
Ministru kabineta noteikumi: Šajā laidienā 16 Pēdējās nedēļas laikā 48 Visi
Ministru kabineta noteikumi Nr.332
Rīgā 2015.gada 30.jūnijā (prot. Nr.30 52.§)
Noteikumi par Latvijas būvnormatīvu LBN 221-15 "Ēku iekšējais ūdensvads un kanalizācija"
Izdoti saskaņā ar Būvniecības likuma
5.panta pirmās daļas 3.punktu
1. Noteikumi apstiprina Latvijas būvnormatīvu LBN 221-15 "Ēku iekšējais ūdensvads un kanalizācija" (turpmāk – Latvijas būvnormatīvs LBN 221-15).
2. Ekonomikas ministrija sadarbībā ar attiecīgo standartu tehnisko komiteju iesaka nacionālajai standartizācijas institūcijai saistībā ar šiem noteikumiem izstrādājamo, adaptējamo un piemērojamo standartu sarakstu.
3. Nacionālā standartizācijas institūcija publicē tīmekļvietnē www.lvs.lv to Latvijas nacionālo standartu sarakstu, kurus piemēro Latvijas būvnormatīva LBN 221-15 izpildei.
4. Būvprojekti, kuri noteiktā kārtībā izstrādāti vai iesniegti saskaņošanai būvvaldē līdz šo noteikumu spēkā stāšanās dienai atbilstoši attiecīgajā laikposmā piemēroto normatīvo aktu prasībām, nav jāpārstrādā atbilstoši Latvijas būvnormatīvā LBN 221-15 noteiktajām prasībām.
Ministru prezidente Laimdota Straujuma
Ekonomikas ministra vietā –
veselības ministrs Guntis Belēvičs
Ekonomikas ministrijas iesniegtajā redakcijā
Apstiprināts ar
Ministru kabineta
2015.gada 30.jūnija
noteikumiem Nr.332
Latvijas būvnormatīvs LBN 221-15 "Ēku iekšējais ūdensvads un kanalizācija"
1. Vispārīgie jautājumi
1. Šis būvnormatīvs nosaka prasības jaunbūvējamo un pārbūvējamo ēku iekšējo aukstā un karstā ūdens ūdensvadu, sadzīves kanalizācijas un lietusūdens novadīšanas sistēmu projektēšanai, kā arī šo inženiertīklu pārbūvei.
2. Būvnormatīvs nav piemērojams šādu objektu projektēšanai:
2.1. ugunsdzēsības ūdensapgādes sistēmas ēkās un būvēs, kurām ugunsdzēsības prasības nosaka citi normatīvie dokumenti;
2.2. automātiskās stacionārās ugunsdzēsības sistēmas;
2.3. siltummezglu ūdensapgādes sistēmas;
2.4. karstā ūdens apstrādes iekārtas;
2.5. ražošanas un tehnoloģisko iekārtu, arī medicīnas procedūru ūdensapgādes sistēmas.
3. Ēku iekšējo ūdensvadu, sadzīves kanalizācijas un lietusūdens novadīšanas sistēmu projektēšanā piemēro standartus, kuru sarakstu interneta vietnē www.lvs.lv ir publicējusi nacionālā standartizācijas institūcija.
4. Ēkas iekšējais ūdensvads ir iekārtu un cauruļvadu sistēma, kas nodrošina patērētājus vienā ēkā vai ēku grupā ar ūdeni no ārējā ūdensapgādes tīkla caur kopējo ūdens uzskaites mezglu. Ja no iekšējā ūdensvada tiek ņemts ūdens ārējās ugunsdzēsības vajadzībām, jāievēro Latvijas būvnormatīvā LBN 222 par ūdensapgādes būvēm noteiktās prasības.
5. Ēkas iekšējā kanalizācija ir ar ēkas ārējām sienām norobežota iekārtu un cauruļvadu sistēma, kas nodrošina sanitāri tehnisko ierīču un tehnoloģisko iekārtu notekūdeņu novadīšanu no ēkas līdz pirmajai skatakai. Ja nepieciešams, projektā paredz vietējās attīrīšanas ietaises, kā arī lietusūdeņu novadīšanu kanalizācijā.
6. Visās ēkās, kuras būvē rajonā, kur ir izveidots ārējais kanalizācijas tīkls, jāieprojektē iekšējais ūdensvads un kanalizācija. Ja ēku būvē rajonā, kur nav ārējā kanalizācijas tīkla, ir nepieciešams nodrošināt notekūdeņu savākšanu un apsaimniekošanu atbilstoši Latvijas būvnormatīvam LBN 223 par kanalizācijas būvēm un ņemot vērā citu spēkā esošo normatīvo aktu prasības.
7. Apdzīvotajās vietās, kur nav ārējā kanalizācijas tīkla, drīkst izbūvēt sausās tualetes vai izvedamas notekūdeņu krājtvertnes šādās ēkās:
7.1. dzīvojamās ēkās, kuras izmanto tikai vasarā;
7.2. individuālajās dzīvojamās ēkās;
7.3. ražošanas uzņēmumu pārvaldes un sadzīves ēkās, kā arī ražošanas ēkās, ja maiņā strādā ne vairāk kā 15 cilvēku.
8. Ja nav iespējams ierīkot vietējās kanalizācijas attīrīšanas ietaises, ierīko pārvietojamās tualetes vai biotualetes.
9. Nepieciešamību izbūvēt ēkas iekšējo lietusūdens novadīšanas tīklu nosaka projekta arhitektūras daļā saskaņā ar tehniskiem noteikumiem vai projektēšanas uzdevumu, kā arī atbilstoši jumta konstrukcijai un stāvu skaitam.
10. Ēku ūdensvadu, kanalizācijas un lietusūdens novadīšanas sistēmās lietojamajām caurulēm, armatūrai, iekārtām un materiāliem jāatbilst šī būvnormatīva, valsts standartu un tehnisko noteikumu prasībām.
11. Projektējamie galvenie tehniskie risinājumi un to realizācijas secība jāpamato, salīdzinot tos ar citiem iespējamajiem variantiem. Tehniski ekonomiskais aprēķins jāveic tiem variantiem, kuru priekšrocības (trūkumus) bez aprēķina nav iespējams noteikt.
12. Ūdensapgādes un kanalizācijas sistēmu projektos jāparedz pasākumi, kas novērš ūdens zudumus, samazina trokšņus, kā arī mazina legionellu vairošanās risku.
13. Iekšējās ūdensapgādes sistēmas izvēlas atkarībā no tehniski ekonomiskajiem rādītājiem, sanitāri higiēniskajām, ugunsdzēsības un ražošanas tehnoloģiskajām prasībām, kā arī ņemot vērā ārējā ūdensvada iespējas.
14. Šajā būvnormatīvā lietotie galvenie apzīmējumi un termini norādīti 1. un 2.pielikumā.
2. Ūdens kvalitāte un temperatūra ūdensapgādes sistēmās
15. Sadzīves patēriņam lietojamā aukstā un karstā ūdens kvalitātei jāatbilst normatīvo aktu par dzeramā ūdens obligātās nekaitīguma un kvalitātes prasībām. Ražošanas vajadzībām lietojamā ūdens kvalitāti nosaka atbilstoši tehnoloģiskajām prasībām.
16. Aizliegts apvienot sadzīves ūdensvadu ar ūdensvadu, kurā ūdens neatbilst dzeramā ūdens kvalitātes prasībām, kā arī izmantot sadzīves ūdensvada būvniecībā materiālus, kas pazemina ūdens kvalitāti.
17. Ja ūdens padeve ēkā paredzēta no divām neatkarīgām ārējās ūdensapgādes sistēmām, to savienošanas vietā jābūt vismaz 50 mm lielam strūklas pārtraukumam. Abus ievadus drīkst savienot tieši, ja tajos ierīko īscauruli, kura jāizņem, ja darbojas otrs ievads.
18. Karstais ūdens izdales vietā (t.sk. katrā dzīvoklī) ne zemāks par 55°C un ne augstāks par 70°C.
19. Ūdens ar normatīvo caurplūdumu un temperatūru jāsaņem ūdens izdales vietās no karstā ūdens turpgaitas cauruļvada, kas nodrošināts ar cirkulācijas sistēmu, vai no ūdenssildītāja vai cauruļvada, kurā ir papildus uzsildītais ūdens, vismaz 10 sekundes pēc ūdens izdales armatūras atvēršanas. No tālākiem ūdens izdales punktiem, kurus lieto reti, kā arī individuālajās mājās attiecīgais laiks var būt ilgāks.
20. Pirmsskolas vecuma bērnu iestādēs ūdens temperatūra ūdens izdales vietās, kuras izmanto bērni, nedrīkst būt augstāka par 37 °C.
21. Ēdināšanas uzņēmumos, kā arī citur, kur ir nepieciešama augstāka ūdens temperatūra, nekā norādīts šo noteikumu 18.punktā, ūdens papildu uzsildīšanai lieto vietējos ūdens sildītājus.
3. Ūdens aprēķina patēriņa un siltuma daudzuma noteikšana ūdensapgādes un kanalizācijas sistēmās karstā ūdens apgādes vajadzībām
22. Ēkas ūdensapgādes un kanalizācijas sistēmām jānodrošina ūdens patērētāju skaitam vai sanitāri tehnisko ierīču skaitam atbilstoša ūdens padeve un notekūdeņu novadīšanas caurplūdums.
23. Sanitāri tehniskās ierīces (ūdens izdales armatūras) ūdens patēriņu sekundē (l/s) nosaka:
23.1. atsevišķai sanitāri tehniskajai ierīcei - saskaņā ar šī būvnormatīva 3.pielikumu;
23.2. dažādām sanitāri tehniskajām ierīcēm, kas apkalpo vienādus ūdens patērētājus izzaru tīkla posmā, - saskaņā ar šī būvnormatīva 4.pielikumu;
23.3. dažādām sanitāri tehniskajām ierīcēm, kas apkalpo dažādus patērētājus, pēc šādas formulas:
(1)
23.4. cilpveida tīklā sanitāri tehniskās ierīces ūdens patēriņu sekundē nosaka visai sistēmai kopumā un pieņem, ka tas ir vienāds visos cilpas posmos;
23.5. dzīvojamās un publiskajās ēkās, par kuru ūdens patēriņu un sanitāri tehniskajām ierīcēm nav ziņu, pieņem, ka:
23.6. atsevišķām sanitāri tehniskajām ierīcēm ūdens patēriņu pieļaujams noteikt saskaņā ar šī būvnormatīva 5.pielikumu.
24. Maksimālo ūdens patēriņu sekundē (l/s) ūdensvada tīkla aprēķina posmā nosaka pēc šādas formulas (koeficientu - nosaka atbilstoši šī būvnormatīva 6.pielikumam):
(2)
24.1. ūdens caurplūdumu ūdensvada tīkla galējos posmos nosaka pēc aprēķina, tomēr tas nedrīkst būt mazāks par atsevišķas sanitāri tehniskās ierīces maksimālo ūdens patēriņu sekundē;
24.2. var neņemt vērā veļas mazgājamās mašīnas vai trauku mazgājamās mašīnas ūdens patēriņus dzīvokļa vannasistabā un virtuvē; ēkas sadalošā tīkla posmos, kur ūdeni aizvada uz vairākiem dzīvokļiem vai pie vairākiem patērētājiem, minētos ūdens caurplūdumus jāņem vērā;
24.3. ražošanas uzņēmumu ūdens patēriņus tehnoloģiskajām vajadzībām nosaka, summējot atsevišķo tehnoloģisko iekārtu ūdens patēriņus, ja attiecīgo iekārtu darbības laiks sakrīt;
24.4. grupveida sanitāri tehnisko ierīču ūdens patēriņus var aprēķināt saskaņā ar šī būvnormatīva 3.pielikuma 2.piezīmi un summēt ar formulas (2) aprēķinu un citiem konstantiem patēriņiem, ja attiecīgo ierīču darbības laiks sakrīt.
25. Sanitāri tehnisko ierīču izmantošanas varbūtību aprēķina šādi:
25.1. ja ūdens patērētāji ēkās vai būvēs ir vienādi (neņemot vērā U un N attiecību izmaiņas atsevišķos aprēķina posmos), - pēc šādas formulas:
(3)
25.2. ja ūdens patērētāji ēkās vai būvēs ir dažādi, - pēc šādas formulas:
(4)
25.3. ja nav zināms sanitāri tehnisko ierīču skaits, to izmantošanas varbūtību var aprēķināt pēc (3) un (4) formulas, pieņemot, ka U = N;
25.4. ja vairākām patērētāju grupām ūdens maksimālie patēriņi nesakrīt laikā, sanitāri tehniskās ierīces izmantošanas varbūtību aprēķina pēc (3) un (4) formulas, lietojot pazeminošus koeficientus un ņemot vērā analogu sistēmu ekspluatācijas datus.
26. Notekūdeņu maksimālo patēriņu sekundē (l/s) nosaka:
26.1. ja maksimālais ūdens caurplūdums sekundē ūdensvadā ir qtot ≤ 8 l/s, - pēc šādas formulas:
(5)
26.2. pārējos gadījumos - pēc šādas formulas:
26.3. ūdens caurplūdumu var noteikt saskaņā ar šī būvnormatīva 7.pielikumu.
27. Atsevišķas sanitāri tehniskās ierīces ūdens patēriņu stundā (l/h) nosaka:
27.1. ja ūdens patērētāji ēkās vai būvēs ir vienādi,- saskaņā ar šī būvnormatīva 4.pielikumu;
27.2. ja ūdens patērētāji ēkās vai būvēs ir dažādi, - pēc šādas formulas:
(6)
27.3. dzīvojamās un publiskajās ēkās, par kuru sanitāri tehniskajām ierīcēm nav ziņu, pieņem, ka:
28. Sanitāri tehnisko ierīču izmantošanas varbūtību stundā sistēmai kopumā nosaka pēc šādas formulas:
(7)
29. Maksimālo ūdens patēriņu stundā (m3/h) nosaka pēc šādas formulas:
(8)
29.1. ražošanas uzņēmumu pārvaldes un sadzīves ēkām maksimālo ūdens patēriņu stundā var noteikt, summējot ūdens patēriņu dušās un ūdens patēriņu sadzīves vajadzībām atbilstoši šī būvnormatīva 4.pielikumam un ņemot vērā patērētāju skaitu noslogotākajā maiņā;
29.2. ražošanas uzņēmumu tehnoloģiskos ūdens patēriņus nosaka saskaņā ar šī būvnormatīva 24.3.apakšpunktu.
30. Vidējo ūdens patēriņu stundā (m3/h) ūdens maksimālā patēriņa periodā (diennaktī vai maiņā) nosaka pēc šādas formulas:
(9)
31. Atklātās apvienotajās siltumapgādes un karstā ūdens apgādes sistēmās karstā ūdensvada stāvvados jānodrošina 65 °C temperatūra, bet karstā ūdens patēriņa normu nosaka saskaņā ar šī būvnormatīva 4.pielikumu, piemērojot koeficientu 0,85 un nemainot kopējo patērējamā ūdens daudzumu.
32. Notekūdeņu maksimālo patēriņu stundā aprēķina saskaņā ar šī būvnormatīva 25.punktu.
33. Ūdens patēriņu diennaktī nosaka, summējot visu patērētāju patērēto ūdens daudzumu un patērēto laistīšanas ūdeņu daudzumu.
34. Karstā ūdens apgādei nepieciešamo siltuma plūsmas daudzumu (kW) maksimālā patēriņa periodā (diennaktī vai maiņā) nosaka pēc šādas formulas:
34.1. vidējā patēriņa stundai:
(10)
34.2. maksimālā patēriņa stundai:
(11)
4. Ūdens spiediens ūdensvada sistēmās
35. Ūdens spiediens sadzīves un apvienotā ūdensvada sistēmās viszemākajā ūdens izdales vietā nedrīkst būt lielāks par 0,6 MPa.
36. Ūdens spiediens ugunsdzēsības ūdensvada sistēmās pie viszemāk ierīkotā ugunsdzēsības krāna nedrīkst būt lielāks par 1,2 MPa. Ūdens spiediens apvienotā sadzīves un ugunsdzēsības ūdensvada sistēmās ugunsgrēka dzēšanas laikā pie viszemāk ierīkotās ūdens izdales vietas nedrīkst būt lielāks par 0,9 MPa, turklāt sistēmu hidraulisko pārbaudi jāizdara, kad ir ierīkota ūdens izdales armatūra.
37. Ūdens pievadcaurulēs (izņemot sadalošo cauruļvadu tīklu) ūdens normatīvo caurplūdumu drīkst samazināt par 70 %. Minētajā gadījumā zemākajā ūdens izdales vietā ūdens caurplūdums nedrīkst būt lielāks par 150 % no normatīvā caurplūduma. Kritiskajās ūdens izdales vietās lieto armatūru, kurai nepieciešams mazāks spiedienaugstums.
5. Aukstā ūdens ūdensvada sistēmas
38. Ēkās var būt viena vai vairākas no šādām iekšējā ūdensvada aukstā ūdens ūdensvada sistēmām:
38.1. sadzīves (dzeramā) ūdens ūdensvada sistēma;
38.2. ražošanas ūdensvada sistēma (viena vai vairākas);
38.3. ugunsdzēsības ūdensvada sistēma;
38.4. apvienotā ūdensvada sistēma. Ēku ugunsdzēsības ūdensvada sistēmu parasti apvieno ar sadzīves ūdensvada sistēmu vai ražošanas ūdensvada sistēmu.
39. Aukstā ūdens ūdensvada sistēmas (sadzīves, ražošanas, ugunsdzēsības un apvienotās) sastāv no ievada ēkā, komercuzskaites mēraparāta mezgla, sadalošā tīkla, stāvvadiem, pievadiem sanitāri tehniskajām ierīcēm un tehnoloģiskajām iekārtām, kā arī no ūdens regulēšanas, izdales un jaukšanas armatūras un noslēgarmatūras. Atkarībā no vietējiem apstākļiem un ražošanas tehnoloģijas iekšējā ūdensvada sistēmās var būt sūkņu iekārtas, ūdens rezerves tvertnes un regulējošās tvertnes.
40. Ūdensapgādes sistēmās jānodrošina tehnoloģisko prasību ievērošana un jāveic pasākumi pret iekārtu un cauruļu koroziju, sāļu nogulsnēšanos un bioloģisko apaugšanu.
41. Lai samazinātu ūdens patēriņu, ēkās un būvēs var ieprojektēt atgriezeniskās un atkārtotās ūdens izmantošanas sistēmas, ja tas ir ekonomiski lietderīgi.
6. Karstā ūdens ūdensvada sistēmas
42. Atkarībā no patērētāja, kā arī no ūdens patēriņa režīma ēkai projektē centralizēto karstā ūdens apgādes sistēmu vai vietējos sildītājus.
43. Ūdens sildītājus karstā ūdens apgādes sistēmās vēlams novietot patēriņa slodzes centrā.
44. Dzīvojamo māju, ārstniecības un bērnu iestāžu vannasistabās un dušu telpās nepieciešami dvieļu žāvētāji, ko ieteicams pieslēgt pie karstā ūdens apgādes sistēmas turpgaitas stāvvadiem.
45. Piecstāvu un augstākās dzīvojamās un publiskajās ēkās stāvvadus ieteicams apvienot sekciju mezglos ar kopējo cirkulācijas vadu. Sekciju mezglos var apvienot no trim līdz astoņiem stāvvadiem, augšējo un apakšējo sadali izvietojot apsildāmās telpās vai neapsildāmās telpās, ja cauruļvadus nodrošina ar siltumizolāciju.
46. Sanitāri tehniskās ierīces nedrīkst pievienot cirkulācijas cauruļvadiem.
47. Tvertņu akumulatorus centralizētajās karstā ūdens apgādes sistēmās uzstāda saskaņā ar šī būvnormatīva 16. nodaļu.
7. Ugunsdzēsības ūdensvada sistēmas
48. Ugunsdzēsības iekšējā ūdensvada nepieciešamību un minimālo ūdens patēriņu I, II, III, IV, V un VII lietošanas veida būvēs nosaka saskaņā ar šī būvnormatīva 1.tabulu, bet VI lietošanas veida būvēs – saskaņā ar šī būvnormatīva 2.tabulu.
49. Ugunsdzēsības krānu strūklas ražību, kompaktās strūklas darbības rādiusu, ugunsdzēsības šļūtenes garumu un ugunsdzēsības stobra izplūdes diametru nosaka ar aprēķinu, ņemot vērā ražotāja datus.
50. Ugunsdzēsības krāniem, ugunsdzēsības šļūtenēm un stobriem jāatbilst piemērojamo standartu prasībām. Ugunsdzēsības krānu komplektē ar attiecīgā diametra ugunsdzēsības šļūteni un stobru saskaņā ar ražotāja datiem un aprēķiniem. Ugunsdzēsības krāna darbības rādiuss nedrīkst pārsniegt 30 m.
51. Ugunsdzēsības iekšējo ūdensvadu var neierīkot ēkās, būvēs un būvju ugunsdrošības nodalījumos, kuru būvtilpums, augstums un stāvu skaits ir mazāks nekā minēts šī būvnormatīva 1. un 2.tabulā.
52. Ja ēku vai būvju daļām ir atšķirīgs būvtilpums, augstums, platums vai stāvu skaits vai telpām ir dažāda funkcionālā nozīme, ugunsdzēsības iekšējo ūdensvadu un tā ūdens patēriņu nosaka šādi:
52.1. ēkās un būvēs, kas nav sadalītas ugunsdrošības nodalījumos, – atbilstoši ēkas vai būves kopējam būvtilpumam, sprādzienbīstamībai vai ugunsbīstamībai (ja ugunsslodze ir lielāka par 600 MJ/m2) un ugunsslodzei;
52.2. ēkās un būvēs, kur ir dažādu veidu sprādzienbīstamības, ugunsbīstamības (ja ugunsslodze ir lielāka par 600 MJ/m2) un ugunsslodzes telpas un bīstamākā no tām ir atsevišķs ugunsdrošības nodalījums, – katram ēkas vai būves ugunsdrošības nodalījumam atsevišķi;
52.3. ar ugunsdrošības nodalījumiem sadalītām ēkas vai būves daļām – katram ēkas vai būves ugunsdrošības nodalījumam atsevišķi.
53. Ja pie ugunsdzēsības krāna ūdens spiedienaugstums ir lielāks par 400 kPa, pirms tā ierīko ūdens spiediena regulatoru vai spiedienu samazinošas diafragmas. Diafragmas ar vienādu diametru drīkst ierīkot 3-4 stāvu robežās.
54. Brīvam spiedienaugstumam pirms ugunsdzēsības krāna jānodrošina blīva ūdensstrūkla, lai varētu dzēst ugunsgrēku visaugstākajā un vistālākajā ēkas punktā jebkurā laikā. Blīvās ūdensstrūklas darbības rādiusam jābūt vienādam ar telpas augstumu, bet ne mazākam kā:
54.1. seši metri - dzīvojamās un publiskajās ēkās, kā arī ražošanas uzņēmumu ražošanas, pārvaldes un sadzīves ēkās, kas nav augstākas par 50 m;
54.2. astoņi metri - dzīvojamās ēkās, kas ir augstākas par 50 m;
54.3. sešpadsmit metri - publiskajās, kā arī ražošanas uzņēmumu ražošanas, pārvaldes un sadzīves ēkās, kas ir augstāks par 50 m.
55. Reālo ūdens spiedienu pie ugunsdzēsības krāna nosaka, ņemot vērā ūdens spiediena zudumus ugunsdzēsības šļūtenēs.
56. Ugunsdzēsības krāna darbības ilgums ir vismaz 45 minūtes. Ja ugunsdzēsības krānus uzstāda stacionārajās automātiskās ugunsgrēka dzēšanas sistēmās, to darbības laiks ir vienāds ar attiecīgās sistēmas darbības laiku.
1.tabula
|
Būves lietošanas veids |
Strūklu skaits |
Vienas strūklas minimālais patēriņš (l/s) |
|
|
1. |
I lietošanas veids: | ||
|
1.1. |
desmitstāvu līdz sešpadsmitstāvu |
1 |
1 |
|
1.2. |
septiņpadsmitstāvu līdz divdesmitpiecstāvu |
2 |
1 |
|
2. |
II, III, IV un V lietošanas veids: | ||
|
2.1. |
līdz desmitstāvu ar būvtilpumu no 5000 līdz 25000 m3 |
1 |
1 |
|
2.2. |
līdz desmitstāvu ar būvtilpumu vairāk nekā 25000 m3 |
2 |
1 |
|
2.3. |
desmitstāvu līdz sešpadsmitstāvu ar būvtilpumu līdz 25000 m3 |
2 |
2,5 |
|
2.4. |
no desmitstāvu ar būvtilpumu vairāk nekā 25000 m3 |
2 |
2,5 |
|
3. |
VII lietošanas veids: | ||
|
3.1. |
ar būvtilpumu no 5000 līdz 25000 m3 |
2 |
2,5 |
|
3.2. |
ar būvtilpumu vairāk nekā 25000 m3 |
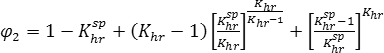
2 |
5 |
2.tabula
|
Būves ugunsnoturības pakāpe |
Ugunsslodze (MJ/m2) |
Strūklu skaits un vienas strūklas minimālais patēriņš (l/s) VI lietošanas veida būvēs, kuru būvtilpums ir: |
|
|
5000–25000 m3 |
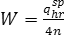
vairāk nekā 25000 m3 |
||
|
U1 |
>1200 |
2 x 2,5 |
2 x 5 |
|
300–1200 |
2 x 2,5 |
2 x 5 |
|
|
<300 |
– |
– |
|
|
U2 |
>1200 |
2 x 2,5 |
2 x 5 |
|
300–1200 |
2 x 2,5 |
2 x 5 |
|
|
<300 |
– |
– |
|
|
U3 |
>1200 |
2 x 2,5 |
2 x 5 |
|
300–1200 |
2 x 2,5 |
2 x 5 |
|
|
<300 |
– |
– |
|
Piezīmes:
1. Sešpadsmitstāvu un augstākās publisko ēku kāpņu telpās paredz DN 100 mm
sausos stāvvadus ar D 77 mm savienotājgalviņām katrā stāvā un pieslēgumu
ugunsdzēsības tehnikai pirmā stāva līmenī uz ēkas ārējās sienas. Ūdensvada
ievadā paredz vienvirziena vārstu.
2. Ražošanas un noliktavu būvēs, kurās nepieciešama vismaz viena aprēķinu
strūkla ar patēriņu 5 l/s, ugunsdzēsības krānus neaprīko ar šļūtenēm un
stobriem, bet paredz attiecīgā daudzuma pieslēgumus ar savienotājgalviņām un
vienu ugunsdzēsības krāna komplektu (šļūtene un stobrs) ar vienas strūklas
minimālo patēriņu vismaz 1 l/s.
