
Jūrmalas pilsētas domes saistošie noteikumi: Šajā laidienā 1 Pēdējās nedēļas laikā 0 Visi
Jūrmalas pilsētas domes saistošie noteikumi Nr.41
Jūrmalā 2018.gada 22.novembrī (prot. Nr.16, 13.p.)
Grozījumi Jūrmalas pilsētas domes 2010.gada 4.februāra saistošajos noteikumos Nr.6 "Jūrmalas pilsētas pašvaldības nolikums"
Izdoti saskaņā ar likuma "Par pašvaldībām"
21.panta pirmās daļas 1.punktu un 24.pantu
Izdarīt Jūrmalas pilsētas domes 2010.gada 4.februāra saistošajos noteikumos Nr.6 "Jūrmalas pilsētas pašvaldības nolikums" šādus grozījumus:
1. Papildināt ar 17.1.30.apakšpunktu šādā redakcijā:
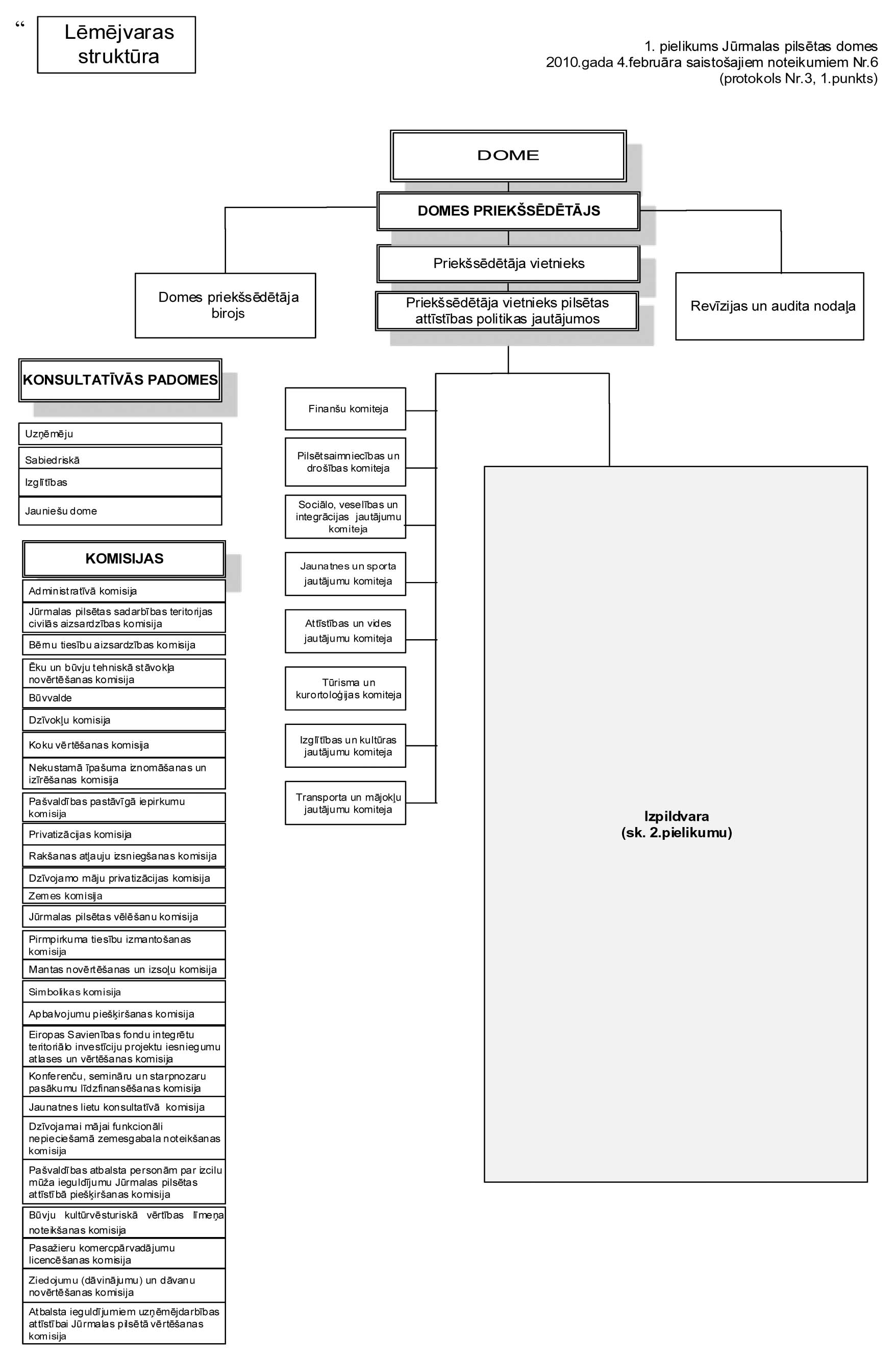
"17.1.30. atbalsta ieguldījumiem uzņēmējdarbības attīstībai Jūrmalas pilsētā vērtēšanas komisija";
2. Izteikt 1.pielikumu šādā redakcijā:
"
Jūrmalas pilsētas domes priekšsēdētājs G.Truksnis
Paskaidrojuma raksts
Jūrmalas pilsētas domes 2018.gada 22.novembra saistošajiem noteikumiem Nr.41
"Grozījumi Jūrmalas pilsētas domes 2010.gada 4.februāra saistošajos noteikumos
Nr.6 "Jūrmalas pilsētas pašvaldības nolikums""
|
Paskaidrojuma raksta sadaļas |
Norādāmā informācija |
| 1. Īss projekta satura izklāsts | Atbilstoši likuma "Par pašvaldībām" 24.panta pirmajai daļai pašvaldības nolikums ir saistošie noteikumi, kas nosaka pašvaldības pārvaldes organizāciju, lēmumu pieņemšanas kārtību, iedzīvotāju tiesības un pienākumus vietējā pārvaldē, kā arī citus pašvaldības darba organizācijas jautājumus. |
| 2. Projekta nepieciešamības pamatojums | Atbilstoši Jūrmalas pilsētas tūrisma
