• Atvērt paplašināto meklēšanu
  • Aizvērt paplašināto meklēšanu
Pievienot parametrus
Dokumenta numurs
Pievienot parametrus
publicēts
pieņemts
stājies spēkā
Pievienot parametrus
Aizvērt paplašināto meklēšanu
RĪKI

Sabiedrisko pakalpojumu regulēšanas komisija
Sabiedrisko pakalpojumu regulēšanas komisija publicē:
  • lēmumus par tarifu aprēķināšanas metodiku un lēmumus, ar kuriem noteikts tarifs;
  • noteikumus par Regulatoram regulāri iesniedzamās informācijas veidiem, apjomu un iesniegšanas termiņiem;
  • vispārējās atļaujas noteikumus;
  • ziņojumus par izmaksu aprēķināšanas un attiecināšanas metodikas ievērošanu un ziņojumus, kuros informē par universālā pakalpojuma saistību tīrajām izmaksām.
TIESĪBU AKTI, KAS PAREDZ OFICIĀLO PUBLIKĀCIJU PERSONAS DATU APSTRĀDE

Publikācijas atsauce

ATSAUCĒ IETVERT:
Sabiedrisko pakalpojumu regulēšanas komisijas 2020. gada 6. augusta lēmums Nr. 1/11 "Grozījumi Sabiedrisko pakalpojumu regulēšanas komisijas 2017. gada 14. septembra lēmumā Nr. 1/24 "Obligātā iepirkuma un jaudas komponenšu aprēķināšanas metodika"". Publicēts oficiālajā izdevumā "Latvijas Vēstnesis", 12.08.2020., Nr. 154 https://www.vestnesis.lv/op/2020/154.4

Paraksts pārbaudīts

NĀKAMAIS

Sabiedrisko pakalpojumu regulēšanas komisijas lēmums Nr. 1/12

Dabasgāzes sadales sistēmas pakalpojuma tarifu aprēķināšanas metodika

Vēl šajā numurā

12.08.2020., Nr. 154

PAR DOKUMENTU

Izdevējs: Sabiedrisko pakalpojumu regulēšanas komisija

Veids: lēmums

Numurs: 1/11

Pieņemts: 06.08.2020.

OP numurs: 2020/154.4

2020/154.4
RĪKI

Sabiedrisko pakalpojumu regulēšanas komisijas lēmumi: Šajā laidienā 2 Pēdējās nedēļas laikā 0 Visi

Sabiedrisko pakalpojumu regulēšanas komisijas padomes lēmums Nr. 1/11

Rīgā 2020. gada 6. augustā (prot. Nr. 33, 1. p.)

Grozījumi Sabiedrisko pakalpojumu regulēšanas komisijas 2017. gada 14. septembra lēmumā Nr. 1/24 "Obligātā iepirkuma un jaudas komponenšu aprēķināšanas metodika"

Izdoti saskaņā ar Elektroenerģijas tirgus likuma
28. panta piekto daļu, 28.1 panta ceturto daļu,
30. panta trešo daļu, 30.2 panta trešo daļu,
pārejas noteikumu 53. punktu
un likuma "Par sabiedrisko pakalpojumu regulatoriem"
25. panta pirmo daļu

1. Izdarīt Sabiedrisko pakalpojumu regulēšanas komisijas 2017.gada 14.septembra lēmumā Nr.1/24 "Obligātā iepirkuma un jaudas komponenšu aprēķināšanas metodika" (Latvijas Vēstnesis, 2017, 189.nr.; 2018, 95.nr.) šādus grozījumus:

1.1. aizstāt visā lēmumā reizināšanas simbolu "*" ar reizināšanas simbolu "×";

1.2. izteikt 2.punktu šādā redakcijā:

"2. Ikstundas vidējo cenu  [EUR/kWh], par kuru publiskais tirgotājs iepērk elektroenerģiju no ražotājiem, kas elektroenerģiju ražo koģenerācijas stacijā, kā kurināmo izmantojot dabasgāzi (turpmāk – koģenerācija), aprēķina šādi:

kur

i – indekss, kas apzīmē stundu, kurai elektroenerģijas tirgus operators Latvijas tirdzniecības apgabalam nosaka nākamās dienas ikstundas cenu (turpmāk – nākamās dienas ikstundas cena);

 – ikstundas obligātā iepirkuma ietvaros iepērkamās elektroenerģijas izmaksas no ražotājiem, kas elektroenerģiju ražo koģenerācijā [EUR];

 – ikstundas obligātā iepirkuma ietvaros iepērkamās elektroenerģijas daudzums no ražotājiem, kas elektroenerģiju ražo koģenerācijā [kWh].";