3. U1, U2 un U3 – būvju ugunsnoturības pakāpes saskaņā ar ugunsdrošību
reglamentējošajiem normatīvajiem aktiem.
57. Sešstāvu un augstākās ēkās sadzīves un ugunsdzēsības apvienotajā ūdensvadā ugunsdzēsības stāvvadus augšpusē sacilpo. Lai šajos stāvvados nodrošinātu ūdens cirkulāciju, tos sacilpo kopā ar vienu vai vairākiem sadzīves ūdensvada stāvvadiem, kuros uzstāda noslēgarmatūru.
58. Neapsildāmās ēkās, būvēs un telpās iekšējā ugunsdzēsības ūdensvada darbspēja jānodrošina jebkurā gadalaikā, izmantojot sausos cauruļvadus vai citus inženiertehniskos risinājumus. Aizbīdņus izvieto vietās, kur temperatūra nav zemāka par 5 oC.
59. Iekšējās ugunsdzēsības ūdensapgāde ēku vai būvju tehniskajos stāvos, pagrabstāvos, cokolstāvos, bēniņos un tehniskajās pagrīdēs ir nepieciešama, ja tās ugunsslodze ir lielāka par 300 MJ/m2.
60. No katra stāvvada padod ne vairāk kā divas strūklas.
61. Ja aprēķina strūklu skaits ir četras un vairāk, var izmantot līdzās esošo stāvu ugunsdzēsības krānus.
62. Ugunsdzēsības krānus ierīko 1,35 m augstumā virs grīdas. Tos ievieto aizplombējamos skapjos, kuros ir vēdināšanas atvere. Savietotos ugunsdzēsības krānus var ierīkot vienu virs otra, un apakšējam krānam jāatrodas vismaz vienu metru no grīdas.
63. Ugunsdzēsības sūkņu un elektroaizbīdņu distances vadības pogas izvieto ugunsdzēsības šļūteņu stacionāro iekārtu skapjos vai pie tiem. Vadības pogu atrašanās vietu apzīmē ar norādījuma zīmēm saskaņā ar standartu LVS 446:2004/A1:2006 “Ugunsdrošībai un civilajai aizsardzībai lietojamās drošības zīmes un signālkrāsojums”.
64. Ugunsdzēsības krāni parasti ierīkojami pie durvīm, kāpņu laukumiņos, vestibilos, gaiteņos un citās viegli pieejamās vietās, kur tie netraucē cilvēku evakuāciju.
65. Telpās, kas aprīkotas ar stacionārajām automātiskajām ugunsdzēsības sistēmām, ugunsdzēsības krānus var ierīkot ūdens sprinkleru sistēmās atbilstoši ugunsdrošību regulējošajiem normatīvajiem aktiem un piemērojamajiem standartiem.
8. Aukstā ūdens ūdensvada tīkla aprēķins
66. Iekšējo ūdensvadu tīklu hidraulisko aprēķinu veic, ņemot vērā maksimālo ūdens caurplūdumu sekundē.
67. Sadzīves, ugunsdzēsības un ražošanas ugunsdzēsības ūdensvada apvienotajiem tīkliem pārbauda, kāds ir ugunsdzēsības vajadzībām lietojamā ūdens aprēķina caurplūdums sadzīves un ražošanas vajadzībām lietojamā ūdens maksimālā patēriņa apstākļos, neņemot vērā ūdens patēriņu laistīšanai, dušām un grīdu mazgāšanai.
68. Veicot ūdensvada tīklu hidraulisko aprēķinu, pie sanitāri tehniskajām ierīcēm, kā arī pie vistālāk novietotā un visaugstāk novietotā ugunsdzēsības krāna jānodrošina šī būvnormatīva 3.pielikumā norādītie spiedieni.
69. Ja ir vairāki ūdensvada ievadi, hidrauliskajā aprēķinā jāņem vērā, ka kāds no ievadiem atslēgts. Ja ir divi ievadi, katram no tiem jānodrošina 100 %, bet, ja ir vairāki ievadi, - 50 % caurplūdums.
70. Iekšējā ūdensvada cauruļu diametrus nosaka tādus, kas ļauj maksimāli izmantot garantēto ūdens spiedienu ārējos tīklos. Ēkas sadalošā tīkla sacilpoto posmu diametri nedrīkst būt mazāki par lielākā stāvvada diametru. Dušu pieslēgumiem jāievēro šī būvnormatīva 89.punktā minētie nosacījumi.
71. Ūdensvada stāvvadu diametrus sekciju mezglos nosaka, ievērojot šī būvnormatīva 24. punktā minētos nosacījumus un lietojot koeficientu 0,7.
72. Pieļaujamie ūdens tecēšanas ātrumi, kas ir atkarīgi no cauruļvada materiāla, ir noteikti šī būvnormatīva 8.pielikumā. Sprinkleru un drenčeru sistēmās ūdens tecēšanas ātrums nedrīkst būt lielāks par 10 m/s.
73. Spiediena zudumus cauruļvadu posmos nosaka atbilstoši 9.pielikumam pēc šādas formulas:
(12)
74. Koeficients kl ir:
74.1. dzīvojamo un publisko ēku sadzīves ūdensvadiem - 0,3;
74.2. dzīvojamo un publisko ēku apvienotajos sadzīves un ugunsdzēsības ūdensvadiem, kā arī ražošanas ūdensvadu tīkliem - 0,2;
74.3. apvienotajiem ražošanas un ugunsdzēsības ūdensvadu tīkliem - 0,15;
74.4. ugunsdzēsības ūdensvadiem - 0,1.
75. Spiediena zudumus sekciju mezglos nosaka pēc šādas formulas:
(13)
76. Koeficients f ir:
76.1. sadzīves ūdensvadu sistēmām - 0,5;
76.2. apvienotajām sadzīves un ugunsdzēsības ūdensvadu sistēmām - 0,3.
9. Karstā ūdens ūdensvada tīkla aprēķins
77. Karstā ūdens ūdensvada tīkla hidraulisko aprēķinu, ņemot vērā ūdens cirkulācijas caurplūdumu (l/s), atbilstoši 10.pielikumam veic pēc šādas formulas:
(14)
78. Karstā ūdens cirkulācijas caurplūdumu nosaka pēc šādas formulas:
(15)
79. Lielumus Qht un β nosaka:
79.1. sistēmām, kur nav paredzēta ūdens cirkulācija stāvvados, - maģistrālē un sadalošajā tīklā, ja Δt = 10 °C un β = 1;
79.2. sistēmām, kur ir paredzēta ūdens cirkulācija turpgaitas stāvvados un cirkulācijas stāvvadu pretestība ir mainīga, - ja Δt = 10 °C un β = 1;
79.3. sistēmām ar vienādu pretestību sekciju mezglos vai stāvvados, - turpgaitas cauruļvados no maģistrāles līdz cirkulācijas stāvvadam, ja Δt = 8,5 °C un β = 1,3;
79.4. vienā sekciju mezglā vai stāvvadā, - turpgaitas cauruļvados kopā ar augšējo sadali, ja Δt = 8,5 °C un β = 1.
80. Spiediena zudumus karstā ūdens turpgaitas un cirkulācijas ūdensvada posmos nosaka:
80.1. neņemot vērā cauruļu aizaugšanu, - saskaņā ar šī būvnormatīva 74.punktu;
80.2. ņemot vērā cauruļu aizaugšanu, - pēc formulas ( 12), kur kl ir:
80.2.1. turpgaitas un cirkulācijas sadalošajiem cauruļvadiem - 0,2;
80.2.2. cauruļvadiem siltuma mezglu robežās un stāvvadiem ar dvieļu žāvētājiem - 0,5;
80.2.3. stāvvadiem bez dvieļu žāvētājiem un cirkulācijas stāvvadiem - 0,1.
81. Pieļaujamie ūdens tecēšanas ātrumi nosakāmi saskaņā ar šī būvnormatīva 72.punktu.
82. Spiediena zudumi turpgaitas un cirkulācijas cauruļvados no ūdens sildītāja līdz visattālākajam stāvvadam katrā sistēmas atzarā vai cilpā dažādos atzaros nedrīkst atšķirties vairāk kā par 10 %.
83. Ja nav iespējams ievērot šī būvnormatīva 82.punktā noteiktās prasības, izvēloties cirkulācijas cauruļvadu diametrus, nepieciešami automātiskie caurplūdumu regulējošie ventiļi vai diafragmas.
84. Pieļaujams izmantot diafragmas, kuru diametru nosaka pēc šādas formulas (bet tas nedrīkst būt mazāks par 10 mm):
(16)
85. Sistēmās, kur sekciju mezglos vai stāvvados ir vienādi ūdens spiediena zudumi, turpgaitas un cirkulācijas sadalošajā tīklā kopējiem ūdens spiediena zudumiem no pirmā līdz pēdējam stāvvadam jābūt vismaz 1,6 reizes lielākiem nekā spiediena zudumiem sekciju mezglā vai stāvvadā, ja cirkulācijas nevienmērības koeficients b = 1,3.
86. Cirkulācijas stāvvadu diametru nosaka saskaņā ar šī būvnormatīva 78.punktu, ievērojot nosacījumu, ka ūdens spiediena zudumi katrā sekcijas mezgla vai stāvvada cirkulācijas kontūrā no turpgaitas līdz cirkulācijas sadalošajiem cauruļvadiem neatšķiras vairāk kā par 10 %.
87. Cirkulācijas režīmā spiediena zudumi sekciju mezglos, kas pievienoti slēgtajām karstā ūdens siltumapgādes sistēmām, var būt 30-60 kPa.
88. Spiediena zudumus tīklos, kas pieslēgti atklātajām apvienotajām siltumapgādes un karstā ūdens apgādes sistēmām, nosaka, ņemot vērā zudumus siltumtīklu cirkulācijas vados, un cirkulācijas režīmā minētie zudumi nedrīkst būt lielāki par 20 kPa.
89. Ja dušas telpā ir vairāk nekā trīs dušu sietiņi, turpgaitas cauruļvadus sacilpo vai projektē ko lektora tipa pievienojumu.
90. Zonētās ūdensapgādes sistēmās augšējā zonā pieļaujama gravitācijas cirkulācija nakts laikā.
10. Aukstā ūdens ūdensvada tīkli
91. Ja ir pieļaujami ūdens padeves pārtraukumi un ir ierīkoti ne vairāk kā 12 ugunsdzēsības krāni, iekšējā aukstā ūdens ūdensvada sistēmā ūdensvada tīkls var būt strupzaru, visos pārējos gadījumos nepieciešami cilpveida tīkli.
92. Divi vai vairāki ievadi nepieciešami:
92.1. ēkās, kur ir ierīkoti vairāk nekā 12 ugunsdzēsības krāni;
92.2. dzīvojamās ēkās, kur ir vairāk nekā 400 dzīvokļu, kā arī kinoteātros, teātros un klubos, kur skatītāju zālē vairāk nekā 300 vietu;
92.3. sprinkleru un drenčeru sistēmās, ja tajās ir vairāk nekā trīs vadības mezgli;
92.4. pirtīs, kurās ir 200 un vairāk vietu;
92.5. veļas mazgātavās, kuru jauda ir divas tonnas un vairāk sausās veļas vienā maiņā.
93. Ja ēkai ir divi vai vairāki ievadi, tos pievieno sacilpotam ārējam tīklam. Ārējā tīklā starp ievadiem nepieciešams aizbīdnis vai cita noslēgarmatūra. Ja ēkā ir vairāk nekā 12 ugunsdzēsības krāni un nav iespējams divu ievadu pieslēgums sacilpotam ārējam ūdensvada tīklam, ugunsdzēsības vajadzībām paredz papildu rezerves tilpumus, ūdensapgādes urbumus vai slēgtas ūdens tvertnes vai tilpnes ar atsevišķām sūkņu iekārtām saskaņā ar šī būvnormatīva 168.punktu.
94. Ja ēkā nepieciešami spiediena paaugstināšanas sūkņi, ievadus pirms tiem savieno un ierīko aizbīdni, lai nodrošinātu ūdens padevi no jebkura ievada.
95. Ja iekšējā ūdensvada tīklā ir vairāki ievadi un komercuzskaites mēraparātu mezgli, ierīko vienvirziena vārstus.
96. Atsevišķos gadījumos, ja komercuzskaites mēraparātu mezgli nav paredzēti, vienvirziena vārstus neierīko.
97. Attālumam no ievada līdz kanalizācijas izlaidei horizontālā virzienā jābūt ne mazākam par 1,5 m, ja ievada diametrs nav lielāks par 200 mm, un ne mazākam par 3 m, ja ievada diametrs ir lielāks par 200 mm.
98. Ievadu pagriezienu vietās ierīko balstus vai ievadus noenkuro, ja cauruļu savienojumi nespēj izturēt ūdens spiediena dinamiskos spēkus.
99. Ja ievads šķērso pagraba sienas, starp cauruļvadu un būvkonstrukcijām atstāj 0,2 m spraugu, kuru aizdrīvē ar elastīgu ūdens un gāzu necaurlaidīgu materiālu (slapjās gruntīs nepieciešams blīvslēgs). Ūdens ievadu var ievietot apvalkcaurulē.
100. Dzīvojamo un publisko ēku iekšējā ūdensvada sadalošos tīklus parasti izvieto pagrabos, zem grīdām, tehniskajos stāvos un bēniņos.
101. Ja ēkā nav pieļaujama atklāta cauruļu novietošana, iekšējā ūdensvada tīklus izvieto saskaņā ar šī būvnormatīva 8.pielikumu. Izvietojot cauruļvadus zemgrīdas kanālos, paredz pietiekamu skaitu remontlūku. Kanālos un tuneļos nav pieļaujama cauruļu izvietošana virs elektrokabeļiem.
102. Ugunsdrošības nodalījumos atļauts atklāti izbūvēt plastmasas cauruļvadus, ja tie nešķērso ugunsdrošības nodalījumu norobežojošās konstrukcijas. Cauruļvadiem, kuri šķērso ugunsdrošības nodalījumu norobežojošās konstrukcijas, jāparedz ugunsaizsardzība, nodrošinot par vienu pakāpi zemāku ugunsizturību, nekā tā noteikta šķērsojošām konstrukcijām. Ēkās, kas augstākas par deviņiem stāviem, cauruļvadu norobežojošo konstrukciju ugunsizturībai jābūt vienādai ar šķērsojamo konstrukciju ugunsizturību.
103. Degtspējīgu cauruļvadu pretuguns aizsardzību nodrošina saskaņā ar šī būvnormatīva 240.punktu.
104. Plastmasas cauruļu izvietošana tehniskajos kanālos un tuneļos zem elektrokabeļiem nav pieļaujama.
105. Iekšējā ūdensvada sadalošos tīklus ražošanas ēkās parasti izvieto atklāti pa sienām, siju fermām, kolonnām, kā arī zem pārseguma. Ja tas nav iespējams, ūdensvada sadalošos tīklus izvieto tehniskajos kanālos vai tuneļos kopā ar citiem inženiertīkliem, izņemot caurules, pa kurām pārvieto viegli uzliesmojošus, degtspējīgus vai indīgus šķidrumus vai gāzes. Dzeramā ūdens cauruļvadus novieto virs kanalizācijas. Pievadus tehnoloģiskajām iekārtām pieļaujams izvietot grīdas konstrukcijās.
106. Tehniskajos kanālos un tuneļos aukstā ūdens ūdensvada caurules novieto zemāk par karstā ūdens un tvaika caurulēm un nodrošina ar siltumizolāciju.
107. Horizontāli novietotajām iekšējā ūdensvada caurulēm nepieciešams vismaz 2 ‰ slīpums tukšošanas vietas virzienā.
108. Tehniskajos kanālos, šahtās, kabīnēs, tuneļos un telpās ar paaugstinātu mitrumu novietotās caurules nodrošina ar izolāciju pret kondensāciju.
109. Telpās, kur atrodas aukstā ūdens ūdensvads, gaisa temperatūrai jābūt augstākai par 2 °C. Ja tas nav iespējams, veic attiecīgus pasākumus, lai caurules neaizsaltu.
11. Karstā ūdens ūdensvada tīkli
110. Karstā ūdens apgādes sistēmas projektē saskaņā ar šī būvnormatīva 91.punktu un 100. - 108.punktu.
111. Karstā ūdens ūdensvadu sistēmu augstākajos punktos nepieciešamas atgaisošanas iekārtas. Atgaisošanu var veikt arī no visaugstāk novietotajiem ūdens izdales krāniem. Zemākajos punktos jābūt iztukšošanas iespējām.
112. Visus turpgaitas un cirkulācijas cauruļvadus (izņemot pievadus uz sanitāri tehniskajām ierīcēm) nodrošina ar siltumizolāciju.
113. Projektējot cauruļvadus, jāņem vērā to termiskā pagarināšanās un, ja nepieciešams, jāizmanto kompensatori.
12. Cauruļvadi un armatūra aukstajam ūdenim
114. Aukstā ūdens ūdensvada caurulēm un armatūrai jābūt no šādiem materiāliem:
114.1. dzeramā ūdens caurulēm - no būvizstrādājumiem, kuriem ir atbilstību apliecinoši dokumenti;
114.2. tehnoloģiskajām vajadzībām lietojamajām ūdens caurulēm - atkarībā no ūdens kvalitātes prasībām.
115. Caurulēm var būt metinājuma, atloku, vītņu, uzmavu, iemavu, aptveres, blīvgredzenu, lodēti, valcēti un līmēti savienojumi. Ēku iekšējā ūdensapgādē lietojamie cauruļvadu materiāli un to savienojumi noteikti šī būvnormatīva 6.pielikumā. Cinkoto tērauda cauruļu vītnes nepieciešams pārklāt ar krāsu, kurā ir 94 % cinka putekļu. Minētajām caurulēm nedrīkst būt metinātu savienojumu.
116. Ugunsdzēsības ūdensvada sistēmas cauruļu un armatūras materiāliem vai cauruļu ugunsaizsardzībai jānodrošina ugunsdzēsības ūdensvada sistēmas darbības ilgums vismaz 45 minūtes.
117. Sadzīves un dzeramā ūdens apvienotajā ūdensvadā caurules un ūdens izdales armatūru aprēķina darba spiedienam, kas ir ne mazāks par 600 kPa, bet ugunsdzēsības ūdensvadā un sadzīves un ugunsdzēsības apvienotajā ūdensvadā - spiedienam, kas ir ne mazāks par 1000 kPa. Ražošanas ēku ūdensvados caurules un armatūru aprēķina darba spiedienam, kas atbilst tehnoloģiskajām prasībām.
118. Iekšējos ūdensvada tīklos noslēgarmatūra nepieciešama šādās vietās:
118.1. katrā ievadā;
118.2. sacilpotā tīklā, lai nodrošinātu vismaz vienas cilpas puses atslēgšanu remonta laikā;
118.3. sacilpotā ražošanas aukstā ūdens ūdensvada tīklā, lai nodrošinātu divpusēju ūdens padevi iekārtām, kur nav pieļaujami ūdens padeves pārtraukumi;
118.4. stāvvados, kuros ierīkoti pieci un vairāk ugunsdzēsības krāni;
118.5. sadzīves un ražošanas ūdensvadu tīklu stāvvados trīsstāvu un augstākās ēkās;
118.6. nozarojumos, kuriem pieslēgtas piecas un vairāk ūdens izdales vietas;
118.7. nozarojumos no maģistrālajām līnijām;
118.8. katra dzīvokļa vai viesnīcas numura ievadā;
118.9. klozetpoda skalošanas tvertnes pievados, skalošanas krānos, vietējos sildītājos un nozarojumos uz grupveida dušām;
118.10. nozarojumos uz ēku sekcijām un sekciju mezgliem;
118.11. pirms ārējiem laistīšanas krāniem;
118.12. pirms speciālajām ierīcēm un aparātiem, ja tas ir nepieciešams;
118.13. ugunsdzēsības stāvvadu vidū septiņstāvu un augstākās ēkās.
119. Noslēgarmatūru ieprojektē sacilpoto stāvvadu abos galos tā, lai tā nodrošinātu ūdens padevi abos cilpas virzienos.
120. Jānodrošina piekļūšana stāvvadu noslēgarmatūrai jebkurā laikā. Stāvvadu noslēgarmatūru nedrīkst ierīkot telpās, kur ir iespējama attiecīgo telpu apsaimniekotāju prombūtne.
121. Ja noslēgarmatūra ir ierīkota atzarojumā uz dzīvokli, pie klozetpoda skalošanas tvertnes to pieļaujams neierīkot.
122. Noslēgarmatūru ievadā var neierīkot, ja tā ir ēkas komercuzskaites mēraparāta mezglā.
123. Noslēgarmatūrām, kas aizveras ātri (piemēram, konuskrāns, lodveida ventilis), nosacītais diametrs nedrīkst būt lielāks par 50 mm.
124. Vietās, kur nav pieļaujama ūdens tecēšana pretējā virzienā, ieprojektē vienvirziena vārstus.
125. Ja armatūra ar diametru 50 mm un lielāka ir ierīkota augstāk par 1,6 m no grīdas, nepieciešami apkalpes tiltiņi.
126. 150 mm un mazāka diametra armatūras apkalpošanai līdz 3 m augstumā var izmantot pārvietojamās kāpnes, platformas vai pieslienamās kāpnes, kuru slīpums nav lielāks par 60°, ievērojot attiecīgos darba drošības tehnikas noteikumus.
127. Dzeramā ūdens strūklakas un gāzētā ūdens ietaises izvieto ne tālāk kā 75 m attālumā no ražošanas vietām.
128. Automātiskie spiediena regulatori nepieciešami ēkām ar atsevišķām sadzīves ūdensvada un ugunsdzēsības ūdensvada sistēmām ūdensvada ievados un dzeramā ūdens padeves vadā, kas pieslēgts aiz ugunsdzēsības sūkņiem, ja spiediens ir lielāks nekā noteikts šī būvnormatīva 35. un 36.punktā.
129. Spiediena regulatoru, ja nepieciešams, var ierīkot atsevišķās ēkās vai to daļās un atsevišķos dzīvokļos.
130. Pirms ūdens izdales krāniem var ierīkot diafragmas.
131. Ēkas ūdensvada ievadā spiediena regulatoru novieto aiz komercuzskaites mēraparāta mezgla, noslēgarmatūras vai spiediena paaugstināšanas sūkņa, turklāt aiz spiediena regulatora ierīko noslēgarmatūru. Lai kontrolētu spiediena regulatora darbu, pirms un aiz tā nepieciešami manometri. Spiediena regulatoru dzīvoklī novieto aiz ievada ventiļa.
132. Dzīvojamo ēku atkritumu kamerās ierīko laistīšanas krānu, kuram pievada auksto un karsto ūdeni. Desmitstāvu un augstākās ēkās attiecīgajā telpā nepieciešams arī sprinklers.
133. Laistīšanas vai ūdens ņemšanas krāni nepieciešami šādās vietās:
133.1. darba apģērbu garderobēs, ja ražošanas process ir netīrs;
133.2. publiskajās tualetēs;
133.3. tualetēs, kurās ir vismaz trīs klozetpodi;
133.4. mazgātavās, kurās ir vismaz piecas roku mazgātnes;
133.5. telpās, kur nepieciešama mitrā telpu tīrīšana;
133.6. ārējo sienu nišās vai kapēs pie mājas ik pēc 60-70 m pa ēkas perimetru.
134. Ja ēkās ir karstā ūdens apgāde, laistīšanas krāniem pievada auksto un karsto ūdeni, izņemot šī būvnormatīva 133.6.apakšpunktā minētajās vietās, ja pagalmā nav paredzēts tauku uztvērējs.
13. Cauruļvadi un armatūra karstajam ūdenim
135. Karstā ūdens caurulēm, armatūrai un aprīkojumam jābūt termiski izturīgam. Atklātajās apvienotajās siltumapgādes un karstā ūdens apgādes sistēmās var izmantot tērauda caurules, ja to diametrs ir lielāks par 150 mm.
136. Karstā ūdens ūdensvadu sistēmās vienvirziena vārsti ir nepieciešami šādās vietās :
136.1. karstā ūdens cauruļvada posmos, no kuriem ūdens nokļūst grupveida jaucējkrānos;
136.2. uz cirkulācijas vada atzara no siltumtīkliem pirms termoregulatora;
136.3. uz cirkulācijas vada pirms pieslēguma siltumtīkliem atklātajās apvienotajās siltumapgādes un karstā ūdens apgādes sistēmās;
136.4. uz cirkulācijas vada un aukstā ūdens ūdensvada pirms pieslēguma ūdenssildītājam vai pievadam no siltā ūdens avota.
137. Noslēgarmatūru projektē saskaņā ar šī būvnormatīva 118., 125., 132. un 133. punktu.
14. Ūdens caurplūduma mērīšanas ierīces
138. Ūdens patēriņa uzskaitei ēku ievados vai ūdensvadu tīklu atzaros izvieto karstā un aukstā ūdens komercuzskaites mēraparātus.
139. Atsevišķiem patērētājiem publiskajās, dzīvojamās un ražošanas ēkās uzstāda ūdens patēriņa mērītājus. Daudzdzīvokļu dzīvojamos namos katrā dzīvoklī uz katra stāvvada veido vienu atzaru, kur uzstāda vienu aukstā vai karstā ūdens patēriņa mērītāju.
140. Komercuzskaites mēraparāta diametru nosaka atbilstoši vidējam ūdens patēriņam stundā maksimālā ūdens patēriņa diennaktī (maiņā), kas nedrīkst būt lielāks par ražotāja tehniskajos noteikumos paredzēto ūdens nominālo patēriņu. Komercuzskaites mēraparāta spiediena zudumus nosaka saskaņā ar šī būvnormatīva 141.punktu. Spārniņu tipa komercuzskaites mēraparāta diametru nosaka saskaņā ar šī būvnormatīva 11.pielikumu.
141. Komercuzskaites mēraparāta spiediena zudumi pie maksimālā sekundes caurplūduma nedrīkst būt lielāki par 25 kPa spārniņa tipa komercuzskaites mēraparātiem un par 10 kPa turbīnas tipa ūdens mērītājiem, bet ūdens caurplūdumam ugunsdzēsības vajadzībām – ne vairāk par 100 kPa.
142. Speciālo komercuzskaites mēraparātu diametru nosaka saskaņā ar ražotāja tehniskajiem noteikumiem. Komercuzskaites mēraparāti atbilst un tos uzstāda atbilstoši normatīvajiem aktiem par mērījumu vienotību.
143. Ja nav iespējams izvēlēties komercuzskaites mēraparātu, kas iekļaujas robežās starp minimālo un maksimālo ūdens patēriņu stundā, jāizvēlas kombinētie komercuzskaites mēraparāti vai vairāki paralēli saslēgti komercuzskaites mēraparāti ar mazāku diametru.
