoti saņemtā valsts atbalsta atmaksāšanu saskaņā ar šo noteikumu 56.3 punktu, birojs mēneša laikā pieņem lēmumu par obligātā iepirkuma tiesību atcelšanu.";
1.39. svītrot 58. punktā vārdus un skaitli "vai 51. punktā";
1.40. izteikt 59. punktu šādā redakcijā:
"59. Ja pēc šo noteikumu 55., 55.1 vai 55.2 punktā minētā termiņa tiek konstatēta neatbilstība šo noteikumu 43. punktā vai 49.1. vai 49.3. apakšpunktā minētajiem kritērijiem vai ja komersants nav iesniedzis šo noteikumu 55.1 punktā minētos dokumentus par atbilstību šo noteikumu 49.1. apakšpunktam vai šo noteikumu 55.1 punktā minētos dokumentus par atbilstību šo noteikumu 49.3. apakšpunktam, birojs mēneša laikā pieņem lēmumu, ar kuru atceļ komersantam piešķirtās obligātā iepirkuma tiesības.";
1.41. papildināt IV nodaļu ar 59.1, 59.2 un 59.3 punktu šādā redakcijā:
"59.1 Birojs, veicot obligātā iepirkuma tiesību izmantošanas uzraudzību, var piesaistīt ārējo ekspertu.
59.2 Pārvades sistēmas operators katru mēnesi līdz desmitajam datumam sniedz birojam informāciju par tiem komersantiem, kuri šo noteikumu 35.3 punktā noteiktajā termiņā par to īpašumā esošajām elektrostacijām nav iesnieguši neatkarīga akreditēta auditora apstiprinātu deklarāciju. Birojs piecu darbdienu laikā pēc pārvades sistēmas operatora sniegtās informācijas saņemšanas pieņem lēmumu apturēt valsts atbalsta izmaksu par šajā punktā minētajās elektrostacijās saražoto elektroenerģiju par periodu kopš šo noteikumu 35.3 punktā minētā termiņa beigām.
59.3 Ja komersants vēlas atjaunot saskaņā ar šo noteikumu 59.2 punktu apturēto valsts atbalsta izmaksu par iepirkto elektroenerģiju, tas iesniedz birojā apliecinājumu par šo noteikumu 35.3 punktā minēto neatkarīga akreditēta auditora apstiprinātu jaukto enerģijas avotu ražošanas vienības deklarāciju iesniegšanu pārvades sistēmas operatoram. Birojs triju darbdienu laikā pārliecinās par minēto deklarāciju iesniegšanas faktu. Ja birojs konstatē, ka atbilstoši sniegtajam apliecinājumam minētās deklarācijas ir iesniegtas pārvades sistēmas operatoram, birojs piecu darbdienu laikā pieņem lēmumu par saskaņā ar šo noteikumu 59.2 punktu apturētās valsts atbalsta izmaksas atsākšanu. Publiskais tirgotājs apturēto valsts atbalsta izmaksu veic 10 kalendāra dienu laikā pēc minētā lēmuma spēkā stāšanās dienas.";
1.42. papildināt noteikumus ar IV1 nodaļu šādā redakcijā:
"IV1. Elektrostacijas kopējo kapitālieguldījumu iekšējās peļņas normas aprēķina veikšanas kārtība un nosacījumi
59.4 Birojs veic aprēķinu par elektrostacijas kopējo kapitālieguldījumu iekšējo peļņas normu visam valsts atbalsta periodam saskaņā ar šo noteikumu 59.10 punktu. Birojs nosaka cenas diferencēšanas koeficientu pārkompensācijas novēršanai saskaņā ar šo noteikumu 59.12 punktu un pieņem lēmumu, ar kuru nosaka cenas diferencēšanas koeficientu pārkompensācijas novēršanai s. Lēmumā nosaka tā piemērošanas sākuma datumu.
59.5 Birojs elektrostacijas kopējo kapitālieguldījumu iekšējās peļņas normas pārrēķinu visam valsts atbalsta periodam un cenas diferencēšanas koeficienta pārkompensācijas novēršanai s aprēķinu veic reizi gadā, kā arī šādos gadījumos:
59.5 1. ja tiek konstatētas elektrostacijas uzstādītās elektriskās vai siltuma jaudas izmaiņas, tostarp īstenojot šo noteikumu 50.4 punktā minēto apvienošanu;
59.5 2. ja tiek pārskatītas un mainītas šo noteikumu 6. pielikumā minētās vērtības;
59.5 3. ja tiek konstatēti elektrostacijas pārkompensācijas riski;
59.5 4. mēneša laikā no brīža, kad komersantam ir beigušās obligātā iepirkuma tiesības;
59.5 5. mēneša laikā no brīža, kad komersants saskaņā ar šo noteikumu 19. punktu ir iesniedzis iesniegumu par atteikšanos no obligātā iepirkuma tiesībām, vai no brīža, kad pieņemts lēmums par obligātā iepirkuma tiesību atcelšanu pirms obligātā iepirkuma tiesību beigu datuma.
59.6 Komersantam ir pienākums pastāvīgi sekot līdzi rādītājiem, kas var ietekmēt kopējo kapitālieguldījumu iekšējās peļņas normu, un nekavējoties informēt biroju par apstākļiem, kas var norādīt uz pārkompensācijas risku iestāšanos.
59.7 Birojs ir tiesīgs pieprasīt, lai komersants iesniedz informāciju un dokumentus, kas nepieciešami kopējo kapitālieguldījumu iekšējās peļņas normas aprēķina veikšanai. Komersantam ir pienākums 10 darbdienu laikā pēc biroja pieprasījuma saņemšanas iesniegt pieprasīto informāciju.
59.8 Ja komersants noteiktajā termiņā neiesniedz šo noteikumu 59.7 punktā minēto informāciju un dokumentus (izņemot šo noteikumu 59.10 5., 59.10 6. un 59.10 9. apakšpunktā minētos gadījumus) vai ja komersanta iesniegtā informācija un dokumenti nav pilnīgi vai līdz tiesisku pierādījumu ticamības pakāpei nepierāda komersanta sniegtās ziņas, birojs pieņem lēmumu apturēt valsts atbalsta izmaksu par iepirkto elektroenerģiju. Publiskais tirgotājs nākamajā darbdienā pēc lēmuma stāšanās spēkā aptur valsts atbalsta izmaksu par iepirkto elektroenerģiju līdz jauna biroja lēmuma pieņemšanai saskaņā ar šo noteikumu 59.9 punktu.
