
Ministru kabineta noteikumi: Šajā laidienā 4 Pēdējās nedēļas laikā 30 Visi
Ministru kabineta noteikumi Nr. 323
Rīgā 2016. gada 24. maijā (prot. Nr. 25 19. §)
Darbības programmas "Izaugsme un nodarbinātība" 8.1.2. specifiskā atbalsta mērķa "Uzlabot vispārējās izglītības iestāžu mācību vidi" īstenošanas noteikumi
Izdoti saskaņā ar Eiropas Savienības
struktūrfondu un Kohēzijas fonda
2014.–2020. gada plānošanas perioda
vadības likuma 20. panta 6. un 13. punktu
I. Vispārīgie jautājumi
1. Noteikumi nosaka:
1.1. kārtību, kādā īsteno darbības programmas "Izaugsme un nodarbinātība" prioritārā virziena "Izglītība, prasmes un mūžizglītība" 8.1.2. specifiskā atbalsta mērķi "Uzlabot vispārējās izglītības iestāžu mācību vidi" (turpmāk – specifiskais atbalsts);
1.2. specifiskā atbalsta mērķi;
1.3. specifiskajam atbalstam pieejamo finansējumu;
1.4. prasības Eiropas Reģionālās attīstības fonda projekta (turpmāk – projekts) iesniedzējam un sadarbības partnerim;
1.5. atbalstāmo darbību un izmaksu attiecināmības nosacījumus;
1.6. vienkāršoto izmaksu piemērošanas nosacījumus un kārtību;
1.7. vienošanās par projekta īstenošanu vienpusēja uzteikuma nosacījumus.
2. Specifiskā atbalsta mērķis ir izglītības infrastruktūras attīstība, lai sekmētu plānoto kompetenču pieejā balstītā vispārējās izglītības satura pakāpenisku ieviešanu.
3. Specifiskā atbalsta mērķa grupa ir pašvaldību dibinātas vispārējās izglītības iestādes (turpmāk – vispārējās izglītības iestādes).
4. Specifiskā atbalsta ietvaros atbildīgās iestādes funkcijas pilda Izglītības un zinātnes ministrija (turpmāk – atbildīgā iestāde).
5. Specifisko atbalstu īsteno ierobežotas projektu iesniegumu atlases veidā četru projektu iesniegumu atlašu kārtu ietvaros:
5.1. pirmā projektu iesniegumu atlases kārta, kuras ietvaros paredzēts modernizēt vispārējās izglītības iestāžu mācību vidi nacionālas nozīmes attīstības centru pašvaldībās (turpmāk – pirmā atlases kārta);
5.2. otrā projektu iesniegumu atlases kārta, kuras ietvaros paredzēts modernizēt vispārējās izglītības iestāžu mācību vidi reģionālas nozīmes attīstības centru pašvaldībās (turpmāk – otrā atlases kārta);
5.3. trešā un ceturtā projektu iesniegumu atlases kārta, kuru ietvaros paredzēts modernizēt vispārējās izglītības iestāžu mācību vidi ārpus nacionālas un reģionālas nozīmes attīstības centru pašvaldībām (turpmāk atsevišķi – trešā atlases kārta un ceturtā atlases kārta).
6. Specifiskā atbalsta mērķi sasniedz, īstenojot šo noteikumu 23. punktā minētās atbalstāmās darbības un līdz 2023. gada 31. decembrim sasniedzot šādus uzraudzības rādītājus:
6.1. iznākuma rādītāju – pakalpojumu sniegšanas veiktspēja atbalstītajās vispārējās izglītības iestādēs, ieskaitot tās, kuras īsteno profesionālās izglītības programmas, – 47 206 izglītojamie, tai skaitā 24 406 izglītojamie pirmās atlases kārtas ietvaros (tai skaitā par virssaistību finansējumu – 1 606 izglītojamie), 16 500 izglītojamo otrās atlases kārtas ietvaros un 6 300 izglītojamo trešās un ceturtās atlases kārtas ietvaros;
6.2. rezultāta rādītāju – pilnībā modernizētu vispārējās izglītības iestāžu skaits – 100–115;
6.3. rezultāta rādītāju – izglītojamo īpatsvars, kuriem ir pieejama pilnībā modernizēta vispārējās izglītības mācību vide, kopskaitā – 20–25 procenti;
6.4. finanšu rādītāju – līdz 2018. gada 31. decembrim sertificēti izdevumi 49 200 000 euro apmērā.
7. Specifiskā atbalsta pirmo atlases kārtu īsteno atbilstoši Eiropas Savienības struktūrfondu un Kohēzijas fonda 2014.–2020. gada plānošanas perioda vadības likuma 10. panta otrās daļas 17. punktam, vadošajai iestādei slēdzot deleģēšanas līgumu ar Daugavpils, Jelgavas, Jēkabpils, Jūrmalas, Liepājas, Rēzeknes, Rīgas, Valmieras un Ventspils pilsētas pašvaldību.
II. Prasības projekta iesniedzējam
8. Projekta iesniedzējs:
8.1. pirmajā atlases kārtā – nacionālas nozīmes attīstības centru pašvaldība – Daugavpils, Jelgavas, Jēkabpils, Jūrmalas, Liepājas, Rēzeknes, Rīgas, Valmieras un Ventspils pilsētas pašvaldība;
8.2. otrajā atlases kārtā – reģionālas nozīmes attīstības centru pašvaldība – Aizkraukles, Alūksnes, Balvu, Bauskas, Cēsu, Dobeles, Gulbenes, Krāslavas, Kuldīgas, Limbažu, Līvānu, Ludzas, Madonas, Ogres, Preiļu, Saldus, Siguldas, Smiltenes, Talsu, Tukuma un Valkas novada pašvaldība;
8.3. trešajā atlases kārtā – Ādažu, Carnikavas, Garkalnes, Ikšķiles, Ķekavas, Mārupes, Salaspils un Viļakas novada pašvaldība;
8.4. ceturtajā atlases kārtā – pašvaldība, kas nav minēta šo noteikumu 8.1., 8.2. un 8.3. apakšpunktā un ir vismaz vienas šo noteikumu 44.3. apakšpunktā minētajiem stratēģiskajiem priekšatlases kritērijiem atbilstošas vispārējās izglītības iestādes dibinātāja.