1.3. svītrot 3.punktā vārdus un skaitļus "un obligātā iepirkuma tiesības ieguvušas saskaņā ar Elektroenerģijas tirgus likuma 29.pantu vai elektroenerģiju publiskajam tirgotājam pārdod saskaņā ar Elektroenerģijas tirgus likuma pārejas noteikumu 52.punktu (turpmāk – atjaunojamie energoresursi)";

1.4. izteikt 4.punktā lieluma  apzīmējumu šādi "– nākamās dienas ikstundas cena, [EUR/kWh]. ";

1.5. izteikt 7.punktu šādā redakcijā:

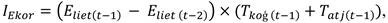
"7. Elektroenerģijas apjomu izmaksu korekciju IEkor [EUR] aprēķina šādi:

kur

t – gads, kurā apstiprina obligātā iepirkuma komponentes;

Eliet(t-1) – Latvijas galalietotāju elektroenerģijas faktiskais patēriņš, kurš samazināts par sadales sistēmas tīklā nodotās un no tīkla saņemtās elektroenerģijas apjomu, kas saražots un saņemts mājsaimniecības lietotāja objektā, kam piemērota elektroenerģijas neto norēķinu sistēma, iepriekšējā gadā [kWh];

Eliet(t-2) – Latvijas galalietotāju elektroenerģijas plānotais patēriņš, kurš samazināts par sadales sistēmas tīklā nodotās un no tīkla saņemtās elektroenerģijas apjomu, kas saražots un saņemts mājsaimniecības lietotāja objektā, kam piemērota elektroenerģijas neto norēķinu sistēma, un kurš tika iekļauts obligātā iepirkuma komponenšu aprēķinā iepriekšējā gadā [kWh];

Tkoģ(t-1) – apstiprinātā obligātā iepirkuma komponente obligātajam iepirkumam no ražotājiem, kas elektroenerģiju ražo koģenerācijā, iepriekšējā gadā [EUR/kWh];

Tatj(t-1) – apstiprinātā obligātā iepirkuma komponente obligātajam iepirkumam no ražotājiem, kas elektroenerģiju ražo, izmantojot atjaunojamos energoresursus, iepriekšējā gadā [EUR/kWh].";

1.6. izteikt 8.punktu šādā redakcijā:

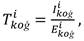
"8. Obligātajam iepirkumam no ražotājiem, kas elektroenerģiju ražo koģenerācijā, obligātā iepirkuma komponenti Tkoģ [EUR/kWh] aprēķina šādi:

kur

cdot – dotācijas daļa pret kopējām izmaksām I [EUR]. cdot aprēķina pēc šādas formulas:

kur

D – valsts budžeta dotācijas apmērs obligātā iepirkuma komponenšu apmēra samazināšanai [EUR];

padm – administratīvo izmaksu daļa pret kopējām izmaksām I par obligātā iepirkuma ietvaros iepērkamo elektroenerģiju, kuras pārsniedz izmaksas, kādas būtu, ja šo elektroenerģiju iepirktu elektroenerģijas tirgū, un kopējām publiskā tirgotāja izmaksām N, ko veido maksājumi par uzstādīto elektrisko jaudu ražotājiem, kas ieguvuši tiesības saņemt garantēto maksu par koģenerācijas stacijā uzstādīto elektrisko jaudu saskaņā ar Elektroenerģijas tirgus likuma 28.1pantu. padm aprēķina pēc šādas formulas:

kur

Iadm – administratīvās izmaksas, kuras nepieciešamas, lai administrētu elektroenerģijas iepirkšanu no ražotājiem, kas elektroenerģiju ražo koģenerācijā, un no ražotājiem, kas elektroenerģijas ražošanai izmanto atjaunojamos energoresursus, lai administrētu maksājumu veikšanu par uzstādīto elektrisko jaudu koģenerācijas stacijās, kā arī lai administrētu maksājumu veikšanu saskaņā ar Elektroenerģijas tirgus likuma 30.2pantā noteikto atbalstu energoietilpīgajiem apstrādes rūpniecības uzņēmumiem un administrētu darbības ar izcelsmes apliecinājumiem (turpmāk viss kopā – administratīvās izmaksas) [EUR];

N – kopējās publiskā tirgotāja izmaksas gadā, ko veido maksājumi par uzstādīto elektrisko jaudu ražotājiem, kas ieguvuši tiesības saņemt garantēto maksu par koģenerācijas stacijā uzstādīto elektrisko jaudu saskaņā ar Elektroenerģijas tirgus likuma 28.1pantu [EUR];