59.9 Ja komersants vēlas atjaunot saskaņā ar šo noteikumu 59.8 punktu apturēto valsts atbalsta izmaksu, tas divu mēnešu laikā pēc valsts atbalsta izmaksas apturēšanas iesniedz birojā šo noteikumu 59.7 punktā minēto informāciju un dokumentus. Birojs piecu darbdienu laikā pēc minētās informācijas un dokumentu saņemšanas pieņem lēmumu par saskaņā ar šo noteikumu 59.8 punktu apturētā valsts atbalsta izmaksas atsākšanu. Publiskais tirgotājs apturētā valsts atbalsta izmaksu veic 10 kalendāra dienu laikā pēc minētā lēmuma spēkā stāšanās dienas. Ja komersants divu mēnešu laikā nesniedz pieprasīto informāciju un dokumentus, birojs pieņem lēmumu par komersantam piešķirto obligātā iepirkuma tiesību atcelšanu.
59.10 Birojs elektrostacijas kopējo kapitālieguldījumu iekšējās peļņas normas aprēķinu veic šādā kārtībā:
59.10 1. aprēķinā izmanto šo noteikumu 6. pielikumā minētās formulas;
59.10 2. aprēķinam nepieciešamos datus par elektroenerģijas apjomu un cenu, kas iepirkta obligātā iepirkuma ietvaros, pieprasa publiskajam tirgotājam;
59.10 3. aprēķinā norāda elektrostacijas darbību raksturojošo rādītāju faktiskās vērtības gan ieņēmumu, gan izdevumu daļā, izņemot elektrostacijas ekspluatācijas izmaksu vērtības, ko nosaka atbilstoši šo noteikumu 6. pielikumā minētajām līmeņatzīmēm;
59.10 4. elektrostacijas ekspluatācijas izmaksas nosaka atbilstoši šo noteikumu 6. pielikumā minētajām līmeņatzīmēm procentuāli no elektrostacijā veiktajām investīcijām un atkarībā no elektrostacijas veida;
59.10 5. ja komersants nevar iesniegt elektrostacijā veikto sākotnējo investīciju faktiskos datus, tad, veicot aprēķinu, tiek pieņemts, ka elektrostacijā veikto sākotnējo investīciju apjoms ir vienāds ar 0 (izņemot šo noteikumu 59.10 9. apakšpunktā minēto gadījumu);
59.10 6. ja komersants par kādu elektrostacijas darbības periodu nevar iesniegt kurināmā cenas vai siltumenerģijas ražošanas tarifa faktiskos datus, tad aprēķinā par šo periodu, kas nav īsāks par vienu kalendāra mēnesi, izmanto šo noteikumu 6. pielikumā minētās līmeņatzīmes;
59.10 7. ja elektrostacijā saražotā elektroenerģija tiek pārdota ārpus obligātā iepirkuma, komersants iesniedz pārdotās elektroenerģijas apjoma un cenas faktiskās vērtības par katru norēķinu periodu;
59.10 8. tīrās naudas plūsmas aprēķinā iekļauj tikai tās elektrostacijā veiktās faktiskās papildu investīcijas, kas veiktas, lai atbilstoši ražošanas tehnoloģijai nodrošinātu elektrostacijas tehnoloģiskās funkcijas atbilstoši vienotā tehnoloģiskā cikla principam vai palielinātu elektrostacijas elektrisko jaudu. Tīrās naudas plūsmas aprēķinā papildu investīciju apjomu (izteiktu euro vērtībā) iekļauj gadā, kurā tās tikušas veiktas;
59.10 9. ja komersants sākotnējās investīcijas elektrostacijā ir veicis, pirms ir pieņemts lēmums par obligātā iepirkuma tiesību piešķiršanu saskaņā ar Elektroenerģijas tirgus likuma 29. pantu, aprēķinā norāda elektrostacijā veikto sākotnējo investīciju faktiskās vērtības vai nosaka tās saskaņā ar šo noteikumu 6. pielikumā minētajām līmeņatzīmēm;
59.10 10. ja komersantam ir apturēta un pēc tam atjaunota valsts atbalsta izmaksa, aprēķinā iekļauj arī valsts atbalstu, kas komersantam nav izmaksāts periodā, kad valsts atbalsta izmaksa ir bijusi apturēta.
59.11 Ja atbilstoši šo noteikumu 59.4 un 59.5 punktā minētajam aprēķinam elektrostacijas kopējo kapitālieguldījumu iekšējā peļņas norma visam valsts atbalsta periodam nepārsniedz 9,00 %, cenas diferencēšanas koeficients pārkompensācijas novēršanai s ir 1.
59.12 Cenas diferencēšanas koeficientu pārkompensācijas novēršanai s nosaka, ievērojot šādus nosacījumus:
59.12 1. to aprēķina ar pakāpeniskām iterācijām, izmantojot iekšējās peļņas normas aprēķinu, kas veikts visam valsts atbalsta periodam saskaņā ar šo noteikumu 6. pielikumu;
59.12 2. to nosaka tādā līmenī, lai elektrostacijas kopējo kapitālieguldījumu iekšējā peļņas norma visam valsts atbalsta periodam nepārsniedz 9 %, aprēķinot to katrai komersanta elektrostacijai individuāli ar precizitāti līdz tūkstošdaļai;
59.12 3. to nosaka, sākot ar nākamā pilnā kalendāra mēneša pirmo datumu pēc šo noteikumu 59.4 punktā minētā lēmuma spēkā stāšanās dienas.
59.13 Ja atbilstoši šo noteikumu 59.12 punktam noteiktais cenas diferencēšanas koeficients pārkompensācijas novēršanai s ir vienāds ar 0 un aprēķinātā elektrostacijas kopējo kapitālieguldījumu iekšējā peļņas norma valsts atbalsta perioda beigās pārsniedz 9 %, birojs veic aprēķinu par atgūstamā valsts atbalsta apmēru un pieņem lēmumu par nelikumīgi saņemtā valsts atbalsta atgūšanu saskaņā ar šo noteikumu 61. punktu. Atgūstamā valsts atbalsta apmērs tiek aprēķināts, aizstājot ieņēmumus no elektroenerģijas pārdošanas ar ikmēneša maksājumu, kas nodrošinātu, ka elektrostacijas kopējo kapitālieguldījumu iekšējā peļņas norma valsts atbalsta perioda beigās nepārsniedz 9 %.