attīstības rīcības plānā 2018.–2020.gadam, noteiktā uzdevuma
1.1. "Atraktīvas piesaistes objektu izveide ar augstu tūristu piesaistes
potenciālu" pasākumam 1.1.2. "Līdzfinansējuma projektu konkurss
inovatīvu, radošu tūrisma produktu izveides veicināšana" un saskaņā ar
2018.gada 18.oktobrī apstiprināto Jūrmalas pilsētas domes nolikumu Nr.39
"Atbalsts ieguldījumiem uzņēmējdarbības attīstībai Jūrmalas pilsētā"
(turpmāk – nolikums), pašvaldība izveidoja atbalsta ieguldījumiem
uzņēmējdarbības attīstībai Jūrmalas pilsētā vērtēšanas komisiju, kuras
sastāvu ar rīkojumu apstiprina domes priekšsēdētājs. Komisijas pienākumi un atbildība noteikta nolikumā. |
| 3. Informācija par plānoto projekta ietekmi uz pašvaldības budžetu | Finansējums atbalsta sniegšanai paredzēts 2018.gada Tūrisma un Uzņēmējdarbības attīstības nodaļas budžetā. |
| 4. Informācija par plānoto projekta ietekmi uz uzņēmējdarbības vidi pašvaldības teritorijā | Atbalsta mērķis ir veicināt uzņēmēju aktivitāti ziemas sezonā, lai pilsētas iedzīvotājiem un viesiem piedāvātu vairāk pakalpojumu, tādējādi aicinot uzturēties Jūrmalā pēc iespējas ilgāk un atgriezties atkal. |
| 5. Informācija par administratīvajām procedūrām | Līdzšinējās administratīvās procedūras netiek mainītas. |
| 6. Informācija par konsultācijām ar privātpersonām | Saistošo noteikumu izstrādē nav nepieciešama konsultēšanās ar privātpersonām, jo tie neierobežo sabiedrības intereses. |
Jūrmalas pilsētas domes priekšsēdētājs G.Truksnis