• Atvērt paplašināto meklēšanu
  • Aizvērt paplašināto meklēšanu
Pievienot parametrus
Dokumenta numurs
Pievienot parametrus
publicēts
pieņemts
stājies spēkā
Pievienot parametrus
Aizvērt paplašināto meklēšanu
RĪKI

Ministru kabinets
Oficiālajā izdevumā publicē:
  • Ministru kabineta noteikumus, instrukcijas un ieteikumus. Tie stājas spēkā nākamajā dienā pēc izsludināšanas, ja tiesību aktā nav noteikts cits spēkā stāšanās termiņš;
  • Ministru kabineta rīkojumus. Tie stājas spēkā parakstīšanas brīdī;
  • Ministru kabineta sēdes protokollēmumus. Tie stājas spēkā pieņemšanas brīdī;
  • plānošanas dokumentus, kā arī informatīvos ziņojumus par politikas plānošanas dokumentu īstenošanu.
TIESĪBU AKTI, KAS PAREDZ OFICIĀLO PUBLIKĀCIJU PERSONAS DATU APSTRĀDE

Publikācijas atsauce

ATSAUCĒ IETVERT:
Ministru kabineta 2017. gada 13. jūnija noteikumi Nr. 332 "Grozījumi Ministru kabineta 2002. gada 19. marta noteikumos Nr. 127 "Epizootiju uzliesmojuma un draudu novēršanas kārtība"". Publicēts oficiālajā izdevumā "Latvijas Vēstnesis", 15.06.2017., Nr. 119 https://www.vestnesis.lv/op/2017/119.17

Paraksts pārbaudīts

NĀKAMAIS

Ministru kabineta noteikumi Nr. 333

Grozījumi Ministru kabineta 2012. gada 21. februāra noteikumos Nr. 127 "Noteikumi par ziņojamām, reģistrējamām un valsts uzraudzībā esošām dzīvnieku infekcijas slimībām un kārtību, kādā par tām sniedzama informācija Pārtikas un veterinārajam dienestam"

Vēl šajā numurā

15.06.2017., Nr. 119

PAR DOKUMENTU

Izdevējs: Ministru kabinets

Veids: noteikumi

Numurs: 332

Pieņemts: 13.06.2017.

OP numurs: 2017/119.17

2017/119.17
RĪKI

Ministru kabineta noteikumi: Šajā laidienā 20 Pēdējās nedēļas laikā 1 Visi

Ministru kabineta noteikumi Nr. 332

Rīgā 2017. gada 13. jūnijā (prot. Nr. 30 37. §)

Grozījumi Ministru kabineta 2002. gada 19. marta noteikumos Nr. 127 "Epizootiju uzliesmojuma un draudu novēršanas kārtība"

Izdoti saskaņā ar Veterinārmedicīnas likuma
26. panta pirmo daļu un 27. panta trešo daļu

Izdarīt Ministru kabineta 2002. gada 19. marta noteikumos Nr. 127 "Epizootiju uzliesmojuma un draudu novēršanas kārtība" (Latvijas Vēstnesis, 2002, 27. nr.; 2004, 193. nr.; 2005, 130. nr.; 2007, 100., 201. nr.; 2009, 57., 142. nr.; 2010, 12. nr.; 2012, 156. nr.; 2013, 158. nr.) šādus grozījumus:

1. Aizstāt noteikumu tekstā vārdu "pielikums" (attiecīgā locījumā) ar skaitli un vārdu "1. pielikums" (attiecīgā locījumā).

2. Aizstāt 2. punktā vārdu "institūts" ar tekstu "institūts "BIOR"".

3. Papildināt noteikumus ar 2.1 punktu šādā redakcijā:

"2.1 Valsts zinātniskais institūts "Pārtikas drošības, dzīvnieku veselības un vides zinātniskais institūts "BIOR"" paraugus Āfrikas zirgu mēra noteikšanai izmeklē, izmantojot šo noteikumu 2. pielikumā norādītās metodes."