59.14 Šajā nodaļā minētās prasības nav attiecināmas uz tām elektrostacijām, kurām triju gadu laikā no datuma, kad sākta obligātā iepirkuma tiesību izmantošana, saražotās siltumenerģijas tarifu vai atkritumu apglabāšanas pakalpojuma tarifu ir apstiprinājis regulators.";
1.43. izteikt 60. punktu šādā redakcijā:
"60. Ja birojs konstatē, ka komersants ir saņēmis nepamatotu valsts atbalstu, birojs nekavējoties pieņem lēmumu par pienākumu komersantam mēneša laikā atmaksāt publiskajam tirgotājam nepamatoti saņemto valsts atbalstu, ko publiskais tirgotājs izmaksājis par visu periodu, kurā komersants valsts atbalstu saņēmis nepamatoti. Šo noteikumu 47.5., 48.1., 48.4., 48.5., 48.6., 48.8. apakšpunktā un 56. punktā minētajos gadījumos šis periods nav īsāks par laikposmu kopš šo noteikumu 38. punktā minētā pēdējā gada pārskata iesniegšanas termiņa. Šo noteikumu 39. un 41. punktā minētajos gadījumos šis periods nav īsāks par laikposmu kopš šo noteikumu 38. punktā minētā gada pārskata perioda pirmās dienas. Šo noteikumu 58. punktā minētajā gadījumā šis periods nav īsāks par laikposmu kopš pēdējā brīdinājuma paziņošanas komersantam. Šo noteikumu 59. punktā minētajā gadījumā šis periods nav īsāks par laikposmu kopš brīdinājuma paziņošanas komersantam.";
1.44. papildināt noteikumus ar 60.1 un 60.2 punktu šādā redakcijā:
"60.1 Ja biroja rīcībā nonākuši pierādījumi par pārkāpumiem, par kuriem atbilstoši attiecīgajā laikposmā spēkā esošajiem normatīvajiem aktiem ir bijis jāatceļ obligātā iepirkuma tiesības, bet tas nav ticis izdarīts, birojs mēneša laikā pēc fakta konstatēšanas pieņem lēmumu par obligātā iepirkuma tiesību atcelšanu kopš minētā pārkāpuma izdarīšanas brīža, vienlaikus pieņemot lēmumu par pienākumu komersantam mēneša laikā atmaksāt publiskajam tirgotājam nepamatoti saņemto valsts atbalstu, ko publiskais tirgotājs izmaksājis par visu periodu, kurā komersants valsts atbalstu saņēmis nepamatoti.
60.2 Komersants, iesniedzot motivētu iesniegumu, var lūgt birojam pagarināt šo noteikumu 56., 56.3, 60. un 60.1 punktā minēto nepamatoti saņemtā valsts atbalsta atmaksas termiņu, maksājumu sadalot daļās. Birojs, pamatojoties uz komersanta iesniegumu, var lemt par atmaksājamā nepamatoti saņemtā valsts atbalsta sadalīšanu daļās, nosakot komersantam pienākumu to pilnībā atmaksāt publiskajam tirgotājam ne vēlāk kā triju mēnešu laikā no šo noteikumu 56., 56.3, 60. un 60.1 punktā minētā lēmuma spēkā stāšanās brīža.";
1.45. izteikt 61. punktu šādā redakcijā:
"61. Ja tiek konstatēts, ka komersants pārkāpis Elektroenerģijas tirgus likumā vai šajos noteikumos minētos valsts atbalsta nosacījumus un saņemtais valsts atbalsts uzskatāms par nelikumīgu valsts atbalstu, birojs mēneša laikā pēc šā fakta konstatēšanas pieņem lēmumu, ar kuru atceļ komersantam piešķirtās obligātā iepirkuma tiesības un nosaka komersantam pienākumu atmaksāt publiskajam tirgotājam šo noteikumu ietvaros saņemto nelikumīgo valsts atbalstu kopā ar procentiem saskaņā ar Komercdarbības atbalsta kontroles likuma IV vai V nodaļu.";
1.46. papildināt noteikumus ar 61.1 punktu šādā redakcijā:
"61.1 Saņemtais valsts atbalsts uzskatāms par nelikumīgu valsts atbalstu arī tad, ja:
61.1 1. nav ievērots šo noteikumu 11. punktā minētais nosacījums;
61.1 2. obligātā iepirkuma ietvaros tikusi pārdota elektroenerģija, kas iegūta no energoresursa, kurš nav norādīts šo noteikumu 3. punktā.";
1.47. izteikt 63. punktu šādā redakcijā:
"63. Ja komersants nepilda šo noteikumu 56., 56.1, 60., 60.1, 60.2 vai 61. punktā minēto lēmumu tajā noteiktajā termiņā, publiskais tirgotājs triju darbdienu laikā par to informē biroju, norādot neatmaksātās summas apmēru, tai skaitā šo noteikumu 61. punktā minētos procentus.";
1.48. Papildināt noteikumus ar V1 nodaļu šādā redakcijā:
"V1. Valsts atbalsta izmaksas pārtraukšana, beidzoties valsts atbalsta periodam
63.1 Birojs pieņem lēmumu atcelt komersantam piešķirtās tiesības pārdot no atjaunojamiem energoresursiem saražoto elektroenerģiju obligātā iepirkuma ietvaros, sākot ar nākamo dienu, kad sasniegts Elektroenerģijas tirgus likuma 30.4 panta pirmajā un otrajā daļā noteiktais termiņš.
63.2 Publiskais tirgotājs pārtrauc elektroenerģijas iepirkšanu obligātā iepirkuma ietvaros no dienas, kad saskaņā ar šo noteikumu 63.1 punktā minēto biroja lēmumu komersantam atceltas obligātā iepirkuma tiesības.";
1.49. papildināt noteikumus ar 74., 75., 76., 77., 78., 79, 80., 81., 82. un 83. punktu šādā redakcijā:
"74. Elektroenerģijas tirgus likuma pārejas noteikumu 52. punktā minētie elektroenerģijas ražotāji līdz 2022. gada 1. maijam iesniedz sistēmas operatoram, publiskajam tirgotājam un birojam šo noteikumu 25. punktā minēto principiālo elektriskā pieslēguma shēmu. Publiskais tirgotājs šo noteikumu 24. un 32. punktā minētos iepirkuma nosacījumus piemēro ar nākamā pilnā kalendāra mēneša pirmo datumu pēc šo noteikumu 25. punktā minētās principiālās elektriskās pieslēguma shēmas iesniegšanas sistēmas operatoram, publiskajam tirgotājam un birojam.
75. Ja komersanti šo noteikumu 74. punktā minētajā termiņā nav iesnieguši sistēmas operatoram, publiskajam tirgotājam un birojam šo noteikumu 25. punktā minēto principiālo elektriskā pieslēguma shēmu, birojs pieņem lēmumu apturēt valsts atbalstu ar nākamo dienu pēc šo noteikumu 74. punktā minētā termiņa iestāšanās. Pēc šo noteikumu 25. punktā minētās principiālās elektriskās pieslēguma shēmas iesniegšanas sistēmas operatoram, publiskajam tirgotājam un birojam birojs pieņem lēmumu atsākt valsts atbalstu ar nākamā pilnā kalendāra mēneša pirmo datumu.