144 Komercuzskaites mēraparātus uz ūdens ievadiem ierīko telpās, kas atrodas pie ēku ārējām sienām vai to tuvumā viegli pieejamā vietā un kurās ir dabiskais vai mākslīgais apgaismojums un gaisa temperatūra nav zemāka par 5 °C.
145. Karstā ūdens caurplūdumu siltuma mezglos mēra ar aukstā ūdens komercuzskaites mēraparātu, kuru uzstāda pirms ūdenssildītāja.
146. Atklātajās apvienotajās siltumapgādes un karstā ūdens apgādes sistēmās komercuzskaites mēraparātus ierīko uz turpgaitas vada aiz maisītāja un uz kopējā cirkulācijas vada.
147. Ja komercuzskaites mēraparātu nav iespējams izvietot ēkā, to var izvietot pagalmā speciālā akā.
148. Katrā pusē komercuzskaites mēraparātam projektē taisnus cauruļu posmus atbilstoši ražotāja prasībām un noslēgarmatūru, kā arī iztukšošanas krānu starp komercuzskaites mēraparātu un ventili (aizbīdni) patērētāja pusē. Ja nepieciešams, jāuzstāda manometrs.
149. Aukstā ūdens komercuzskaites mēraparāta mezglam ir nepieciešama apvadlīnija, ja ēkai ir viens ievads, kā arī tad, ja komercuzskaites mēraparāts nav paredzēts ugunsdzēsības ūdens caurplūduma mērīšanai. Uz apvadlīnijas nepieciešams ventilis (aizbīdnis), ko noplombē aizvērtā stāvoklī. Ja komercuzskaites mēraparāts nav paredzēts ugunsdzēsības ūdens caurplūduma mērīšanai, uz apvadlīnijas nepieciešams elektroaizbīdnis, kas automātiski jāatver, kad tiek ieslēgti ugunsdzēsības sūkņi. Komercuzskaites mēraparāta mezglam paredz manuālo elektroaizbīdņu distances atvēršanu ar vadības pogu no ugunsdzēsības šļūteņu stacionārām iekārtām gadījumos, ja ugunsdzēsības ūdensapgādei nepieciešamā ūdens patēriņa un spiediena nodrošināšanai nav nepieciešami ugunsdzēsības sūkņi.
150. Ūdens ievados, kuru diametrs ir 50 mm un mazāks, aukstā ūdens komercuzskaites mēraparāta mezglam apvadlīnija var nebūt, ja ēkā nav ugunsdzēsības ūdensvada un ja ir pieļaujami ūdens padeves pārtraukumi. Karstā ūdens komercuzskaites mēraparātiem apvadlīnija nav nepieciešama.
151. Ja dzīvojamo ēku kvartālā ir kopējā ūdens apgādes sistēma, avārijas likvidēšanas vai ugunsdzēsības ūdens patēriņa laikā karstā ūdens padevi var neparedzēt, ja notiek automātiska karstā ūdens apgādes sistēmas atslēgšana ugunsdzēsības ūdens patēriņa laikā.
15. Sūkņu iekārtas
152. Sūkņu iekārtas ir nepieciešamas, ja ūdens apgādes sistēmās patstāvīgi vai periodiski nevar nodrošināt nepieciešamo spiedienu vai ja centralizētajās karstā ūdens apgādes sistēmās ir nepieciešama piespiedu cirkulācija.
153. Sūkņu iekārtas veidu un tās darba režīmu izvēlas atbilstoši tehniski ekonomiskajiem apsvērumiem, ņemot vērā šādus variantus:
153.1. sūkņi, kas strādā nepārtraukti vai periodiski bez regulējošām tvertnēm;
153.2. sūkņi, kuru ražīgums ir vienāds vai lielāks par maksimālo ūdens patēriņu stundā un kuri strādā atkārtoti īslaicīgā režīmā kopā ar hidropneimatiskajām spiediena tvertnēm (hidroforiem) vai ūdens tilpumu regulēšanas tvertnēm;
153.3. sūkņi, kuru ražīgums ir mazāks par maksimālo ūdens patēriņu stundā un kuri strādā nepārtraukti vai periodiski kopā ar ūdens tilpumu regulēšanas tvertnēm.
154. Sūkņu iekārtas sadzīves, ugunsdzēsības un cirkulācijas sistēmas vajadzībām parasti izvieto katlumājās, ūdens apstrādes iekārtu vai siltuma mezglu telpās.
155. Sūkņu iekārtas (izņemot ugunsdzēsības sūkņu iekārtas) drīkst izvietot dzīvojamajās un publiskajās ēkās, ja to radītais maksimālais trokšņa līmenis nepārsniedz normatīvajos aktos par akustiskā trokšņa normatīviem dzīvojamo un publisko ēku telpās noteikto līmeni.
156. Ugunsdzēsības sūkņu iekārtas ar vai bez hidroforiem var izvietot ēku vai būvju pagrabos, cokolstāvos, pirmajos stāvos un tehniskajos stāvos. Ja nepieciešams, ugunsdzēsības papildu sūkņu iekārtas var izvietot pārējos ēku stāvos. Šo telpu norobežojošo konstrukciju ugunsizturībai jāatbilst ugunsdrošību reglamentējošajos normatīvajos aktos noteiktajai ugunsizturībai. Telpās ierīko apkuri un ventilāciju, kā arī paredz pasākumus pret telpu appludināšanu. Telpām nepieciešama izeja uz evakuācijas ceļu.
157. Telpas, kurās atrodas hidropneimatiskās spiediena tvertnes (hidrofori), nedrīkst atrasties līdzās telpām, kurās ir iespējama cilvēku masveida pulcēšanās (50 cilvēku un vairāk), piemēram, zālēm, skatuvēm, garderobēm.
158. Ugunsdzēsības sūkņu iekārtas ir aizliegts izvietot ēkās, kur apkalpojošā personāla prombūtnes laikā tiek pārtraukta elektroenerģijas piegāde.
159. Kompaktās sūkņu iekārtas ar hidrostatu vai hidropneimatisko spiediena tvertni (hidroforu) līdz 50 l tilpumam drīkst izvietot tieši patēriņa vietā.
160. Sūkņu iekārtas, ko lieto dzīvojamajos kvartālos vai ražošanas vajadzībām projektē saskaņā ar Latvijas būvnormatīvu LBN 222 par ūdensapgādes būvēm.
161. Sūkņu iekārtām, kas strādā bez strūklas pārtraukuma, nav nepieciešamas sanitārās aizsardzības joslas.
162. Ražošanas vajadzībām lietojamās sūkņu iekārtas parasti izvieto tieši ražošanas vietā. Ja nepieciešams, tām jāparedz drošības nožogojums.
163. Sadzīves un ražošanas vajadzībām lietojamo sūkņu iekārtu ražīgumam jābūt:
163.1. sūkņiem, kuri strādā bez ūdens tilpumu regulēšanas tvertnēm, - ne mazākam par maksimālo ūdens patēriņu sekundē;
163.2. sūkņiem, kuri strādā kopā ar ūdens vai hidropneimatiskajām spiediena tvertnēm (hidroforiem) un sūkņiem, kas strādā atkārtoti īslaicīgā režīmā, - ne mazākam par maksimālo ūdens patēriņu stundā;
163.3. ja sūkņi maksimāli izmanto hidropneimatisko spiediena tvertni (hidroforu) vai ūdens tilpumu regulēšanas tvertni, - saskaņā ar šo būvnormatīvu.
164. Sūkņu iekārtu darba spiedienaugstumu, ņemot vērā minimālo garantēto spiedienaugstumu ievadā, nosaka pēc šādas formulas:
(17)
165. Ja nepieciešams, pārbauda spiedienu sistēmā minimālā ūdens patēriņa laikā, ņemot vērā spiedienaugstumu ievadā.
166. Sūkņu iekārtās sūkņus parasti saslēdz paralēli. Ja spiediena svārstības pirms tiem ir lielākas par 200 kPa un ūdens tilpuma regulēšanas tvertņu nav, vēlams sūkņus saslēgt virknes slēgumā ar automātisku vadību atkarībā no nepieciešamā spiediena.
167. Ja spiediens ārējā tīklā ir mazāks par 50 kPa, pirms sūkņiem ir nepieciešama pieņemšanas tvertne, kuras tilpumu nosaka saskaņā ar šo būvnormatīvu.
168. Ja pārtraukumi ūdens apgādē nav pieļaujami, rezerves sūkņu skaitu nosaka saskaņā ar Latvijas būvnormatīvu LBN 222 par ūdensapgādes būvēm.
169. Karstā ūdens apgādes sistēmās rezerves cirkulācijas sūknis nav nepieciešams.
170. Spiedvadā pie katra sūkņa ir nepieciešams vienvirziena vārsts, noslēgarmatūra un manometrs, bet sūcvadā - noslēgarmatūra un manometrs.
171. Ja sūcvadā nav spiediena, noslēgarmatūra nav nepieciešama, bet mērīšanai izmanto manovakuummetru.
172. Sūkņu iekārtas nodrošina pret kopējā pieļaujamā trokšņa līmeņa pārsniegšanu.
173. Ugunsdzēsības sūkņu iekārtām nepieciešama rezerves elektroapgāde.
174. Ugunsdzēsības sūkņu sistēmām elektroapgādi paredz no diviem neatkarīgiem elektroapgādes avotiem, ierīkojot automātisko rezerves ieslēgšanas iekārtu.
175. Ja nav iespējams nodrošināt sūkņu iekārtas pietiekamu elektroapgādi, uzstāda rezerves sūkņus ar iekšdedzes dzinēju. Šādus sūkņus nedrīkst uzstādīt pagraba telpās.
176. Visu veidu ūdensapgādes sistēmās sūkņu iekārtām jābūt ar rokas, distances vai automātisko vadību. Ja spiediena paaugstināšanas sūkņu iekārtai ir automātiskā vadība, tai jānodrošina:
176.1. darba sūkņu automātiskā ieslēgšana un apstādināšana atkarībā no spiediena sistēmā;
176.2. rezerves sūkņa automātiskā ieslēgšana darba sūkņa avārijas gadījumā;
176.3. attiecīgs signāls darba sūkņa avārijas gadījumā.
177. Ugunsdzēsības sūkņu iekārtas 50 m un augstākās ēkās, kā arī skatītāju zālēs, apspriežu un konferenču zālēs un ēkās, kurās ir sprinkleru un drenčeru sistēmas, projektē ar rokas, distances un automātisko vadību.
178. Ja ugunsdzēsības sūknim ir automātiskās vai distances vadība, ir nepieciešama nepārtraukta spiediena pārbaude sistēmā.
179. Ugunsdzēsības vajadzībām var izmantot sadzīves vajadzībām lietojamos sūkņus, ja tiem ir paredzēta automātiska spiediena pārbaude.
180. Vienlaikus ar ugunsdzēsības sūkņu iedarbināšanu, kā arī stacionāro automātisko un manuālo ugunsdzēsības sistēmu ieslēgšanos automātiski jāatveras elektroaizbīdnim, kas atrodas uz ievada apvadlīnijas, kā arī pārējo ievadu aizbīdņiem, ja ēkā vai būvē ir cilpveida iekšējā ugunsdzēsības ūdensapgādes sistēma.
181. Distances vadības ugunsdzēsības sūkņu iedarbināšanas pogas izvieto ugunsdzēsības skapī. Kad minētie sūkņi ieslēdzas, vienlaikus tiek dots signāls dežūrējošajam vai apkalpojošajam personālam. Iedarbināšanas pogu vietā var lietot hidraulisku signāla devēju, kas iedarbojas, kad atver ugunsdzēsības krānu.
182. Ja ūdeni sūknē no tvertnēm, parasti sūkni novieto zem tvertnes ūdens līmeņa. Ja sūkni novieto virs tvertnes ūdens līmeņa, nepieciešams pašsūcošais sūknis vai iekārtas sūkņa piepildīšanai ar ūdeni pirms sūkņa iedarbināšanas. Var lietot arī iegremdējamos sūkņus.
183. Ūdens sūknēšanai no tvertnēm nepieciešami vismaz divi sūcvadi ar pilnu sistēmas ražīgumu katrai tvertnei. Vienu sūcvadu var ierīkot, ja nav rezerves sūkņa vai vismaz divu darba sūkņu.
16. Rezerves tilpumi un regulējošie tilpumi
184. Rezerves tilpumu un regulējošo tilpumu (piemēram, ūdenstorņu, tvertņu, hidropneimatisko spiediena tvertņu (hidroforu), siltuma akumulatoru) tilpumam jābūt pietiekamam, lai līdzsvarotu ūdens patēriņu. Ja nepieciešams, attiecīgajā tvertnē uzglabā ugunsdzēsības ūdens rezervi, ko nodrošina pret izlietošanu citām vajadzībām. Ugunsdzēsības ūdens rezerves uzglabāšanai nav ieteicams izmantot hidropneimatiskās spiediena tvertnes (hidroforus), bet tajā jānodrošina minimālā ūdens rezerve, kas garantē tu ugunsdzēsības sūkņu iedarbināšanu no spiediena devēja.
185. Bezspiediena tvertnes - akumulatorus var lietot pirtīs, veļas mazgātavās vai līdzīgās vietās, kur sagaidāmi lieli īslaicīgi ūdens patēriņi.
186. Ražošanas uzņēmumu dušu telpās, kurās ir 10 un vairāk dušu sietiņu, bezspiediena tvertnes - akumulatori nepieciešami, ja no ārējā tīkla nav iespējams nodrošināt nepieciešamo ūdens daudzumu.
187. Tvertnes regulējošo tilpumu (m3) nosaka:
187.1. spiediena tvertnēm vai hidropneimatiskajām spiediena tvertnēm (hidroforiem), ja sūkņu ražīgums ir vienāds vai lielāks par maksimālo patēriņu stundā:
;
187.2. bezspiediena tvertnēm un spiediena tvertnēm, ja sūkņu ražīgums ir mazāks par maksimālo patēriņu stundā:
(19)
187.3. siltuma akumulatoriem, ja sildītājs nenodrošina maksimālo ražīgumu stundā:
(20)
188. Regulējošā tilpuma koeficientu nosaka:
188.1. ja sūkņu (ūdenssildītāja) iekārtas darbojas nepārtraukti ar mainīgu ražīgumu maksimālā ūdens patēriņa diennaktī (maiņā) vai ja sūkņu iekārtas darbojas ilgstoši, - pēc šādas formulas:
(21)
188.2. ja sūkņu iekārtas (ūdenssildītājs vai siltuma ģenerators) darbojas nepārtraukti un vienmērīgi (arī maksimālā patēriņa stundās), - pēc šādas formulas:
(22)
189. Ja aprēķins tiek veikts siltuma akumulatoriem, (21) un (22) formulā
un
vietā lieto
un
.
190. Lielumus φ1 un φ2 nosaka pēc šī būvnormatīva 12. un 13.pielikuma.
191. Ūdens patēriņa nevienmērības koeficientu stundā nosaka pēc šādas formulas:
(23)
192. Sūkņu iekārtas ūdens padeves nevienmērības koeficientu stundā nosaka pēc šādas formulas:
(24)
193. Siltuma patēriņa nevienmērības koeficientu stundā karstā ūdens maksimālā patēriņa stundā nosaka pēc šādas formulas:
(25)
194. Siltuma padeves nevienmērības koeficientu karstā ūdens apgādes vajadzībām karstā ūdens maksimālā patēriņa stundā nosaka pēc šādas formulas:
(26)
195. Neatkarīgi no aprēķina bez spiediena tvertnes - akumulatora tilpumam jābūt ne mazākam kā (procentos no patēriņa stundā):
195.1. pirtīs - 150;
195.2. dzīvojamās ēkās, kopmītnēs, viesnīcās un slimnīcās - 100;
195.3. veļas mazgātavās, kuru ražība ir līdz 3000 kg veļas maiņā, - 75;
195.4. veļas mazgātavās, kuru ražība ir lielāka par 3000 kg veļas maiņā, - 50;
195.5. ražošanas uzņēmumos 10 - 20 dušu sietiņiem - 200;
195.6. ražošanas uzņēmumos 21 - 30 dušu sietiņiem - 300;
195.7. ražošanas uzņēmumos 31 un vairāk dušu sietiņiem - 400.
196. Centralizētajās karstā ūdens apgādes sistēmās siltuma akumulatori nav nepieciešami, izņemot gadījumus, ja nepieciešams uzkrāt ūdens rezervi (piemēram, pirtīs, veļas mazgātavās).
197. Ugunsdzēsības ūdens rezerves apjomu nosaka vismaz 10 minūšu ilgai uguns dzēšanai no ugunsdzēsības krāniem maksimālā ūdens patēriņa laikā sadzīves un ražošanas vajadzībām. Minēto ugunsdzēsības ūdens rezervi var neparedzēt, ja ir garantēta automātiska ugunsdzēsības sūkņu ieslēgšana.
198. Regulējošām tvertnēm darba tilpumu (m3) nosaka:
198.1. hidropneimatiskajām spiediena tvertnēm (hidroforiem):
(27)
198.2. bezspiediena un spiediena tvertnēm:
(28)
198.3. siltuma akumulatoriem:
(29)
199. Maksimālā un minimālā spiediena attiecības koeficients A ir:
199.1. iekārtām, kas strādā priekšspiediena režīmā - 0,8;
199.2. iekārtām ar spiedienu līdz 50 m, - 0,75;
199.3. iekārtām ar spiedienu virs 50 m, - 0,7.
200. Regulējošā tilpuma rezerves koeficients B ir:
200.1. ja sūkņu iekārtas strādā atkārtoti īslaicīgā režīmā, - 1,2 - 1,3;
200.2. ja sūkņu ražīgums ir mazāks par maksimālo ūdens patēriņu stundā, - 1,1;
200.3. siltuma akumulatoriem - 1.
201. Spiediena tvertņu novietojuma augstumam un minimālajam spiedienam hidropneimatiskajā spiediena tvertnē (hidroforā) jānodrošina patērētājam nepieciešamais ūdens spiedienaugstums.
202. Visu veidu tvertnēm jābūt izgatavotām no nekorodējošiem materiāliem. Ja izmanto korodējošus materiālus, nepieciešama antikorozijas izolācija, turklāt tvertnes iekšpusē jāizmanto materiāli, kas nepazemina dzeramā ūdens kvalitāti.
203. Spiediena tvertnes un bezspiediena tvertnes - akumulatorus izvieto siltās vēdināmās telpās, kuru augstums ir vismaz 2,2 m. Šo telpu norobežojošo konstrukciju ugunsizturībai jāatbilst ugunsdrošību reglamentējošajos normatīvajos aktos noteiktajai ugunsizturībai. Avārijas gadījumiem zem tvertnēm jābūt ūdensnecaurlaidīgam paliktnim vai ūdensnecaurlaidīgai grīdai ar trapu. Attālumam no tvertnes līdz telpas sienām jābūt vismaz 0,7 m, līdz griestiem - 0,6 m un līdz paliktnim - 0,5 m.
204. Spiediena tvertnēm un bezspiediena tvertnēm - akumulatoriem ir nepieciešamas šādas caurules un ierīces:
204.1. ūdens padeves caurule ar pludiņvārstiem, pirms kuriem ierīko noslēgarmatūru;
204.2. novadcaurule;
204.3. pārplūdes caurule;
204.4. iztukšošanas caurule (ar noslēgarmatūru), ko pievieno pārplūdes caurulei;
204.5. ierīces aizsardzībai pret ūdens kondensāta noplūšanu telpā;
204.6. ierīces, kas nodrošina ūdens cirkulāciju, ja dzeramais ūdens tvertnē netiek mainīts biežāk kā ik pēc 48 stundām;
204.7. vēdināšanas caurule;
204.8. ūdens līmeņa rādītājs signalizācijai uz vadības pulti.
205. Ūdens padeves cauruli un novadcauruli var apvienot, ja pirms ūdens padeves vada ievadīšanas kopējā caurulē ierīko vienvirziena vārstu un noslēgarmatūru.
206. Ja tvertnē nav ūdens līmeņa signālierīces, nepieciešama signālcaurule ar diametru 15 mm, kuru pievieno 5 cm zem pārplūdes caurules un izvada izlietnē telpā, kur uzturas strādājošais vai dežurējošais personāls.
207. Hidropneimatiskās spiediena tvertnes (hidroforus) aprīko ar padeves cauruli un izvadcauruli, iztukšošanas cauruli un drošības vārstu. Ja attiecīgajai tvertnei nav membrānas, papildus nepieciešams ūdens līmeņa rādītājs un gaisa uzpildes un regulēšanas iekārta.
208. Atgriezeniskās ūdensapgādes sistēmas tvertnes drīkst izvietot ārpus ēkas. Tās projektē saskaņā ar Latvijas būvnormatīvu LBN 222 par ūdensapgādes būvēm.
17. Kanalizācijas sistēmas
209. Atkarībā no ēkas funkcionālā lietojuma un notekūdeņu savākšanai noteiktajām prasībām projektē šādas iekšējās kanalizācijas sistēmas:
209.1. sadzīves notekūdeņu kanalizācijas sistēma - notekūdeņu novadīšanai no sanitāri tehniskajām ierīcēm;
209.2. ražošanas notekūdeņu kanalizācijas sistēma - ražošanas notekūdeņu novadīšanai;
209.3. apvienotā notekūdeņu kanalizācijas sistēma - sadzīves notekūdeņu un ražošanas notekūdeņu novadīšanai, ja ir iespējama to kopēja transportēšana un attīrīšana;
209.4. iekšējās lietusūdens notekas - lietus un sniega kušanas ūdeņu novadīšanai no ēkas jumta.
210. Ražošanas ēkās var projektēt vairākas kanalizācijas sistēmas notekūdeņiem, kas atšķiras pēc satura, temperatūras, agresivitātes un citiem rādītājiem, ja to sajaukšanās nav pieļaujama vai ir nelietderīga.
211. Atsevišķi ražošanas notekūdeņu kanalizācijas un sadzīves notekūdeņu kanalizācijas tīkli jāprojektē:
211.1. ražošanas ēkām, kuru ražošanas notekūdeņi jāattīra vai jāapstrādā;
211.2. ja pirtīs un veļas mazgātavās ierīko siltumuztvērējus, izbūvē vietējās attīrīšanas ietaises;
211.3. pārtikas veikalu, ēdināšanas un pārtikas produktu pārstrādes uzņēmumu ēkās.
212. Tehnoloģiskos notekūdeņus, tehnoloģisko tvertņu nosēdumus pēc to tīrīšanas, cilvēku veselībai un videi bīstamas vielas ir aizliegts ievadīt kanalizācijā, bet tie jānovada speciālās tvertnēs tālākai utilizācijai vai dezaktivācijai.
18. Sanitāri tehniskās ierīces un notekūdeņu uztvērēji
213. Ja sadzīves vai ražošanas notekūdeņu kanalizācijai pievieno sanitāri tehniskās ierīces vai uztvērējus, kuru konstrukcijā nav hidraulisko noslēgu (sifonu), hidrauliskos noslēgus (sifonus) izvieto zem ierīcēm vai uztvērējiem.
214. Vienā telpā izvietotai roku mazgātņu grupai (ne vairāk kā sešas mazgātnes) vai trauku mazgātnei ar vairākiem nodalījumiem var ierīkot vienu kopīgu sifonu ar diametru 50 mm, kuru iespējams iztīrīt. Katram ražošanas izlietnes (mazgāšanas vannas) nodalījumam ierīko sifonu ar diametru vismaz 50 mm.
215. Hidrauliskie noslēgi nav nepieciešami ražošanas procesā nepiesārņotiem vai tikai ar mehāniskiem piemaisījumiem (piemēram, sārņi, duļķes) piesārņotiem ražošanas notekūdeņiem, ja tos izlaiž patstāvīgā kanalizācijas tīklā.
216. Nav pieļaujama vairāku dažādās telpās novietotu sanitāri tehnisko ierīču pievienošana vienam sifonam.
217. Trapu teknē ūdens novadīšanai drīkst ierīkot ne vairāk kā sešām dušām: 1-2 dušām nepieciešams traps ar diametru 50 mm, bet vairākām dušām - ar diametru 100 mm.
218. Speciālo ražošanas notekūdeņu uztvērēju tipu un skaitu nosaka projekta tehnoloģiskajā daļā.
219. Katru klozetpodu aprīko ar individuālajām skalošanas tvertnēm vai skalošanas krāniem.
220. Skolu, slimnīcu un poliklīniku tualetēs klozetpodus ieteicams aprīkot ar skalošanas ierīcēm, kas darbināmas ar pedāli.
221. Bērnu uzraudzības pakalpojuma sniegšanas vietu un izglītības iestāžu, kas īsteno pirmsskolas izglītības programmu, kā arī bērnu sociālās aprūpes iestādēs, vispārizglītojošo skolu un internātskolu jaunāko klašu audzēkņu tualetes telpas aprīkojamas ar bērnu sēdpodiem.
222. Publiskajās ēkās, kurās uzturas daudz cilvēku, kā arī publiskajās tualetēs klozetpodu un urinālu skalošanu var veikt no kopējās tvertnes, ja ir nodrošināta minētā procesa automatizācija.
223. Vīriešu tualešu nodalījumos pie sienas vai uz grīdas novietojami urināli.
224. Publisko un ražošanas ēku sieviešu personāla higiēnas telpās nepieciešams bidē.
225. Virs starpstāvu pārsegumiem izvietotajās dušu telpās, kā arī ražošanas uzņēmumu un sporta būvju sadzīves telpās ieteicamas dušas ūdeņu vāceles.
226. Trapi ir nepieciešami šādās vietās:
226.1. viesnīcu numuru sanitārajos mezglos, sanatoriju, kempingu, tūristu bāžu sanitāri tehniskajās telpās, tualetēs, kurās ir trīs un vairāk klozetpodu, sieviešu personāla higiēnas telpās, kā arī mazgātavās, kurās ir piecas un vairāk roku mazgātnes, - trapi ar diametru 50 mm;
226.2. dzīvojamo māju atkritumu kamerās - trapi ar diametru 100 mm;
226.3. telpās, kur nepieciešama grīdu mitrā apkope vai kur to prasa ražošanas apstākļi, - saskaņā ar tehnoloģisko uzdevumu;
226.4. dušu telpās, kurās ir trīs līdz astoņas dušas, - traps ar diametru 50 mm, bet telpās, kurās ir vairāk nekā astoņas dušas, - traps ar diametru 100 mm.
227. Trapi nav nepieciešami dzīvokļu un ilgstošas sociālās aprūpes un sociālās rehabilitācijas iestāžu vannas istabās.
228. Grīdas slīpumam dušu telpās jābūt 10-20 Ē teknes vai trapa virzienā. Tekņu izmēram un slīpumam jānodrošina notekūdeņu plūsmas pašattīrīšanās ātrums un pildījums ne vairāk kā 0,8 no teknes dziļuma.