4. Svītrot 11.2. apakšpunktu.

5. Aizstāt 42.3. apakšpunktā vārdu "institūts" ar tekstu "institūts "BIOR"".

6. Papildināt informatīvo atsauci uz Eiropas Savienības direktīvām ar 8. punktu šādā redakcijā:

"8) Padomes 2009. gada 30. novembra Direktīvas 2009/156/EK par dzīvnieku veselības prasībām attiecībā uz zirgu dzimtas dzīvnieku pārvadāšanu un importu no trešajām valstīm."

7. Papildināt noteikumus ar 2. pielikumu šādā redakcijā:

"2. pielikums
Ministru kabineta
2002. gada 19. marta
noteikumiem Nr. 127

Āfrikas zirgu mēra diagnostika

1. nodaļa
Seroloģiskie testi

1. Laboratoriskajiem izmeklējumiem izmanto seroloģiskās imūnfermentatīvās analīzes metodes (ELISA), pamatojoties uz 2016. gada izdevuma "Sauszemes dzīvnieku diagnostisko testu un vakcīnu rokasgrāmata" 2.5.1. nodaļas B daļas 2. punktu (pieņemts Pasaules Dzīvnieku veselības organizācijas (OIE) pasaules delegātu sanāksmē 2012. gada maijā).

2. VP7 vīrusa proteīns ir imūndominants Āfrikas zirgu mēra vīrusa (AHSV) lielākais antigēnais proteīns, un tas ir sastopams visos deviņos AHSV serotipos. Rekombinētie AHSV-VP7 proteīni ir stabili un nekaitīgi, un piemēroti izmantošanai par antigēniem ELISA procedūrās Āfrikas zirgu mēra vīrusa (AHSV) antivielu noteikšanai ar augstu jutības un specifiskuma pakāpi (Laviada et al., 1992b; Maree un Paweska, 2005).

3. Āfrikas zirgu mēra (ĀZM) seroloģiskajai diagnosticēšanai ir piemēroti divi AHS-VP7 ELISA testi:

3.1. netiešā ELISA;

3.2. bloķējošā ELISA.

1.1. Netiešā ELISA AHSV antivielu noteikšanai

4. Šajā metodē izmantotais konjugāts ir enzīms (mārrutku peroksidāze) – pretzirgu gammaglobulīns, kas reaģē ar zirgu, mūļu un ēzeļu serumu. Maree un Paweska (2005) aprakstītajā metodē par konjugātu izmanto G proteīnu, kas reaģē ar zebru serumu.

5. Eiropas Savienības references laboratorija Āfrikas zirgu mēra noteikšanai Centro de Investigación en Sanidad Animal (CISA) Spānijā pēc pieprasījuma četru līdz sešu mēnešu laikā nodrošina ar seroloģiskajiem testiem nepieciešamo antigēnu.

6. Testa procedūras cietā fāze:

6.1. ELISA plates pārklāj ar rekombinētu AHSV-4 VP7, kas izšķīdināts karbonāta/bikarbonāta bufervielā ar pH 9,6. Plates atstāj pa nakti inkubēties 4 °C temperatūrā;

6.2. plates piecas reizes mazgā ar destilētu ūdeni, kas satur 0,01 % (masas) Tween 20 (mazgāšanas šķīdumu). Viegli uzsit pa platēm virs absorbējošā materiāla, lai atbrīvotos no atlikušajām mazgāšanas sastāvdaļām;

6.3. plates bloķē ar fosfātu fizioloģisko buferšķīdumu (PBS), kura pH ir 7,2 un kuram pievieno 5 % (m/V) vājpiena (Nestlé Dry Skim MilkTM), 200 μl uz iedobi, vienu stundu 37 °C temperatūrā;

6.4. atbrīvojas no bloķējošā šķīduma un viegli uzsit pa platēm virs absorbējošā materiāla;

6.5. izmeklējamos serumu paraugus un pozitīvos un negatīvos kontrolserumus proporcijā 1 pret 25 izšķīdina PBS, kam pievieno 5 % (masas) vājpiena un 0,05 % (masas) Tween 20, 100 μl uz iedobi. Inkubē vienu stundu 37 °C temperatūrā;