76. Birojs līdz 2022. gada 1. oktobrim veic šo noteikumu 59.4 punktā minēto elektrostaciju kopējo kapitālieguldījumu iekšējās peļņas normas aprēķinu tiem komersantiem, kuriem ir spēkā obligātā iepirkuma tiesības.
77. Komersants līdz 2022. gada 1. jūnijam iesniedz birojā šādu informāciju un dokumentus kopējo kapitālieguldījumu iekšējās peļņas normas aprēķina veikšanai:
77.1. elektrostacijā veikto investīciju faktiskos datus par visu valsts atbalsta periodu un dokumentus, kas līdz tiesisku pierādījumu ticamības pakāpei to apliecina;
77.2. elektrostacijas ieņēmumu un izdevumu faktiskos datus par visu valsts atbalsta periodu, izņemot elektrostacijas ekspluatācijas izmaksu datus un datus par obligātā iepirkuma ietvaros iepirktās elektroenerģijas apjomu un cenu. Ja komersants par kādu elektrostacijas darbības periodu nevar iesniegt faktiskos datus par kurināmā cenu, siltumenerģijas ražošanas tarifu un elektrostacijā saražotās un pārdotās elektroenerģijas, kas nav pārdota obligātā iepirkuma ietvaros, pārdošanas cenu, tas sniedz norādi, par kuriem periodiem šie dati nav pieejami;
77.3. citu informāciju un dokumentus, kas varētu būt nozīmīgi kopējo kapitālieguldījumu iekšējās peļņas normas aprēķina veikšanā.
78. Ja komersants noteiktajā termiņā neiesniedz šo noteikumu 77. punktā minēto informāciju un dokumentus (izņemot šo noteikumu 59.10 5. un 59.10 9. apakšpunktā minētos gadījumus), birojs mēneša laikā pēc šo noteikumu 77. punktā minētā termiņa pieņem lēmumu par komersantam piešķirto obligātā iepirkuma tiesību atcelšanu.
79. Komersants līdz 2022. gada 1. jūnijam elektroenerģijas ražošanas iekārtu reģistrē pārvades sistēmas operatora uzturētajā izcelsmes apliecinājumu reģistrā (turpmāk – izcelsmes apliecinājumu reģistrs). Komersants, kuram ir obligātā iepirkuma tiesības, taču to izmantošana līdz minētajam termiņam nav sākta, elektroenerģijas ražošanas iekārtu reģistrē izcelsmes apliecinājumu reģistrā mēneša laikā no brīža, kad sākta obligātā iepirkuma tiesību izmantošana.
80. Birojs pēc šo noteikumu 79. punktā minētā termiņa beigām pieprasa pārvades sistēmas operatoram informāciju par elektroenerģijas ražošanas iekārtām, kuras ir reģistrētas izcelsmes apliecinājumu reģistrā. Ja elektroenerģijas ražošanas iekārta, par kuru ir iegūtas obligātā iepirkuma tiesības, nav reģistrēta izcelsmes apliecinājumu reģistrā, birojs piecu darbdienu laikā pēc pārvades sistēmas operatora sniegtās informācijas saņemšanas pieņem lēmumu apturēt valsts atbalsta izmaksu par elektroenerģiju par periodu kopš šo noteikumu 79. punktā minētā termiņa beigām. Publiskais tirgotājs nākamajā darbdienā pēc minētā lēmuma stāšanās spēkā aptur valsts atbalsta izmaksu komersantam par iepirkto elektroenerģiju.
81. Ja komersants vēlas atjaunot saskaņā ar šo noteikumu 80. punktu apturēto valsts atbalsta izmaksu, tas iesniedz birojā apliecinājumu par elektroenerģijas ražošanas iekārtas reģistrēšanu izcelsmes apliecinājumu reģistrā. Birojs triju darbdienu laikā pārliecinās par elektroenerģijas ražošanas iekārtas reģistrēšanas faktu. Ja birojs konstatē, ka atbilstoši sniegtajam apliecinājumam elektroenerģijas ražošanas iekārta ir reģistrēta izcelsmes apliecinājumu reģistrā, birojs piecu darbdienu laikā pieņem lēmumu par saskaņā ar šo noteikumu 80. punktu apturētā valsts atbalsta izmaksas atsākšanu. Publiskais tirgotājs apturēto valsts atbalsta izmaksu veic 10 kalendāra dienu laikā pēc minētā lēmuma spēkā stāšanās dienas.
82. Ja konstatēta elektrostacijas neatbilstība elektroenerģijas pašpatēriņa prasībām laikposmā līdz 2020. gada 10. septembrim (ieskaitot), birojs pieņem lēmumu par šajā laikposmā komersanta saņemtā valsts atbalsta atmaksāšanu publiskajam tirgotājam vai ieturējumu no izmaksājamā valsts atbalsta finanšu apjoma atbilstoši konstatētās pašpatēriņa neatbilstības apmēram.
83. Šo noteikumu 49.2. apakšpunktā minētais kritērijs par brīdinājuma izteikšanu komersantam, ja tas nav iesniedzis šo noteikumu 21.1. un 21.2. apakšpunktā minēto mērīšanas līdzekļu verificēšanas sertifikātu, ir piemērojams no 2023. gada 1. marta.";
1.50. svītrot 4. pielikuma 1.4. apakšpunktu;
1.51. papildināt 4. pielikumu ar 1.16. apakšpunktu šādā redakcijā:
"1.16. skaitītāju identifikācijas numuri.";
1.52. izteikt 4. pielikuma 3. punktu šādā redakcijā:
"3. Auditora ziņojums.";
1.53. izteikt 4. pielikuma 5., 6. un 7. punktu šādā redakcijā:
"5. Informācija par kurināmā siltumspējas noteikšanu:
5.1. apraksts par izmantotā kurināmā siltumspējas noteikšanu;
5.2. aprēķina piemērs par izmantotā kurināmā siltumspējas noteikšanu.
6. Informācija par mērīšanas līdzekļiem un mērīšanas līdzekļu sistēmām:
6.1. mērīšanas līdzekļu un mērīšanas līdzekļu sistēmu uzskaitījums, identifikācijas numuri un verificēšanas vai kalibrēšanas termiņi;
6.2. izmantoto kurināmā mērīšanas līdzekļu vai mērīšanas līdzekļu sistēmu darbības apraksts (ja attiecināms);
6.3. biogāzes stacijā izmantoto biogāzes izejvielu mērīšanas līdzekļu vai mērīšanas līdzekļu sistēmu darbības apraksts (ja attiecināms).
