
Sabiedrisko pakalpojumu regulēšanas komisijas lēmumi: Šajā laidienā 5 Pēdējās nedēļas laikā 0 Visi
Sabiedrisko pakalpojumu regulēšanas komisijas padomes lēmums Nr. 109
Rīgā 2020. gada 20. augustā (prot. Nr. 35, 8. p.)
Par kapitāla atdeves likmi dabasgāzes pārvades sistēmas, dabasgāzes sadales sistēmas un dabasgāzes uzglabāšanas pakalpojumu tarifu projekta aprēķināšanai
Sabiedrisko pakalpojumu regulēšanas komisija (turpmāk – Regulators), pamatojoties uz likuma "Par sabiedrisko pakalpojumu regulatoriem" 9.panta otro daļu, savas kompetences ietvaros patstāvīgi pieņem lēmumus un izdod administratīvos aktus, kas ir saistoši konkrētiem sabiedrisko pakalpojumu sniedzējiem un lietotājiem.
Regulators konstatē
1. Saskaņā ar Regulatora 2018.gada 13.augusta lēmuma Nr.1/23 "Kapitāla atdeves likmes aprēķināšanas metodika" (turpmāk – Metodika) 3.punktu Regulators reizi gadā līdz 1.septembrim sagatavo kapitāla atdeves likmes aprēķinu un ar lēmumu nosaka kapitāla atdeves likmi.
2. Atbilstoši Metodikas 3.punktam Regulatora noteikto kapitāla atdeves likmi dabasgāzes pārvades sistēmas operators, dabasgāzes sadales sistēmas operators un dabasgāzes uzglabāšanas sistēmas operators piemēro, aprēķinot dabasgāzes pārvades sistēmas pakalpojuma, dabasgāzes sadales sistēmas pakalpojuma un dabasgāzes uzglabāšanas pakalpojuma tarifu projektu, kura spēkā stāšanās datums plānots nākamajā kalendārajā gadā pēc Regulatora lēmuma par kapitāla atdeves likmes noteikšanu pieņemšanas datuma.
3. Atbilstoši Metodikas 9.11.apakšpunktam dabasgāzes pārvades sistēmas operators, dabasgāzes sadales sistēmas operators un dabasgāzes uzglabāšanas sistēmas operators piemēro vidējo svērto kapitāla atdeves likmi reālā izteiksmē.
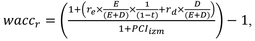
4. Atbilstoši Metodikas 4.2.apakšpunktam vidējo svērto kapitāla atdeves likmi reālā izteiksmē (waccr) aprēķina saskaņā ar šādu formulu:
kur re ir pašu kapitāla atdeves likme [%]; E/(E+D) – pašu kapitāla attiecība pret kopējo (pašu un aizņemto) kapitālu, kuras vērtība tiek pieņemta 50%; rd – aizņemtā kapitāla atdeves likme [%]; D/(E+D) – aizņemtā kapitāla attiecība pret kopējo (pašu un aizņemto) kapitālu, kuras vērtība tiek pieņemta 50%; t – uzņēmumu ienākuma nodokļa likme; PCIizm – patēriņa cenu gada vidējo (janvāris–decembris) pārmaiņu piecu iepriekšējo kalendāro gadu vidējā vērtība [%]. Ja PCIizm vērtība ir negatīva, aprēķinā izmanto vērtību 0%.
5. Atbilstoši Metodikas 5.punktam pašu kapitāla atdeves likmi aprēķina
saskaņā ar šādu formulu:
kur rf ir bezriska likme, kas noteikta kā Eiropas Centrālās bankas
ikmēneša publicētā Vācijas valdības desmit gadu obligāciju vērtspapīru
otrreizējā tirgus gada vidējā procentu likme desmit gadu periodā [%]; rc
– valsts riska piemaksa, ko aprēķina kā Latvijas un Vācijas valsts desmit gadu
obligāciju vērtspapīru otrreizējā tirgus gada vidējo procentu likmju starpību
[%]; βe – pašu kapitāla beta koeficients; rm – tirgus
riska piemaksa [%]; se – Regulatora novērtēta pašu kapitāla izmēra
riska piemaksa, ko piemēro komersants, kurš, pēc pēdējā pieejamā gada pārskata
datiem, atbilst mikrouzņēmumu vai mazo uzņēmumu kategorijai [%].