6.6. lai veiktu titrēšanu, sagatavo divkārša atšķaidījuma virknes no 1 pret 25 (100 μl uz iedobi) – viens serums attiecībā uz vienu plates aili – un tāpat rīkojas ar pozitīvajām un negatīvajām kontrolēm. Inkubē vienu stundu 37 °C temperatūrā;

6.7. plates piecas reizes mazgā ar destilētu ūdeni, kas satur 0,01 % (masas) Tween 20 (mazgāšanas šķīdumu). Viegli uzsit pa platēm virs absorbējošā materiāla, lai atbrīvotos no atlikušajām mazgāšanas sastāvdaļām.

7. Konjugāts: ielej 100 μl uz iedobi mārrutku peroksidāzes (HRP) pretzirgu gammaglobulīna konjugātu, kas izšķīdināts PBS, kuram pievieno 5 % vājpiena un 0,05 % Tween 20, pH 7,2. Inkubē vienu stundu 37 °C temperatūrā.

8. Plates piecas reizes mazgā ar destilētu ūdeni, kas satur 0,01 % (masas) Tween 20 (mazgāšanas šķīdumu). Viegli uzsit pa platēm virs absorbējoša materiāla, lai atbrīvotos no atlikušajām mazgāšanas sastāvdaļām.

9. Hromogēns/substrāts: pievieno 200 μl uz iedobi hromogēna/substrāta šķīdumu (10 ml 80,6 mM DMAB (dimetilaminobenzaldehīdu), kam pievieno 10 ml 1,56 mM MBTH (3-metil-2-benzotiazolīnhidrazona hidrohlorīdu) un 5 μl H2O2).

10. Krāsas veidošanos aptur, apmēram pēc 5 līdz 10 minūtēm (pirms sāk iekrāsoties negatīvā kontrole) pievienojot 50 μl 3N H2SO4. Var izmantot arī citus hromogēnus, piemēram, ABTS (2,2′-azino-bis-[3-etilbenzotiazolīn-6-sulfoskābi]), TMB (tetrametilbenzidīnu) vai OPD (ortofenildiamīnu).

11. Veic plašu nolasījumus pie 600 nm (vai 620 nm).

12. Rezultātu interpretācija:

12.1. aprēķina izslēgšanas vērtību, pieskaitot negatīvās kontroles vērtībai 0,06 (0,06 ir standartnovirze, ko iegūst 30 negatīvu serumu grupā);

12.2. testa paraugi, kas uzrāda zemākas absorbcijas vērtības nekā izslēgšanas vērtība, uzskatāmi par negatīviem;

12.3. testa paraugi, kas uzrāda lielākas absorbcijas vērtības nekā izslēgšanas vērtība + 0,15, uzskatāmi par pozitīviem;

12.4. testa paraugi, kuru uzrādītās absorbcijas vērtības atrodas vidusposmā, uzskatāmi par nepārliecinošiem, un rezultāta apstiprināšanai jālieto otra metode.

1.2. Bloķējošā ELISA AHSV antivielu noteikšanai

13. Konkurējošā bloķējošā ELISA ir izstrādāta tā, lai noteiktu specifiskās AHSV antivielas jebkuras zirgu dzimtas sugas dzīvnieku, t. i., zirgu, ēzeļu, zebru un to krustojumu, serumos, novēršot šo specifiskuma problēmu, ar ko reizēm nācās saskarties, izmantojot netiešo ELISA.

14. Testa princips ir bloķēt reakciju starp rekombinēto VP7 proteīnu, kas absorbēts uz ELISA plates, un konjugēto AHS-VP7 specifisko monoklonālo antivielu (Mab). Tā kā antiviela testa serumos bloķē reakciju starp antigēnu un Mab, vājinās krāsas reakcija. Tā kā Mab ir vērsta pret VP7, pārbaudei raksturīga augsta jutības un specifiskuma pakāpe.