229. Sanitāri tehnisko ierīču novietošanas augstumi noteikti šī būvnormatīva 14.pielikumā.
19. Kanalizācijas tīkli
230. Notekūdeņus novada pa pašteces cauruļvadiem un, ja nepieciešams, pa spiedvadiem.
231. Ražošanas notekūdeņus, kuriem nav nepatīkamas smakas un kuri neizdala kaitīgas gāzes un tvaikus, var novadīt pa atklātām pašteces teknēm, ja tas ir tehnoloģiski nepieciešams. Minētajā gadījumā ierīko kopēju hidraulisko noslēgu.
232. Kanalizācijas tīkla posmus būvē taisnā līnijā. Kanalizācijas cauruļvada izbūves virzienu maina un attiecīgās ierīces pievieno ar savienojošo detaļu palīdzību. Ir aizliegts mainīt caurules slīpumu starp pieslēgumiem.
233. Zem telpu griestiem, pagrabos un tehniskajās pagrīdēs novadošos cauruļvadus pievieno stāvvadiem ar slīpiem krustgabaliem un trejgabaliem.
234. Novadošo cauruļu divpusēja pievienošana stāvvadiem no vannām vienā līmenī pieļaujama tikai ar slīpiem krustgabaliem.
235. Sanitāri tehniskās ierīces, kas izvietotas viena stāva dažādos dzīvokļos, nedrīkst pievienot pie kopējās novadcaurules.
236. Lietot taisnos krustgabalus, novietojot tos horizontālā plaknē, ir aizliegts.
237. Atbilstoši stiprības un noturības pret koroziju prasībām kanalizācijas sistēmā lieto šādas caurules:
237.1. pašteces sistēmās - ķeta, nerūsējošā vai ķīmiski noturīgā tērauda, plastmasas, stikla, betona vai dzelzsbetona;
237.2. spiediena sistēmās - spiediena ķeta, nerūsējošā vai ķīmiski noturīgā tērauda, vara vai plastmasas.
238. Ēku iekšējā kanalizācijā lietojamie cauruļvadu materiāli un to savienojumi ir noteikti šī būvnormatīva 8.pielikumā.
239. Iekšējās kanalizācijas tīklus parasti būvē:
239.1. atklāti - sanitāri tehniskajās telpās, pagrīdēs, pagrabos, cehos, palīgtelpās, gaiteņos, tehniskajos stāvos, bēniņos un speciālās tīklu izvietošanai paredzētās telpās, piestiprinot pie ēkas konstrukcijām (piemēram, sienām, kolonnām, griestiem, fermām) vai nostiprinot uz speciāliem balstiem;
239.2. segti - ēku pārseguma konstrukcijās, zem grīdas (gruntī, kanālos), paneļos, sienu ailās, zem apšuvuma, pie sienām piebūvētās kārbās, piekārtajos griestos, vertikālajās šahtās un grīdas konstrukcijās, ierīko lūkas iepretim revīzijām.
240. Lietojot plastmasas kanalizācijas (t.sk. vēdināšanas) cauruļvadus, ievēro šādus nosacījumus:
240.1. cauruļvadiem, kuri šķērso ugunsdrošības nodalījumu norobežojošās konstrukcijas, jāparedz ugunsaizsardzība, nodrošinot par vienu pakāpi zemāku ugunsizturību, nekā tā ir noteikta šķērsojošām konstrukcijām;
240.2. ēkās, kas augstākas par deviņiem stāviem, cauruļvadu norobežojošo konstrukciju ugunsizturībai jābūt vienādai ar šķērsojamo konstrukciju ugunsizturību;
240.3. cauruļvadu norobežojošajās konstrukcijās ir pieļaujamas tehnoloģiskās ailes, kurās atveramo lūku, durvju vai noņemamo paneļu ugunsizturība atbilst norobežojošajai konstrukcijai.
241. Iekšējās kanalizācijas tīkla izbūve ir aizliegta šādās vietās:
241.1. zem griestiem, sienās un grīdā dzīvojamās istabās, bērnudārzu guļamtelpās, slimnīcu palātās, ārstniecības kabinetos, ēdamzālēs, pārvaldes ēku darba kabinetos, sēžu zālēs, skatītāju zālēs, bibliotēkās, mācību auditorijās, elektrosadales, transformatoru un automātikas vadības telpās, pieplūdes ventilācijas kamerās un sevišķa režīma ražošanas telpās;
241.2. zem griestiem (atklāti vai segti) virtuvēs, ēdināšanas uzņēmumu telpās, tirdzniecības zālēs, pārtikas produktu un vērtīgu mantu noliktavu telpās, vestibilos un telpās, kurām ir vērtīgs mākslinieciskais noformējums, ražošanas telpās, kur iebūvētas ražošanas krāsnis, kurām nav pieļaujama mitruma nokļūšana, kā arī telpās, kurās tiek ražotas vērtīgas mantas un materiāli, kuru kvalitāte pazeminās, ja uz tām nokļūst mitrums.
242. Pieplūdes vēdināšanas kameru telpās pieļaujama lietusūdeņu noteku stāvvadu novietošana ārpus gaisa ņemšanas zonas.
243. Ēdināšanas uzņēmumos, slimnīcu palātās un ārstniecības kabinetos pieļaujama kanalizācijas novadu izbūve sienā un grīdās tām sanitāri tehniskajām ierīcēm un iekārtai, kuras nepieciešams izvietot attiecīgajās telpās.
244. Sadzīves un ražošanas notekūdeņu kanalizācijas stāvvadus (arī no citiem patērētājiem cauri nākošos), ēdināšanas uzņēmumu ražošanas, noliktavu, preču pieņemšanas, pārdošanas un palīgtelpās var izvietot kārbās un neierīkot revīzijas.
245. Kanalizācijas tīklam nepieciešami šādi pievienojumi, kuru strūklas pārtraukums ir vismaz 20 mm no uztverošās piltuves virsmas:
245.1 tehnoloģiskās iekārtas pārtikas produktu izgatavošanai un pārstrādei;
245.2. iekārtas un sanitāri tehniskās ierīces ēdināšanas uzņēmumos trauku mazgāšanai;
245.3. baseinu un dzeramā ūdens tvertņu pārplūdes un iztukšošanas cauruļvadi.
246. Sanitāri tehnisko ierīču novadošos cauruļvadus ieteicams ierīkot virs grīdas (slimnīcu palātās un ārstniecības kabinetos tos nosedz un nodrošina hidroizolāciju).
247. Cauruļvadus, pa kuriem novada notekūdeņus, kas satur cilvēku veselībai un videi bīstamas vielas, ierīko zem grīdas kanālos, kas izbūvēti līdz grīdas līmenim un pārsegti ar noņemamām plātnēm, vai, ja ir atbilstošs pamatojums, caurstaigājamos tuneļos.
248. Katrai sprādzienbīstamai ražotnei nepieciešama atsevišķa kanalizācija ar patstāvīgām izlaidēm, ventilācijas stāvvadiem un hidroaizvariem atbilstoši drošības tehnikas prasībām un saskaņā ar attiecīgajiem normatīvajiem aktiem. Ražošanas notekūdeņus, kuros ir degtspējīgi un viegli uzliesmojoši šķidrumi, ir aizliegts pievienot sadzīves notekūdeņu un lietusūdens notekām.
249. Iekšējos sadzīves un ražošanas kanalizācijas tīklus, kuri novada notekūdeņus ārējā kanalizācijas tīklā, vēdina caur stāvvadiem, kuru gaisa izplūdes posmi izvietojami šādā augstumā:
249.1. virs lēzena neekspluatējama jumta - 0,3 m;
249.2. virs slīpa jumta - 0,5 m;
249.3. virs ekspluatējama jumta – 3 m;
249.4. virs savācošās vēdināšanas šahtas virsmas - 0,1 m.
250. Kanalizācijas stāvvadu gaisa izplūdes posmus virs jumta izvieto vismaz 4 m (pa horizontāli) attālumā no atveramiem logiem un balkoniem, ja tie atrodas vienā līmenī vai augstākā līmenī attiecībā pret gaisa izplūdes posmu un vismaz 8 m attālumā no pieplūdes vēdināšanas. Vēdināšanas stāvvadu galiem jumtiņi nav nepieciešami.
251. Ir aizliegts savienot kanalizācijas stāvvadu vēdināšanas gaisa izplūdes posmus ar telpu vēdināšanas sistēmām un dūmvadiem.
252. Lai nepieciešamības gadījumā novērotu notekūdeņu kustību no tehnoloģiskas iekārtas uz cauruļvadiem, kuri novada notekūdeņus, ierīko strūklas pārtraukumu vai skatlodziņu.
253. Sadzīves un ražošanas kanalizācijas tīklos nepieciešama revīzija vai noslēgtapa tīrīšanai šādās vietās:
253.1. uz stāvvadiem apakšējā un augšējā stāvā un virs atkāpēm, kā arī stāvvadu posmos, kas izvietoti pagrabos;
253.2. piecstāvu un augstākās dzīvojamās ēkās - vismaz ik pēc trim stāviem;
253.3. novadcauruļvadu posmu sākumā (tecēšanas virzienā), ja pievienojamo ierīču skaits ir trīs un vairāk un zem tām nav ietaišu tīrīšanai;
253.4. tīkla pagriezienos - ja mainās plūsmas virziens un attiecīgo cauruļvada posmu nevar iztīrīt caur citiem posmiem.
254. Kanalizācijas tīkla horizontālajos posmos lielākie atstatumi starp revīzijām vai noslēgtapām tīrīšanai ir noteikti 3.tabulā.
255. Kanalizācijas cauruļvadu minimālajam iebūves dziļumam jābūt tādam, lai aizsargātu caurules no sagrūšanas pastāvīgo vai īslaicīgo slodžu iedarbības rezultātā. Ja cauruļvadi atrodas telpās, tie jāaizsargā no mehāniskajiem bojājumiem vai aizsalšanas.
256. Ražošanas kanalizācijas tīkliem, pa kuriem novada notekūdeņus, kuri neizdala nepatīkamu smaku, kaitīgas gāzes vai tvaikus, skatakas var izbūvēt ražošanas telpās. Skatakas uz iekšējiem ražošanas notekūdeņu kanalizācijas tīkliem ar diametru 100 mm un vairāk ir nepieciešamas:
256.1. cauruļvadu pagriezienos;
256.2. vietās, kur mainās cauruļvadu slīpums un diametrs;
256.3. atzarojuma vietās un garos taisnos posmos saskaņā ar Latvijas būvnormatīvu LBN 223 par kanalizācijas būvēm.
257. Ražošanas notekūdeņu kanalizācijas tīkliem, pa kuriem novada notekūdeņus, kuri izdala nepatīkamu smaku, kaitīgas gāzes vai tvaikus, skataku ierīkošanas iespējas un to konstrukciju nosaka saskaņā ar attiecīgo nozaru būvnormatīviem.
258. Skataku ierīkošana uz sadzīves kanalizācijas tīkliem ēku iekšpusē ir aizliegta.
3.tabula
|
Cauruļvada diametrs |
Atstatumi starp revīzijām un noslēgtapām tīrīšanai atkarībā no notekūdeņu veida |
Tīrīšanas ietaises veids |
||
|
nepiesārņoti ražošanas notekūdeņi un lietusūdens |
sadzīves un ražošanas notekūdeņi |
lielu peldvielu daudzumu saturoši ražošanas notekūdeņi |
||
|
mazāks par 100 mm |
16 m |
12 m |
10 m |
revīzija |
|
mazāks par 100 mm |
10 m |
8 m |
6 m |
noslēgtapa tīrīšanai |
|
100-150 mm |
20 m |
15 m |
12 m |
revīzija |
|
100-150 mm |
15 m |
10 m |
8 m |
noslēgtapa tīrīšanai |
|
200 mm un vairāk |
25 |
20 |
15 |
revīzija |
Piezīmes:
1. Zem griestiem iebūvētajās kanalizācijas tīklu piekārtajās līnijās vēlamas
noslēgtapas tīrīšanai, kas izvadītas uz augstāk novietoto stāvu, izvietojot lūku
grīdā vai atklāti (atkarībā no telpas funkcionālā lietojuma).
2. Revīzijas un noslēgtapas tīrīšanai izvieto vietās, kur tās ir iespējams
ērti apkalpot.
3. Uz apakšzemes kanalizācijas cauruļvadiem revīzijas iebūvē akās, kuru
diametrs ir vismaz 0,7 m. Aku dibena slīpumam jābūt vismaz 5 ‰ revīzijas atloka
virzienā.
259. Sanitāri tehniskās ierīces, kas novietotas zemāk par tuvākās skatakas vāka līmeni, piemēram, pagrabos, pievieno atsevišķai kanalizācijas sistēmai, izolēti no augstāk izvietoto telpu kanalizācijas, izbūvējot atsevišķu izlaidi un ierīkojot uz tās elektrificētu aizbīdni, kuru automātiski vada kanalizācijas caurulē ievietots signāldevējs, vai speciālu vienvirziena vārstu. Aiz aizbīdņa vai vārsta ūdens tecēšanas virzienā pieļaujams pievienot augstāk novietoto stāvu kanalizācijas sistēmas.
260. Kanalizācijas tīkla izlaidēm no pagraba telpām jābūt vismaz 20 ‰ slīpām.
261. Pagraba telpas, kurās atrodas kanalizācijas cauruļvadi, ar bezailu sienām jāatdala no noliktavu telpām, kur tiek glabāti produkti vai vērtīgas mantas. Var ierīkot ar rokām darbināmu aizbīdni, ja apkalpojošais personāls pagraba telpās uzturas nepārtraukti.
262. Izlaides garumam no stāvvada, revīzijas vai noslēgtapas tīrīšanai līdz skatakas asij jābūt ne lielākam par 4.tabulā norādīto.
4.tabula
| Cauruļvada diametrs (mm) | 50 | 100 | 150 un vairāk |
| Izlaides garums no stāvvada, revīzijas vai noslēgtapas tīrīšanai līdz skatakas asij (m) | 8 | 12 | 15 |
Piezīmes:
1. Nepiesārņotiem notekūdeņiem un lietusūdeņiem izlaides garumu var
palielināt līdz 20 m, ja cauruļu diametrs ir 100 mm un vairāk.
2. Sadzīves kanalizācijas izlaidēm, uz kurām nav iespējams izvietot
kontrolaku pirms pieslēgšanas ielu kanalizācijas tīklam vai nodrošināt revīzijas
ierīkošanu virs ielas līmeņa ēkas iekšpusē, jāparedz revīzijas aka, kuras malas
atrodas vismaz 0,5 m augstāk par revīzijas vāku.
263. Izlaides diametrs ir jāaprēķina. Tas nedrīkst būt mazāks par vislielāko no attiecīgajai izlaidei pievienojamo stāvvadu diametriem.
264. Izlaides ārējam tīklam pievieno vismaz 90° leņķī (skatot notekūdeņu tecēšanas virzienā). Uz izlaidēm var ierīkot šādas pārgāzes:
264.1. līdz 0,3 m – atklātās - pa betona ūdens noteku teknē, kas ar plūstošu pagriezienu nonāk ārējās kanalizācijas akā;
264.2. vairāk nekā 0,3 m – segtās - stāvvada vai līdz 45° slīpa cauruļvada veidā, kura šķērsgriezums nav mazāks par pievadcauruļvada šķērsgriezumu. Minētajā gadījumā jānodrošina kanalizācijas izvada tīrīšana no skatakas.
265. Kanalizācijas izlaides ar diametru līdz 150 mm var ierīkot ar brīvu krītošu pārgāzi kontrolakā vai speciālā skatakā pirms pieslēguma ielu kanalizācijas tīklam.
266. Vietās, kur izlaides šķērso pagraba sienas vai ēkas pamatus, veic šī būvnormatīva 99.punktā minētos pasākumus.
267. Stāvvadu pievieno horizontāli novietotiem cauruļvadiem vismaz 45° leņķī.
20. Kanalizācijas tīklu aprēķins
268. Kanalizācijas cauruļvadu aprēķinu veic, nosakot šķidruma kustības vidējo ātrumu v (m/s) un pildījumu H/d ar nosacījumu, ka
, kur (30)
K = 0,5 - plastmasas un stikla cauruļvadiem;
K = 0,6 - citu materiālu cauruļvadiem.
269. Šķidruma kustības vidējam ātrumam jābūt vismaz 0,7 m/s un cauruļvada pildījumam – vismaz 0,3. Ja nosacījumu (30) nevar izpildīt nepietiekoša sadzīves notekūdeņu caurplūduma dēļ, cauruļvadu bezaprēķina posmi, kuros cauruļvadu diametrs ir līdz 50 mm, jāizbūvē ar 30 ‰ slīpumu , bet posmi, kuros cauruļvadu diametrs ir 75-100 mm, - ar 20 ‰ slīpumu. Ja cauruļvada diametrs ir lielāks, jāievēro Latvijas būvnormatīvā LBN 223 par kanalizācijas būvēm noteiktie nosacījumi.
270. Ja cauruļvadu aprēķina metodika dota ražotāja instrukcijās, šo noteikumu 268. un 269.punktā minētie nosacījumi nav saistoši, izņemot nosacījumu par bezaprēķina posmiem.
271. Ražošanas notekūdeņu kanalizācijas sistēmās (arī atklātās teknēs) pašattīrīšanās ātrums un cauruļvadu pildījums nosakāms, ņemot vērā ražošanas notekūdeņu piesārņojumu transportēšanas nepieciešamību.
272. Cauruļvadu slīpums nedrīkst būt lielāks par 150 ‰ (izņemot nozarojumus no sanitāri tehniskajām ierīcēm, kuru garums ir līdz 1,5 m).
273. Kanalizācijas stāvvada diametru nosaka pēc 5.tabulas atkarībā no notekūdeņu aprēķina caurplūduma, novadcaurules vislielākā diametra un tās pievienošanas leņķa stāvvadam.
274. Kanalizācijas stāvvada vēdināšanas posma diametrs nedrīkst būt mazāks par sanitāri tehniskās ierīces novadcaurules lielāko diametru.
275. Kopējam vēdināšanas stāvvadam var pievienot vairākus kanalizācijas stāvvadus. Ja kanalizācijas vēdināšanas cauruļvads apvieno vairākus stāvvadus, tā diametru nosaka, ņemot vērā sistēmai pieslēgto sanitāri tehnisko ierīču skaitu: līdz 120 ierīcēm – 100 mm; līdz 300 ierīcēm – 125 mm; līdz 1200 ierīcēm – 150 mm; vairāk par 1200 ierīcēm – 200 mm.
276. Apvienotajam horizontāli novietotajam vēdināšanas cauruļvadam jābūt ar 10 ‰ slīpumam stāvvadu virzienā.
277. Ja notekūdens caurplūdums ir lielāks nekā norādīts 6.tabulā, kanalizācijas stāvvadam ierīko papildu vēdināšanas stāvvadu, ko ik pēc stāva pievieno kanalizācijas stāvvadam vai ik pēc stāva savieno divus tuvu stāvošus kanalizācijas stāvvadus, kuriem ir vienāds diametrs. Papildu vēdināšanas stāvvada diametram jābūt par vienu izmēru mazākam nekā kanalizācijas stāvvada diametrs.
278. Papildu vēdināšanas stāvvadu pieslēdz kanalizācijas stāvvadam zem pēdējās apakšējās sanitāri tehniskās ierīces vai uz augšu virzītā slīpā trejgabala atzarā, kas iebūvēts kanalizācijas stāvvadā virs attiecīgajā stāvā visaugstāk novietotās sanitāri tehniskās ierīces malas vai revīzijas.
279. Nevēdināmos kanalizācijas stāvvadus drīkst ierīkot, ja ēkā ir vismaz viens vēdināms stāvvads un notekūdeņu caurplūdums attiecīgajos stāvvados nav lielāks par 6.tabulā minētajiem lielumiem. Nevēdināmam kanalizācijas stāvvadam jābeidzas ar noslēgtapu tīrīšanai, kas ierīkota krustgabala vai trejgabala uzmavā virs novada no visaugstāk novietotās sanitāri tehniskās ierīces.
280. Ēkās, kas nav augstākas par pieciem stāviem, nevēdināmā stāvvada galā var ievietot kanalizācijas vakuumvārstu, ja attiecīgajā ēkā ir vismaz viens vēdināms stāvvads. Vakuumvārstam jāatrodas virs visaugstāk novietotās sanitāri tehniskās ierīces malas. Minētajā gadījumā stāvvada caurlaides spēju nosaka pēc 6.tabulas.
281. Ražošanas kanalizācijas cauruļvadiem, kas novada notekūdeņus, kuros ir daudz mehānisko piemaisījumu (piemēram, sārņi, metāla skaidas, kaļķi), slīpumu nosaka pēc hidrauliskā aprēķina, ja caurulēs ir nodrošināts pašattīrīšanās ātrums un pildījums ir ne mazāks par 0,3.
21. Vietējas ietaises notekūdeņu attīrīšanai un pārsūknēšanai
282. Ražošanas notekūdeņus, kurus saskaņā ar notekūdeņu novadīšanas noteikumiem nedrīkst novadīt kanalizācijas tīklā vai ūdenstilpē, kā arī ražošanas notekūdeņus, kuros ir vērtīgi ražošanas atkritumi, attīra vietējās attīrīšanas ietaisēs, ko izvieto attiecīgajā ēkā vai blakus tai.
283. Ja nepieciešams, izlietotos ķīmiskos reaģentus pirms izvadīšanas no laboratorijas neitralizē ar laboratorijas līdzekļiem, turklāt notekūdeņu pH jābūt no 6,5 līdz 8,5.
284. Infekciju slimnīcu un nodaļu notekūdeņus, kā arī to mikrobioloģisko laboratoriju notekūdeņus, kurās strādā ar 2-4 bīstamības klases kultūrām, pirms ievadīšanas sadzīves kanalizācijas tīklā dezinficē.
285. Degtspējīgo vielu uztvērējos uz pievadošajiem cauruļvadiem nepieciešami hidrauliskie blīvslēgi un izplūdes vēdināšana.
286. Naftas produktu uztvērējos ievadāmos notekūdeņus iepriekš attīra dūņu vai smilšu uztvērējos.
287. Ja notekūdeņos ir peldvielas vai citi piemaisījumi, ierīko nekustināmas restes - kopīgas visai kanalizācijas sistēmai vai tikai atsevišķiem notekūdeņiem, ja piemaisījumu pārsūknēšanai nav paredzēti sūkņi. Restes ierīko speciālās pieņemšanas tvertnes kamerās, akās vai tieši kanālos. Restu slīpuma leņķim pret horizontālo plakni notekūdeņu tecēšanas virzienā jābūt ne mazākam par 60°.
288. Neitralizatorus, smilšu uztvērējus, nostādinātājus, naftas produktu uztvērējus, restes un citas attīrīšanas ietaises, kā arī sadzīves un ražošanas kanalizācijas sūkņu stacijas projektē saskaņā ar Latvijas būvnormatīvu LBN 223 par kanalizācijas būvēm.
289. Sūkņu iekārtas pieņemšanas tvertnes tilpumu nosaka atbilstoši notekūdeņu pieteces stundu grafikam un sūkņu darba režīmam, turklāt, nosakot pieņemšanas tvertnes tilpumu sūkņu iekārtai, kas darbojas automātiski, jāievēro nosacījums, ka sūkņiem jāieslēdzas ne biežāk, kā norādīts ražotāja tehniskajos noteikumos, bet, ja pieteces stundu grafika nav, - tvertnes tilpumu nosaka atbilstoši 5-10 % no maksimālās notekūdeņu pieteces stundā.
290. Pieņemšanas tvertnēs ierīko līmeņu rādītājus, pieplūdes - izplūdes vēdināšanu, un, ja nepieciešams, ietaises izgulsnējušos nosēdumu uzmaisīšanai.
291. Pieņemšanas tvertnes un sūkņus, kas pārsūknē ražošanas notekūdeņus, kuri neizdala nepatīkamas smakas, indīgas gāzes un tvaikus, kā arī pneimatiskās sūkņu iekārtas ir atļauts izvietot publisko un ražošanas ēku iekšpusē.
292. Pieņemšanas tvertnes un sūkņus, kas pārsūknē sadzīves un ražošanas notekūdeņus, kuros ir toksiski vai ātri pūstoši piesārņojumi vai kuri izdala nepatīkamas smakas, indīgas gāzes un tvaikus, izvieto atsevišķā ēkā vai pagrabā, bet, ja pagraba nav, - atsevišķā apkurināmā pirmā stāva telpā vai izolētā telpā, kurā ir atsevišķa izeja uz āru, kāpņu telpu vai gaiteni. Sūkņu stacijas telpā iekārto pieplūdes - izplūdes vēdināšanu.