9. Uzaicinājumu iesniegt projekta iesniegumu:
9.1. pirmajā atlases kārtā nosūta pašvaldība, kurai saskaņā ar Eiropas Savienības struktūrfondu un Kohēzijas fonda 2014.–2020. gada plānošanas perioda vadības likuma 10. panta otrās daļas 17. punktu deleģēts nodrošināt integrētu teritoriālo investīciju projektu iesniegumu atlasi pēc pašvaldības attīstības programmas investīciju plāna saskaņošanas Reģionālās attīstības koordinācijas padomē;
9.2. otrajā atlases kārtā nosūta sadarbības iestāde pēc pašvaldības attīstības programmas investīciju plāna saskaņošanas Reģionālās attīstības koordinācijas padomē;
9.3. trešajā atlases kārtā nosūta sadarbības iestāde pēc pašvaldības projekta idejas koncepta saskaņošanas Reģionālās attīstības koordinācijas padomē;
9.4. ceturtajā atlases kārtā nosūta sadarbības iestāde, ievērojot šo noteikumu 17. punktu, ja šo noteikumu 8.4. apakšpunktā minētajai prasībai atbilstoša pašvaldība līdz 2019. gada 28. februārim ir iesniegusi pašvaldības domes lēmumu, kas pamato vismaz vienas vispārējās izglītības iestādes atbilstību šo noteikumu 44.3. apakšpunktā, 45., 46. un 47. punktā minētajām prasībām, un pašvaldības projekta idejas koncepts saskaņots Reģionālās attīstības koordinācijas padomē.
10. Specifiskā atbalsta ietvaros tiek atbalstīti projekti, kas paredzēti pašvaldību attīstības programmu investīciju plānos (pirmās un otrās atlases kārtas ietvaros) vai projektu ideju konceptos (trešās un ceturtās atlases kārtas ietvaros), kuri saskaņoti Vides aizsardzības un reģionālās attīstības ministrijas izveidotajā Reģionālās attīstības koordinācijas padomē (turpmāk – koordinācijas padome).
11. Pašvaldība koordinācijas padomē pamato pašvaldību attīstības programmu investīciju plānos un projektu ideju konceptos paredzēto projektu iespējami efektīvāko ieguldījumu Izglītības attīstības pamatnostādnēs 2014.–2020. gadam noteikto mērķu sasniegšanā, tostarp sniedzot:
11.1. vispārējās izglītības iestāžu raksturojumu, ņemot vērā demogrāfisko un ekonomisko situāciju, tendences un prognozes un to pamatotību;
11.2. vispārējās izglītības pakalpojuma raksturojumu, pašreizējo un nākotnes vispārējās izglītības iestāžu infrastruktūras (izglītības iestāde, struktūrvienība, dienesta viesnīca, sporta infrastruktūra) tīklu, tā efektivitāti un ilgtspējas pamatojumu;
11.3. to vispārējās izglītības iestāžu infrastruktūras raksturojumu, kurās plānots veikt ieguldījumus specifiskā atbalsta ietvaros, tai skaitā norādot līdzšinējos ieguldījumus, atbilstību šo noteikumu 44. punktā minētajiem stratēģiskajiem priekšatlases kritērijiem, kā arī izvērtējot, vai pašvaldībā līdzšinējo un plānoto investīciju rezultātā tiek nodrošināta atbalstāmās vispārējās izglītības iestādes pilna pabeigtība, kas ietver šo noteikumu 23.1., 23.2, 23.3. un 23.6. apakšpunktā (attiecināms uz valsts ģimnāzijām) minētās atbalstāmās darbības;
11.4. informāciju par projektā paredzēto rezultātu sasniegšanas iespējamību gadījumā, ja netiek īstenotas darbības, kuras atbilstoši šo noteikumu 16. punktam paredzētas snieguma rezerves ietvaros (attiecināms uz pirmo atlases kārtu).
12. Pirmās un otrās atlases kārtas ietvaros projekta iesniedzējs var īstenot sadarbības projektu ar pašvaldību, kas robežojas ar nacionālas vai reģionālas nozīmes attīstības centra pašvaldību un kas projekta īstenošanas laikā paredz sākumskolas izveidi pamatskolas vai vidusskolas reorganizācijas rezultātā.
III. Specifiskajam atbalstam plānotais finansējums
13. Specifiskajam atbalstam plānotais kopējais attiecināmais finansējums ir 167 629 116 euro, tai skaitā Eiropas Reģionālās attīstības fonda finansējums – 142 484 747 euro (tai skaitā 4 095 434 euro virssaistību finansējums pirmajai atlases kārtai) un nacionālais publiskais līdzfinansējums (pašvaldību finansējums, valsts budžeta dotācija) – 25 144 369 euro.
14. Maksimālais attiecināmais Eiropas Reģionālās attīstības fonda finansējuma apmērs nepārsniedz 85 procentus no kopējā projekta attiecināmā finansējuma. Pārējo finansējumu – ne mazāk kā 15 procentus no kopējā projekta attiecināmā finansējuma – veido nacionālais publiskais līdzfinansējums, ieskaitot valsts budžeta dotāciju atbilstoši normatīvajiem aktiem par valsts budžeta dotācijas piešķiršanu pašvaldībām Eiropas Savienības struktūrfondu un Kohēzijas fonda 2014.–2020. gada plānošanas periodā līdzfinansēto projektu īstenošanai.