15. Testa procedūras cietā fāze:

15.1. ELISA plates pārklāj ar 50–100 ng rekombinētu AHSV-4 VP7, kas izšķīdināts karbonāta/bikarbonāta bufervielā ar pH 9,6. Plates atstāj pa nakti inkubēties 4 °C temperatūrā;

15.2. plates trīs reizes mazgā ar 0,1× fosfātu fizioloģisko buferšķīdumu (PBS), kas satur 0,135 M NaCl un 0,05 % (masas) Tween 20 (PBST). Viegli uzsit pa platēm virs absorbējošā materiāla, lai atbrīvotos no atlikušajām mazgāšanas sastāvdaļām;

15.3. testējamos seruma paraugus un pozitīvos un negatīvos kontrolserumus proporcijā 1 pret 5 izšķīdina 0,35 M NaCl, 0,05 % (masas) Tween 20 un 0,1 % katona, 100 μl uz iedobi. Inkubē vienu stundu 37 °C temperatūrā;

15.4. lai veiktu titrēšanu, sagatavo testa seruma divkārša atšķaidījuma virknes no 1 pret 10 līdz 1 pret 280 astoņās iedobēs (100 μl uz iedobi) – viens serums uz vienu plates aili – un tāpat rīkojas ar pozitīvajām un negatīvajām kontrolēm. Inkubē vienu stundu 37 °C temperatūrā;

15.5. plates piecas reizes mazgā ar 0,1× fosfātu fizioloģisko buferšķīdumu (PBS), kas satur 0,135 M NaCl un 0,05 % (masas) Tween 20 (PBST). Viegli uzsit pa platēm virs absorbējošā materiāla, lai atbrīvotos no atlikušajām mazgāšanas sastāvdaļām.

16. Konjugāts: ielej 100 μl uz iedobi mārrutku peroksidāzes konjugātu Mab anti-VP7. Iepriekš šīs Mab atšķaida 1/5 000–1/15 000 StabiliZyme Select® Stabilizer (SurModics. Atsauce: SZ03) 1/1 šķīdumā destilētā ūdenī. Inkubē 30 minūtes 37 °C temperatūrā.

17. Plates piecas reizes mazgā ar 0,1× fosfātu fizioloģisko buferšķīdumu (PBS), kas satur 0,135 M NaCl un 0,05 % (masas) Tween 20 (PBST). Viegli uzsit pa platēm virs absorbējošā materiāla, lai atbrīvotos no atlikušajām mazgāšanas sastāvdaļām.

18. Hromogēns/substrāts: pievieno 100 μl uz iedobi hromogēna/substrāta šķīdumu, t. i., 1 ml ABTS (2,2′-azino-bis-[3-etilbenzotiazolīn-6-sulfoskābi]) 5 mg/ml, kam pievieno 9 ml substrāta bufervielas (0,1 M fosfāta citrāta buferšķīdumu ar pH 4, kas satur 0,03 % H2O2), un inkubē 10 minūtes istabas temperatūrā. Krāsas veidošanos aptur, pievienojot 100 μl uz iedobi 2 % (masas) SDS (nātrija dodecilsulfātu).

19. Nolasījumu veic pie 405 nm ELISA nolasītājā.

20. Rezultātu interpretācija:

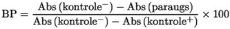
20.1. katra parauga bloķējošo procentuālo daļu (BP) nosaka, izmantojot šādu formulu, kur Abs ir antivielas:

20.2. paraugi ar BP vērtību, kas pārsniedz 50 %, būtu jāuzskata par pozitīviem attiecībā uz AHSV antivielām;

20.3. paraugi ar BP vērtību, kas ir zemāka par 45 %, būtu jāuzskata par negatīviem attiecībā uz AHSV antivielām;

20.4. paraugi ar BP vērtību robežās no 45 līdz 50 % būtu jāuzskata par nepārliecinošiem un jātestē atkārtoti. Ja rezultāts atkal ir nepārliecinošs, dzīvniekiem veic atkārtotu testēšanu no paraugiem, kas noņemti ne agrāk kā divas nedēļas pēc tam, kad tika noņemti paraugi, kuri tika uzskatīti par nepārliecinošiem.