6. Atbilstoši Metodikas 6.punktam pašu kapitāla beta koeficientu aprēķina atbilstoši pašu un aizņemtā kapitāla struktūrai saskaņā ar šādu formulu:
kur βa – nozares aktīvu beta koeficients; D/E – nozares aizņemtā un pašu kapitāla vidējā attiecība. Ņemot vērā, ka pašu kapitāla attiecība pret kopējo kapitālu un aizņemtā kapitāla attiecība pret kopējo kapitālu ir vienādas, D/E=1.
7. Atbilstoši Metodikas 7.punktam aizņemtā kapitāla atdeves likmi aprēķina
saskaņā ar šādu formulu:
kur rdm
– Eiropas Centrālās bankas ikmēneša publicētā nefinanšu sabiedrībām euro
valūtā izsniegto kredītu (ar sākotnējo termiņu ilgāku par pieciem gadiem;
atlikumiem) gada vidējā procentu likme desmit gadu periodā [%]; sd –
Regulatora novērtēta aizņemtā kapitāla izmēra riska piemaksa, ko piemēro
komersants, kurš, pēc pēdējā pieejamā gada pārskata datiem, atbilst
mikrouzņēmumu vai mazo uzņēmumu kategorijai [%].
8. Atbilstoši Metodikas 8.punktam līdz 2024.gadam aizņemtā kapitāla atdeves likmes rd noteikšanai izmanto Eiropas Centrālās bankas publicētos statistikas datus par periodu, kas sākas ar 2014.gada 1.janvāri.
9. Izmantojot Eiropas Centrālās bankas tīmekļvietnē www.ecb.europa.eu publicētos datus, Regulators konstatē, ka Vācijas valdības desmit gadu obligāciju vērtspapīru otrreizējā tirgus gada vidējā procentu likme (rf) periodā no 2010.gada jūlija līdz 2020.gada jūnijam ir 0,89%1.
10. Izmantojot Eiropas Centrālās bankas tīmekļvietnē www.ecb.europa.eu publicētos datus, Regulators konstatē, ka valsts riska piemaksa (rc), kas aprēķināta kā Latvijas un Vācijas valsts desmit gadu obligāciju vērtspapīru otrreizējā tirgus gada vidējo procentu likmju vidējā starpība periodā no 2015.gada jūlija līdz 2020.gada jūnijam, ir 0,52%.
11. Saskaņā ar Uzņēmumu ienākuma nodokļa likuma 3.panta pirmo daļu uzņēmumu ienākuma nodokļa likme (t) ir 20%.
12. Izmantojot Eiropas Enerģētikas regulatoru padomes apkopotos datus, kas pieejami jaunākajā publikācijā "Ziņojums par Eiropas enerģētikas tīklu regulēšanas ietvaru" tīmekļvietnē www.ceer.eu, Regulators konstatē, ka dalībvalstu, kur beta koeficienta korekcijas formulā tiek ņemta vērā nodokļu ietekme, vidējais aktīvu beta koeficients dabasgāzes nozarē (βa) ir 0,41. Ievērojot Metodikas 6.punktu, izmantojot šā lēmuma konstatējošās daļas 11.punktā norādīto rādītāja skaitlisko vērtību un aktīvu beta koeficienta dabasgāzes nozarē vērtību, dabasgāzes nozares pašu kapitāla beta koeficients (βe) ir 0,74.
13. Tirgus riska piemaksa novērtēta, izmantojot šā lēmuma konstatējošās daļas 12.punktā minētajā publikācijā apkopotos datus par dalībvalstu regulatīvo iestāžu izmantoto starptautisko ekspertu novērtējumu par kapitāla tirgiem. Eiropas Enerģētikas regulatoru padomes dalībvalstu vidējā tirgus riska piemaksa (rm) ir 4,93%.