15. Publiskā finansējuma sadalījums pa atlases kārtām:
15.1. pirmās atlases kārtas ietvaros plānotais publiskais finansējums ir 73 208 158 euro, tai skaitā Eiropas Reģionālās attīstības fonda finansējums – 62 226 934 euro (tai skaitā 4 095 434 euro virssaistību finansējums) un nacionālais publiskais finansējums – 10 981 224 euro;
15.2. otrās atlases kārtas ietvaros plānotais publiskais finansējums ir 70 700 397 euro, tai skaitā Eiropas Reģionālās attīstības fonda finansējums – 60 095 337 euro un nacionālais publiskais finansējums – 10 605 060 euro;
15.3. trešās atlases kārtas ietvaros plānotais publiskais finansējums ir 17 961 330 euro, tai skaitā Eiropas Reģionālās attīstības fonda finansējums – 15 267 130 euro un nacionālais publiskais finansējums – 2 694 200 euro;
15.4. ceturtās atlases kārtas ietvaros plānotais publiskais finansējums ir 5 759 231 euro, tai skaitā Eiropas Reģionālās attīstības fonda finansējums – 4 895 346 euro un nacionālais publiskais finansējums – 863 885 euro.
16. Pirmajā atlases kārtā līdz 2018. gada 31. decembrim plāno ne vairāk kā 58 681 189 euro no Eiropas Reģionālās attīstības fonda finansējuma (tai skaitā virssaistību finansējums 4 095 434 euro) un 10 355 504 euro no nacionālā publiskā finansējuma. Projekta iesniegumā snieguma rezervei noteikto finansējumu 6,1 procenta apmērā projekta iesniedzējs paredz no saviem līdzekļiem. Pēc Eiropas Komisijas lēmuma par prioritārajam virzienam "Izglītība, prasmes un mūžizglītība" noteiktā snieguma ietvara izpildi projekta ietvaros palielina Eiropas Reģionālās attīstības fonda finansējuma un nacionālā publiskā līdzfinansējuma apmēru.
17. Ceturto atlases kārtu plāno pēc 2018. gada 31. decembra, ja pieņemts Eiropas Komisijas lēmums par prioritārajam virzienam "Izglītība, prasmes un mūžizglītība" noteiktā snieguma ietvara izpildi.
18. Pirmās atlases kārtas Eiropas Reģionālās attīstības fonda finansējums ir pieejams integrēto teritoriālo investīciju ieviešanā nacionālas nozīmes centru integrētai pilsētvides attīstībai atbilstoši Eiropas Parlamenta un Padomes 2013. gada 17. decembra Regulas (ES) Nr. 1301/2013 par Eiropas Reģionālās attīstības fondu un īpašiem noteikumiem attiecībā uz mērķi "Investīcijas izaugsmei un nodarbinātībai" un ar ko atceļ Regulu (EK) Nr. 1080/2006, 7. panta 4. punktam.
19. Pirmās atlases kārtas ietvaros katram projekta iesniedzējam plānoto finansējumu un projektā sasniedzamos rezultāta rādītājus nosaka atbilstoši normatīvajiem aktiem par integrēto teritoriālo investīciju specifisko atbalsta mērķu finansējuma kopējo apjomu katram nacionālas nozīmes attīstības centram un kopējiem rezultatīvajiem rādītājiem nacionālas nozīmes attīstības centru grupai.
20. Šo noteikumu 8.2. apakšpunktā minētajām pašvaldībām maksimāli plānotais Eiropas Reģionālās attīstības fonda finansējums, kas aprēķināts, pamatojoties uz attiecīgās pašvaldības domes lēmumu par specifiskā atbalsta ietvaros atbalstāmajām vispārējās izglītības iestādēm, ir šāds:
20.1. Aizkraukles novada pašvaldība – 1 564 280 euro;
20.2. Alūksnes novada pašvaldība – 2 325 582 euro;
20.3. Balvu novada pašvaldība – 2 234 490 euro;
20.4. Bauskas novada pašvaldība – 3 387 334 euro;
20.5. Cēsu novada pašvaldība – 4 761 429 euro;
20.6. Dobeles novada pašvaldība – 3 503 935 euro;
20.7. Gulbenes novada pašvaldība – 3 029 878 euro;
20.8. Krāslavas novada pašvaldība – 2 657 611 euro;
20.9. Kuldīgas novada pašvaldība – 3 493 257 euro;
20.10. Limbažu novada pašvaldība – 1 501 742 euro;
20.11. Līvānu novada pašvaldība – 1 437 228 euro;
20.12. Ludzas novada pašvaldība – 2 003 858 euro;
20.13. Madonas novada pašvaldība – 3 629 094 euro;
20.14. Ogres novada pašvaldība – 5 029 458 euro;
20.15. Preiļu novada pašvaldība – 1 799 767 euro;
20.16. Saldus novada pašvaldība – 3 439 523 euro;
20.17. Siguldas novada pašvaldība – 2 988 570 euro;
20.18. Smiltenes novada pašvaldība – 1 875 655 euro;
20.19. Talsu novada pašvaldība – 3 673 940 euro;
20.20. Tukuma novada pašvaldība – 4 511 314 euro;
20.21. Valkas novada pašvaldība – 1 247 392 euro.
21. Šo noteikumu 8.3. apakšpunktā minētajām pašvaldībām maksimāli plānotais Eiropas Reģionālās attīstības fonda finansējums, kas aprēķināts, pamatojoties uz attiecīgās pašvaldības domes lēmumu par specifiskā atbalsta ietvaros atbalstāmajām vispārējās izglītības iestādēm, izņemot šo noteikumu 21.8. apakšpunktā minēto pašvaldību, ir šāds:
21.1. Ādažu novada pašvaldība – 2 564 487 euro;
21.2. Carnikavas novada pašvaldība – 1 034 058 euro;
21.3. Garkalnes novada pašvaldība – 1 055 850 euro;
21.4. Ikšķiles novada pašvaldība – 1 968 659 euro;
21.5. Ķekavas novada pašvaldība – 3 178 193 euro;