2. nodaļa
ĀZM vīrusa noteikšana

2.1. Reāllaika atgriezeniskās transkriptāzes polimerāzes ķēdes reakcija (rRT-PCR)

21. ĀZM vīrusa noteikšanas testiem, kuru pamatā ir nukleīnskābju metodes, jāizmanto references celmi no deviņiem AHSV vīrusa serotipiem.

22. Šā pielikuma 2.2. un 2.3. nodaļā aprakstītās metodes pamatā ir 2016. gada izdevuma "Sauszemes dzīvnieku diagnostisko testu un vakcīnu rokasgrāmata" 2.5.1. nodaļas B daļas 1.2. apakšpunkts (pieņemts Pasaules dzīvnieku veselības organizācijas (OIE) pasaules delegātu sanāksmē 2012. gada maijā).

23. Jebkurai asiņu vai liesas paraugu testēšanai izmantojamai RT-PCR metodei jābūt līdzvērtīgai vai jutīgākai par šā pielikuma 2.2. un 2.3. nodaļā aprakstīto metodi.

24. Eiropas Savienības references laboratorija Āfrikas zirgu mēra noteikšanai Centro de Investigación en Sanidad Animal (CISA) Spānijā vai OIE Āfrikas zirgu mēra references laboratorija Algetē, Spānijā, nodrošina inaktivētus ĀZM vīrusa 1. līdz 9. serotipa standarta celmus.

25. Lai nodrošinātu labu reakciju, no parauga nepieciešams ekstrahēt ļoti kvalitatīvu ĀZMV RNS. Nukleīnskābes no klīniskajiem paraugiem var ekstrahēt ar dažādām iekšējām un komerciāli pieejamām metodēm.

26. Komerciāli pieejamos testēšanas komplektos izmanto dažādas pieejas RNS izolācijai. Lielākā daļa balstās uz vienu no šādām procedūrām:

26.1. nukleīnskābju ekstrahēšanu ar fenolu un hloroformu;

26.2. nukleīnskābju adsorbciju filtrēšanas sistēmā;

26.3. nukleīnskābju adsorbciju magnētisku lodīšu sistēmā.

27. RNS ar iekšējo metodi var ekstrahēt šādi:

27.1. 1 g audu parauga homogenizē 1 ml denaturēšanas šķīduma (4 M guanīdija tiocianāta, 25 mM nātrija citrāta, 0,1 M 2-merkaptoetanola, 0,5 % sarkozila);

27.2. pēc centrifugēšanas supernatantam pievieno vienu μg rauga RNS, 0,1 ml 2 M nātrija acetāta pH 4 un 1 ml fenola, un 0,2 ml hloroforma/izoamilspirta maisījumu (49/1);

27.3. suspensiju enerģiski sakrata un 15 minūšu atdzesē uz ledus;

27.4. pēc centrifugēšanas ūdens fāzē esošo RNS ekstrahē ar fenolu, izgulsnē ar etanolu un atkārtoti suspendē sterilā ūdenī.

2.2. Grupai specifiskā reāllaika RT-PCR

28. Grupai specifiskā reāllaika RT-PCR saskaņā ar Agüero et al., 2008 attiecas uz AHSV VP7, un ar to var noteikt visus zināmos AHSV serotipus un patlaban apritē esošos vīrusu celmus.