7. Dokumentu kopijas par laboratorijās veiktajiem mērījumiem.";
1.54. papildināt noteikumus ar 6. pielikumu šādā redakcijā:
"6. pielikums
Ministru kabineta
2020. gada 2. septembra
noteikumiem Nr. 560
Elektrostacijas kopējo kapitālieguldījumu iekšējās peļņas normas aprēķins
I. Elektrostacijas kopējo kapitālieguldījumu iekšējās peļņas normas aprēķina gaita
1. Iekšējā peļņas norma ir diskonta likmes vērtība, pie kuras pašreizējā diskontētās naudas plūsmas vērtība ir vienāda ar sākotnēji ieguldītā kapitāla vērtību. Iekšējā peļņas norma tiek aprēķināta uz pēdējo gadu, kad ražotājs var izmantot tiesības, kas piešķirtas saskaņā ar Elektroenerģijas tirgus likuma 29. pantu. Iekšējo peļņas normu aprēķina, ņemot vērā elektrostacijas vienotā tehnoloģiskā cikla principu:
1.1. iekšējās peļņas normas aprēķinam izmanto datus par elektrostacijā veiktajām investīcijām, faktisko ieņēmumu un izdevumu datus un ekspluatācijas izmaksu līmeņatzīmes. Ja komersants nevar iesniegt kādu no elektrostacijas faktisko ieņēmumu vai izdevumu datiem, tad iekšējās peļņas normas aprēķinam norēķinu periodam, kas nav mazāks par vienu mēnesi, izmanto pielikumā noteiktās līmeņatzīmes;
1.2. aprēķinam nepieciešamos datus par elektroenerģijas apjomu un cenu, kas iepirkta obligātā iepirkuma ietvaros, birojs pieprasa publiskajam tirgotājam.
2. Iekšējo peļņas normu aprēķina ar pakāpeniskām iterācijām, izmantojot šādu formulu:
, kur
TNPt – tīrā naudas plūsma jeb naudas plūsma (euro), kas paliek komersanta rīcībā pēc visu ražošanas izdevumu segšanas, kalendāra gadā t;
r – iekšējā peļņas norma (%);
t – kalendāra gads, par kuru tiek veikts aprēķins;
t0 – kalendāra gads, kad komersants ir sācis izmantot valsts atbalstu;
n – kalendāra gads, kad komersanta tiesībām, kas piešķirtas saskaņā ar Elektroenerģijas tirgus likuma 29. pantu, beidzas izmantošanas laiks;
– komersanta elektrostacijā veikto investīciju faktiskās vērtības (euro)
atbilstoši iesniegtajai pamatojošajai dokumentācijai;
Ipiesl – komersanta elektrostacijas elektroenerģijas pieslēguma faktiskās izmaksas (euro) elektroenerģijas tīklam atbilstoši iesniegtajai pamatojošajai dokumentācijai;
– līdz kalendāra gadam t0 (neieskaitot) par komersanta
elektrostaciju piešķirtais un faktiski saņemtais publiskais finansējums (euro),
tai skaitā maksājumi no valsts vai pašvaldības budžeta, kredītu procentu likmju
subsidēšana, kā arī cita finanšu palīdzība, kas tiek piešķirta vai sniegta no
valsts, pašvaldības vai Eiropas Savienības budžeta līdzekļiem un ārvalstu
finanšu palīdzības līdzekļiem.
3. Ja komersants investīcijas elektrostacijā ir veicis, pirms ir pieņemts lēmums par tiesību piešķiršanu saskaņā ar Elektroenerģijas tirgus likuma 29. pantu, investīcijas elektrostacijā var noteikt saskaņā ar līmeņatzīmēm:
, kur
– elektrostacijas uzstādītā elektriskā jauda (MW), kas norādīta līgumā ar publisko
tirgotāju, kalendāra gadā t0;
– īpatnējo investīciju līmeņatzīmes (euro/kW) saskaņā ar šā pielikuma 1.
tabulu.
4. Tīro naudas plūsmu kalendāra gadā t aprēķina, izmantojot šādu formulu:
, kur
– tīrā naudas plūsma jeb naudas plūsma (euro), kas paliek komersanta
rīcībā pēc visu ražošanas izdevumu segšanas, kalendāra gada t kalendāra
mēnesī i;
– elektrostacijā veikto papildu investīciju faktiskās vērtības (euro),
lai atbilstoši ražošanas tehnoloģijai un vienotā tehnoloģiskā cikla principam
nodrošinātu elektrostacijas tehnoloģiskās funkcijas vai lai palielinātu
elektrostacijas elektrisko jaudu, kalendāra gadā t;
Dt – kalendāra gadā t par komersanta elektrostaciju piešķirtais un faktiski saņemtais publiskais finansējums (euro), tai skaitā maksājumi no valsts vai pašvaldības budžeta, kredītu procentu likmju subsidēšana, kā arī cita finanšu palīdzība, kas tiek piešķirta vai sniegta no valsts, pašvaldības vai Eiropas Savienības budžeta līdzekļiem un ārvalstu finanšu palīdzības līdzekļiem.
5. Tīro naudas plūsmu kalendāra gada t kalendāra mēnesī i aprēķina, izmantojot šādu formulu:
, kur
– elektrostacijas ieņēmumi (euro) kalendāra gada t kalendāra
mēnesī i;
– elektrostacijas izdevumi (euro) kalendāra gada t kalendāra
mēnesī i.
6. Elektrostacijas ieņēmumus kalendāra gada t
kalendāra mēnesī i
aprēķina, izmantojot faktiskos datus vai līmeņatzīmes:
6.1. elektrostacijas ieņēmumi (euro) kalendāra gada
t kalendāra mēnesī i
,
aprēķinam izmantojot faktiskos datus:
, kur
– no komersanta elektrostacijas obligātā iepirkuma ietvaros iepirktais
elektroenerģijas apjoms (MWh) kalendāra gada t kalendāra mēnesī i.