21.6. Mārupes novada pašvaldība – 2 778 494 euro;
21.7. Salaspils novada pašvaldība – 2 387 389 euro;
21.8. Viļakas novada pašvaldība – 300 000 euro.
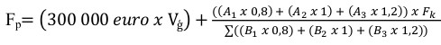
22. Ceturtās atlases kārtas ietvaros katram projekta iesniedzējam paredzēto finansējumu aprēķina atbildīgā iestāde, izmantojot šādu formulu:
,
kur
Fp – pašvaldībai maksimāli pieejamā Eiropas Reģionālās attīstības fonda finansējuma apmērs;
Fk – pašvaldībām, kas nav minētas šo noteikumu 8.1., 8.2. un 8.3. apakšpunktā, plānotais kopējais Eiropas Reģionālās attīstības fonda finansējuma apmērs;
A1 – audzēkņu skaits pašvaldībā 1.–6. klašu grupā (2015. gada 1. septembris);
A2 – audzēkņu skaits pašvaldībā 7.–12. klašu grupā pamatskolās, vidusskolās un ģimnāzijās (2015. gada 1. septembris);
A3 – audzēkņu skaits pašvaldībā 7.–12. klašu grupā valsts ģimnāzijās (2015. gada 1. septembris);
B1 – kopējais audzēkņu skaits pašvaldībās, kas nav minētas šo noteikumu 8.1., 8.2. un 8.3. apakšpunktā, 1.–6. klašu grupā (2015. gada 1. septembris);
B2 – kopējais audzēkņu skaits pašvaldībās, kas nav minētas šo noteikumu 8.1., 8.2. un 8.3. apakšpunktā, 7.–12. klašu grupā pamatskolās, vidusskolās un ģimnāzijās (2015. gada 1. septembris);
B3 – kopējais audzēkņu skaits pašvaldībās, kas nav minētas šo noteikumu 8.1., 8.2. un 8.3. apakšpunktā, 7.–12. klašu grupā valsts ģimnāzijās (2015. gada 1. septembris);
Vģ – pašvaldībā esošo valsts ģimnāziju skaits.
IV. Atbalstāmās darbības un izmaksas
23. Specifiskā atbalsta ietvaros ir atbalstāmas šādas darbības:
23.1. ergonomiskas mācību vides izveide;
23.2. informācijas un komunikāciju tehnoloģiju risinājumu ieviešana un aprīkojuma iegāde;
23.3. jaunu dabaszinātņu (fizika, ķīmija, bioloģija) un matemātikas kabinetu iekārtošana pamatizglītības programmas īstenošanai (7.–9. klase) un jaunu dabaszinātņu (fizika, ķīmija, bioloģija) un matemātikas kabinetu iekārtošana vispārējās vidējās izglītības programmas īstenošanai (10.–12. klase), ja, palielinoties izglītojamo skaitam, ir pamatota minēto kabinetu nepietiekamība, tai skaitā jaunas izglītības iestādes ēkas vai ēkas piebūves būvniecības vai vispārējās izglītības iestādes reorganizācijas gadījumā, vai ja vispārējās vidējās izglītības iestāde izveidota reorganizācijas rezultātā;
23.4. izglītības iestādes sporta infrastruktūras būvniecība (valsts ģimnāzijām, ģimnāzijām, vidusskolām, pamatskolām);
23.5. izglītības iestādes dienesta viesnīcas, internāta būvniecība (valsts ģimnāzijām, ģimnāzijām, vidusskolām);
23.6. reģionālā metodiskā centra attīstība (valsts ģimnāzijām);
23.7. projekta vadība un īstenošana;
23.8. projekta īstenošanas informācijas un publicitātes pasākumi.
24. Projekta ietvaros ir atbalstāmas darbības, kas minētas šo noteikumu 23. punktā un sekmē šo noteikumu 2. punktā minētā specifiskā atbalsta mērķa un šo noteikumu 6. punktā minēto uzraudzības rādītāju sasniegšanu, nodrošinot Izglītības attīstības pamatnostādnēs 2014.–2020. gadam noteikto izaicinājumu un problēmu risināšanu. Projektu ietvaros ir atbalstāma vides prasību integrācija preču, pakalpojumu un būvdarbu iepirkumos (zaļais publiskais iepirkums).
25. Specifiskā atbalsta ietvaros plāno šādus izmaksu veidus:
25.1. tiešās attiecināmās izmaksas, kas ir tieši saistītas ar projekta darbību īstenošanu un nepieciešamas projekta rezultātu sasniegšanai, un šī saistība ir skaidri saprotama un pierādāma;
25.2. netiešās attiecināmās izmaksas, kas nav tieši saistītas ar projekta rezultātu sasniegšanu, bet atbalsta un nodrošina atbilstošus apstākļus projekta veicamo darbību realizācijai un projekta rezultātu sasniegšanai;
25.3. neparedzētās izmaksas;
25.4. neattiecināmās izmaksas.