29. Praimeru un zondes sekvences AHSV sugas vīrusu noteikšanai:

29.1. tiešais praimeris – 5′-CCA-GTA-GGC-CAG-ATC-AAC-AG-3′;

29.2. atgriezeniskais praimeris – 5′-CTA-ATG-AAA-GCG-GTG-ACC-GT-3′;

29.3. MGB-TaqMan zonde – 5′-FAM-GCT-AGC-AGC-CTA-CCA-CTA-MGB-3′.

30. Praimeru sākotnējā atšķaidījuma koncentrāciju atšķaida līdz 8 μM darba koncentrācijai (praimera darba atšķaidījums 8 μM), bet zondi atšķaida līdz 50 μM darba koncentrācijai (zondes darba atšķaidījums 50 μM). Jāsagatavo testa plates izkārtojums un jāieraksta reāllaika PCR mašīnas programmatūrā. Izmantojot izkārtojumu par norādi, 2,5 μl no katra praimera darba atšķaidījuma pievieno katrā iedobē, kur vēlāk pievienos paraugu RNS, pozitīvo un negatīvo kontroli (praimera galīgajai koncentrācijai jābūt 1 μM 20 μM RT-PCR maisījuma). Plati tur uz ledus.

31. 2 μl izolētas RNS (testa paraugiem un pozitīvās kontroles) vai 2 μl no RNS brīva ūdens negatīvās reakcijas kontrolēs sajauc ar tiešo un atgriezenisko praimeru maisījumu. Šo maisījumu denaturē, karsējot 5 minūtes 95 °C temperatūrā un pēc tam vismaz 5 minūtes ātri atdzesē uz ledus.

32. Sagatavo attiecīgu daudzumu viensoļa reāllaika RT-PCR reaģentu maisījuma atbilstoši analizējamo paraugu skaitam pēc ražotāja norādījumiem. 0,1 μl zondes darba atšķaidījuma pievieno katrā iedobē, kas satur denaturētos RNS paraugus un praimerus. (Zondes galīgajai koncentrācijai jābūt 0,25 μM katrā iedobē, kas satur RNS paraugus.) 13 μl viensoļa reāllaika RT-PCR reaģentu maisījuma sadala katrā iedobē uz PCR plates, kas satur denaturētos praimerus un RNS.

33. Plati ievieto reāllaikā amplifikatorā, kas ieprogrammēts atgriezeniskās transkripcijas un cDNS amplifikācijas/fluorescences noteikšanai. Amplifikācijas apstākļi ietver pirmo atgriezeniskās transkripcijas soli 25 minūtes 48 °C temperatūrā, tad 10 minūšu 95 °C temperatūrā (karstā iedarbināšana) un 40 ciklu pa 15 sekundēm 95 °C temperatūrā, 35 sekundes 55 °C temperatūrā un 30 sekunžu 72 °C temperatūrā (vai 40 ciklu pa 2 sekundēm 97 °C un 30 sekunžu 55 °C temperatūrā, ja izmanto reaģentus un amplifikatoru, kas pieļauj ātru reakcijas gaitu). Fluorescences datus iegūst 55 °C temperatūras soļa beigās.

34. Ja iegūtas netipiskas amplifikācijas līknes, analīze uzskatāma par nederīgu un tā jāatkārto.

35. Rezultātu interpretācija:

35.1. paraugus uzskata par pozitīviem, ja Ct vērtība (ciklu skaits, kuros reakcijā ģenerētā fluorescences līkne šķērso fluorescences slieksni) ir mazāka par noteikto Ct slieksni (35) 40 PCR ciklos (Ct ≤ 35) vai vienāda ar to;

35.2. paraugus uzskata par nepārliecinošiem, ja Ct vērtība ir augstāka nekā noteiktais Ct slieksnis (35) 40 PCR ciklos (Ct ≥ 35);

35.3. paraugus uzskata par negatīviem, ja ir iegūta horizontālās amplifikācijas līkne, kas nešķērso sliekšņa līkni 40 PCR ciklos.

2.3. Grupai specifiskā reāllaika RT-PCR saskaņā ar Guthrie et al., 2013

36. Reāllaika RT-PCR, kurā izmanto fluorescences rezonanses enerģijas pārvades (FRET) zondes, lai noteiktu AHSV nukleīnskābi, tika izstrādāta, izmantojot sekvences no dažādiem patlaban sastopamiem AHSV pamatcelmiem (Quan et al., 2010). Tajā ietilpst arī patentēta sintētiska ārēja kontroles analīze, lai pārbaudītu analīzes komponentu pareizu darbību.