5.tabula
| Stāvvada nozarojumi | Vēdināmā kanalizācijas stāvvada maksimālā caurlaides spēja (l/s) | |||||||||
| Stāvvada iekšējais diametrs (mm) | ||||||||||
| Diametrs (mm) | Pievienojuma leņķis stāvvadam (grādos) | 50 | 55 | 70 | 75 | 85 | 100 | 105 | 125 | 150 |
| 45 | 90 | 0,7 | 0,9 | 1,6 | 1,9 | 2,6 | 3,8 | 4,3 | 6,6 | 10,3 |
| 60 | 1,0 | 1,3 | 2,4 | 2,9 | 3,9 | 5,8 | 6,5 | 9,9 | 15,4 | |
| 45 | 1,2 | 1,5 | 2,8 | 3,3 | 4,4 | 6,6 | 7,4 | 11,3 | 17,6 | |
| 50 | 90 | 0,7 | 0,9 | 1,5 | 1,8 | 2,5 | 3,7 | 4,1 | 6,3 | 9,8 |
| 60 | 1,0 | 1,3 | 2,3 | 2,7 | 3,7 | 5,5 | 6,2 | 9,5 | 14,8 | |
| 45 | 1,2 | 1,5 | 2,6 | 3,1 | 4,2 | 6,3 | 7,1 | 10,8 | 16,8 | |
| 70 | 90 | - | - | 1,3 | 1,6 | 2,2 | 3,2 | 3,6 | 5,5 | 8,5 |
| 60 | - | - | 2,0 | 2,4 | 3,2 | 4,8 | 5,4 | 8,2 | 12,8 | |
| 45 | - | - | 2,3 | 2,7 | 3,7 | 5,4 | 6,1 | 9,4 | 14,6 | |
| 75 | 90 | - | - | - | 1,5 | 2,1 | 3,1 | 3,5 | 5,3 | 8,3 |
| 60 | - | - | - | 2,3 | 3,1 | 4,6 | 5,2 | 8,0 | 12,4 | |
| 45 | - | - | - | 2,6 | 3,5 | 5,3 | 6,0 | 9,1 | 14,1 | |
| 85 | 90 | - | - | - | - | 2,0 | 2,9 | 3,3 | 5,0 | 7,9 |
| 60 | - | - | - | - | 3,0 | 4,4 | 5,0 | 7,6 | 11,8 | |
| 45 | - | - | - | - | 3,4 | 5,0 | 5,6 | 8,6 | 13,4 | |
| 100 | 90 | - | - | - | - | - | 2,7 | 3,1 | 4,7 | 7,3 |
| 60 | - | - | - | - | - | 4,1 | 4,6 | 7,1 | 11,0 | |
| 45 | - | - | - | - | - | 4,7 | 5,3 | 8,0 | 12,5 | |
| 105 | 90 | - | - | - | - | - | - | 3,0 | 4,6 | 7,2 |
| 60 | - | - | - | - | - | - | 4,5 | 6,9 | 10,8 | |
| 45 | - | - | - | - | - | - | 5,2 | 7,9 | 12,3 | |
| 125 | 90 | - | - | - | - | - | - | - | 4,3 | 6,7 |
| 60 | - | - | - | - | - | - | - | 6,4 | 10,0 | |
| 45 | - | - | - | - | - | - | - | 7,3 | 11,4 | |
| 150 | 90 | - | - | - | - | - | - | - | - | 6,2 |
| 60 | - | - | - | - | - | - | - | - | 9,3 | |
| 45 | - | - | - | - | - | - | - | - | 10,5 | |
Piezīmes:
1. Tabulā dota stāvvada caurlaides spēja, ja stāvvadam ir 50 mm augsti
hidrauliskie noslēgi. Ja stāvvadam ir 60 mm augsti hidrauliskie noslēgi,
caurplūdes spēja jāpalielina par 20 %, ja stāvvadam ir 70 mm augsti hidrauliskie
noslēgi, - par 40 %.
2. Caurlaides spēja aprēķināta stāvvadiem, kuru augstums ir lielāks par 90 tā
diametriem. Ja stāvvada augstums ir mazāks par 90 tā diametriem, caurlaides
spēja jāpalielina
reizes.
293. Nelielas kompaktās rūpnieciski izgatavotās aiz klozetpoda novietojamās sūkņu iekārtas ar hermētisko pieņemšanas tvertni sadzīves notekūdeņiem var izvietot patērēšanas vietā, ja tiek nodrošināta iekārtas vēdināšana. Minētajām iekārtām var pieslēgt līdz četrām sanitāri tehniskajām ierīcēm, arī vienu klozetpodu.
6.tabula
| Stāvvada darba augstums (m) | Nevēdināmā kanalizācijas stāvvada maksimālā caurlaides spēja (l/s) | ||||||||
| Stāvvada iekšējais diametrs (mm) | |||||||||
| 50 | 55 | 70 | 75 | 85 | 100 | 105 | 125 | 150 | |
| 1 | 1,8 | 2,4 | 3,9 | 4,4 | 5,8 | 7,8 | 8,7 | 12,2 | 17,3 |
| 2 | 1,1 | 1,3 | 2,3 | 2,6 | 3,4 | 4,7 | 5,8 | 7,2 | 10,2 |
| 3 | 0,7 | 1,0 | 1,5 | 1,8 | 2,3 | 3,1 | 3,4 | 4,8 | 6,8 |
| 4 | 0,6 | 0,7 | 1,1 | 1,3 | 1,7 | 2,3 | 2,5 | 3,5 | 4,9 |
| 5 | 0,5 | 0,6 | 0,8 | 1,0 | 1,3 | 1,7 | 1,9 | 2,7 | 3,8 |
| 6 | 0,5 | 0,6 | 0,7 | 0,8 | 1,0 | 1,4 | 1,5 | 2,1 | 3,0 |
| 7 | 0,5 | 0,6 | 0,6 | 0,6 | 0,8 | 1,1 | 1,3 | 1,7 | 2,5 |
| 8 | 0,5 | 0,6 | 0,6 | 0,6 | 0,7 | 0,9 | 1,1 | 1,4 | 2,1 |
| 9 | 0,5 | 0,6 | 0,6 | 0,6 | 0,7 | 0,8 | 0,9 | 1,2 | 1,8 |
| 10 | 0,5 | 0,6 | 0,6 | 0,6 | 0,7 | 0,8 | 0,8 | 1,1 | 1,4 |
| 11 | 0,5 | 0,6 | 0,6 | 0,6 | 0,7 | 0,8 | 0,8 | 0,9 | 1,3 |
| 12 | 0,5 | 0,6 | 0,6 | 0,6 | 0,7 | 0,8 | 0,8 | 0,9 | 1,1 |
| 13 un vairāk | 0,5 | 0,6 | 0,6 | 0,6 | 0,7 | 0,8 | 0,8 | 0,9 | 0,9 |
Piezīme:
Tabulā dota stāvvada caurlaides spēja, ja stāvvadam ir 50 mm augsti
hidrauliskie noslēgi. Ja stāvvadam ir 60 mm augsti hidrauliskie noslēgi,
caurplūdes spēja jāpalielina par 20 %, ja stāvvadiem ir 70 mm augsti
hidrauliskie noslēgi, - par 40 %.
294. Sūkņu staciju trokšņa līmenim jāatbilst šī būvnormatīva 155.punktā noteiktajām prasībām.
295. Rūpnieciski izgatavotām kompaktām sūkņu iekārtām vai nelielām sūkņu stacijām, kuru darbā pieļaujami pārtraukumi, rezerves sūkņi nav nepieciešami.
296. Sūkņu agregātus projektē ar automātisko, distances un rokas vadību.
297. Katra sūkņa sūkšanas cauruļvadam un spiediena cauruļvadam nepieciešama noslēgarmatūra, bet spiedienavadam - arī vienvirziena vārsts. Transportējot notekūdeņus, kuros ir smiltis, dūņas vai citas peldošas daļiņas, vienvirziena vārsts nav nepieciešams.
22. Lietusūdens notekas
298. Ēku lietusūdens notekām jānodrošina lietus un sniega kušanas ūdeņu novadīšana no jumta. Ja lietusūdens notekas izbūvē neapsildāmās telpās, cauruļvados jānodrošina pozitīva temperatūra arī tad, ja ārējā gaisa temperatūra ir negatīva.
299. Lietusūdens notekas pieslēdz ārējam lietusūdens kanalizācijas tīklam. Lietusūdens notekas pieļaujams pieslēgt filtrācijas akām, ja ūdens iesūcināšanu pieļauj grunts mehāniskās īpašības. Pirms filtrācijas akām paredz smilšu uztvērēju.
300. Ja ir attiecīgais pamatojums, lietusūdeni var novadīt nepiesārņotu vai atkārtoti izlietojamu ražošanas notekūdeņu kanalizācijas sistēmā.
301. Ir aizliegts novadīt lietusūdeni sadzīves kanalizācijā, kā arī pievienot sanitāri tehniskās ierīces iekšējai lietusūdens noteku sistēmai.
302. Ja nav ierīkota lietusūdens ārējā kanalizācija, lietusūdeni izlaiž atklātās teknēs (atklāta izlaide), kas atrodas līdzās ēkai, turklāt jāveic pasākumi, kas novērš zemes virskārtas izskalošanu. Ja ierīko atklātu izlaidi uz stāvvadu ēkas iekšpusē, nepieciešams hidrauliskais noslēgs, no kura ziemā atkušņu ūdeni novada sadzīves kanalizācijā.
303. Lietusūdens uztveršanas piltuves uz jumta jāizvieto, ņemot vērā jumta reljefu, pieļaujamo ūdens sateces laukumu vienai lietusūdens uztveršanas piltuvei un ēkas konstrukciju. Maksimālais atstatums starp lietusūdens uztveršanas piltuvēm jebkura veida jumtiem nedrīkst būt lielāks par 48 m.
304. Pievienot vienam stāvvadam dažādos līmeņos novietotās lietusūdens uztveršanas piltuves var gadījumos, ja kopējais aprēķina caurplūdums vienam stāvvadam nav lielāks par 7.tabulā noteiktajiem lielumiem.
7.tabula
| Lietusūdens stāvvada iekšējais diametrs (mm) | 85 | 100 | 150 | 200 |
| Lietusūdens stāvvada pieļaujamais aprēķina caurplūdums (l/s) | 6,5 | 11 | 18 | 32 |
305. Minimālais slīpums piekārtajiem cauruļvadiem ir 5 ‰ un zem grīdas guldītiem cauruļvadiem - atbilstoši šī būvnormatīva 19. nodaļā noteiktajām prasībām.
306. Iekšējo lietusūdens noteces cauruļvadu tīrīšanai nepieciešamas revīzijas, noslēgtapas tīrīšanai un skatakas saskaņā ar šī būvnormatīva 19. nodaļā noteiktajām prasībām. Revīzijas uz stāvvadiem ierīko apakšējā stāvā un virs atkāpēm, ja tādas ir.
307. Lietusūdens uztveršanas piltuves pievieno stāvvadiem ar elastīgi aizblīvētām kompensācijas uzmavām.
308. Lietusūdens aprēķina caurplūdumi (l/s) no ūdens sateces laukuma doti 8.tabulā vai tos nosaka pēc šādām formulām:
308.1. jumtiem, kuru slīpums ir 15 ‰ un mazāks:
(31)
308.2. jumtiem, kuru slīpums ir vairāk nekā 15 ‰:
(32)
n - parametrs, kas dots 8.tabulā.
309. Aprēķina caurplūdums vienam lietusūdens noteces stāvvadam nedrīkst būt lielāks par 7.tabulā norādītajiem lielumiem, bet lietusūdens uztveršanas piltuvei aprēķina caurplūdums nosakāms pēc attiecīgā tipa piltuves pases datiem.
310. Aprēķinot ūdens sateces laukumu, papildus jāpieskaita 30 % no to vertikālo sienu laukuma, kuras savienojas ar jumtu un paceļas pār to.
8.tabula
|
Apdzīvotās vietas nosaukums |
n |
q20 l/s, ha |
q5=4nq20 l/s, ha |
qst,w , l/s no100 m2 |
|
|
q20 |
q5 |
||||
| Baltijas jūras piekraste: | |||||
| Kolka | 0,57 | 48,7 | 107 | 0,47 | 1,07 |
| Ventspils | 0,57 | 50,8 | 112 | 0,51 | 1,12 |
| Užava | 0,57 | 54,8 | 121 | 0,55 | 1,21 |
| Cīrava | 0,57 | 54,8 | 121 | 0,55 | 1,21 |
| Liepāja | 0,57 | 48,7 | 107 | 0,47 | 1,07 |
| Saldus un Stendes apkārtne: | |||||
| Stende | 0,68 | 78,4 | 201 | 0,78 | 2,01 |
| Kuldīga | 0,68 | 67,2 | 172 | 0,67 | 1,72 |
| Kabile | 0,68 | 72,8 | 187 | 0,73 | 1,87 |
| Pilskalne | 0,68 | 72,8 | 187 | 0,73 | 1,87 |
| Saldus | 0,68 | 64,4 | 165 | 0,64 | 1,65 |
| Rīga un Rīgas apkārtne: | |||||
| Rīga | 0,72 | 79,5 | 216 | 0,80 | 2,16 |
| Ogre | 0,72 | 79,5 | 216 | 0,80 | 2,16 |
| Jelgava | 0,72 | 73,8 | 200 | 0,74 | 2,00 |
| Centrālais rajons: | |||||
| Priekuļi | 0,66 | 75,9 | 189 | 0,76 | 1,89 |
| Ieriķi | 0,66 | 73,2 | 183 | 0,73 | 1,83 |
| Dzērbene | 0,66 | 78,6 | 196 | 0,79 | 1,96 |
| Ranka | 0,66 | 73,2 | 183 | 0,73 | 1,83 |
| Stāmeriena | 0,66 | 84,0 | 210 | 0,84 | 2,10 |
| Lejasciems | 0,66 | 81,3 | 203 | 0,84 | 2,03 |
| Gulbene | 0,66 | 73,2 | 183 | 0,73 | 1,83 |
| Kosa | 0,66 | 84,0 | 210 | 0,84 | 2,10 |
| Mālpils | 0,66 | 73,2 | 183 | 0,73 | 1,83 |
| Gureļi | 0,66 | 78,6 | 196 | 0,79 | 1,96 |
| Rēzeknes un Daugavpils | |||||
| apkārtne: | |||||
| Rēzekne | 0,62 | 59,1 | 140 | 0,59 | 1,40 |
| Subate | 0,62 | 52,6 | 124 | 0,53 | 1,24 |
| Daugavpils | 0,62 | 67,9 | 160 | 0,68 | 1,60 |
| Dagda | 0,62 | 63,5 | 150 | 0,64 | 1,50 |
311. Lietusūdens cauruļvadiem jāiztur hidrostatiskais spiediens aizsērējumu, pārpildījuma un ūdens iesalšanas gadījumos.
312. Iekšējām lietusūdens notekām lieto plastmasas vai ķeta caurules, ievērojot šī būvnormatīva 238.-240.punktā minētos nosacījumus. Horizontālajām piekārtajām līnijām, ja ir vibrācijas slodzes, var lietot tērauda caurules.
313. Sanitāri tehnisko ierīču novadcaurules septiņpadsmitstāvu un augstākās ēkās pieslēdz vismaz 1,5–2 m augstāk par horizontālo posmu vai horizontāli novietotā cauruļvadā vismaz 2 m attālumā aiz pagrieziena vietas.
Ekonomikas ministra vietā –
veselības ministrs Guntis Belēvičs
Ekonomikas ministrijas iesniegtajā redakcijā
1.pielikums
Latvijas būvnormatīvam LBN 221-15
"Ēku iekšējais ūdensvads un kanalizācija"
(apstiprināts ar Ministru kabineta
2015.gada 30.jūnija
noteikumiem Nr.332)
Būvnormatīvā lietotie apzīmējumi
| 1. |
|
Sanitāri tehniskās ierīces (armatūras) normatīvais ūdens patēriņš sekundē (kopējais (aukstais un karstais), karstais, aukstais), l/s (3. un 4.pielikums) |
| 2. |
|
Sanitāri tehniskās ierīces normatīvais notekūdeņu caurplūdums, l/s (3.pielikums) |
| 3. |
|
Sanitāri tehniskās ierīces (armatūras) normatīvais ūdens patēriņš stundā (kopējais (aukstais un karstais), karstais, aukstais), l/s (3. un 4.pielikums) |
| 4. |
|
Ūdens maksimālais aprēķina patēriņš sekundē (maksimālais sekundes caurplūdums) (kopējais (aukstais un karstais), karstais, aukstais), l/s |
| 5. |
|
Notekūdeņu maksimālais aprēķina patēriņš sekundē (maksimālais sekundes patēriņš), l/s |
| 6. |
|
Ūdens maksimālais aprēķina patēriņš stundā (kopējais (aukstais un karstais), karstais un aukstais), m3/h |
| 7. |
|
Ūdens vidējais aprēķina patēriņš stundā (kopējais (aukstais un karstais), karstais un aukstais), m3/h |
| 8. |
|
Karstā ūdens cirkulācijas aprēķina caurplūdums, l/s |
| 9. |
|
Karstā ūdens aprēķina caurplūdums, ņemot vērā nepieciešamo papildu cirkulāciju, l/s |
| 10. |
|
Lietusūdens aprēķina caurplūdums, l/s |
| 11. |
|
Normatīvais ūdens patēriņš maksimālā patēriņa stundā (kopējais (aukstais un karstais), karstais un aukstais), l/h (4.pielikums) |
| 12. |
|
Normatīvais ūdens patēriņš maksimālā patēriņa diennaktī (kopējais (aukstais un karstais), karstais un aukstais), l/dn (4.pielikums) |
| 13. |
|
Normatīvais ūdens patēriņš vidējā patēriņa diennaktī (kopējais (aukstais un karstais), karstais un aukstais), l/dn (4.pielikums) |
| 14. |
|
Sanitāri tehnisko ierīču izmantošanas varbūtība (kopējais (aukstais un karstais), karstais un aukstais),s/h |
| 15. |
|
Sanitāri tehniskās ierīces izmantošanas varbūtība stundā (kopējam (aukstajam un karstajam), karstajam un aukstajam ūdenim), bezdimensijas |
| 16. |
|
Koeficients, kas nosaka sanitāri tehniskas ierīces darbības laiku stundā, s/h (4.pielikums) |
| 17. |
U |
Patērētāju skaits |
| 18. |
N |
Uzstādīto sanitāri tehnisko ierīču skaits |
| 19. |
i (indekss) |
Patērētāja tipa vai sanitāri tehniskās ierīces kārtas numurs |
| 20. |
i |
Plūsmas berzes spiediena zudumi vienu metru gara cauruļvadu posmā, bezdimensijas |
| 21. |
|
Karstā ūdens sagatavošanai nepieciešamais siltuma plūsmas daudzums (kW) karstajam ūdenim maksimālā un vidējā patēriņa stundā |
| 22. |
|
Siltuma plūsmas zudumi aprēķina posmā, kW |
| 23. |
|
Karstā ūdens ūdensapgādes sistēmas cirkulācijas koeficients (8.pielikums) |
| 24. |
β |
Karstā ūdens ūdensapgādes sistēmas cirkulācijas regulēšanas koeficients, bezdimensijas |
| 25. |
|
Temperatūras zudumi karstā ūdens ūdensapgādes sistēmā, °C |
| 26. |
|
Aukstā ūdens temperatūra, °C. Ja nav
izpildes datu, to pieņem: Ziemas periodā +5°C Vasaras periodā +15°C |
| 27. |
T |
Ūdens lietošanas ilgums stundās (diennaktī vai maiņā) |
| 28. |
v |
Vidējais ūdens tecēšanas ātrums caurulēs, m/s |
| 29. |
|
Pašteces cauruļvada pildījums, bezdimensijas |
| 30. |
l |
Cauruļvada aprēķina posma garums, m |
| 31. |
|
Vietējās pretestības koeficients, bezdimensijas |
| 32. |
V |
Tvertnes darba tilpums, m3 |
| 33. |
W |
Tvertnes regulējošais tilpums, m3 |
| 34. |
Wl |
Ugunsdzēsības rezerve, m3 |
| 35. |
|
Relatīvais regulējošais tilpuma koeficients, bezdimensijas |
| 36. |
|
Diennakts (maiņas) maksimālā ūdens patēriņa stundas nevienmērības koeficients (kopējam (aukstajam un karstajam), karstajam un aukstajam ūdenim), bezdimensijas |
| 37. |
|
Sūkņa ražības stundas nevienmērības koeficients maksimālā patēriņa diennaktī (maiņā), bezdimensijas |
| 38. |
|
Karstā ūdensapgādes siltuma plūsmas stundas diennaktī (maiņā), bezdimensijas |
| 39. |
|
Ūdenssildītāja aprēķina siltuma plūsmas daudzums, kW |
| 40. |
A |
Maksimālā un minimāla spiediena attiecība regulējošā tilpuma aprēķinā, bezdimensijas |
| 41. |
B |
Regulējošā tilpuma rezerves koeficients, bezdimensijas |
| 42. |
F |
Lietusūdens sateces laukums, m2 |
| 43. |
|
Sūkņa iekārtas ražība, m3/h |
| 44. |
ns |
Sūkņa ieslēgšanas reizes stundā |
| 45. |
Hp |
Sūkņa iekārtas darbības spiediens, m |
| 46. |
Hgeom |
Ģeometriskais ūdens pacelšanas augstums, m |
| 47. |
H |
Kopējie spiedienaudstuma zudumi aprēķina posmā (berzes un vietējie), m |
| 48. |
Hf |
Normatīvais brīvais spiedienaugstums pie sanitāri tehniskās ierīces, m |
| 49. |
Hg |
Ārējā ūdensvada tīkla minimālais garantētais spiedienaugstums, m |
| 50. |
Hep |
Brīvais spiedienaugstums, m |
| 51. |
dg |
Regulējošās diafragmas diametrs, mm |
| 52. |
D |
Caurules iekšējais diametrs, mm |
| 53. |
DN |
Nosacītais diametrs, mm |
| 54. |
h |
Ūdens slāņa augstums pašteces cauruļvados, mm |
| 55. |
q5 |
Piecas minūtes ilga lietus notece, ja atkārtošanās periods P ir viens gads |
| 56. |
q20 |
Divdesmit minūšu ilga lietus notece, ja atkārtošanās periods P ir viens gads |
| 57. |
n |
Parametrs, kas atkarīgs no lietusūdens kanalizēšanas rajona ģeogrāfiskā novietojuma, bezdimensijas |
| 58. |
z |
Stāvvadu skaits sekciju mezglā |
| 59. |
|
Koeficients, kas nosaka vienlaikus darbojošos sanitāri tehnisko ierīču skaitu sistēmā, bezdimensijas (5.pielikums) |
| 60. |
|
Izgatavoto porciju skaits ēdināšanas uzņēmumos stundā, diennaktī |
| 61. |
|
Nosacīto porciju skaits ēdināšanas uzņēmumos vienam apmeklētājam |
| 62. |
|
Normatīvais porciju skaits ēdināšanas uzņēmumos diennaktī (maiņā) |
| 63. |
|
Apmeklētāju nomaiņas biežums ēdināšanas uzņēmumos stundā |
| 64. |
m |
Vietu skaits ēdināšanas uzņēmumos ēdienzālēs |
| 65. |
Us |
Strādājošo skaits ēdināšanas uzņēmumos |
| 66. |
|
Ēdienu realizācijas koeficients ēdināšanas uzņēmumos stundā, bezdimensijas |
| 67. |
|
Ēdienu realizācijas koeficients ēdināšanas uzņēmumos diennaktī (maiņā), bezdimensijas |
| 68. |
%o |
Tūkstošā daļa (1/1000) |
Ekonomikas ministra vietā –
veselības ministrs Guntis Belēvičs
Ekonomikas ministrijas iesniegtajā redakcijā
2.pielikums
Latvijas būvnormatīvam LBN 221-15
"Ēku iekšējais ūdensvads un kanalizācija"
(apstiprināts ar Ministru kabineta
2015.gada 30.jūnija
noteikumiem Nr.332)
Būvnormatīvā lietotie termini
|
Nr. |
Termins |
Termina skaidrojums |
||
|
latviešu valodā |
krievu valodā |
angļu valodā |
||
|
1 |
2 |
3 |
4 |
5 |
| 1. | Aizbīdnis (aizlaidnis) | Задвижка | Gate valve | Noslēgarmatūra tīklos, kas pieļauj ūdens kustību abos virzienos |
| 2. | Aizvars | Заcлонка | Slide gate | Noslēgplate, kas pārvietojas vertikālā virzienā |
| 3. | Aka: | Колодец | Well | Inženierbūve tīklu apkalpei |
| kontrol~ | Контрольный~ | control~ | ||
| skat~ | Смотровой~ | manhole | ||
| sūkņu~ | Насосный~ | pump well | Aka ar iegremdējamo sūkni | |
| 4. | Atkāpe | Отступ | Double bend fitting | Veidgabals, kas maina stāvvada vertikālo novietojumu |
| 5. | Atloks | Фланец | Flange | Detaļa cauruļu savienošanai ar bultskrūvēm |
| 6. | Atzarojums (atzars) | Отросток | Branch | Cauruļvadu nozarojums no maģistrālā vai sadalošā tīkla |
| 7. | Bidē | Биде | Bidet | Higiēniskā sanitāri tehniskā ierīce |
| 8. | Blīvslēgs |
Сальник |
Gland | Hermetizācijas aprīkojums |
| 9. | Caurplūdums | Расход | Flow rate | Ūdens daudzums, kas iztecējis caur noteiktu šķērsgriezuma laukumu laika vienībā |
| 10. | Caurule: | Труба | Pipe | Izstrādājums inženiertīklu izbūvei |
| betona ~ | бетонная~ | concrete~ | ||
| cinkotā tērauda~ | оцинкованная стальная~ | galvanized~ steel~ |
||
| keramikas ~ | керамическая~ | stoneware~ | ||
| ķeta~ | чугунна˙~ | cast-iron~ | ||
| ķīmiski izturīgā tērauda ~ | кислотостойкая стальна˙~ | acid-resistant~ steel~ |
||
| nerūsējošā tērauda ~ | нержавеющая стальная~ | stainless steel~ | ||