26. Šo noteikumu 25.1. apakšpunktā minētās tiešās attiecināmās izmaksas ietver šādas izmaksu pozīcijas:
26.1. projekta vadības personāla atlīdzības izmaksas, izņemot virsstundas, šo noteikumu 23.7. apakšpunktā minēto atbalstāmo darbību īstenošanai;
26.2. tiešās attiecināmās projekta īstenošanas izmaksas šo noteikumu 23.1., 23.2., 23.3., 23.4., 23.5., 23.6. un 23.8. apakšpunktā minēto atbalstāmo darbību īstenošanai:
26.2.1. vispārējās izglītības iestādes jaunas ēkas būvniecības (tai skaitā ēkas piebūves) un ēkas pilna apjoma pārbūves izmaksas;
26.2.2. ēkas un telpu pārbūves un atjaunošanas izmaksas, ievērojot šādus nosacījumus:
26.2.2.1. ieguldījumi paredzēti telpu (klašu, auditoriju, mācību laboratoriju, tai skaitā multifunkcionālu mācību telpu) pārbūvei un atjaunošanai;
26.2.2.2. ieguldījumi paredzēti gaiteņu un sanitāro mezglu pārbūvei un atjaunošanai, ja tiek īstenoti šo noteikumu 26.2.2.1. apakšpunktā minētie pasākumi;
26.2.2.3. iekšējo inženiertīklu izbūves un pārbūves izmaksas nepārsniedz 25 procentus no projektā plānotajām būvdarbu attiecināmajām izmaksām;
26.2.3. ergonomiskas mācību vides izveides izmaksas, tai skaitā mācību telpas aprīkojuma un mēbeļu iegādes, apgaismojuma modernizēšanas un trokšņu slāpētāju izveides izmaksas;
26.2.4. inovatīvu informācijas un komunikācijas tehnoloģiju risinājumu ieviešanas izmaksas, tai skaitā bezvadu interneta un interneta pieslēguma izveides izmaksas, mācību procesa nodrošināšanai nepieciešamā aprīkojuma un programmatūras iegādes izmaksas;
26.2.5. jaunu dabaszinātņu (ķīmijas, bioloģijas, fizikas) un matemātikas kabinetu (tai skaitā praktisko darbu telpu) izveide, tai skaitā telpu pārbūves, atjaunošanas un iekārtošanas izmaksas, mēbeļu, mācību iekārtu, tehnisko ierīču un aprīkojuma iegādes izmaksas;
26.2.6. mācību priekšmeta "Sports" nodrošināšanai nepieciešamā aprīkojuma iegādes izmaksas;
26.2.7. sporta laukuma, sporta zāles (tai skaitā multifunkcionālas) vai baseina, ģērbtuvju un dušas telpu pārbūves un atjaunošanas izmaksas, nepārsniedzot 25 procentus no projekta kopējām attiecināmajām izmaksām;
26.2.8. izglītības iestādes dienesta viesnīcas, internāta būvniecības, pārbūves un atjaunošanas izmaksas un tās darbības (dzīvojamo telpu, virtuves, sanitāro mezglu, dušas telpu) nodrošināšanai nepieciešamā aprīkojuma iegādes izmaksas, nepārsniedzot 40 procentus no projekta kopējām attiecināmajām izmaksām;
26.2.9. valsts ģimnāzijas reģionālā metodiskā centra attīstības izmaksas, tai skaitā ēkas piebūves, ēku un telpu pārbūves un atjaunošanas izmaksas, bibliotēkas fondu papildināšana, digitālo mācību grāmatu iegāde, informācijas un komunikācijas tehnoloģiju risinājumu ieviešanas izmaksas, tai skaitā tiešsaistes komunikācijas aprīkojuma iegādes izmaksas;
26.2.10. šo noteikumu 26.2.1. apakšpunktā minētās būvobjekta būvprojektā norādītās labiekārtošanas izmaksas, kas nepārsniedz trīs procentus no projektā plānotajām būvdarbu attiecināmajām izmaksām;
26.2.11. būvuzraudzības un autoruzraudzības izmaksas;
26.2.12. būvprojekta, tai skaitā būvprojekta minimālās stadijas, izstrādes vai aktualizēšanas izmaksas;
26.2.13. neatkarīgas būvekspertīžu veikšanas un tehniskās apsekošanas izmaksas, tai skaitā neatkarīgas būvprojekta ekspertīzes veikšanas izmaksas;
26.2.14. izmaksas, kas saistītas ar ēkas nodošanu ekspluatācijā, ja tās nav paredzētas līgumā par būvdarbu veikšanu;
26.2.15. projekta informācijas un publicitātes pasākumu izmaksas atbilstoši normatīvajiem aktiem par kārtību, kādā Eiropas Savienības struktūrfondu un Kohēzijas fonda ieviešanā 2014.–2020. gada plānošanas periodā nodrošināma komunikācijas un vizuālās identitātes prasību ievērošana šo noteikumu 23.8. apakšpunktā minēto atbalstāmo darbību īstenošanai.
27. Šo noteikumu 26.2.1. apakšpunktā minētās jaunas ēkas būvniecība atbalstāma, ja pašvaldības attīstības programmā ir pamatota nepieciešamība – izglītojamo skaita palielinājums un esošās infrastruktūras nepietiekamība, vienlaikus izvērtējot, vai pašvaldības rīcībā nav citas infrastruktūras, kas varētu tikt izmantota izglītības iestādes vajadzībām.
28. Šo noteikumu 26.2.1., 26.2.2., 26.2.3., 26.2.4., 26.2.5. un 26.2.9. apakšpunktā minētās izmaksas projekta iesniegumā nav mazākas par 50 procentiem no projekta kopējām attiecināmajām izmaksām.
29. Šo noteikumu 26.2.7. apakšpunktā minētās sporta laukuma pārbūves vai atjaunošanas izmaksas plāno, ja sporta laukums nepieciešams vairākām izglītības iestādēm (vai tās apvienotas pēc 2013. gada 1. septembra) vai vispārējās izglītības iestādei ar audzēkņu skaitu, lielāku par 1000.
30. Šo noteikumu 26.2.7. apakšpunktā minētās baseina pārbūves un atjaunošanas izmaksas plāno, ja baseins nepieciešams vismaz divām izglītības iestādēm (vai tās apvienotas pēc 2013. gada 1. septembra) un ir pārbūvējamās vai atjaunojamās ēkas neatņemama sastāvdaļa.
31. Šo noteikumu 26.2.8. apakšpunktā minētās dienesta viesnīcas, internāta būvniecības, pārbūves un atjaunošanas izmaksas plāno, ja dienesta viesnīca vai internāts nepieciešams vismaz divām izglītības iestādēm.
32. Šo noteikumu 25.2. apakšpunktā minētās projekta netiešās attiecināmās izmaksas ir finansējuma saņēmēja projekta vadības personāla izmaksas, kuras plāno kā vienu izmaksu pozīciju, piemērojot netiešo izmaksu vienoto likmi 15 procentu apmērā no šo noteikumu 26.1. apakšpunktā minētajām izmaksām.
33. Šo noteikumu 25.3. apakšpunktā minētās neparedzētās izmaksas ir izmaksas papildu darbu veikšanai vai pakalpojumu sniegšanai, kas neparedzamu apstākļu dēļ ir kļuvuši nepieciešami, lai nodrošinātu vienošanās par projekta īstenošanu izpildi. Neparedzēto izmaksu izmantošanu pirms izdevumu veikšanas finansējuma saņēmējs saskaņo ar sadarbības iestādi.