Nākotnes periodiem mēnesī no komersanta elektrostacijas obligātā iepirkuma
ietvaros iepirkto elektroenerģijas apjomu aprēķina kā pēdējo triju pilnu
kalendāra gadu vidējo mēnesī obligātā iepirkuma ietvaros iepirkto
elektroenerģijas apjomu, bet nepārsniedzot maksimāli atļauto obligātā iepirkuma
ietvaros iepērkamās elektroenerģijas apjomu;
– komersanta elektrostacijai piemērotā elektroenerģijas iepirkuma cena (euro/MWh)
kalendāra gada t kalendāra mēnesī i;
– faktiskais ieturētais subsidētās elektroenerģijas nodoklis (euro)
kalendāra gada t kalendāra mēnesī i;
– komersanta ieņēmumi (euro) no elektrostacijā saražotās un pārdotās
elektroenerģijas, kas nav pārdota obligātā iepirkuma ietvaros, kalendāra gada
t kalendāra mēnesī i. Ieņēmumu aprēķinam nākotnes periodā
elektroenerģijas cenu nosaka kā pēdējo triju pilnu kalendāra gadu vidējo mēnesī
ārpus obligātā iepirkuma pārdotās elektroenerģijas cenu, bet elektroenerģijas
apjomu aprēķina kā pēdējo triju pilnu kalendāra gadu vidējo mēnesī ārpus
obligātā iepirkuma pārdoto elektroenerģijas apjomu;
– siltumenerģijas pārdošanas cena vai Sabiedrisko pakalpojumu regulēšanas
komisijas noteiktais siltumenerģijas ražošanas tarifs (euro/MWh)
atbilstoši iesniegtajai pamatojošajai dokumentācijai kalendāra gada t
kalendāra mēnesī i. Nākotnes periodiem siltumenerģijas cenu nosaka kā
pēdējā pilnā kalendāra gada vidējo mēneša siltumenerģijas cenu;
– koģenerācijas stacijā saražotais lietderīgās siltumenerģijas apjoms (MWh)
kalendāra gada t kalendāra mēnesī i. Nākotnes periodiem mēnesī
saražotās lietderīgās siltumenerģijas apjomu aprēķina kā pēdējo triju pilnu
kalendāra gadu vidējo mēnesī saražoto lietderīgās siltumenerģijas apjomu;
6.2. elektrostaciju ieņēmumi (euro) kalendāra gada t
kalendāra mēnesī i
, aprēķinam izmantojot līmeņatzīmes:
, kur
– siltumenerģijas ražošanas tarifs (euro/MWh) saskaņā ar šā pielikuma 8.
tabulu kalendāra gada t kalendāra mēnesī i. Nākotnes periodiem
siltumenerģijas ražošanas tarifu nosaka kā pēdējā pilnā kalendāra gada vidējo
mēneša siltumenerģijas ražošanas tarifu;
– elektrostacijā uzstādītā neto siltuma jauda (MW) kalendāra gada t
kalendāra mēnesī i;
– komersanta elektrostacijas darba stundas (h) kalendāra gada t kalendāra
mēnesī i;
– koģenerācijas stacijā pašpatēriņam izmantotā siltumenerģija kalendāra gada
t kalendāra mēnesī i. Pašpatēriņam izmantotais siltumenerģijas apjoms
stacijām, kas darbojas ar poligongāzi, un
biogāzes stacijām, kuras biogāzes ražošanai izmanto fermenterus, ir 30 %, bet
pārējām koģenerācijas stacijām ir 0.
7. Kalendāra gada t kalendāra mēnesī i
elektrostacijas uzstādītā neto siltuma jauda
vēja un hidroelektrostacijām ir 0. Pārējām elektrostacijām to aprēķina,
izmantojot šādu formulu:
, kur
– koģenerācijas elektrostacijas uzstādītā siltuma jauda, kas atbilst
elektrostacijā uzstādīto koģenerācijas iekārtu izgatavotāja noteikto bruto
siltumjaudu summai (MW).
8. Elektrostacijas darba stundas kalendāra gada t kalendāra mēnesī i aprēķina, izmantojot šādu formulu:
, kur
– elektrostacijas uzstādītā elektriskā jauda (MW), kas norādīta līgumā ar
publisko tirgotāju.
9. Elektrostacijas izdevumus (euro) kalendāra gada
t kalendāra mēnesī i
aprēķina, izmantojot faktiskos datus vai līmeņatzīmes:
9.1. vēja elektrostaciju izdevumi kalendāra gada t
kalendāra mēnesī i
:
, kur
– elektrostacijā veikto kopējo faktisko investīciju apjoms (euro);
0,03 – koeficients, kas raksturo elektrostacijas ekspluatācijas izmaksu īpatsvaru veiktajās investīcijās, noteikts šā pielikuma 2. tabulā;
– elektroenerģijas ražošanai piešķirtā valsts atbalsta izlietošanas
uzraudzības nodeva un valsts nodeva par sabiedrisko pakalpojumu
regulēšanu kalendāra gadā t (euro). Nākotnes periodu aprēķiniem
nodevas apmēru pieņem tādu, kāds tas ir bijis pēdējā pilnā kalendāra gadā;
– jaudas maksa elektroenerģijas ražotājiem, kas noteikta
atbilstoši uzstādītajai elektroenerģijas ražošanas jaudai un saskaņā ar
Sabiedrisko pakalpojumu regulēšanas komisijas noteikto tarifu, kalendāra gada
t kalendāra mēnesī i (euro). Nākotnes periodu aprēķiniem
jaudas maksas apmēru pieņem tādu, kāds tas ir bijis pēdējā pilnā kalendāra gadā;
b – balansēšanas atbildības faktora līmeņatzīme, kas raksturo vēja elektrostacijas nebalansa līmeni un ir noteikta atkarībā no uzstādītās elektriskās jaudas, kura norādīta līgumā ar publisko tirgotāju, kalendāra gada t kalendāra mēnesī i. Balansēšanas atbildības faktora līmeņatzīme ir noteikta šā pielikuma 7. tabulā;
9.2. hidroelektrostaciju izdevumi (euro) kalendāra
gada t kalendāra mēnesī i
:
, kur
0,04 – koeficients, kas raksturo elektrostacijas ekspluatācijas izmaksu īpatsvaru veiktajās investīcijās, noteikts šā pielikuma 2. tabulā;
–
dabas resursu nodoklis par ūdeņu lietošanu elektrostacijās (euro), kas
tiek aprēķināts katrai hidroelektrostacijai saskaņā ar Dabas resursu nodokļa
likumu, ņemot vērā hidroelektrostacijas faktisko ūdens kritumu, pieņemot
lietderības koeficientu 75 % un ņemot vērā saražotās elektroenerģijas apjomu
kalendāra gada t kalendāra mēnesī i. Nākotnes periodu aprēķiniem
nodokļa apmēru pieņem tādu, kāds tas ir bijis pēdējā pilnā kalendāra gadā;
9.3. biomasas staciju izdevumi (euro) kalendāra gada
t kalendāra mēnesī i
,
aprēķinam izmantojot faktiskos datus:
, kur
– patērētā kurināmā apjoms (MWh), kas nepieciešams komersanta elektrostacijas
darbības nodrošināšanai, kalendāra gada t kalendāra mēnesī i.