| plastmasas~ | пластмассовая~ | plastic~ | ||
| tērauda~ | стальна˙~ | steel~ | ||
| vara~ | медная~ | copper~ | ||
| 11. | Cauruļvads: | Трубопровод | Pipeline | Inženierbūve ūdens transportēšanai |
| cirkulācijas~ | циркуляционный~ | circulation~ | ||
| maģistrālais~ | магистральный~ | main~ | ||
| padeves~ | подающий~ | supply~ | ||
| pārplūdes~ | переливной~ | overflow~ | ||
| sadalošais~ | распределительный~ | distributing~ | ||
| vēdināšanas~ | вентиляционный~ | vent~ | ||
| 12. | Cauruļvadu armatūra | Трубопроводная арматура | Water fittings | Ierīces ūdens plūsmas noslēgšanai vai regulēšanai |
| 13. | Drenčers | Дренчер | Drencher | Smidzinātājs ugunsdzēsības sistēmās ar vaļēju atveri |
| 14. | Duša | Душ | Shower | Mazgāšanas ierīce, kas rada sīkos pilienos izkliedētu strūklu |
| 15. | Dušas vācele | Душевой поддон | Shower tray | Ierīce dušas ūdeņu uztveršanai |
| 16. | Dvieļu žāvētājs | Полотенцесушитель | Towel dryer | |
| 17. | Dzeramā ūdens strūklaka | Питьевой фонтанчик | Drinking fountain | |
| 18. | Hidrauliskais noslēgs | Гидравлический затвор | Trap | Ierīce telpu aizsardzībai no notekūdeņu gāzēm un smakām |
| 19. | Iekšējās lietusūdens notekas | Внутренние водостоки | Internal downpipe | Lietusūdens novadīšanas sistēma no ēku jumtiem |
| 20. | Ievads | Ввод | Service pipe | Ūdens padeve ēkā no ārējiem tīkliem |
| 21. | Īscaurule | Патрубок | Union | |
| 22. | Izlaide | Выпуск | Building sewer | Notekūdeņu novads no ēkas līdz kontrolakai |
| 23. | Jaucējkrāns | Смеситель | Mixer | Ūdens izdales armatūra aukstā un karstā ūdens sajaukšanai |
| 24. | Kamera | Камера | Chamber | Inženierbūve ūdens plūsmas regulēšanas iekārtu novietošanai |
| 25. | Kanalizācija | Канализация | Sewerage | Inženierbūvju un iekārtu kopums, kas nodrošina notekūdeņu uztveršanu, novadīšanu, transportēšanu un attīrīšanu |
| 26. | Kanalizācijas tīkls: | Канализационная сеть | Sewer | Inženierbūve notekūdeņu transportēšanai |
| apdzīvoto vietu~ | населённых мест~ | sanitary~ | ||
| ārējais~ | наружная~ | outdoor~ | ||
| dalītais~ | раздельна~ | separate~ | Tīkls, pa kuru transportē viena veida notekūdeņus | |
| iekšējais~ | внутрення~ | house~ | ||
| kopējais~ | общая~ | intercepting~ | Tīkls, pa kuru transportē dažādu veidu notekūdeņus | |
| kvartāla~ | квартальная~ | submain~ | ||
| lietus~ | дождевая~ | storm~ | ||
| pagalma~ | дворовая~ | yard drainage | ||
| pašteces~ | самотечная~ | gravity~ | ||
| pilnsistēmas~ | общеплавная~ | combination~ | ||
| ražošanas~ | производственная~ | trade~ | ||
| sadzīves~ | бытовая~ | foul~ | ||
| spiediena~ | напорная~ | pressure~ | ||
| 27. | Klozetpods | Унитаз | Water-closet | Sanitāri tehniskā ierīce fekāliju uztveršanai |
| 28. | Krāns: | Кран | Tap | |
| konus~ | конусный~ | plug~ | ||
| laistīšanas~ | поливочный~ | outside~ | ||
| lodveida~ | шаровой~ | globe~ | ||
| skalošanas~ | смывной~ | closet valve~ | ||
| ūdens izdales~ | водоразборный~ | draw-off~ | ||
| 29. | Krustgabals | Крестовина | Double branch pipe | Veidgabals nozarojumu ierīkošanai četros virzienos |
| 30. | Lietus intensitāte | Интенсивность дождя | Rate of rainwater | Lietusūdens daudzums uz laukuma vienību noteiktā laikā ar noteiktu atkārtošanās periodu |
| 31. | Lietusūdeņu uztveršanas piltuve | Водосточная воронка | Rainwater head | Veidgabals lietusūdeņu savākšanai no jumtiem |
| 32. | Manometrs | Манометр | Manometer | Mērierīce spiediena noteikšanai |
| 33. | Mazgātne: | Раковина | Sink | Mazgāšanas ierīce izmantoto ūdeņu uztveršanai un novadīšanai |
| roku~ | умывальник | hand washing | ||
| trauku~ | мойка | pot sink | ||
| 34. | Noslēgs | Заглушка | Cap | |
| 35. | Noslēgtapa tīrīšanai | Прочистка | Access cap | |
| 36. | Notekūdens | Сточная вода | Waste water | |
| 37. | Notekūdeņu krājtvertnes | Выгребная яма | Sewage tank | Tvertne notekūdeņu uzkrāšanai |
| 38. | Novads | Отводящий трубопровод | Discharge pipe | Cauruļvads notekūdeņu novadīšanai no sanitāri tehniskajām ierīcēm un iekārtām |
| 39. | Patēriņš | Расход | Consumption | Izlietotais ūdens daudzums laika vienībā |
| 40. | Pāreja | Переход | Reducer | Veidgabals cauruļvada diametra izmaiņai |
| 41. | Pievads | Подводка | Branch pipe | Cauruļvads ūdens pievadīšanai iekārtām un sanitāri tehniskajām ierīcēm |
| 42. | Pretugunsgrēka aploce | Противопожарная муфта | Fire protection seal | Detaļa aizsardzībai pret uguns izplatīšanos cauruļvados, kuru ievieto ap cauruļvadu ēku sienās un pārsegumos |
| 43. | Revīzija | Ревизия | Access pipe | Veidgabals, kas dod iespēju atvērt kanalizācijas tīklu tā tīrīšanai |
| 44. | Sanitāri tehniskā ierīce | Санитарно технический прибор | Soil appliance | Ierīce sadzīves vajadzībām izmantotā ūdens uztveršanai |
| 45. | Sausā tualete | Люфт-клозет | Cesspool | Ierīce fekāliju uztveršanai bez noskalošanas ar ūdeni |
| 46. | Savienojums: | Соединение (стык) | Joint | Cauruļvadu sastiprinā juma veids |
| aptveres~ | хомутовое~ | clipped~ | ||
| atloku~ | фланцевое~ | flanged~ | ||
| blīvgredzenu~ | ~уплотняющей шайбой | compression | Noblīvēšana ar deformējošu metāla vai cita materiāla gredzenu | |
| iemavu~ | втулочное~ | bushed~ | Veidgabals spiediena cauruļu savienošanai ar iebīdīšanu tajā, turklāt savienojums ir izjaucams tikai, izmantojot speciālu ierīci | |
| līmējuma~ | клеевое~ | glued~ | ||
| lodē juma~ | паянное~ | soldered~ | ||
| metināšanas~ | сварное~ | welded~ | ||
| uzmavu~ | раструбное~ | ring seal~ | ||
| vītņu~ | резьбовое | threaded~ | ||
| 47. | Sifons | Сифон | Trap | Detaļa zem sanitāri tehniskās ierīces telpu aizsardzībai no notekūdeņu gāzēm un smakām |
| 48. | Skalošanas krāns | Смывной кран | Flush tap | Automātiskā regulēšanas armatūra klozetpodu vai urinālu skalošanai tieši no ūdensvada tīkla |
| 49. | Spiedienaugstums | Напор | Head | |
| 50. | Spiediens: | Давление | Pressure | |
| ~a regulators | регулятор давления | ~regulator | Ierīce spiediena regulēšanai | |
| 51. | Sprinklers | Спринклер | Sprinkler | Ierīce automātiskās ugunsgrēka dzēšanas sistēmās dzēšanai ar ūdeni, kuras sprausla atveras pie noteiktas temperatūras |
| 52. | Stāvvads: | Стояк | Riser | Cauruļvads ūdens pārvietošanai vertikālā virzienā starp stāviem |
| lietusūdens~ | водосточный~ | waste~ | ||
| kanalizācijas~ | канализационный~ | soil~ | ||
| nevēdināms~ | невентилируемый~ | unvented~ | ||
| ūdensvada~ | водопроводный~ | rising main | ||
| vēdināms~ | вентилируемый~ | vented pipe | ||
| 53. | Strūklas pārtraukums | Разрыв струи | Spout interruption | Atklāta ūdens izliešana piltuvē |
| 54. | Sūknis | Насос | Pump | Iekārta ūdens piespiedu transportēšanai |
| 55. | Tekne | Лоток | Invert | Vaļēja šķērsgriezuma elements ūdens transportēšanai |
| 56. | Tīkls: | Сеть | Piping | Cauruļvadu sistēma ūdens pārvietošanai |
| izzaru~ | тупиковая~ | blind ~ | ||
| cilpveida~ | кольцевая~ | loop ~ | ||
| 57. | Traps | Трап | Floor gully | Ierīce notekūdeņu uztveršanai no grīdas |
| 58. | Trejgabals | Тройник | Tee | Veidgabals ūdens plūsmas sadalīšanai trijos virzienos |
| 59. | Tuppods | Напольная чаша | WC pan | |
| 60. | Tvertne (rezervuārs): | Резервуар (бак) | Tank (reservoir) | Tilpums ūdens glabāšanai |
| ~ - akumulators | бак - аккумулятор | hot water~ | ||
| hidropneimatiskā spiediena~ (hidrofors) |
гидрофор | compressor~ | ||
| regulējošā~ | регулирующий~ | compensating~ | ||
| spied~ | напорный бак | head~ | ||
| skalošanas~ | смывной бачок | flushing cistern | ||
| 61. |
Ugunsdzēsības aparāts |
Огнетушитель | Fire extinguisher | Ierīce ar ugunsdzēsīgo vielu, kuru var ievadīt degšanas zonā, iedarbojoties ar iekšējo spiedienu |
| 62. | Ugunsdzēsības krāns | Пожарный кран | Fire cock | Krāns ūdens izdalei ugunsdzēsības vajadzībām |
| 63. | Ugunsdzēsības ūdens rezerve | Пожарный запас | Emergency water | |
| 64. | Ugunsdzēsības stobrs | Пожарный ствол (брандспойт) | Hose nozzle | Ierīce šļūtenes galā ūdens izdalei |
| 65. | Ūdens: | Вода | Water | |
| dzeramais~ | питьевая~ | drinking~ | ||
| lietus~ | дождевая~ | storm~ | ||
| notek~ | сточная~ | waste~ | ||
| sadzīves notek~ | бытовая сточная~ | foul~ | ||
| 66. | Ūdensapgāde: | Водоснабжение | Water supply | Inženieriekārtu kopums, kas nodrošina ūdens ieguvi, attīrīšanu un padevi patērētājam |
| apvienotā~ | обьединённое~ | combined~ | Sistēma, kas apgādā dažādus patērētājus no vienas ūdensapgādes sistēmas | |
| atgriezeniskā~ | оборотное~ | recooling | Daudzkārtējas izmantošanas ūdensapgādes sistēma iekārtu dzesēšanai | |
| atkārtotas izmantošanas | ~повторного пользования | reused~ | Ūdens daudzkārtējas izmantošanas ūdensapgādes sistēma patērētāju apgādei pēc nepieciešamās ūdens apstrādes | |
| ražošanas~ | производственное~ | industrial~ | ||
| sadzīves (dzeramā ūdens)~ | хозяйственное (питьевое)~ | domestic~ | ||
| ugunsdzēsības~ | противопожарное~ | fire~ | ||
| 67. | Ūdensmērītājs: | Водомер | Water meter | Ierīce ūdens daudzuma uzskaitei |
| spārniņu~ | крыльчатый~ | shear~ | ||
| turbīnu~ | турбинный~ | turbine flow~ | ||
| 68. | Ūdenssildītājs: | Водонагреватель | Water heater | Iekārta ūdens sildīšanai |
| ātrgaitas~ | скоростной~ | quick-action~ | ||
| caurteces~ | проточный~ | direct-flow~ | ||
| elektriskais~ | электрический~ | electric~ | ||
| gāzes~ | газовой~ | gas~ | ||
| sadzīves~ | бытовой~ | domestic hot-~ | ||
| tilpuma~ | емкостный~ | storage~ | ||
| tvaika~ | паравой~ | steam~ | ||
| vietējais~ | ~ местного горячего водоснабжения | local hot-~ | ||
| 69. | Ūdensvads: | Водопровод | Water pipe | Inženierbūve ūdens transportēšanai |
| aukstais~ | холодный~ | cold~ | ||
| karstais~ | горячий~ | hot~ | ||
| cirkulācijas~ | циркуляционный~ | circulation~ | ||
| iekšējais~ | внутренный~ | internal piping | ||
| laistīšanas~ | поливочный~ | flusher water pipe | ||
| 70. | Uzmava (caurulei) | Раструб | Socket | Veidgabals pie caurules, kurā var iestiprināt otras caurules galu |
| 71. | Uzmava | Муфта | Collar (coupler) | Veidgabals divu cauruļu gludo galu savienošanai ar blīvgredzenu |
| 72. | Uztveršanas piltuve | Воронка | Funnel | |
| 73. | Urināls | Писсуар | Urinal | |
| 74. | Vanna | Ванна | Bath | Sanitāri tehniskā ierīce, kurā var mazgāties un no kuras novada izmantotos ūdeņus |
| 75. | Vārsts | Клапан | Valve | |
| drošības~ | предохрани-тельный~ | safety ~ | ||
| pludiņ~ | поплавковый~ | float~ | ||
| redukcijas~ | редукционный | reducing~ | ||
| vienvirziena~ | обратный~ | check ~ | ||
| 76. | Veidgabali | Соединительные (фасонные) части | Fittings | Detaļas cauruļvada savienošanai taisnos posmos, pagriezienos, sazaros un diametra izmaiņu vietās |
| 77. | Vītne | Резьба | Thread | Spirālveida rieva, ar kuras palīdzību griezes kustībā var savienot cauruļu posmus ar veidgabalu palīdzību |
Ekonomikas ministra vietā –
veselības ministrs Guntis Belēvičs
Ekonomikas ministrijas iesniegtajā redakcijā
3.pielikums
Latvijas būvnormatīvam LBN 221-15
"Ēku iekšējais ūdensvads un kanalizācija"
(apstiprināts ar Ministru kabineta
2015.gada 30.jūnija
noteikumiem Nr.332)
Sanitāri tehnisko ierīču dzeramā ūdens un notekūdeņu patēriņi
|
Nr. |
Sanitāri tehniskās ierīces veids |
Dzeramais ūdens |
Notekūdens caurplūdums |
Minimālais pieslēguma diametrs (mm) |
||||||
|
Maksimālais caurplūdums (l/s) |
Patēriņš stundā (l/h) |
|||||||||
|
kopējais |
aukstais |
karstais |
kopējais |
aukstais |
karstais |
pievadi |
novadi |
|||
|
1 |
2 |
3 |
4 |
5 |
6 |
7 |
8 |
9 |
10 |
11 |
| 1. | Roku mazgātne ar ūdens izdales krānu |
0,1 |
0,1 |
- |
30 |
30 |
- |
0,15 |
10 |
32 |
| 2. | Roku mazgātne ar jaucējkrānu |
0,12 |
0,09 |
0,09 |
60 |
40 |
40 |
0,3 |
10 |
32 |
| 3. | Trauku mazgātne (arī virtuves) ar ūdens izdales krānu vai laboratorijas izlietne |
0,15 |
0,15 |
- |
50 |
50 |
- |
0,3 |
10 |
40 |
| 4. | Trauku mazgātne (arī laboratorijas) ar jaucējkrānu |
0,12 |
0,09 |
0,09 |
80 |
60 |
60 |
0,6 |
10 |
40 |
| 5. | Trauku mazgātne (arī trauku mazgāšanas vannas) ēdināšanas uzņēmumos |
0,3 |
0,2 |
0,2 |
500 |
280 |
220 |
0,6 |
15 |
50 |
| 6. | Vanna ar jaucējkrānu (arī kopējais ar roku mazgātni) |
0,25 |
0,18 |
0,18 |
300 |
200 |
200 |
0,9 |
10 |
40 |
| 7. | Vanna ar tilpuma ūdenssildītāju un jaucējkrānu |
0,22 |
0,22 |
- |
300 |
300 |
- |
0,9 |
15 |
40 |
| 8. | Medicīnas procedūru vanna ar jaucējkrāna diametru: | |||||||||
| 20 mm |
0,4 |
0,3 |
0,3 |
700 |
460 |
460 |
2,3 |
20 |
50 |
|
| 25 mm |
0,6 |
0,4 |
0,4 |
750 |
500 |
500 |
3 |
25 |
75 |
|
| 32 mm |
1,4 |
1 |
1 |
1060 |
710 |
710 |
3 |
32 |
75 |
|
| 9. | Kāju vanna ar jaucējkrānu |
0,1 |
0,07 |
0,07 |
220 |
165 |
165 |
0,5 |
10 |
40 |
| 10. | Dušas kabīne ar seklo dušas vāceli un jaucējkrānu |
0,12 |
0,09 |
0,09 |
100 |
60 |
60 |
0,2 |
10 |
40 |
| 11. | Dušas kabīne ar dziļo dušas vāceli |
0,12 |
0,09 |
0,09 |
115 |
80 |
80 |
0,6 |
10 |
40 |
| 12. | Grupveida dušas ierīces ar jaucējkrāniem |
0,2 |
0,14 |
0,14 |
500 |
270 |
230 |
0,2 |
10 |
50 |
| 13. | Higiēniskā duša (bidē) ar jaucējkrānu |
0,08 |
0,05 |
0,05 |
75 |
54 |
54 |
0,3 |
10 |
32 |
| 14. | Augšupejošā duša |
0,3 |
0,2 |
0,2 |
650 |
430 |
430 |
0,3 |
15 |
40 |
| 15. | Pirts krāns |
0,4 |
0,4 |
- |
1000 |
1000 |
- |
0,4 |
20 |
- |
| 16. | Klozetpods ar skalošanas tvertni |
0,1 |
0,1 |
- |
83 |
83 |
- |
1,6 |
8 |
100 |
| 17. | Klozetpods ar skalošanas krānu |
1,4 |
1,4 |
- |
81 |
81 |
- |
1,4 |
- |
100 |
| 18. | Urināls ar ūdens izdales krānu |
0,035 |
0,035 |
- |
36 |
36 |
- |
0,1 |
10 |
32 |
| 19. | Urināls ar skalošanas krānu |
0,2 |
0,2 |
- |
36 |
36 |
- |
0,3 |
10 |
32 |
| 20. | Urināls ar automātisko skalošanas krānu |
0,4 |
0,4 |
- |
36 |
36 |
- |
0,6 |
15 |
40 |
| 21. | Dzeramā ūdens strūklaka |
0,04 |
0,04 |
- |
72 |
72 |
- |
0,05 |
10 |
25 |
| 22. | Laistīšanas krāns |
0,3 |
0,2 |
0,2 |
1080 |
1080 |
720 |
0,3 |
15 |
- |
| 23. | Automātiskā sadzīves veļas vai trauku mazgāšanas mašīna |
0,2 |
0,2 |
0,2 |
90 |
90 |
90 |
0,6 |
10 |
40 |
| 24. | Traps ar diametru: | |||||||||
| 50 |
- |
- |
- |
- |
- |
- |
0,5 |
- |
50 |
|
| 100 |
- |
- |
- |
- |
- |
- |
1,5 |
- |
100 |
|
Piezīmes:
1. Konkrētajā projektā normatīvais spiedienaugstums pirms ūdens izdales un
jaukšanas ierīcēm jānosaka saskaņā ar ražotāja datiem. Normatīvais
spiedienaugstums orientējoši var būt: rietumvalstīs ražotajiem mazgāšanas galdu
sviras jaucējkrāniem – 130 kPa, virtuves sviras jaucējkrāniem un dušas
termojaucējkrāniem – 160 kPa un jaucējkrāniem ar diviem rokturiem – 50 kPa;
Krievijā ražotajiem ūdens izdales krāniem – 20 kPa, vannas un dušas
jaucējkrāniem – 30 kPa, automātiskajam skalošanas krānam – 40 kPa, medicīnisko
un veselības procedūru jaucējkrāniem, kā arī visiem ūdens izdales krāniem un
jaucējkrāniem ar aeratoru – ne mazāk kā 50 kPa.
2. Grupveida sanitāri tehniskajām ierīcēm publiskajās ēkās un sporta
kompleksos, kur ir liels cilvēku pieplūdums, kā arī pārvaldes un sadzīves ēkās
un publiskajās tualetēs var būt šādi kopējie ūdens patēriņi:
| 2.1 | dušas | 0,14N (aukstajam vai karstajam ūdenim - 0,09N) |
| 2.2 | klozetpodi ar individuālo skalošanas tvertni | 0,07N |
| 2.3 | klozetpodi ar individuālo skalošanas krānu | 1,4 + 0,2N |
| 2.4 | klozetpodi ar kopējo automātisko skalošanas ierīci | 0,1 + 0,07N |
| 2.5 | urināli ar individuālo skalošanas krānu | 0,14 + 0,06N |
| 2.6 | urināli ar kopējo automātisko skalošanas ierīci | 0,3 + 0,1N |
| 2.7 | roku vai trauku mazgātne ar jaucējkrānu | 0,09 + 0,035N (aukstajam vai karstajam ūdenim 0,07 + 0,03N) |
Ekonomikas ministra vietā –
veselības ministrs Guntis Belēvičs
Ekonomikas ministrijas iesniegtajā redakcijā
4.pielikums
Latvijas būvnormatīvam LBN 221-15
"Ēku iekšējais ūdensvads un kanalizācija"
(apstiprināts ar Ministru kabineta
2015.gada 30.jūnija
noteikumiem Nr.332)
Ūdens patēriņa normas
1.tabula
|
Patērētājs |
Mērvienība |
Ūdens patēriņa norma litros |
Ierīces patēriņš, l/s (l/h) |
Ki |
||||||
|
Vidējais patēriņš diennaktī |
Maksimālais patēriņš diennaktī |
Maksimālais patēriņš stundā |
||||||||
|
kopējais (arī karstais ūdens) |
karstais ūdens |
kopējais (arī karstais ūdens) |
karstais ūdens |
kopējais (arī karstais ūdens) |
karstais ūdens |
Kopējais |
aukstais vai karstais ūdens |
kopējais (aukstais vai karstais ūdens) |
||
|
1 |
2 |
3 |
4 |
5 |
6 |
7 |
8 |
9 |
10 |
11 |
| 1. Dzīvojamās ēkas: | ||||||||||
| 1.1. ar ūdensvadu un kanalizāciju (bez vannām) |
viens iedzīvotājs |
95 |
- |
120 |
- |
6,5 |
- |
0,2 |
0,2 |
0,07 |
| 1.2. ar gāzes apgādi |
viens iedzīvotājs |
120 |
- |
150 |
- |
7 |
- |
0,2 |
0,2 |
0,07 |
| 1.3. ar ūdensvadu, kanalizāciju un cietā kurināmā vannas krāsniņām |
viens iedzīvotājs |
150 |
- |
180 |
- |
8,1 |
- |
0,3 (300) |
0,3 |
0,28 |
| 1.4. ar ūdensvadu, kanalizāciju, ar gāzes vannas krāsniņām vai elektriskajiem tilpuma ūdenssildītājiem |
viens iedzīvotājs |
190 |
- |
225 |
- |
10,5 |
- |
0,3 |
0,3 |
0,28 |
| 1.5. ar gāzes vai elektriskajiem ātrgaitas ūdenssildītājiem un daudzām ūdens izdales vietām |
viens iedzīvotājs |
210 |
- |
250 |
- |
13 |
- |
0,3 |
0,3 |
0,28 |
| 1.6. ar roku un trauku mazgātnēm, dušām un centralizēto karstā ūdens apgādi |
viens iedzīvotājs |
195 |
85 |
230 |
100 |
12,5 |
7,9 |
0,2 |
0,14 |
0,14 |
| 1.7. ar roku un trauku mazgātnēm, ar sēdvannām un dušu sietiņiem |
viens iedzīvotājs |
230 |
90 |
275 |
110 |
14,3 |
9,2 |
0,3 |
0,2 |
0,28 |
| 1.8. ar roku un trauku mazgātnēm, ar 1500-1700 mm garām vannām un dušu sietiņiem |
viens iedzīvotājs |
250 |
105 |
300 |
120 |
15,6 |