34. Neparedzētās izmaksas projektā plāno kā vienu izmaksu pozīciju, kas nepārsniedz piecus procentus no kopējām projekta tiešajām attiecināmajām izmaksām, un tās var izmantot šo noteikumu 26.2.1.–26.2.11. apakšpunktā minēto izmaksu segšanai.
35. Plānojot šo noteikumu 25.1. apakšpunktā minētās tiešās attiecināmās personāla izmaksas, finansējuma saņēmējs nodrošina, ka projekta vadības un īstenošanas personāls ir nodarbināts pilnu darba laiku vai nepilnu darba laiku ne mazāk kā 30 procentu apmērā no normālā darba laika, attiecīgi veicot projekta vadības un īstenošanas personāla darba laika uzskaiti par veiktajām funkcijām un nostrādāto laiku. Ja personāla iesaiste projektā ir nodrošināta saskaņā ar daļlaika attiecināmības principu, attiecināma ir ne mazāka kā 30 procentu noslodze.
36. Tiešajām projekta vadības personāla izmaksām ir šādi izmaksu ierobežojumi:
36.1. tās nepārsniedz 56 580 euro gadā, ja tiešās attiecināmās izmaksas ir vienādas ar vai lielākas par pieciem miljoniem euro;
36.2. tās nepārsniedz 24 426 euro gadā, pieskaitot 0,64 procentus no projekta tiešajām attiecināmajām izmaksām, bet neieskaitot tiešās personāla izmaksas, ja tiešās attiecināmās izmaksas ir mazākas par pieciem miljoniem euro;
36.3. ja projekta īstenošanas laiks nav pilni gadi, tad par nepilno gadu izmaksu ierobežojumu aprēķina proporcionāli projekta īstenošanas pilnu mēnešu skaitam.
37. Plānojot šo noteikumu 26.2.11., 26.2.12. un 26.2.13. apakšpunktā minētās tiešās attiecināmās izmaksas, finansējuma saņēmējs nodrošina, ka tās kopsummā nepārsniedz 10 procentus no projekta attiecināmajām izmaksām.
38. Pirmās, otrās un trešās atlases kārtas ietvaros neapgūtais Eiropas Reģionālās attīstības fonda finansējums var tikt novirzīts ceturtās atlases kārtas īstenošanai.
39. Slēdzot pakalpojuma (uzņēmuma) līgumus, darba devēja valsts sociālās apdrošināšanas obligāto iemaksu izmaksas ir attiecināmas, ja pakalpojuma sniedzējs ir fiziska persona un tā nav reģistrējusies Valsts ieņēmumu dienestā kā pašnodarbināta persona vai ja pakalpojuma sniedzējs ir reģistrēts Valsts ieņēmumu dienestā kā specifiskā atbalsta finansējuma saņēmēja darba ņēmējs.
40. Pievienotās vērtības nodoklis uzskatāms par attiecināmajām izmaksām, ja tas nav atmaksājams atbilstoši normatīvajiem aktiem nodokļu politikas jomā.
41. Projekta izmaksas ir attiecināmas no šo noteikumu spēkā stāšanas dienas, izņemot šo noteikumu 26.2.12. vai 26.2.13. apakšpunktā minētās izmaksas, kas ir attiecināmas, ja tās veiktas, sākot ar 2014. gada 1. janvāri.
42. Šo noteikumu 32. punktā minētajām izmaksām piemēro netiešo izmaksu vienotās likmes metodi, neiesniedzot sadarbības iestādei izmaksu pamatojošos dokumentus par netiešo izmaksu izlietojumu.
43. Projekta neattiecināmās izmaksas ir:
43.1. izmaksas, kas pārsniedz šo noteikumu 26.2.2.3., 26.2.7., 26.2.8. un 26.2.10. apakšpunktā un 32., 34., 36. un 37. punktā minētos izmaksu ierobežojumus;
43.2. izmaksas, kas nav minētas šo noteikumu 26. punktā, bet ir tieši saistītas ar projektu (kāpņu telpu, palīgtelpu, ģērbtuvju, virtuves bloka un ēdamzāles pārbūve vai atjaunošana šo noteikumu 26.2.2. apakšpunktā noteiktajos gadījumos) vai neatbilst šo noteikumu 29., 30. vai 31. punktā minētajām prasībām.
V. Specifiskā atbalsta īstenošanas nosacījumi
44. Specifiskā atbalsta ietvaros atbalsts tiek sniegts šādiem stratēģiskiem priekšatlases kritērijiem atbilstošām vispārējās izglītības iestādēm:
44.1. pirmās atlases kārtas ietvaros:
44.1.1. valsts ģimnāzijai, ja valsts ģimnāzijas statuss izglītības iestādei ir piešķirts saskaņā ar normatīvajiem aktiem par ģimnāzijas un valsts ģimnāzijas statusa piešķiršanas un anulēšanas kārtību un kritērijiem;
44.1.2. vidusskolai, ja izglītojamo skaits 7.–12. klasē ir vismaz 240 un tiek īstenotas vismaz divas vispārējās vidējās izglītības programmas, no kurām viena ir matemātikas, dabaszinību un tehnikas virziena programma;
44.1.3. ģimnāzijai, ja ģimnāzijas statuss izglītības iestādei ir piešķirts saskaņā ar normatīvajiem aktiem par ģimnāzijas un valsts ģimnāzijas statusa piešķiršanas un anulēšanas kārtību un kritērijiem;
44.1.4. pamatskolai, ja izglītojamo skaits ir vismaz 200 un 7.–9. klasē tiek īstenotas vismaz divas vispārējās izglītības programmas, no kurām viena ir matemātikas, dabaszinību un tehnikas virziena programma, tai skaitā pamatskolai, ja tā izveidota reorganizācijas rezultātā, pārveidojot vidusskolu par pamatskolu vai apvienojot vismaz divas izglītības iestādes pēc 2013. gada 1. septembra;
44.2. otrās atlases kārtas ietvaros:
44.2.1. valsts ģimnāzijai, ja valsts ģimnāzijas statuss izglītības iestādei ir piešķirts saskaņā ar normatīvajiem aktiem par ģimnāzijas un valsts ģimnāzijas statusa piešķiršanas un anulēšanas kārtību un kritērijiem;