Nākotnes periodiem mēnesī patērētā kurināmā apjomu aprēķina kā pēdējo triju
pilnu kalendāra gadu vidējo mēnesī patērētā kurināmā apjomu elektrostacijā;
– kurināmā faktiskā cena (euro/MWh) atbilstoši iesniegtajai pamatojošajai
dokumentācijai. Nākotnes periodiem kurināmā cenu nosaka kā pēdējā pilnā
kalendāra gada vidējo mēneša kurināmā cenu;
0,11 – koeficients, kas raksturo elektrostacijas ekspluatācijas izmaksu īpatsvaru veiktajās investīcijās, noteikts šā pielikuma 2. tabulā;
9.4. biomasas staciju izdevumi (euro) kalendāra gada
t kalendāra mēnesī i
,
aprēķinam izmantojot līmeņatzīmes:
, kur
– aprēķinātais patērētā kurināmā apjoms (MWh), kas nepieciešams komersanta
elektrostacijas darbības nodrošināšanai kalendāra gada t kalendāra mēnesī
i. Nākotnes periodiem mēnesī patērētā kurināmā apjomu aprēķina kā pēdējo
triju pilnu kalendāra gadu vidējo mēnesī patērētā kurināmā apjomu
elektrostacijā;
– biomasas kurināmā cenas līmeņatzīme (euro/MWh), kas noteikta šā
pielikuma 6. tabulā, kalendāra gada t kalendāra mēnesī i. Nākotnes
periodiem kurināmā cenu nosaka kā pēdējā pilnā kalendāra gada vidējo mēneša
kurināmā cenu;
9.5. biogāzes staciju izdevumi (euro) kalendāra gada
t kalendāra mēnesī i
,
aprēķinam izmantojot faktiskos datus:
, kur
– biogāzes koģenerācijas stacijas ekspluatācijas izmaksu līmeņatzīme, kas
noteikta šā pielikuma 3. tabulā atkarībā no gada un organiskas izcelsmes
atkritumu un ražošanas atlikumproduktu īpatsvara kopējā izejvielu apjomā.
Aprēķinos izmanto zemāko šā pielikuma 3. tabulā norādīto ekspluatācijas izmaksu
līmeņatzīmi dotajā aprēķina periodā. Ja komersants, iesniedzot pamatojošo
dokumentāciju, pierāda lielāku organiskas izcelsmes atkritumu un ražošanas
atlikumproduktu īpatsvaru kopējā izejvielu apjomā, aprēķinos izmanto augstāku
atbilstošo šā pielikuma 3. tabulā norādīto līmeņatzīmi.
Nākotnes periodam izmanto zemāko šā pielikuma 3. tabulā norādīto ekspluatācijas izmaksu līmeņatzīmi dotajā aprēķinu periodā. Ja komersants, iesniedzot pamatojošo dokumentāciju, pierāda, ka pēdējo triju pilnu kalendāra gadu vidējais organiskas izcelsmes atkritumu un ražošanas atlikumproduktu īpatsvars kopējā izejvielu apjomā pārsniedz noteikto minimālo organiskas izcelsmes atkritumu un ražošanas atlikumproduktu īpatsvaru kopējā izejvielu apjomā, tad nākotnes periodam organiskās izcelsmes atkritumu apjomu nosaka kā pēdējo triju pilnu kalendāra gadu vidējo organiskas izcelsmes atkritumu apjomu kalendāra mēnesī un aprēķinos izmanto augstāku atbilstošo šā pielikuma 3. tabulā norādīto līmeņatzīmi;
9.6. biogāzes staciju izdevumi (euro) kalendāra gada
t kalendāra mēnesī i
,
aprēķinam izmantojot līmeņatzīmes:
, kur
– biogāzes un poligongāzes kurināmā cenas līmeņatzīme (euro/MWh), kas
noteikta šā pielikuma 4. un 5. tabulā, kalendāra gada t kalendāra mēnesī
i. Nākotnes periodiem kurināmā cenu nosaka kā pēdējā pilnā kalendāra gada
vidējo mēneša kurināmā cenu.
10. Aprēķināto patērētā kurināmā apjomu (MWh) kalendāra gada
t kalendāra mēnesī i
nosaka, izmantojot šādu formulu:
, kur
pašpatēriņam izlietotā saražotā elektroenerģija (MWh), kas nosakāma kā
iepriekšējo triju gadu vidējais rādītājs starpībai starp gadā saražoto un tīklā
nodoto elektroenerģiju;
–
koģenerācijas iekārtas lietderības koeficients, kas raksturo koģenerācijas
iekārtas efektivitāti. Iekārtas lietderības koeficients ir norādīts iekārtas
tehniskajā dokumentācijā. Ja tāda nav pieejama, lietderības koeficientu biomasas
un biogāzes iekārtām nosaka 80 %.
11. Elektrostacijā veikto kopējo faktisko investīciju apjomu (euro) aprēķina, izmantojot šādu formulu:
, kur
–
komersanta elektrostacijā papildus veikto faktisko investīciju apjoms, tai
skaitā kapitalizētu remontu izmaksas (euro).
12. Aprēķinā, kas veikts saskaņā ar šo pielikumu, vērtības naudas izteiksmē noapaļo līdz tuvākajam centam, ņemot vērā trešo zīmi aiz komata. Ja trešā zīme aiz komata ir no 0 līdz 4, centa vērtība nemainās. Ja trešā zīme aiz komata ir no 5 līdz 9, centu noapaļo par vienu vienību uz augšu.
II. Līmeņatzīmes elektrostacijas kopējo kapitālieguldījumu iekšējās peļņas normas aprēķinam
1. tabula
Elektrostaciju īpatnējo investīciju Iīp (euro/kWel) līmeņatzīmes
|
Uzstādītā elektriskā jauda Pel |
Biogāzes stacijas |
Biomasas un biomasas gazifikācijas stacijas |
Vēja elektrostacijas |
Hidroelektrostacijas |
| Nepārsniedz 0,25 MW |
4000 |
4500 |
2150 |
3000 |
| Lielāka par 0,25 MW, bet nepārsniedz 0,5 MW |
4000 |
4500 |
1400 |
2500 |
| Lielāka par 0,5 MW, bet nepārsniedz 1 MW |
3800 |
4500 |
1400 |
2000 |
| Lielāka par 1 MW, bet nepārsniedz 2 MW |
3800 |
4000 |
1400 |
1500 |
| Lielāka par 2 MW, bet nepārsniedz 4 MW |
3300 |
4000 |
1400 |
1500 |
| Lielāka par 4 MW |
3300 |
3600 |
1400 |
1500* |
Piezīme. * Ja hidroelektrostacijas jauda nepārsniedz 5 MW.