14. Pašu kapitāla izmēra riska piemaksa, ko piemēro komersants, kurš, pēc pēdējā pieejamā gada pārskata datiem, atbilst mikrouzņēmumu vai mazo uzņēmumu kategorijai (se) (neatkarīgi no nozares), ir novērtēta, izmantojot regulēto siltumapgādes pakalpojumu sniedzēju datus un Latvijas Centrālās statistikas pārvaldes apkopotos uzņēmējdarbības finanšu datus no komersantu gada pārskatiem 2016. un 2017.gadā par ekonomiski aktīvajiem komersantiem (institucionālais sektors S110000 "Nefinanšu sabiedrības") tautsaimniecībā. Novērtētā pašu kapitāla riska piemaksa (se) ir 2,28%.
15. Izmantojot Eiropas Centrālās bankas tīmekļvietnē www.ecb.europa.eu publicētos datus, Regulators konstatē, ka nefinanšu sabiedrībām euro valūtā izsniegto kredītu (ar sākotnējo termiņu ilgāku par pieciem gadiem; atlikumiem) gada vidējā procentu likme (rdm) periodā no 2014.gada janvāra līdz 2020.gada maijam ir 2,45%.
16. Aizņemtā kapitāla izmēra riska piemaksa, ko piemēro komersants, kurš, pēc pēdējā pieejamā gada pārskata datiem, atbilst mikrouzņēmumu vai mazo uzņēmumu kategorijai (sd) (neatkarīgi no nozares), ir novērtēta, izmantojot Regulatora apkopotos datus par faktiskajām kredītu procentu likmēm, kas piemērotas kredītiem, kuri izsniegti siltumapgādes komersantiem investīcijām siltumapgādes pakalpojumu sniegšanai nepieciešamajos aktīvos. Novērtētā aizņemtā kapitāla izmēra riska piemaksa (sd) ir 0,65%.
17. Izmantojot Latvijas Centrālās statistikas pārvaldes apkopotos datus par patēriņa cenu inflāciju, patēriņa cenu gada vidējo (janvāris–decembris) pārmaiņu piecu iepriekšējo kalendāro gadu vidējā vērtība (PCIizm) ir 1,70%.
18. Mikrouzņēmumu, mazo, vidējo vai lielāku uzņēmumu kategorijas nosaka Komisijas (ES) 2014.gada 17.jūnija Regulas Nr.651/2014, ar ko noteiktas atbalsta kategorijas atzīst par saderīgām ar iekšējo tirgu, piemērojot Līguma 107. un 108.pantu 1.pielikuma 2.pantā minētās darbinieku skaita un finansiālās robežvērtības.
19. Atbilstoši likuma "Par sabiedrisko pakalpojumu regulatoriem" 19.panta pirmajai daļai sabiedrisko pakalpojumu tarifus regulējamās nozarēs sabiedrisko pakalpojumu sniedzēji aprēķina saskaņā ar noteikto tarifu aprēķināšanas metodiku un pēc savas iniciatīvas vai Regulatora pieprasījuma iesniedz Regulatoram aprēķināto tarifu projektus kopā ar tarifu aprēķina projektā minēto tarifus veidojošo izmaksu pamatojumu.
20. Šobrīd spēkā ir Regulatora 2019.gada 28.augusta lēmums Nr.142 "Par kapitāla atdeves likmi dabasgāzes pārvades sistēmas, dabasgāzes sadales sistēmas un dabasgāzes uzglabāšanas pakalpojuma tarifu projekta aprēķināšanai".
21. Atbilstoši Administratīvā procesa likuma 70.panta trešajai daļai administratīvais akts ir spēkā tik ilgi, līdz to atceļ, izpilda vai vairs nevar izpildīt sakarā ar faktisko vai tiesisko apstākļu maiņu.
22. Regulators 2020.gada 17.augustā saņēma akciju sabiedrības "Gaso" (turpmāk – AS "Gaso") 2020.gada 17.augusta iesniegumu Nr.4-7-3/2803 un 2020.gada 18.augustā – akciju sabiedrības "Conexus Baltic Grid" (turpmāk – AS "Conexus Baltic Grid") 2020.gada 17.augusta iesniegumu Nr.COR-N-2020/1189 ar viedokli par sagatavoto lēmuma projektu:
22.1. vidējās svērtās kapitāla atdeves likmes aprēķina formulā jāizmanto efektīvā uzņēmumu ienākuma nodokļa likmes vērtība 25%, nevis 20% (AS "Gaso" un AS "Conexus Baltic Grid" viedoklis);
22.2. pašu kapitāla beta koeficienta aprēķina formulā jāizmanto 0% uzņēmumu ienākuma nodokļa likme, jo uzņēmumu ienākuma nodoklis tiek piemērots tikai dividendēm, nevis peļņai (AS "Conexus Baltic Grid" viedoklis);
22.3. jāprecizē Eiropas Enerģētikas regulatoru padomes dalībvalstu vidējās tirgus riska piemaksas aprēķins, aprēķinā izmantojot Beļģijas reģionu tirgus riska piemaksas vidējo vērtību, tādējādi iegūstot tirgus riska piemaksas (rm) vērtību 4,93% (AS "Conexus Baltic Grid" viedoklis).