44.2.2. vidusskolai, ja izglītojamo skaits 7.–12. klasē ir vismaz 240 un tiek īstenotas vismaz divas vispārējās vidējās izglītības programmas, no kurām viena ir matemātikas, dabaszinību un tehnikas virziena programma, vai novados, kas veido Eiropas Savienības ārējo pierobežu, – izglītojamo skaits 7.–12. klasē ir vismaz 200 un tiek īstenotas vismaz divas vispārējās vidējās izglītības programmas, no kurām viena ir matemātikas, dabaszinību un tehnikas virziena programma;
44.2.3. ģimnāzijai, ja ģimnāzijas statuss izglītības iestādei ir piešķirts saskaņā ar normatīvajiem aktiem par ģimnāzijas un valsts ģimnāzijas statusa piešķiršanas un anulēšanas kārtību un kritērijiem;
44.2.4. pamatskolai, ja izglītojamo skaits ir vismaz 200 un 7.–9. klasē tiek īstenotas vismaz divas vispārējās izglītības programmas, no kurām viena ir matemātikas, dabaszinību un tehnikas virziena programma, vai novados, kas veido Eiropas Savienības ārējo pierobežu, – izglītojamo skaits ir vismaz 150 un 7.–9. klasē tiek īstenotas vismaz divas vispārējās izglītības programmas, no kurām viena ir matemātikas, dabaszinību un tehnikas virziena programma, tai skaitā pamatskolai, ja tā izveidota reorganizācijas rezultātā, pārveidojot vidusskolu par pamatskolu vai apvienojot vismaz divas izglītības iestādes pēc 2013. gada 1. septembra;
44.2.5. sākumskolai, ja tā izveidota pamatskolas vai vidusskolas reorganizācijas rezultātā, tai skaitā, ja reorganizācija veikta pēc 2013. gada 1. septembra;
44.3. trešās un ceturtās atlases kārtas ietvaros:
44.3.1. valsts ģimnāzijai, ja valsts ģimnāzijas statuss izglītības iestādei ir piešķirts saskaņā ar normatīvajiem aktiem par ģimnāzijas un valsts ģimnāzijas statusa piešķiršanas un anulēšanas kārtību un kritērijiem;
44.3.2. vidusskolai, ja izglītojamo skaits 7.–12. klasē ir vismaz 240 un tiek īstenotas vismaz divas vispārējās vidējās izglītības programmas, no kurām viena ir matemātikas, dabaszinību un tehnikas virziena programma, vai novados, kas veido Eiropas Savienības ārējo pierobežu, – izglītojamo skaits 7.–12. klasē ir vismaz 200 un tiek īstenotas vismaz divas vispārējās vidējās izglītības programmas, no kurām viena ir matemātikas, dabaszinību un tehnikas virziena programma;
44.3.3. ģimnāzijai, ja ģimnāzijas statuss izglītības iestādei ir piešķirts saskaņā ar normatīvajiem aktiem par ģimnāzijas un valsts ģimnāzijas statusa piešķiršanas un anulēšanas kārtību un kritērijiem;
44.3.4. pamatskolai, ja izglītojamo skaits ir vismaz 200 un 7.–9. klasē tiek īstenotas vismaz divas vispārējās izglītības programmas, no kurām viena ir matemātikas, dabaszinību un tehnikas virziena programma, vai novados, kas veido Eiropas Savienības ārējo pierobežu, – izglītojamo skaits ir vismaz 150 un 7.–9. klasē tiek īstenotas vismaz divas vispārējās izglītības programmas, no kurām viena ir matemātikas, dabaszinību un tehnikas virziena programma, tai skaitā pamatskolai, ja tā izveidota reorganizācijas rezultātā, pārveidojot vidusskolu par pamatskolu vai apvienojot vismaz divas izglītības iestādes pēc 2013. gada 1. septembra;
44.3.5. sākumskolai, ja tā izveidota pamatskolas vai vidusskolas reorganizācijas rezultātā, tai skaitā, ja reorganizācija veikta pēc 2013. gada, veidojot divu vai vairāku pašvaldību stratēģisko partnerību.
45. Atbalsts šo noteikumu 44.1.1., 44.1.3., 44.2.1., 44.2.3., 44.3.1. un 44.3.3. apakšpunktā minētajām izglītības iestādēm var tikt paredzēts, ja valsts ģimnāzijas un ģimnāzijas statuss ir piešķirts ne vēlāk kā līdz šo noteikumu spēkā stāšanās dienai un vismaz piecus gadus pēc projekta īstenošanas pabeigšanas.
46. Atbalsts šo noteikumu 44.1.2., 44.1.4., 44.2.2., 44.2.4., 44.2.5., 44.3.2., 44.3.4. un 44.3.5. apakšpunktā minētajām izglītības iestādēm var tikt paredzēts, ja tās atbilst stratēģiskajiem priekšatlases kritērijam projekta iesniegšanas dienā vai projekta noslēgumā un vismaz piecus gadus pēc projekta pabeigšanas.
47. Atbalstu šo noteikumu 44.2.5. un 44.3.5. apakšpunktā minētajai sākumskolai var paredzēt tikai papildus kādai no šo noteikumu 44.2.1., 44.2.2., 44.2.3., 44.2.4. apakšpunktā vai šo noteikumu 44.3.1., 44.3.2., 44.3.3. un 44.3.4. apakšpunktā minētajām izglītības iestādēm.
48. Ieņēmumi, ja tādi rodas no projekta ietvaros radītās infrastruktūras izmantošanas, tiek novirzīti vispārējās izglītības procesa nodrošināšanai.
49. Ja projekta ietvaros tiek plānotas šo noteikumu 26.2.1. un 26.2.2. apakšpunktā minētās ēkas pārbūves izmaksas, projekta iesniedzējs projekta iesniegumā norāda enerģijas patēriņu pirms projekta īstenošanas (megavatstundās). Finansējuma saņēmējam ir pienākums informēt sadarbības iestādi par enerģijas patēriņu pēc projekta īstenošanas (megavatstundās).