37. Saskaņā ar Guthrie et al. (2013) daži pamatsoļi, ko var mainīt atkarībā no vietējām (gadījumam specifiskām) prasībām, izmantotajiem testēšanas komplektiem un pieejamā aprīkojuma:

37.1. praimeru un zondes sekvences AHSV sugas vīrusu noteikšanai:

37.1.1. tiešais praimeris – 5′-AGA-GCT-CTT-GTG-CTA-GCA-GCC-T-3′;

37.1.2. atgriezeniskais praimeris – 5′-GAA-CCG-ACG-CGA-CAC-TAA-TGA-3′;

37.1.3. MGB-TaqMan zonde – 5′-FAM-TGC-ACG-GTC-ACC-GCT-MGB-3′;

37.2. praimera un zondes maisījuma atšķaidījumus pagatavo 25 × koncentrācijā 5 μΜ attiecībā uz tiešo un atgriezenisko praimeri un 3 μΜ attiecībā uz zondi. Jāsagatavo testa plates izkārtojums un jāieraksta reāllaika PCR mašīnas programmatūrā. Izmantojot izkārtojumu par norādi, μl paraugu RNS, tostarp testa paraugus un pozitīvās un negatīvās kontroles, pievieno attiecīgajās plates iedobēs, kā paredzēts norādē;

37.3. RNS denaturē, karsējot 5 minūtes 95 °C temperatūrā, un pēc tam vismaz 3 minūtes ātri atdzesē uz ledus;

37.4. sagatavo attiecīgu daudzumu viensoļa reāllaika RT-PCR reaģentu maisījuma atbilstoši analizējamo paraugu skaitam pēc ražotāja norādījumiem. 1 μl no 25 × praimera un zondes maisījuma atšķaidījuma (37.2. apakšpunkts) iekļauj reaģentu maisījumā, lai katrā iedobē iegūtu galīgo koncentrāciju 200 nM attiecībā uz katru praimeri un 120 nM zondes. 20 μl reaģentu maisījuma sadala katrā iedobē uz PCR plates, kas satur denaturēto RNS;

37.5. plati ievieto reāllaikā amplifikatorā, kas ieprogrammēts atgriezeniskās transkripcijas un cDNS amplifikācijas/fluorescences noteikšanai atbilstoši ražotāja norādēm. Amplifikācijas apstākļi ietver, piemēram, pirmo atgriezeniskās transkripcijas soli 10 minūšu 48 °C temperatūrā un tad 10 minūšu 95 °C temperatūrā, un 40 ciklu pa 15 sekundēm 95 °C temperatūrā, un 45 sekundes 60 °C temperatūrā;

37.6. paraugi ir uzskatāmi par pozitīviem, ja AHSV RT-PCR analīzes normalizēta fluorescence pārsniedz 0,1 slieksni 36 PCR ciklos visos parauga atkārtojumos.

38. Rezultātu interpretācija:

38.1. paraugi ir uzskatāmi par nepārliecinošiem, ja AHSV RT-PCR analīzes normalizēta fluorescence pārsniedz 0,1 slieksni starp 36 un 40 PCR cikliem kādā no parauga atkārtojumiem;

38.2. paraugi ir uzskatāmi par negatīviem, ja AHSV RT-PCR analīzes normalizēta fluorescence nepārsniedz 0,1 slieksni 40 PCR ciklos visos parauga atkārtojumos un ja patentētās sintētiskas ārējas kontroles analīzes normalizēta fluorescence pārsniedz 0,1 slieksni 33 PCR ciklos."

Ministru prezidents Māris Kučinskis

Zemkopības ministrs Jānis Dūklavs

Izdruka no oficiālā izdevuma "Latvijas Vēstnesis" (www.vestnesis.lv)

ATSAUKSMĒM

ATSAUKSMĒM

Lūdzu ievadiet atsauksmes tekstu!