23. Regulatora padomes sēdē attālināti piedalījās AS "Gaso" un AS "Conexus Baltic Grid" pilnvarotie pārstāvji un uzturēja iepriekš rakstiski izteikto viedokli par šā lēmuma projektu.
Regulators secina
1. Izmantojot šā lēmuma konstatējošās daļas 9., 10., 12., 13. un 14.punktā norādītās rādītāju skaitliskās vērtības, saskaņā ar Metodikas 5.punktu aprēķinātā pašu kapitāla atdeves likme re ir:
1.1. 7,34% komersantam, kurš, pēc pēdējā pieejamā gada pārskata datiem, atbilst mikrouzņēmumu vai mazo uzņēmumu kategorijai;
1.2. 5,06% komersantam, kurš, pēc pēdējā pieejamā gada pārskata datiem, atbilst vidējo uzņēmumu vai lielāku uzņēmumu kategorijai.
2. Izmantojot šā lēmuma konstatējošās daļas 15. un 16.punktā norādītās rādītāju skaitliskās vērtības, saskaņā ar Metodikas 7.punktu aprēķinātā aizņemtā kapitāla atdeves likme rd ir:
2.1. 3,10% komersantam, kurš, pēc pēdējā pieejamā gada pārskata datiem, atbilst mikrouzņēmumu vai mazo uzņēmumu kategorijai;
2.2. 2,45% komersantam, kurš, pēc pēdējā pieejamā gada pārskata datiem, atbilst vidējo uzņēmumu vai lielāku uzņēmumu kategorijai.
3. Izmantojot aprēķināto pašu kapitāla atdeves likmi un aizņemtā kapitāla atdeves likmi, kā arī šā lēmuma konstatējošās daļas 11. un 17.punktā norādītās rādītāju skaitliskās vērtības, saskaņā ar Metodikas 4.punktu aprēķinātā vidējā svērtā kapitāla atdeves likme reālā izteiksmē ir:
3.1. 4,37% komersantam, kurš, pēc pēdējā pieejamā gada pārskata datiem, atbilst mikrouzņēmumu vai mazo uzņēmumu kategorijai;
3.2. 2,65% komersantam, kurš, pēc pēdējā pieejamā gada pārskata datiem, atbilst vidējo uzņēmumu vai lielāku uzņēmumu kategorijai.
4. AS "Gaso" un AS "Conexus Baltic Grid" viedoklis, kas minēts šā lēmuma konstatējošās daļas 22.1.apakšpunktā, nav pamatots. Atbilstoši Metodikas 4.2.apakšpunkta formulai vidējā svērtā kapitāla atdeves likme tiek aprēķināta pirmsnodokļu jeb bruto izteiksmē. Izmantojot aprēķina formulā uzņēmumu ienākuma nodokļa likmes (t) vērtību 20%, pašu kapitāla atdeves likme tiek dalīta ar koeficientu 0,8 atbilstoši Uzņēmumu ienākuma nodokļa likuma 4.panta devītajai daļai, tādējādi iegūstot vidējo svērto kapitāla atdeves likmi pirmsnodokļu (bruto) vērtībā. Uzņēmumu ienākuma nodokļa likums ir spēkā no 2018.gada 1.janvāra un šā likuma 4.panta devītās daļas redakcija nav mainījusies, attiecīgi Regulators šogad piemēroja tādu pašu pieeju kā pērn un izmantoja uzņēmumu ienākuma nodokļa likmes vērtību 20%.