50. Finansējuma saņēmējs uzkrāj datus par projekta ietekmi uz specifisko iznākuma rādītāju "Izglītības iestāžu skaits, kurās veikti ieguldījumi sporta infrastruktūras sakārtošanai" un horizontālā principa "Vienlīdzīgas iespējas" rādītāju "Objektu skaits, kuros Eiropas Reģionālās attīstības fonda ieguldījumu rezultātā ir nodrošināta vides un informācijas pieejamība".
51. Ja projekts paredz sadarbību:
51.1. projekta iesniegumu iesniedz projekta iesniedzējs, kas atbilst šo noteikumu 8.1. un 8.2. apakšpunktā minētajiem nosacījumiem;
51.2. sadarbības partneri slēdz sadarbības līgumu, kurā iekļauj informāciju saskaņā ar normatīvo aktu par kārtību, kādā Eiropas Savienības struktūrfondu un Kohēzijas fondu vadībā iesaistītās institūcijas nodrošina plānošanas dokumentu sagatavošanu un šo fondu ieviešanu 2014.–2020. gada plānošanas periodā, kā arī vismaz šādus nosacījumus:
51.2.1. projekta īstenošanas un rezultātu sasniegšanas kārtība;
51.2.2. sadarbības mērķi un principi;
51.2.3. sadarbības projekta finansējums, katra sadarbības partnera projekta daļas finansējums un katra sadarbības partnera ieguldījums sadalījumā pa ieguldījumu veidiem;
51.2.4. projekta finanšu plūsmas nodrošināšanas kārtība, tai skaitā izmaksātā avansa dzēšanas un atgūšanas kārtība;
51.2.5. projekta rezultātu izmantošanas nosacījumi (ja attiecināms);
51.2.6. sankcijas, ja netiek izpildītas sadarbības līgumā minētās saistības.
52. Par šo noteikumu 12. punktā minētā sadarbības partnera pienākumu izpildi projekta īstenošanā un sadarbības partnera īstenotajām funkcijām projektā, tai skaitā nodrošinot dubultā finansējuma risku neiestāšanos, ir atbildīgs šo noteikumu 51.1. apakšpunktā minētais projekta iesniedzējs.
53. Specifiskā atbalsta mērķa ietvaros ieguldījumus infrastruktūrā var veikt:
53.1. projekta iesniedzēja īpašumā;
53.2. valsts īpašumā, kas nodots projekta iesniedzēja vai attiecīgās izglītības iestādes valdījumā vai lietošanā uz termiņu, kas nav mazāks par pieciem gadiem pēc projekta īstenošanas pabeigšanas. Valdījuma vai lietošanas tiesības ir reģistrētas zemesgrāmatā.
54. Projekta īstenošanā finansējuma saņēmējs ievēro šādus nosacījumus:
54.1. nodrošina, ka projektā plānotie darbi netiek finansēti vai līdzfinansēti, kā arī tos nav plānots finansēt vai līdzfinansēt no citiem valsts vai ārvalstu finanšu atbalsta instrumentiem;
54.2. nodrošina informācijas un publicitātes pasākumus atbilstoši Eiropas Parlamenta un Padomes 2013. gada 17. decembra Regulai (ES) Nr. 1303/2013, ar ko paredz kopīgus noteikumus par Eiropas Reģionālās attīstības fondu, Eiropas Sociālo fondu, Kohēzijas fondu, Eiropas Lauksaimniecības fondu lauku attīstībai un Eiropas Jūrlietu un zivsaimniecības fondu un vispārīgus noteikumus par Eiropas Reģionālās attīstības fondu, Eiropas Sociālo fondu, Kohēzijas fondu un Eiropas Jūrlietu un zivsaimniecības fondu un atceļ Padomes Regulu (EK) Nr. 1083/2006, kā arī normatīvajiem aktiem par kārtību, kādā Eiropas Savienības struktūrfondu un Kohēzijas fonda ieviešanā 2014.–2020. gada plānošanas periodā nodrošināma komunikācijas un vizuālās identitātes prasību ievērošana;
54.3. savā tīmekļvietnē ne retāk kā reizi trijos mēnešos ievieto aktuālu informāciju par projekta īstenošanu;
54.4. nodrošina projekta rezultātu ilgtspēju vismaz piecus gadus pēc projekta pabeigšanas.
55. Sadarbības iestādei ir tiesības vienpusēji atkāpties no vienošanās par projekta īstenošanu jebkurā no šādiem gadījumiem:
55.1. finansējuma saņēmējs nepilda vienošanās par projekta īstenošanu noteikumus, tai skaitā projekta īstenošana nenotiek atbilstoši projektā noteiktajiem termiņiem vai ir iestājušies citi apstākļi, kas negatīvi ietekmē vai var ietekmēt šo noteikumu 2. punktā minētā mērķa sasniegšanu un šo noteikumu 6. punktā minēto uzraudzības rādītāju sasniegšanu;
55.2. citos gadījumos, ko nosaka vienošanās par projekta īstenošanu.
56. Specifiskā atbalsta ietvaros projektu īsteno saskaņā ar vienošanos par projekta īstenošanu, bet ne ilgāk par 2023. gada 31. decembri.
57. Pēc vienošanās par projekta īstenošanu noslēgšanas sadarbības iestāde, pamatojoties uz finansējuma saņēmēja rakstisku avansa pieprasījumu atbilstoši normatīvajam aktam par valsts budžeta līdzekļu plānošanu Eiropas Savienības struktūrfondu un Kohēzijas fonda projektu īstenošanai un maksājumu veikšanu 2014.–2020. gada plānošanas periodā, nodrošina finansējuma saņēmējam avansa maksājumus, kuru kopsumma nepārsniedz 90 procentus no projektam piešķirtā Eiropas Reģionālās attīstības fonda un valsts budžeta dotācijas kopsummas. Avansu var izmaksāt vairākos maksājumos.
58. Projekta īstenošanas vieta ir Latvijas Republikas teritorija.
Ministru prezidents Māris Kučinskis
Izglītības un zinātnes ministrs Kārlis Šadurskis