10 |
0,3 |
0,2 |
0,28 |
| 2. Kopmītņu tipa viesnīcas: | ||||||||||
| ar koplietošanas dušu telpām |
viens iemītnieks |
85 |
50 |
100 |
60 |
10,4 |
6,3 |
0,2 |
0,14 |
0,14 |
| 2.1. ar dušu telpām katrā numurā |
viens iemītnieks |
110 |
60 |
120 |
70 |
12,5 |
8,2 |
0,2 |
0,14 |
0,14 |
| 2.2. ar koplietošanas virtuvēm un dušām katrā ēkas sekcijā un stāvā |
viens iemītnieks |
140 |
80 |
160 |
90 |
12 |
7,5 |
0,2 |
0,14 |
0,14 |
| 3. Viesnīcas, pansionāti un moteļi ar koplietošanas vannām un dušām |
viens iemītnieks |
120 |
70 |
120 |
70 |
12,5 |
8,2 |
0,3 |
0,2 |
0,28 |
| 4. Viesnīcas un pansionāti ar dušu telpām katrā numurā |
viens iemītnieks |
230 |
140 |
230 |
140 |
19 |
12 |
0,2 |
0,14 |
0,16 |
| 5. Viesnīcas ar vannām: | ||||||||||
| 5.1. līdz 25 procentos numuru |
viens iemītnieks |
200 |
100 |
200 |
100 |
22,4 |
10,4 |
0,3 |
0,2 |
0,23 |
| 5.2. 75 procentos numuru |
viens iemītnieks |
250 |
150 |
250 |
150 |
28 |
15 |
0,3 |
0,2 |
0,26 |
| 5.3. 100 procentos numuru |
viens iemītnieks |
300 |
180 |
300 |
180 |
30 |
16 |
0,3 |
0,2 |
0,28 |
| 6. Slimnīcas: | ||||||||||
| 6.1. ar koplietošanas vannām un dušu telpām |
viena gultasvieta |
115 |
75 |
115 |
75 |
8,4 |
5,4 |
0,2 |
0,14 |
0,14 |
| 6.2. ar koplietošanas vannām un dušu telpām, ar tualetes telpām palātu tiešā tuvumā |
viena gultasvieta |
200 |
90 |
200 |
90 |
12 |
7,7 |
0,3 |
0,2 |
0,28 |
| 6.3. infekcijas slimnīcas |
viena gultasvieta |
240 |
110 |
240 |
110 |
14 |
9,5 |
0,2 |
0,14 |
0,28 |
| 7. Sanatorijas un atpūtas nami: | ||||||||||
| 7.1. ar vannu katrā dzīvojamā telpā |
viena gultasvieta |
200 |
120 |
200 |
120 |
10 |
4,9 |
0,3 |
0,2 |
0,28 |
| 7.2. ar dušām katrā dzīvojamā telpā |
viena gultasvieta |
150 |
75 |
150 |
75 |
12,5 |
8,2 |
0,2 |
0,14 |
0,14 |
| 8. Poliklīnikas un ambulances |
viens slimnieks maiņā |
13 |
5,2 |
15 |
6 |
2,6 |
1,2 |
0,2 |
0,14 |
0,11 |
| 9. Pirmsskolas vecuma bērnu iestādes: | ||||||||||
| 9.1. dienas: | ||||||||||
| 9.1.1. ar ēdnīcu, kur izmanto pusfabrikātus |
viens bērns |
21,5 |
11,5 |
30 |
16 |
9,5 |
4,5 |
0,14 |
0,1 |
0,2 |
| 9.1.2. ar ēdnīcu, kur izmanto jēlproduktus, un ar automātiskajām veļas mazgājamajām mašīnām |
viens bērns |
75 |
25 |
105 |
35 |
18 |
8 |
0,2 |
0,14 |
0,14 |
| 9.2. diennakts: | ||||||||||
| 9.2.1.ar ēdnīcu, kur izmanto pusfabrikātus |
viens bērns |
39 |
21,4 |
55 |
30 |
10 |
4,5 |
0,14 |
0,1 |
0,14 |
| 9.2.2. ar ēdnīcu, kur izmanto jēlproduktus, un ar automātiskajām veļas mazgājamajām mašīnām |
viens bērns |
93 |
28,5 |
130 |
40 |
18 |
8 |
0,2 |
0,14 |
0,14 |
| 10. Gaidu un skautu nometnes (arī nepārtrauktas darbības): | ||||||||||
| 10.1. ar ēdnīcām, kur izmanto jēlproduktus, un ar automātiskajām veļas mazgājamajām mašīnām |
viena vieta |
200 |
40 |
200 |
40 |
18 |
8 |
0,2 |
0,14 |
0,14 |
| 10.2. ar ēdnīcām, kur izmanto pusfabrikātus |
viena vieta |
55 |
30 |
55 |
30 |
10 |
4,5 |
0,14 |
0,1 |
0,2 |
| 11. Veļas mazgātavas: | ||||||||||
| 11.1. mehanizētās |
1 kg sausas veļas |
75 |
25 |
75 |
25 |
75 |
25 |
Pēc tehnoloģijas datiem |
||
| 11.2. nemehanizētās |
1 kg sausas veļas |
40 |
15 |
40 |
15 |
40 |
15 |
0,3 |
0,2 |
0,78 |
| 12. Pārvaldes ēkas |
viens strādājošais |
12 |
5 |
16 |
7 |
4 |
2 |
0,14 |
0,1 |
0,16 |
| 13. Mācību iestādes (arī vidējās un vidējās speciālās) ar dušu telpām pie sporta zālēm un gatavās produkcijas realizācijas bufetēm |
viens audzinātājs un pasniedzējs |
17,2 |
6 |
20 |
8 |
2,7 |
1,2 |
0,14 |
0,1 |
0,14 |
| 14. Augstāko un vidējo mācību iestāžu laboratorijas |
viena ierīce maiņā |
224 |
112 |
260 |
130 |
43,2 |
21,6 |
0,2 |
0,2 |
0,28 |
| 15. Vispārizglītojošās skolas ar dušu telpām pie sporta zālēm un gatavās produkcijas realizācijas bufetēm |
viens audzēknis un skolotājs |
10 |
3 |
11,5 |
3,5 |
3,1 |
1 |
0,14 |
0,1 |
0,14 |
| 16. Pagarinātās dienas skolas ar dušu telpām pie sporta zālēm un gatavās produkcijas realizācijas bufetēm |
viens audzēknis un skolotājs |
12 |
3,4 |
14 |
4 |
3,1 |
1 |
0,14 |
0,1 |
0,14 |
| 17. Arodskolas ar dušu telpām pie sporta zālēm un gatavās produkcijas realizācijas bufetēm |
viens audzēknis un skolotājs |
20 |
8 |
23 |
9 |
3,5 |
1,4 |
0,14 |
0,1 |
0,14 |
| 18. Internātskolas: | ||||||||||
| 18.1. mācību klases un dušu telpas pie sporta zāles |
viens audzēknis un skolotājs |
9 |
2,7 |
10,5 |
3,2 |
3,1 |
1 |
0,14 |
0,1 |
0,14 |
| 18.2. guļamtelpām |
viena vieta |
70 |
30 |
70 |
30 |
9 |
6 |
0,14 |
0,1 |
0,14 |
| 19. Zinātniskās pētniecības institūti un laboratorijas: | ||||||||||
| 19.1. ķīmijas |
viens strādājošais |
460 |
60 |
570 |
80 |
55,6 |
8 |
0,2 |
0,2 |
0,42 |
| 19.2. bioloģijas |
viens strādājošais |
310 |
55 |
370 |
75 |
32 |
8,2 |
0,2 |
0,2 |
0,42 |
| 19.3. tehnisko zinātņu |
viens strādājošais |
125 |
15 |
155 |
20 |
12,9 |
1,7 |
0,2 |
0,2 |
0,42 |
| 19.4. humanitārie |
viens strādājošais |
12 |
5 |
16 |
7 |
3,5 |
1,7 |
0,14 |
0,1 |
0,16 |
| 20. Aptiekas: | ||||||||||
| 20.1. tirdzniecības zāle un palīgtelpas |
viens strādājošais |
12 |
5 |
16 |
7 |
4 |
2 |
0,14 |
0,1 |
0,12 |
| 20.2. zāļu izgatavošanas laboratorija |
viens strādājošais |
310 |
55 |
370 |
75 |
32 |
8,2 |
0,2 |
0,2 |
0,42 |
| 21. Ēdināšanas uzņēmumi: | ||||||||||
| 21.1. kas izmanto jēlproduktus un realizē ēdienu uz vietas |
viena porcija |
12 |
4 |
12 |
4 |
12 |
4 |
0,3 |
0,2 |
0,28 |
| 21.2. kas pārdod produkciju līdznešanai |
viena porcija |
10 |
3 |
10 |
3 |
10 |
3 |
0,3 |
0,2 |
0,28 |
| 21.3. kas ražo pusfabrikātus: | ||||||||||
| 21.3.1. gaļas |
1 T |
- |
- |
6700 |
3100 |
- |
- |
0,3 |
0,2 |
0,28 |
| 21.3.2. zivju |
1 T |
- |
- |
6400 |
700 |
- |
- |
0,3 |
0,2 |
0,28 |
| 21.3.3. augļu un sakņu |
1 T |
- |
- |
4400 |
800 |
- |
- |
0,3 |
0,2 |
0,28 |
| 21.3.4. kulinārijas |
1 T |
- |
- |
7700 |
1200 |
- |
- |
0,3 |
0,2 |
0,28 |
| 22. Veikali: | ||||||||||
| 22.1. pārtikas preču un ziedu |
viens strādnieks maiņā (20 m2 zāles) |
125 |
50 |
125 |
50 |
15 |
10 |
0,3 |
0,2 |
0,28 |
| 22.2. rūpniecības preču |
viens strādnieks maiņā |
12 |
5 |
16 |
7 |
4 |
2 |
0,14 |
0,1 |
0,16 |
| 23. Frizētavas |
viena darba vieta maiņā |
56 |
33 |
60 |
35 |
9 |
4,7 |
0,14 |
0,1 |
0,12 |
| 24. Kinoteātri |
viena vieta |
4 |
1,5 |
4 |
1,5 |
0,5 |
0,2 |
0,14 |
0,1 |
0,16 |
| 25. Klubi |
viena vieta |
8,6 |
2,6 |
10 |
3 |
0,9 |
0,4 |
0,14 |
0,1 |
0,16 |
| 26. Teātri: | ||||||||||
| 26.1. skatītāji |
viena vieta |
10 |
5 |
10 |
5 |
0,9 |
0,3 |
0,14 |
0,1 |
0,16 |
| 26.2. aktieri |
viens cilvēks |
40 |
25 |
40 |
25 |
3,4 |
2,2 |
0,14 |
0,1 |
0,16 |
| 27. Sporta zāles: | ||||||||||
| 27.1. skatītāji |
viena vieta |
3 |
1 |
3 |
1 |
0,3 |
0,1 |
0,14 |
0,1 |
0,12 |
| 27.2. fizkultūrieši (arī dušu izmantošana) |
viens fizkultūrietis |
50 |
30 |
50 |
30 |
4,5 |
2,5 |
0,2 |
0,14 |
0,11 |
| 27.3. sportisti (arī dušu izmantošana) |
viens sportists |
100 |
60 |
100 |
60 |
9 |
5 |
0,2 |
14 |
0,11 |
| 28. Peldbaseini: | ||||||||||
| 28.1. uzpildīšana |
procentos no baseina tilpuma |
10 |
- |
- |
- |
- |
- |
- |
- |
- |
| 28.2. skatītāji |
viena vieta |
3 |
1 |
3 |
1 |
0,3 |
0,1 |
0,14 |
0,1 |
0,12 |
| 28.3. sportisti (arī dušu izmantošana) |
viens sportists |
100 |
60 |
100 |
60 |
9 |
5 |
0,2 |
14 |
0,11 |
| 29. Pirtis: | ||||||||||
| 29.1. ar mazgāšanās toverīšu lietošanu un noskalošanos dušā |
viens apmeklētājs |
- |
- |
180 |
120 |
180 |
120 |
0,4 |
0,4 |
0,13 |
| 29.2. ar mazgāšanās toverīšu lietošanu un noskalošanos dušā un ar ārstnieciskām procedūrām: |
viens apmeklētājs |
- |
- |
290 |
190 |
290 |
190 |
0,4 |
0,4 |
0,2 |
| 29.3. dušas kabīne |
viens apmeklētājs |
- |
- |
360 |
240 |
360 |
240 |
0,2 |
0,14 |
0,5 |
| 29.4. vannas kabīne |
viens apmeklētājs |
- |
- |
540 |
360 |
540 |
360 |
0,3 |
0,2 |
0,5 |
| 30. Ražošanas uzņēmumu dušu telpas |
viens dušas siets maiņā |
- |
- |
500 |
270 |
500 |
270 |
0,2 |
0,14 |
0,69 |
| 31. Ražošanas uzņēmumu dušu telpas karstajos cehos (vairāk nekā 84 kJ uz 1 m3/h) |
viens strādnieks maiņā |
- |
- |
45 |
24 |
14,1 |
8,4 |
0,14 |
0,1 |
0,12 |
| 32. Ražošanas uzņēmumu parastie cehi |
viens strādnieks maiņā |
- |
- |
25 |
11 |
9,4 |
4,4 |
0,14 |
0,1 |
0,12 |
| 33. Laistīšanas patēriņš: | ||||||||||
| 33.1. zālāji |
1 m2 |
3 |
- |
3 |
- |
- |
- |
- |
- |
- |
| 33.2. futbola laukums |
1 m2 |
0,5 |
- |
0,5 |
- |
- |
- |
- |
- |
- |
| 33.3. citas sporta būves |
1 m2 |
1,5 |
- |
1,5 |
- |
- |
- |
- |
- |
- |
| 33.4. cietie ietvju, ielu, laukumu un caurbrauktuvju segumi |
1 m2 |
0,5 |
- |
0,5 |
- |
- |
- |
- |
- |
- |
| 34. Slidotavas uzliešana |
1 m2 |
0,5 |
- |
0,5 |
- |
- |
- |
- |
- |
- |
Piezīmes:
1. Noteiktās patēriņa normas ietver visus papildu patēriņus (piemēram,
apkalpojošais personāls, dušu lietošana, apmeklētāji, telpu uzkopšana). Ūdens
patēriņi grupveida dušu telpās, veļas mazgātavās, ēdināšanas uzņēmumos, kāju
vannām un ārstnieciskajām ūdens procedūrām jāuzskaita papildus. Šīs prasības
neattiecas uz patērētājiem, kuriem ūdens normās minētie patēriņi ir paredzēti.
2. Vidējās diennakts patēriņa normas dotas, lai varētu veikt variantu
tehniski ekonomisko salīdzināšanu.
3. Ražošanas patēriņa normas, kas nav norādītas šajā tabulā, nosaka
tehnoloģijas projekta daļā.
4. Ja attiecīgais patērētājs nav minēts šajā tabulā, uz to attiecina tāda
patērētāja ūdens patēriņa normas, kurš ir līdzīgs tabulā minētam patērētājam.
5. Mazgājot veļu, kurai ir specifiski netīrumi, vai neautomatizētajās veļas
mazgājamajās mašīnās, patēriņa normu var palielināt līdz 30%.
6. Ēdināšanas uzņēmumiem un citiem karstā ūdens patērētājiem, kuriem pēc
ražošanas tehnoloģijas nepieciešama ūdens papildu uzsildīšana, ūdens patēriņa
normas pieņem saskaņā ar šī pielikuma prasībām, neņemot vērā šī būvnormatīva
31.punktā norādīto koeficientu.
7. Laistīšanas patēriņa normas dotas vienai laistīšanai. Laistīšanas biežumu
nosaka atkarībā no klimatiskajiem apstākļiem.
8. Ja klozetpodiem skalošanas tvertnes vietā ir skalošanas krāni, sanitāri
tehniskās ierīces aukstā ūdens patēriņš ir q0c = 1,4 l/s,
bet kopējais ūdens patēriņš q0tot - saskaņā ar šī
būvnormatīva 23.punktu.
9. Ēdināšanas uzņēmumā pagatavoto porciju skaitu stundā nosaka pēc šādas
formulas:
Ekr=Ep αp na m
Ēdināšanas uzņēmumā pagatavoto porciju skaitu diennaktī nosaka pēc šādas
formulas:
Edn=ψ Eu+2,2 Us
Lielumi Ep, αp, na un ψ doti 2.tabulā.
Ēdināšanas uzņēmuma darba laiku nosaka pārtikas tehnoloģijas projekta daļā.
Ēdināšanas uzņēmumos, kur ēdienus gatavo no pusfabrikātiem, ūdens patēriņa
normu nosaka kā ēdienu, kurus realizē uz vietas un kurus pārdod promnešanai,
skaita starpību.
10. Minētās ūdens patēriņa normas nav paredzētas komerciāliem norēķiniem ar
patērētājiem.
2.tabula
|
Ēdināšanas uzņēmuma raksturojums |
Ēdienu realizācijas koeficients stundā (αp) |
Apmeklētāju nomaiņa stundā (na) |
Nosacīto porciju skaits vienam apmeklētājam (Ep) |
Ēdienu realizācijas koeficients diennaktī (maiņā) ψ |
| Ēdnīcas un kafejnīcas pilsētās, ciematos un lauku apdzīvotās vietās |
0,45 |
2 |
2,2 |
0,55 |
| Restorāni |
0,65 |
1,5 |
2,2 |
0,55 |
| Šašliku ēdnīcas |
0,4 |
4 |
1,4 |
0,47 |
| Pīrādziņu kafejnīcas |
0,6 |
4 |
1,2 |
0,4 |
| Virtuļu kafejnīcas |
1 |
5 |
0,7 |
0,35 |
| Konditorejas kafejnīcas |
1 |
3 |
0,8 |
0,2 |
| Bufetes |
1 |
3 |
0,5 |
0,17 |
| Alus bāri |
0,65 |
1,5 |
0,5 |
0,1 |
| Ražošanas uzņēmumu un augstāko mācību iestāžu ēdnīcas |
0,25 |
4 |
2,2 |
0,55 |
| Slimnīcu, sanatoriju un atpūtas namu ēdnīcas |
3,1 |
Ekonomikas ministra vietā –
veselības ministrs Guntis Belēvičs
Ekonomikas ministrijas iesniegtajā redakcijā
5.pielikums
Latvijas būvnormatīvam LBN 221-15
"Ēku iekšējais ūdensvads un kanalizācija"
(apstiprināts ar Ministru kabineta
2015.gada 30.jūnija
noteikumiem Nr.332)
Sanitāri tehnisko ierīču notekūdeņu normatīvie caurplūdumi
|
Nr. |
Caurplūdums, l/s |
Sanitāri tehniskās ierīces |
|
1. |
0,3 |
Roku mazgātne Bidē Urināls ar skalošanas krānu |
|
2. |
0,4 |
Pirts krāns |
|
3. |
0,5 |
Traps DN 50 Kāju vanna |
|
4. |
0,6 |
Duša Trauku mazgātne Veļas mazgāšanas mašīna dzīvoklī Trauku mazgāšanas mašīna dzīvoklī Urināls ar automātisko skalošanas krānu |
|
5. |
0,9 |
Vanna |
|
6. |
1,2 |
Koplietošanas veļas mazgāšanas mašīna Traps DN 70 |
|
7. |
1,5 |
Traps DN 100 |
|
8. |
1,8 |
Klozetpods Viduārs |
|
9. |
2,0 |
Medicīnisko procedūru vanna |
Piezīmes:
1. Notekūdeņu normatīvo caurplūdumu tehnoloģiskajām un ražošanas iekārtām
nosaka saskaņā ar ražotājfirmas datiem.
2. Iespējamie nepārtrauktie notekūdeņu caurplūdumi jāpieskaita maksimālajam
aprēķina patēriņam, ja to darbības laiki sakrīt.
Ekonomikas ministres vietā –
veselības ministrs Guntis Belēvičs
Ekonomikas ministrijas iesniegtajā redakcijā
6.pielikums
Latvijas būvnormatīvam LBN 221-15
"Ēku iekšējais ūdensvads un kanalizācija"
(apstiprināts ar Ministru kabineta
2015.gada 30.jūnija
noteikumiem Nr.332)
Koeficientu α un αhr vērtība atkarībā no sanitāri tehnisko ierīču skaita un ierīces izmantošanas varbūtības
|
NP |
α |
NP |
α |
NP |
α |
NP |
α |
NP |
α |
|
mazāk par 0,015 |
0,200 |
0,046 |
0,266 |
0,115 |
0,361 |
0,35 |
0,573 |
0,84 |
0,883 |
|
0,015 |
0,202 |
0,047 |
0,268 |
0,120 |
0,367 |
0,36 |
0,580 |
0,86 |
0,894 |
|
0,016 |
0,205 |
0,048 |
0,270 |
0,125 |
0,373 |
0,37 |
0,588 |
0,88 |
0,905 |
|
0,017 |
0,207 |
0,049 |
0,271 |
0,130 |
0,378 |
0,38 |
0,595 |
0,90 |
0,916 |
|
0,018 |
0,210 |
0,050 |
0,273 |
0,135 |
0,384 |
0,39 |
0,602 |
0,92 |
0,927 |
|
0,019 |
0,212 |
0,052 |
0,276 |
0,140 |
0,389 |
0,40 |
0,610 |
0,94 |
0,937 |
|
0,020 |
0,215 |
0,054 |
0,280 |
0,145 |
0,394 |
0,41 |
0,617 |
0,96 |
0,948 |
|
0,021 |
0,217 |
0,056 |
0,283 |
0,150 |
0,399 |
0,42 |
0,624 |
0,98 |
0,959 |
|
0,022 |
0,219 |
0,058 |
0,286 |
0,155 |
0,405 |
0,43 |
0,631 |
1,00 |
0,969 |
|
0,023 |
0,222 |
0,060 |
0,289 |
0,160 |
0,410 |
0,44 |
0,638 |
1,05 |
0,995 |
|
0,024 |
0,224 |
0,062 |
0,292 |
0,165 |
0,415 |
0,45 |
0,645 |
1,10 |
1,021 |
|
0,025 |
0,226 |
0,064 |
0,295 |
0,170 |
0,420 |
0,46 |
0,652 |
1,15 |
1,046 |
|
0,026 |
0,228 |
0,065 |
0,298 |
0,175 |
0,425 |
0,47 |
0,658 |
1,20 |
1,071 |
|
0,027 |
0,230 |
0,068 |
0,301 |
0,180 |
0,430 |
0,48 |
0,665 |
1,25 |
1,096 |
|
0,028 |
0,233 |
0,070 |
0,304 |
0,185 |
0,435 |
0,49 |
0,672 |
1,30 |
1,120 |
|
0,029 |
0,235 |
0,072 |
0,307 |
0,190 |
0,439 |
0,50 |
0,678 |
1,35 |
1,144 |
|
0,030 |
0,237 |
0,074 |
0,309 |
0,195 |
0,444 |
0,52 |
0,692 |
1,40 |
1,168 |
|
0,031 |
0,239 |
0,076 |
0,312 |
0,20 |
0,449 |
0,54 |
0,704 |
1,45 |
1,191 |
|
0,032 |
0,241 |
0,078 |
0,315 |
0,21 |
0,458 |
0,56 |
0,717 |
1,50 |
1,215 |
|
0,033 |
0,243 |
0,080 |
0,318 |
0,22 |
0,467 |
0,58 |
0,730 |
1,55 |
1,238 |
|
0,034 |
0,245 |
0,082 |
0,320 |
0,23 |
0,476 |
0,60 |
0,742 |
1,60 |
1,261 |
|
0,035 |
0,247 |
0,084 |
0,323 |
0,24 |
0,485 |
0,62 |
0,755 |
1,65 |
1,283 |
|
0,036 |
0,249 |
0,086 |
0,326 |
0,25 |
0,493 |
0,64 |
0,767 |
1,70 |
1,306 |
|
0,037 |
0,250 |
0,088 |
0,328 |
0,26 |
0,502 |
0,66 |
0,779 |
1,75 |
1,328 |
|
0,038 |
0,252 |
0,090 |
0,331 |
0,27 |
0,510 |
0,68 |
0,791 |
1,80 |
1,350 |
|
0,039 |
0,254 |
0,092 |
0,333 |
0,28 |
0,518 |
0,70 |
0,803 |
1,85 |
1,372 |
|
0,040 |
0,256 |
0,094 |
0,336 |
0,29 |
0,526 |
0,72 |
0,815 |
1,90 |
1,394 |
|
0,041 |
0,258 |
0,096 |
0,338 |
0,30 |
0,534 |
0,74 |
0,826 |
1,95 |
1,416 |
|
0,042 |
0,259 |
0,098 |
0,341 |
0,31 |
0,542 |
0,76 |
0,838 |
2,00 |
1,437 |
|
0,043 |
0,261 |
0,100 |
0,343 |
0,32 |
0,550 |
0,78 |
0,849 |
2,10 |
1,479 |
|
0,044 |
0,263 |
0,105 |
0,349 |
0,33 |
0,558 |
0,80 |
0,860 |
2,20 |
1,521 |
|
0,045 |
0,266 |
0,110 |
0,355 |
0,34 |
0,565 |
0,82 |
0,872 |
2,30 |
1,563 |
|
2,4 |
1,604 |
8,2 |
3,585 |
18,0 |
6,362 |
44,0 |
12,89 |
96 |
24,99 |
|
2,5 |
1,644 |
8,3 |
3,616 |
18,2 |
6,415 |
44,5 |
13,01 |
97 |
25,22 |
|
2,6 |
1,684 |
8,4 |
3,646 |
18,4 |
6,469 |
45,0 |
13,13 |
98 |
25,45 |
|
2,7 |
1,724 |
8,5 |
3,677 |
18,6 |
6,522 |
45,5 |
13,25 |
99 |
25,68 |
|
2,8 |
1,763 |
8,6 |
3,707 |
18,8 |
6,575 |
46,0 |
13,37 |
100 |
25,91 |
|
2,9 |
1,802 |
8,7 |
3,738 |
19,0 |
6,629 |
46,5 |
13,49 |
102 |
26,36 |
|
3,0 |
1,840 |
8,8 |
3,768 |
19,2 |
6,682 |
47,0 |
13,61 |
104 |
26,82 |
|
3,1 |
1,879 |
8,9 |
3,798 |
19,4 |
6,734 |
47,5 |
13,73 |
106 |
27,27 |
|
3,2 |
1,917 |
9,0 |
3,828 |
19,6 |
6,788 |
48,0 |
13,85 |
108 |
27,72 |
|
3,3 |
1,954 |
9,1 |
3,858 |
19,8 |
6,840 |
48,5 |
13,97 |
110 |
28,18 |
|
3,4 |
1,991 |
9,2 |
3,888 |
20,0 |
6,893 |
49,0 |
14,09 |
112 |
28,63 |
|
3,5 |
2,029 |
9,3 |
3,918 |
20,5 |
7,025 |
49,5 |
14,20 |
114 |
29,09 |
|
3,6 |
2,065 |
9,4 |
3,948 |
21,0 |
7,156 |
50 |
14,32 |
116 |
29,54 |
|
3,7 |
2,102 |
9,5 |
3,978 |
21,5 |
7,287 |
51 |
14,56 |
118 |
29,89 |
|
3,8 |
2,138 |
9,6 |
4,008 |
22,0 |
7,417 |
52 |
14,80 |
120 |
30,44 |
|
3,9 |
2,174 |
9,7 |
4,037 |
22,5 |
7,547 |
53 |
15,04 |
122 |
33,90 |
|
4,0 |
2,210 |
9,8 |
4,067 |
23,0 |
7,677 |
54 |
15,27 |
124 |
31,35 |
|
4,1 |
2,246 |
9,9 |
4,097 |
23,5 |
7,806 |
55 |
15,51 |
126 |
31,80 |
|
4,2 |
2,281 |
10,0 |
4,126 |
24,0 |
7,935 |
56 |
15,74 |
128 |
32,25 |
|
4,3 |
2,317 |
10,2 |
4,185 |
24,5 |
8,064 |
57 |
15,98 |
130 |
32,70 |
|
4,4 |
2,352 |
10,4 |
4,244 |
25,0 |
8,192 |
58 |
16,22 |
132 |
33,15 |
|
4,5 |
2,386 |
10,6 |
4,302 |
25,5 |
8,320 |
59 |
16,45 |
134 |
33,60 |
|
4,6 |
2,421 |
10,8 |
4,361 |
26,0 |
8,447 |
60 |
16,69 |
136 |
34,06 |
|
4,7 |
2,456 |
11,0 |
4,419 |
26,5 |
8,575 |
61 |
16,92 |
138 |
43,51 |
|
4,8 |
2,490 |
11,2 |
4,477 |
27,0 |
8,701 |
62 |
17,15 |
140 |
34,96 |
|
4,9 |
2,524 |
11,4 |
4,534 |
27,5 |
8,828 |
63 |
17,39 |
142 |
35,41 |
|
5,0 |
2,558 |
11,6 |
4,592 |
28,0 |