5. AS "Conexus Baltic Grid" viedoklis, kas minēts šā lēmuma konstatējošās daļas 22.2.apakšpunktā, nav pamatots, jo vidējā svērtā kapitāla atdeves likme tiek rēķināta pirmsnodokļu (bruto) izteiksmē. Regulators secina, ka nav korekti aprēķinā izmantot dažādus pieņēmumus par nodokļu maksājumiem. Tādējādi arī pašu kapitāla beta koeficienta aprēķina formulā būtu izmantojama 20% uzņēmumu ienākuma nodokļa likme.
6. Ņemot vērā AS "Conexus Baltic Grid" viedokli, kas minēts šā lēmuma konstatējošās daļas 22.3.apakšpunktā, šā lēmuma secinošās daļas 1., 3. un 7.punktā, kā arī šā lēmuma lemjošās daļas 1.punktā noteikto vērtību aprēķinā izmantota tirgus riska piemaksa 4,93%.
7. Regulatora ieskatā, kapitāla atdeves likme 4,37% apmērā komersantam, kurš, pēc pēdējā pieejamā gada pārskata datiem, atbilst mikrouzņēmumu vai mazo uzņēmumu kategorijai, un 2,65% apmērā komersantam, kurš, pēc pēdējā pieejamā gada pārskata datiem, atbilst vidējo uzņēmumu vai lielāku uzņēmumu kategorijai, saskan ar situāciju finanšu tirgos un adekvāti novērtē finansējuma piesaistes riskus, tādējādi nodrošinot iespēju dabasgāzes pārvades sistēmas operatoram, dabasgāzes sadales sistēmas operatoram un dabasgāzes uzglabāšanas sistēmas operatoram finansēt aizņēmumus, ieguldīt dabasgāzes sistēmas atjaunošanā un attīstībā, kā arī gūt samērīgu peļņu, vienlaikus nodrošinot lietotājiem iespēju saņemt nepārtrauktus, drošus un kvalitatīvus sabiedriskos pakalpojumus, kuru tarifi (cenas) atbilst ekonomiski pamatotām izmaksām.
Saskaņā ar Regulatora 2018.gada 13.augusta lēmuma Nr.1/23 "Kapitāla atdeves likmes aprēķināšanas metodika" 3.punktu, 4.2.apakšpunktu, 5., 6., 7., 8.punktu un 9.11.apakšpunktu, pamatojoties uz likuma "Par sabiedrisko pakalpojumu regulatoriem" 1.pantu, 5.pantu, 9.panta pirmās daļas 1.punktu un otro daļu un 20.panta pirmo daļu, kā arī Administratīvā procesa likuma 55.panta 2.punktu un 63.panta pirmās daļas 1.punktu,
padome nolemj:
1. noteikt kapitāla atdeves likmi dabasgāzes pārvades sistēmas, dabasgāzes sadales sistēmas un dabasgāzes uzglabāšanas pakalpojumu tarifu projekta aprēķināšanai:
1.1. 4,37% apmērā komersantam, kurš, pēc pēdējā pieejamā gada pārskata datiem, atbilst mikrouzņēmumu vai mazo uzņēmumu kategorijai;
1.2. 2,65% apmērā komersantam, kurš, pēc pēdējā pieejamā gada pārskata datiem, atbilst vidējo uzņēmumu vai lielāku uzņēmumu kategorijai;
2. noteikt, ka šā lēmuma lemjošās daļas 1.punktā noteikto kapitāla atdeves likmi dabasgāzes pārvades sistēmas, dabasgāzes sadales sistēmas un dabasgāzes uzglabāšanas sistēmas operators piemēro, aprēķinot dabasgāzes pārvades sistēmas, dabasgāzes sadales sistēmas un dabasgāzes uzglabāšanas pakalpojuma tarifu projektu, kura spēkā stāšanās datums plānots 2021.gadā.
Lēmums stājas spēkā ar tā parakstīšanas dienu.
Šo administratīvo aktu var pārsūdzēt Administratīvajā apgabaltiesā viena mēneša laikā no dienas, kad ieinteresētā persona uzzina vai tai vajadzēja uzzināt par pieņemto administratīvo aktu.
1 Šis un citi aprēķinā izmantotie rādītāji apkopoti 2020.gada 29.jūlijā.
Sabiedrisko pakalpojumu regulēšanas komisijas
padomes priekšsēdētājs R. Irklis