2. tabula
Elektrostacijas ekspluatācijas izmaksu līmeņatzīmes
|
Tehnoloģija |
Līmeņatzīmes |
| Vēja elektrostacijas | 3 % no elektrostacijā veiktajām investīcijām, gadā |
| Hidroelektrostacijas | 4,0 % no elektrostacijā veiktajām investīcijām, gadā |
| Biomasas stacijas | 11 % no elektrostacijā veiktajām investīcijām, gadā |
3. tabula
Biogāzes elektrostaciju ekspluatācijas izmaksu līmeņatzīme
|
Līdz 2022. gadam |
2022.–2025. gads |
2026.–2029. gads |
No 2030. gada |
Ekspluatācijas izmaksas, % no elektrostacijā veiktajām investīcijām (gadā) |
|
|
Organiskas izcelsmes atkritumu un ražošanas atlikumproduktu īpatsvars pret kopējo patērēto izejvielu apjomu biogāzes ražošanā (%) |
mazāk par 50 % |
vismaz 40 %, bet mazāk par 50 % |
– |
– |
6 % |
|
vismaz 50 %, bet mazāk par 70 % |
vismaz 60 %, bet mazāk par 70 % |
– |
9 % |
||
|
vismaz 70 %, bet mazāk par 80 % |
vismaz 80 %, bet mazāk par 90 % |
12 % |
|||
|
vismaz 80 % |
vismaz 90 % |
13 % |
|||
4. tabula
Biogāzes stacijām (izņemot stacijas, kurās izmanto biomasas gazifikāciju vai poligongāzes) piemērojamās kurināmā cenas līmeņatzīmes
|
Uzstādītā elektriskā jauda Pel |
Kurināmā cena bez PVN Ckur (euro/MWh) |
||||||||
|
2008. |
2009. |
2010. |
2011. |
2012. |
2013. |
2014. |
2015. |
2016. |
|
| Nepārsniedz 0,5 MW |
51,08 |
40,51 |
30,98 |
35,47 |
42,39 |
43,65 |
46,31 |
48,14 |
51,83 |
| Lielāka par 0,5 MW, bet nepārsniedz 1 MW |
48,11 |
38,15 |
29,19 |
33,41 |
39,93 |
41,12 |
43,62 |
45,35 |
48,82 |
| Lielāka par 1 MW |
46,15 |
36,60 |
27,99 |
32,05 |
38,30 |
39,44 |
41,84 |
43,49 |
46,83 |
|
2017. |
2018. |
2019. |
2020. |
2021. |
2022. |
||||
| Nepārsniedz 0,5 MW |
52,38 |
50,98 |
48,00 |
53,28 |
52,47 |
51,65 |
|||
| Lielāka par 0,5 MW, bet nepārsniedz 1 MW |
49,34 |
48,02 |
45,21 |
49,93 |
49,16 |
48,40 |
|||
| Lielāka par 1 MW |
47,32 |
46,06 |
43,37 |
49,93 |
49,16 |
48,40 |
|||
5. tabula
Poligongāzes cenas līmeņatzīmes
|
Uzstādītā elektriskā jauda Pel |
Kurināmā cena bez PVN Ckur (euro/MWh) |
|
visi gadi |
|
|
Visas jaudas |
10 |
6. tabula
Biomasas un biomasas gazifikācijas stacijām piemērojamās kurināmā cenas līmeņatzīmes
|
Kurināmā cena bez PVN Ckur (euro/MWh) |
|||||||||
|
1995. |
1996. |
1997. |
1998. |
1999. |
2000. |
2001. |
2002. |
2003. |
2004. |
|
3,73 |
3,67 |
3,59 |
3,77 |
3,94 |
4,22 |
4,61 |
5,16 |
5,67 |
5,99 |
|
2005. |
2006. |
2007. |
2008. |
2009. |
2010. |
2011. |
2012. |
2013. |
2014. |
|
6,31 |
7,37 |
8,6 |
11,06 |
8,6 |
7,37 |
8,6 |
8,6 |
11,06 |
9,83 |
|
2015. |
2016. |
2017. |
2018. |
2019. |
2020. |
2021. |
2022. |
||
|
9,83 |
8,6 |
8,6 |
12,29 |
13,07 |
11,02 |
14,49 |
12,73 |
||
7. tabula
Vēja elektrostacijām piemērojamās līmeņatzīmes
|
Uzstādītā elektriskā jauda Pel |
Balansēšanas atbildības faktors b (%) |
| Nepārsniedz 0,25 MW |
0* |
| Lielāka par 0,25 MW, bet nepārsniedz 1 MW |
15 |
| Lielāka par 1 MW, bet nepārsniedz 2 MW |
15 |
| Lielāka par 2 MW |
10 |
Piezīme. * 10 %, ja vēja elektrostacijai piemēro Ministru kabineta 2020. gada 2. septembra noteikumu Nr. 560 "Noteikumi par elektroenerģijas ražošanu, izmantojot atjaunojamos energoresursus, kā arī par cenu noteikšanas kārtību un uzraudzību" 23.2. apakšpunktu.
8. tabula
Siltumenerģijas ražošanas tarifs (euro/MWh) no 1995. gada līdz 2022. gadam
|
Gads |
Siltumenerģijas ražošanas tarifs
|
Gads |
Siltumenerģijas ražošanas tarifs
|
|
|
1995. |
11,67 |
2009. |
39,16 |
|
|
1996. |
12,12 |
2010. |
38,44 |
|
|
1997. |
12,24 |
2011. |
38,44 |
|
|
1998. |
12,28 |
2012. |
42,06 |
|
|
1999. |
12,33 |
2013. |
39,16 |
|
|
2000. |
12,38 |
2014. |
32,63 |
|
|
2001. |
12,38 |
2015. |
31,91 |
|
|
2002. |
12,38 |
2016. |
26,11 |
|
|
2003. |
12,38 |
2017. |
26,11 |
|
|
2004. |
12,38 |
2018. |
26,83 |
|
|
2005. |
16,51 |
2019. |
24,99 |
|
|
2006. |
21,76 |
2020. |
23,28 |
|
|
2007. |
26,11 |
2021. |
21,68 |
|
|
2008. |
36,99 |
2022. |
20,20 |
Piezīme. * Siltumenerģijas ražošanas tarifu veido siltumenerģijas vidējā cena gala patērētājiem, kas reizināta ar koeficientu 0,7252 (ražošanas tarifa īpatsvars gala tarifā)."
2. Noteikumi stājas spēkā 2022. gada 1. aprīlī.
Ministru prezidenta pienākumu izpildītājs –
ārlietu ministrs E. Rinkēvičs
Ekonomikas ministra pienākumu izpildītājs –
zemkopības ministrs K. Gerhards