8,955 |
64 |
17,62 |
144 |
35,86 |
|
5,1 |
2,592 |
11,8 |
4,649 |
28,5 |
9,081 |
65 |
17,85 |
146 |
36,31 |
|
5,2 |
2,626 |
12,0 |
4,707 |
29,0 |
9,207 |
66 |
18,09 |
148 |
36,76 |
|
5,3 |
2,660 |
12,2 |
4,764 |
29,5 |
9,332 |
67 |
18,32 |
150 |
37,21 |
|
5,4 |
2,693 |
12,4 |
4,820 |
30,0 |
9,457 |
68 |
18,55 |
152 |
37,66 |
|
5,5 |
2,726 |
12,6 |
4,877 |
30,5 |
9,583 |
69 |
18,79 |
154 |
38,11 |
|
5,6 |
2,760 |
12,8 |
4,934 |
31,0 |
9,707 |
70 |
19,02 |
156 |
38,56 |
|
5,7 |
2,793 |
13,0 |
4,990 |
31,5 |
9,832 |
71 |
19,25 |
158 |
39,01 |
|
5,8 |
2,826 |
13,2 |
5,047 |
32,0 |
9,957 |
72 |
19,48 |
160 |
39,46 |
|
5,9 |
2,858 |
13,4 |
5,103 |
32,5 |
10,08 |
73 |
19,71 |
162 |
39,91 |
|
6,0 |
2,891 |
13,6 |
5,159 |
33,0 |
10,20 |
74 |
19,94 |
164 |
40,35 |
|
6,1 |
2,924 |
13,8 |
5,215 |
33,5 |
10,33 |
75 |
20,18 |
166 |
40,80 |
|
6,2 |
2,956 |
14,0 |
5,270 |
34,0 |
10,45 |
76 |
20,41 |
168 |
41,25 |
|
6,3 |
2,989 |
14,2 |
5,326 |
34,5 |
10,58 |
77 |
20,64 |
170 |
41,70 |
|
6,4 |
3,021 |
14,4 |
5,382 |
35,0 |
10,70 |
78 |
20,87 |
172 |
42,15 |
|
6,5 |
3,053 |
14,6 |
5,437 |
35,5 |
10,82 |
79 |
21,10 |
174 |
42,60 |
|
6,6 |
3,085 |
14,8 |
5,492 |
36,0 |
10,94 |
80 |
21,33 |
176 |
43,05 |
|
6,7 |
3,117 |
15,0 |
5,547 |
36,5 |
11,07 |
81 |
21,56 |
178 |
43,50 |
|
6,8 |
3,149 |
15,2 |
5,602 |
37,0 |
11,19 |
82 |
21,69 |
180 |
43,95 |
|
6,9 |
3,181 |
15,4 |
5,657 |
37,5 |
11,31 |
83 |
22,02 |
182 |
44,40 |
|
7,0 |
3,212 |
15,6 |
5,712 |
38,0 |
11,43 |
84 |
22,25 |
184 |
44,84 |
|
7,1 |
3,244 |
15,8 |
5,767 |
38,5 |
11,56 |
85 |
22,48 |
186 |
45,29 |
|
7,2 |
3,275 |
16,0 |
5,821 |
39,0 |
11,68 |
86 |
22,71 |
188 |
45,74 |
|
7,3 |
3,307 |
16,2 |
5,876 |
39,5 |
11,80 |
87 |
22,94 |
190 |
46,19 |
|
7,4 |
3,338 |
16,4 |
5,930 |
40,0 |
11,92 |
88 |
23,17 |
192 |
46,64 |
|
7,5 |
3,369 |
16,6 |
5,984 |
40,5 |
12,04 |
89 |
23,39 |
194 |
47,09 |
|
7,6 |
3,400 |
16,8 |
6,039 |
41,0 |
12,16 |
90 |
23,62 |
196 |
47,54 |
|
7,7 |
3,431 |
17,0 |
6,093 |
41,5 |
12,28 |
91 |
23,85 |
198 |
47,99 |
|
7,8 |
3,462 |
17,2 |
6,247 |
42,0 |
12,41 |
92 |
24,08 |
200 |
48,43 |
|
7,9 |
3,493 |
17,4 |
6,201 |
42,5 |
12,53 |
93 |
24,31 |
205 |
49,49 |
|
8,0 |
3,524 |
17,6 |
6,254 |
43,0 |
12,65 |
94 |
24,54 |
210 |
50,59 |
|
8,1 |
3,555 |
17,8 |
6,308 |
43,5 |
12,77 |
95 |
24,77 |
215 |
51,70 |
|
220 |
52,80 |
360 |
83,28 |
500 |
113,32 |
640 |
143,08 |
780 |
172,66 |
|
225 |
53,90 |
365 |
84,36 |
505 |
114,38 |
645 |
144,14 |
785 |
173,71 |
|
230 |
55,00 |
370 |
85,44 |
510 |
115,45 |
650 |
145,20 |
790 |
174,76 |
|
235 |
56,10 |
375 |
86,52 |
515 |
116,52 |
655 |
146,25 |
795 |
175,82 |
|
240 |
57,19 |
380 |
87,60 |
520 |
117,58 |
660 |
147,31 |
800 |
176,87 |
|
245 |
58,29 |
385 |
88,67 |
525 |
118,65 |
665 |
148,37 |
810 |
178,98 |
|
250 |
59,38 |
390 |
89,75 |
530 |
119,71 |
670 |
149,43 |
820 |
181,08 |
|
255 |
60,48 |
395 |
90,82 |
535 |
120,78 |
675 |
150,49 |
830 |
183,19 |
|
260 |
61,57 |
400 |
91,90 |
540 |
121,84 |
680 |
151,55 |
840 |
185,29 |
|
265 |
62,66 |
405 |
92,97 |
545 |
122,91 |
685 |
152,60 |
850 |
187,39 |
|
270 |
63,75 |
410 |
94,05 |
550 |
123,97 |
690 |
153,66 |
860 |
189,49 |
|
275 |
64,85 |
415 |
95,12 |
555 |
125,04 |
695 |
154,72 |
870 |
191,60 |
|
280 |
65,94 |
420 |
96,20 |
560 |
126,10 |
700 |
155,77 |
880 |
193,70 |
|
285 |
67,03 |
425 |
97,27 |
565 |
127,16 |
705 |
156,83 |
890 |
195,70 |
|
290 |
68,12 |
430 |
98,34 |
570 |
128,22 |
510 |
157,89 |
900 |
197,90 |
|
295 |
69,20 |
435 |
99,41 |
575 |
129,29 |
715 |
158,94 |
910 |
200,00 |
|
300 |
70,29 |
440 |
100,49 |
580 |
130,35 |
720 |
160,00 |
920 |
202,10 |
|
305 |
71,38 |
445 |
101,56 |
585 |
131,41 |
725 |
161,06 |
930 |
204,20 |
|
310 |
72,46 |
450 |
102,63 |
590 |
132,47 |
730 |
162,11 |
940 |
206,30 |
|
315 |
73,55 |
455 |
103,70 |
595 |
133,54 |
735 |
163,17 |
950 |
208,39 |
|
320 |
74,63 |
460 |
104,77 |
600 |
134,60 |
740 |
164,22 |
960 |
210,49 |
|
325 |
75,72 |
465 |
105,84 |
605 |
135,66 |
745 |
165,28 |
970 |
212,59 |
|
330 |
76,80 |
470 |
106,91 |
610 |
136,72 |
750 |
166,33 |
980 |
214,68 |
|
335 |
77,88 |
475 |
107,98 |
615 |
137,78 |
755 |
167,39 |
990 |
216,78 |
|
340 |
78,96 |
480 |
109,05 |
620 |
138,84 |
760 |
168,44 |
1000 |
218,87 |
|
345 |
80,04 |
485 |
110,11 |
625 |
139,90 |
765 |
169,50 |
1250 |
271,14 |
|
350 |
81,12 |
490 |
111,18 |
630 |
140,96 |
770 |
170,55 |
1600 |
343,90 |
|
355 |
82,20 |
495 |
112,25 |
635 |
142,02 |
775 |
171,60 |
2000 |
426,80 |
Ekonomikas ministra vietā –
veselības ministrs Guntis Belēvičs
Ekonomikas ministrijas iesniegtajā redakcijā
7.pielikums
Latvijas būvnormatīvam LBN 221-15
"Ēku iekšējais ūdensvads un kanalizācija"
(apstiprināts ar Ministru kabineta
2015.gada 30.jūnija
noteikumiem Nr.332)
Nomogramma sadzīves notekūdeņu caurplūduma noteikšanai atkarībā no uzstādīto sanitāri tehnisko ierīču normatīvā caurplūduma summas
Ekonomikas ministra vietā –
veselības ministrs Guntis Belēvičs
Ekonomikas ministrijas iesniegtajā redakcijā
8.pielikums
Latvijas būvnormatīvam LBN 221-15
"Ēku iekšējais ūdensvads un kanalizācija"
(apstiprināts ar Ministru kabineta
2015.gada 30.jūnija
noteikumiem Nr.332)
Ēku iekšējā ūdensapgādē lietojamie cauruļvadu materiāli un to savienojumi
1.tabula
|
Cauruļvada materiāls |
Savienojums |
Cauruļvada lietojums ēkās |
Piezīmes |
|||
|
gruntī |
ēkā |
|||||
|
Nomaināmie posmi (skat. 6.piezīmi) |
||||||
|
jā |
nē |
jā |
nē |
|||
|
1 |
2 |
3 |
4 |
5 |
6 |
7 |
| 1. Metāla caurules: | ||||||
| 1.1. ķets | nav |
c |
c |
bitumena vai betona izolācija, cinka pārklājums un bitumena izolācija v < 1,0 m/s | ||
| gumijas riņķis |
c |
c |
||||
| atloks |
c |
c |
||||
| drīvējums |
c |
c |
||||
| 1.2. cinkotais tērauds (skat. 1.piezīmi) | nav |
c |
c |
|||
| vītne |
c |
v ≤ 3,0 m/s | ||||
| atloks |
c |
c |
||||
| 1.3. nerūsējošais un ķīmiski izturīgais tērauds (skat. 1.piezīmi) | nav |
c |
c |
c, h |
c |
6,5 < pH < 9,0 |
| metinājums |
c |
c |
c, h |
c |
S ≥ 1,5 mm | |
| lodējums (skat. 5.piezīmi) |
c, h |
c |
v ≤ 15 m/s | |||
| vītne |
c, h |
|||||
| iemavas |
c, h |
|||||
| atloks (skat. 2.piezīmi) |
c |
c |
c,h |
c |
||
| 1.4. varš (skat. 3.piezīmi) | nav |
c, h |
c, h |
c, h |
c, h |
6,5 < pH < 9,0 |
| lodējums (skat. 5.piezīmi) |
c, h |
c, h |
c, h |
c, h |
pēc 2.tabulas | |
| blīvgredzens, aptvere, iemavas vai valcējums (skat. 2.piezīmi) |
c, h |
c, h |
||||
| atloks |
c, h |
c, h |
||||
| vītne |
c, h |
|||||
| 2. Plastmasas caurules: | v ≥ m/s c – maināma – 4 nemaināma – 2 h – nemaināma – 1,5 Minimāli pieļaujamais sieniņu biezums caurulēm D32, D50 un D75 mm ir 3,0 mm, caurulēm D110 un D160 mm – 3,2 mm |
|||||
| 2.1. PVC | nav |
c |
c |
c |
c |
|
| gumijas riņķis |
c |
c |
||||
| atloks |
c |
c |
||||
| 2.2. LDPE (skat. 4.piezīmi) | nav |
c |
c |
c |
c |
|
| atloks |
c |
c |
||||
| blīvgredzens, aptvere vai iemavas (skat. 2.piezīmi) |
c |
c |
||||
| 2.3. HDPE (skat. 4.piezīmi) | nav |
c |
c |
c |
c |
PP caurules nedrīkst montēt aiz vara caurulēm ūdens tecēšanas virzienā |
| metinājums |
c |
c |
c |
c |
||
| 2.4. MDPE (skat. 4.piezīmi) | gumijas riņķis |
c |
c |
|||
| atloks |
c |
c |
||||
| 2.5. PP | blīvgredzens, aptvere vai iemavas (skat. 2.piezīmi) |
c |
c |
|||
| 2.6. PEX | nav |
c, h |
c |
c, h |
c |
max t° = 70 °C |
| blīvgredzens, aptvere vai iemavas (skat. 2.piezīmi) |
c, h |
c, h |
||||
Piezīmes:
1. Vara caurules vienā sistēmā ar tērauda caurulēm jānovieto aiz tām ūdens
tecēšanas virzienā.
2. Misiņa detaļām, kas ir saskarē ar ūdeni, jābūt izturīgām pret
dezinfekcijas šķīdumu.
3. Vara caurules, kas ieguldītas mitrā režīma grīdas konstrukcijās,
jānodrošina ar hidroizolāciju un tām nedrīkst paredzēt veidgabalus.
4. Cauruļvadus nedrīkst ieguldīt gruntīs, kas satur eļļas un naftas
produktus.
5. Lodējuma sastāvā jābūt vismaz 2% sudraba.
6. Caurule tiek uzskatīta par nomaināmu, ja tās montāža nebojā celtniecības
konstrukcijas un ir:
6.1. redzama;
6.2. kanālā ar noņemamu segumu;
6.3. šahtā vai nišā, kur ir iespējams piekļūt;
6.4. čaulā, no kuras cauruli var izvilkt;
6.5. gruntī, ja caurule neatrodas zem pamata plātnes vai grūti izjaucamām
grīdām.
7. Cauruli uzskata par nenomaināmu, ja tā ir ieslēgta vai ielieta
būvkonstrukcijās.
8. Neplastificēta polivinilhlorīda caurulēm jāatbilst Latvijas nacionālo
standartu prasībām.
Apzīmējumi.
c, h - lieto aukstā un karstā ūdens apgādē;
c - lieto aukstā ūdens apgādē;
S - sieniņas biezums.
Pieļaujamie ūdens tecēšanas ātrumi vara caurulēs
2.tabula
|
Cauruļvada posms |
Montāžas veids |
Maksimāli pieļaujamie ātrumi (m/s) pie ūdens temperatūras °C |
Piezīmes |
|||
| Nozīme | 10 | 50 | 70 | 90 | ||
| Padeves un sadalošais tīkls | nomaināms | 4,0 | 3,0 | 2,5 | 2,0 | |
| nenomaināms | 2,0 | 1,5 | 1,3 | 1,0 | ||
| Pievads sanitāri tehniskai ierīcei | nomaināms | 16,0 | 12,0 | 10,0 | 8,0 | |
| nenomaināms | 4,0 | 3,0 | 2,5 | 2,0 | ||
| Nepārtraukti konstanta ūdens plūsma, arī cirkulācija | 1,0 | 1,0 | 1,0 | 1,0 | Projektējamais ūdens tecēšanas ātrums v = 0,5 m/s | |
Ēku iekšējā kanalizācijā lietojamie cauruļvadu materiāli un to savienojumi
3.tabula
|
Cauruļvada materiāls |
Savienojums |
Piezīmes |
|||||
|
aptvere |
gumijas riņķis |
mehāniskais |
līmējums |
metinājums |
lodējums |
||
|
1 |
2 |
3 |
4 |
5 |
6 |
7 |
8 |
| Ķets |
+ |
+ |
|||||
| Varš |
+ |
+ |
6,5 < pH < 9,0 |
||||
| Nerūsējošais tērauds |
+ |
+ |
+ |
||||
| Ķīmiski noturīgs tērauds |
+ |
||||||
| PVC |
+ |
+ |
+ |
||||
| HDPE |
+ |
+ |
+ |
+ |
|||
| PP |
+ |
+ |
|||||
Ekonomikas ministra vietā –
veselības ministrs Guntis Belēvičs
Ekonomikas ministrijas iesniegtajā redakcijā
9.pielikums
Latvijas būvnormatīvam LBN 221-15
"Ēku iekšējais ūdensvads un kanalizācija"
(apstiprināts ar Ministru kabineta
2015.gada 30.jūnija
noteikumiem Nr.332)
Sakarība starp spiediena un spiedienaugstuma mērvienībām
1.tabula
|
Mērvienības nosaukums |
Apzīmējums |
Mērvienība |
Pa |
bar |
Atm |
at |
m H2O |
mm Hg |
pz |
psi |
| Paskāls |
Pa |
N/m2 |
1 |
10-5 |
101325 |
1,0197 x 10-5 |
1,0196 x 10-4 |
7,5006 x 10-3 |
10 |
1,4504 x 10-4 |
| Bārs |
bar |
750,062 mm Hg |
105 |
1 |
9,8692 x 10-6 |
1,0197 |
10,1972 |
750,064 |
106 |
14,5038 |
| Fiziskā atmosfēra |
Atm |
760 mm Hg |
1,0133 x 105 |
1,0133 |
1 |
1,0332 |
10,3317 |
760 |
1,0132 x 10-6 |
14,696 |
| Tehniskā atmosfēra |
at |
kgf/cm2 |
9,8066 x 104 |
0,98067 |
0,9678 |
1 |
10 |
735,56 |
0,9807 x 10-6 |
14,2233 |
| Ūdens staba metrs |
m H2O |
m |
9806,65 |
9,8066 x 10-2 |
9,6789 x 10-2 |
0,1 |
1 |
73,556 |
98,066 |
1,4223 |
| Dzīvsudraba stabiņa milimetrs |
m Hg |
mm |
133,322 |
1,3332 x 10-3 |
1,3158 x 10-3 |
1,3595 x 10-2 |
1,3595 x 10-2 |
1 |
1333,33 |
1,9337 x 10-2 |
| Dins uz kvadrātcentimetru (puazs) |
pz |
dyn/cm2 |
0,1 |
10-6 |
0,9869 x 10-6 |
1,0197 x 10-2 |
1,0197 x 10-6 |
7,5 x 10-4 |
1 |
14,2234 |
| Spēka mārciņa uz kvadrātcollu |
psi |
lbf/m2 |
6,8947 x 103 |
6,8947 x 10-2 |
7,0307 x 10-2 |
0,7031 |
0,7031 |
51,7149 |
7,0307 x 10-2 |
1 |
Mērvienību decimālie daudzkārtņi
2.tabula
|
Reizinātāji |
Nosaukums |
Apzīmējums |
|
109 |
giga |
G |
|
106 |
mega |
M |
|
103 |
kilo |
k |
|
102 |
hekto |
h |
|
10-1 |
deci |
d |
|
10-2 |
centi |
c |
|
10-3 |
mili |
m |
|
10-6 |
mikro |
m |
|
10-9 |
nano |
n |
Ekonomikas ministra vietā –
veselības ministrs Guntis Belēvičs
Ekonomikas ministrijas iesniegtajā redakcijā
10.pielikums
Latvijas būvnormatīvam LBN 221-15
"Ēku iekšējais ūdensvads un kanalizācija"
(apstiprināts ar Ministru kabineta
2015.gada 30.jūnija
noteikumiem Nr.332)
Cirkulācijas koeficienta lielums karstā ūdens apgādes sistēmās
|
|
|
|
|
|
1,2 |
0,57 |
1,7 |
0,36 |
|
1,3 |
0,48 |
1,8 |
0,33 |
|
1,4 |
0,43 |
1,9 |
0,25 |
|
1,5 |
0,40 |
2,0 |
0,12 |
|
1,6 |
0,38 |
2,1 un vairāk |
0,00 |
Ekonomikas ministra vietā –
veselības ministrs Guntis Belēvičs
Ekonomikas ministrijas iesniegtajā redakcijā
11.pielikums
Latvijas būvnormatīvam LBN 221-15
"Ēku iekšējais ūdensvads un kanalizācija"
(apstiprināts ar Ministru kabineta
2015.gada 30.jūnija
noteikumiem Nr.332)
Nomogramma spārniņu komercuzskaites mēraparātu diametra noteikšanai
Ekonomikas ministra vietā –
veselības ministrs Guntis Belēvičs
Ekonomikas ministrijas iesniegtajā redakcijā
12.pielikums
Latvijas būvnormatīvam LBN 221-15
"Ēku iekšējais ūdensvads un kanalizācija"
(apstiprināts ar Ministru kabineta
2015.gada 30.jūnija
noteikumiem Nr.332)
Koeficienta φ1 noteikšana
|
|
Koeficients φ1 (%), ja nevienmērības koeficients stundā ir |
|||||||||
|
1,2 |
1,4 |
1,6 |
1,8 |
2 |
2,5 |
3 |
4 |
5 |
6 |
|
|
1,0 |
6,7 |
12,3 |
17,1 |
21,2 |
25,0 |
32,6 |
38,5 |
47,2 |
53,5 |
58,2 |
|
1,1 |
2,0 |
7,2 |
12,0 |
16,6 |
20,8 |
28,6 |
34,6 |
43,8 |
50,4 |
55,2 |
|
1,2 |
- |
3,3 |
7,9 |
12,3 |
16,0 |
24,1 |
30,6 |
40,3 |
47,2 |
52,5 |
|
1,3 |
- |
1,2 |
4,6 |
8,6 |
12,4 |
21,2 |
27,0 |
37,2 |
44,2 |
49,8 |
|
1,4 |
- |
- |
2,2 |
5,8 |
9,4 |
17,2 |
24,0 |
34,2 |
41,4 |
47,2 |
|
1,5 |
- |
- |
- |
3,1 |
6,3 |
14,0 |
20,7 |
31,1 |
38,8 |
44,7 |
|
1,6 |
- |
- |
- |
1,2 |
4,6 |
11,4 |
18,2 |
28,8 |
36,6 |
43,2 |
|
1,7 |
- |
- |
- |
- |
2,4 |
9,0 |
15,8 |
26,2 |
34,0 |
70,4 |
|
1,8 |
- |
- |
- |
- |
0,8 |
6,8 |
13,0 |
24,0 |
31,8 |
38,2 |
|
1,9 |
- |
- |
- |
- |
- |
4,8 |
10,8 |
21,4 |
29,6 |
36,0 |
|
2,0 |
- |
- |
- |
- |
- |
3,4 |
8,9 |
19,1 |
27,2 |
33,8 |
|
2,2 |
- |
- |
- |
- |
- |
0,6 |
5,6 |
15,2 |
23,6 |
30,2 |
|
2,4 |
- |
- |
- |
- |
- |
- |
3,1 |
11,8 |
19,8 |
26,5 |
|
2,6 |
- |
- |
- |
- |
- |
- |
1,2 |
9,0 |
16,8 |
23,2 |
|
2,8 |
- |
- |
- |
- |
- |
- |
0,6 |
6,4 |
13,8 |
20,2 |
|
3,0 |
- |
- |
- |
- |
- |
- |
- |
4,4 |
11,2 |
17,6 |
|
3,5 |
- |
- |
- |
- |
- |
- |
- |
0,4 |
6,0 |
12,0 |
|
4,0 |
- |
- |
- |
- |
- |
- |
- |
- |
2,6 |
7,4 |
Ekonomikas ministra vietā –
veselības ministrs Guntis Belēvičs
Ekonomikas ministrijas iesniegtajā redakcijā
13.pielikums
Latvijas būvnormatīvam LBN 221-15
"Ēku iekšējais ūdensvads un kanalizācija"
(apstiprināts ar Ministru kabineta
2015.gada 30.jūnija
noteikumiem Nr.332)
Koeficienta φ2 noteikšana
|
|
Ūdens padeves ilgums (%) |
Koeficients φ2 (%), ja nevienmērības koeficients stundā ir |
|||||||||
|
1,2 |
1,4 |
1,6 |
1,8 |
2,0 |
2,5 |
3 |
4 |
5 |
6 |
||
|
1,00 |
100 |
6,7 |
12,3 |
17,1 |
21,3 |
25,0 |
32,6 |
38,5 |
47,5 |
53,5 |
58,2 |
|
1,09 |
92 |
7,3 |
10,5 |
14,4 |
18,0 |
21,4 |
28,8 |
34,8 |
44,0 |
50,6 |
55,6 |
|
1,20 |
84 |
- |
11,5 |
13,6 |
16,1 |
18,8 |
25,3 |
31,1 |
40,3 |
47,2 |
52,5 |
|
1,33 |
75 |
- |
- |
14,4 |
15,6 |
17,5 |
22,4 |
27,5 |
36,4 |
43,4 |
48,9 |
|
1,50 |
67 |
- |
- |
- |
16,9 |
17,4 |
20,4 |
24,4 |
32,4 |
29,2 |
44,9 |
|
1,71 |
58 |
- |
- |
- |
- |
19,4 |
19,8 |
22,2 |
28,5 |
34,8 |
40,3 |
|
2,00 |
50 |
- |
- |
- |
- |
- |
21,1 |
21,4 |
25,3 |
30,4 |
35,4 |
|
2,40 |
42 |
- |
- |
- |
- |
- |
- |
23,0 |
23,4 |
26,6 |
30,5 |
|
3,00 |
33 |
- |
- |
- |
- |
- |
- |
- |
24,2 |
24,4 |
26,4 |
|
4,00 |
25 |
- |
- |
- |
- |
- |
- |
- |
- |
26,4 |
25,2 |
|
6,00 |
17 |
- |
- |
- |
- |
- |
- |
- |
- |
- |
33,5 |
Ekonomikas ministra vietā –
veselības ministrs Guntis Belēvičs
Ekonomikas ministrijas iesniegtajā redakcijā
14.pielikums
Latvijas būvnormatīvam LBN 221-15
"Ēku iekšējais ūdensvads un kanalizācija"
(apstiprināts ar Ministru kabineta
2015.gada 30.jūnija
noteikumiem Nr.332)
Sanitāri tehnisko ierīču ierīkošanas augstums
|
Sanitāri tehniskās ierīces nosaukums |
Ierīkošanas augstums (mm) no grīdas līdz sanitāri tehniskās ierīces augšējai malai |
|||
|
skolās |
bērnu uzraudzības pakalpojuma sniegšanas vietās un izglītības iestādes, kas īsteno pirmsskolas izglītības programmu, kā arī bērnu sociālās aprūpes iestādēs |
ārstniecības iestādēs |
pārējās ēkās |
|
| Roku mazgātne |
700 |
500 |
800 |
800 |
| Roku mazgātne pie kopēja jaucējkrāna ar vannu |
- |
- |
850 |
850 |
| Trauku mazgātne, mazgāšanas | ||||
| vanna un izlietne |
850 |
850 |
850 |
850 |
| Vanna drēbju un vaskadrānu mazgāšanai |
- |
- |
650-700 |
- |
| Vanna |
*) |
600 |
*) |
*) |
| Dušas vācele |
*) |
300 |
*) |
*) |
| Augstu novietotās klozetpoda skalošanas tvertne (līdz apakšai) |
1700-1800 |
1700-1800 |
1700-1800 |
1700-1800 |
| Viduārs |
- |
- |
400 |
- |
| Tvertne dezinfekcijas šķīdumam |
- |
- |
1230 |
- |
| Pie sienas novietots urināls |
450 |
- |
650 |
650 |
| Dzeramā ūdens strūklaka |
750 |
- |
- |
900 |
| Klozetpods |
*) |
330 |
*) |
*) |
| Dvieļu žāvētājs (līdz apakšai) |
1200 |
1200 |
1200 |
1200 |
| *) Nav normēts un ir atkarīgs no sanitāri tehniskās ierīces konstrukcijas | ||||
Piezīmes:
1. Sanitāri tehnisko ierīču ierīkošanas augstuma svārstības pieļaujamas
robežās ± 20 mm.
2. Iekavās dots sanitāri tehnisko ierīču ierīkošanas augstums bērniem līdz
trīs gadu vecumam.
3. Pie sienas novietotās ūdens izdales un jaukšanas armatūras augstums ir:
3.1 trauku mazgātnei, mazgāšanas vannai un izlietnei – 250 mm no augšējās
malas;
3.2. roku mazgātnei – 200 mm no augšējās malas;
3.3. ūdens izdales un jaucējkrānu vannai, klozetpoda skalošanas un pirts
krānam - 800 mm no grīdas;
3.4. viduāram – 800–1000 mm;
3.5. jaucējkrānam drēbju un vaskadrānu mazgāšanas vannai un ķirurgu roku
mazgātnēm slimnīcās un vannai ar roku mazgātni – 1100 mm;
3.6. laistīšanas krānam telpās – 600 mm;
3.7. dušas jaucējkrānam – 1200 mm.
4. Dušas siets jānovieto 2100 – 2250 mm augstumā no grīdas vai dušas vāceles
dibena, bet bērnudārzos – 1500 mm augstumā.
5. Uz sanitāri tehniskās ierīces novietotās ūdens izdales vai jaukšanas
armatūras ierīkošanas augstums ir atkarīgs no ierīces konstrukcijas.
Ekonomikas ministra vietā –
veselības ministrs Guntis Belēvičs