 – obligātā iepirkuma ietvaros iepērkamās elektroenerģijas daudzums no ražotājiem, kas elektroenerģiju ražo koģenerācijā [kWh];

cbal – balansēšanas enerģijas izmaksu un elektroenerģijas apjomu izmaksu korekcijas daļa uz vienu obligātajā iepirkumā iepirktās enerģijas vienību. cbal aprēķina pēc šādas formulas [EUR/kWh]:

kur

Ibal – publiskā tirgotāja balansēšanas enerģijas izmaksas, kuras rodas, veicot balansēšanu ražotājiem, kas elektroenerģiju ražo koģenerācijā, un ražotājiem, kas elektroenerģijas ražošanai izmanto atjaunojamos energoresursus (turpmāk – balansēšanas izmaksas) [EUR];

 – obligātā iepirkuma ietvaros iepērkamās elektroenerģijas daudzums no ražotājiem, kas elektroenerģiju ražo elektrostacijās, izmantojot atjaunojamos energoresursus [kWh];

Iizc koģ – publiskā tirgotāja ieņēmumi no tādas iepirktās elektroenerģijas, kas saražota koģenerācijā, izcelsmes apliecinājuma pārdošanas [EUR];

Eliet – kopējais Latvijas galalietotāju elektroenerģijas patēriņš, kurš samazināts par sadales sistēmas tīklā nodotās un no tīkla saņemtās elektroenerģijas apjomu, kas saražots un saņemts mājsaimniecības lietotāja objektā, kam piemērota elektroenerģijas neto norēķinu sistēma [kWh].";

1.7. izteikt 9.punktu šādā redakcijā:

"9. Obligātajam iepirkumam no ražotājiem, kas elektroenerģiju ražo elektrostacijās, izmantojot atjaunojamos energoresursus, obligātā iepirkuma komponenti Tatj [EUR/kWh] aprēķina šādi:

 

kur

Ien iet – publiskā tirgotāja maksājumi gadā energoietilpīgajiem apstrādes rūpniecības uzņēmumiem, kas samazināti par šim mērķim paredzēto valsts budžeta dotāciju [EUR];

Iizc atj – publiskā tirgotāja ieņēmumi no tādas iepirktās elektroenerģijas, kas saražota no atjaunojamiem energoresursiem, izcelsmes apliecinājuma pārdošanas [EUR].";

1.8. aizstāt 10.punktā vārdus un formulu "f aprēķina šādi: , kur" ar vārdiem un formulu "f aprēķina šādi:

kur

Iizc jauda – publiskā tirgotāja ieņēmumi no ražotāju, kas ieguvuši tiesības saņemt garantēto maksu par koģenerācijas stacijā uzstādīto elektrisko jaudu, saražotās elektroenerģijas izcelsmes apliecinājuma pārdošanas [EUR];";

1.9. papildināt 11.punktu ar 11.10. un 11.11.apakšpunktu šādā redakcijā:

"11.10. attiecīgā gada deviņu mēnešu (no 1.janvāra līdz 30.septembrim) publiskā tirgotāja ieņēmumus no elektroenerģijas izcelsmes apliecinājumu pārdošanas un šajā punktā minēto rādītāju prognozi, un to pamatojumu par periodu no 1.oktobra līdz 31.decembrim;

11.11. attiecīgā gada deviņu mēnešu (no 1.janvāra līdz 30.septembrim) sadales sistēmas tīklā nodotās un no tīkla saņemtās elektroenerģijas apjomu, kas saražots un saņemts mājsaimniecības lietotāja objektā, kam piemērota elektroenerģijas neto norēķinu sistēma tās piemērošanas periodā, un šajā apakšpunktā minētā elektroenerģijas apjoma prognozi par periodu no 1.oktobra līdz 31.decembrim.";

1.10. papildināt 15.punktu aiz skaitļa "11.4." ar vārdu un skaitli "un 11.11.";

1.11. 2.pielikuma nosaukumā un tabulas otrās kolonnas nosaukumā aizstāt vārdus un skaitli "koģenerācijā un obligātā iepirkuma tiesības ieguvuši saskaņā ar Elektroenerģijas tirgus likuma 28.pantu" ar vārdiem "dabasgāzes koģenerācijas stacijā";

1.12. 3.pielikuma nosaukumā un tabulas otrās kolonnas nosaukumā svītrot vārdus un skaitļus "un obligātā iepirkuma tiesības ieguvuši saskaņā ar Elektroenerģijas tirgus likuma 29.pantu vai elektroenerģiju publiskajam tirgotājam pārdod saskaņā ar Elektroenerģijas tirgus likuma pārejas noteikumu 52.punktu".

2. Lēmums stājas spēkā nākamajā dienā pēc tā publicēšanas oficiālajā izdevumā "Latvijas Vēstnesis".

Sabiedrisko pakalpojumu regulēšanas komisijas
padomes priekšsēdētājs R. Irklis

Izdruka no oficiālā izdevuma "Latvijas Vēstnesis" (www.vestnesis.lv)

ATSAUKSMĒM

ATSAUKSMĒM

Lūdzu ievadiet atsauksmes tekstu!