
Ministru kabineta noteikumi: Šajā laidienā 16 Pēdējās nedēļas laikā 63 Visi
Ministru kabineta noteikumi Nr.341
Rīgā 2015.gada 30.jūnijā (prot. Nr.30 54.§)
Noteikumi par Latvijas būvnormatīvu LBN 242-15 "Dabasgāzes ārējo gāzesvadu sistēma"
Izdoti saskaņā ar Būvniecības likuma
5.panta pirmās daļas 3.punktu
1. Noteikumi apstiprina Latvijas būvnormatīvu LBN 242-15 "Dabasgāzes ārējo gāzesvadu sistēma" (turpmāk – Latvijas būvnormatīvs LBN 242-15).
2. Ekonomikas ministrija iesaka nacionālajai standartizācijas institūcijai saistībā ar šiem noteikumiem izstrādājamo, adaptējamo un piemērojamo standartu sarakstu.
3. Nacionālā standartizācijas institūcija publicē tīmekļvietnē www.lvs.lv to Latvijas nacionālo standartu sarakstu, kurus piemēro Latvijas būvnormatīva LBN 242-15 izpildei.
4. Būvprojekti, kuri noteiktā kārtībā izstrādāti un saskaņoti līdz šo noteikumu spēkā stāšanās dienai atbilstoši attiecīgajā laikposmā piemēroto normatīvo aktu prasībām, nav jāpārstrādā atbilstoši Latvijas būvnormatīvā LBN 242-15 noteiktajām prasībām. Būvprojektus, kuri izstrādāti, pamatojoties uz plānošanas un arhitektūras uzdevumiem, kas izsniegti līdz 2014. gada 1. oktobrim, var nepārstrādāt atbilstoši šo noteikumu prasībām.
Ministru prezidente Laimdota Straujuma
Ekonomikas ministra vietā –
veselības ministrs Guntis Belēvičs
Ekonomikas ministrijas iesniegtajā redakcijā
Apstiprināts ar
Ministru kabineta
2015.gada 30.jūnija
noteikumiem Nr.341
Latvijas būvnormatīvs LBN 242-15 "Dabasgāzes ārējo gāzesvadu sistēma"
1. Vispārīgie jautājumi
1. Būvnormatīvs nosaka tehniskās prasības dabasgāzes ārējo gāzesvadu sistēmas, kā arī ārpus būvēm izvietoto gāzesvadu ar maksimālo darba spiedienu līdz 1,6 MPa (16 bar) projektēšanai, darbiem un pieņemšanai ekspluatācijā.
2. Būvnormatīvā lietoti šādi termini:
2.1. dabasgāzes ārējo gāzesvadu sistēma - (turpmāk – gāzesvadu sistēma) sadales un lietotāja gāzesvadi, noslēgierīces, iekārtas, aparatūra no pievienošanās vietas pārvades sistēmai līdz iekšējai gāzesvadu sistēmai;
2.2. dabasgāzes sadales sistēma - dabasgāzes cauruļvadu sistēma ar sistēmas iekārtām un komplektējošiem izstrādājumiem, no dabasgāzes pārvades sistēmas līdz lietotāja dabasgāzes apgādes sistēmas piederības robežai, ar darba spiedienu līdz 1,6 MPa (16 bar);
2.3. pievads - gāzesvadu sistēmas cauruļvads ar sistēmas iekārtām no pievienojuma vietas dabasgāzes sadales sistēmas gāzesvadam līdz ievada noslēgierīcei;
2.4. ievads - gāzesvada mezgls, kas paredzēts ārējo gāzesvadu sistēmas savienošanai ar iekšējo gāzesvadu sistēmu;
2.5. būvprojekts - gāzesvadu sistēmas būvniecības iecerei nepieciešamo grafisko un teksta dokumentu kopums;
2.6. tehniskais risinājums - sertificētas personas izstrādāts nepieciešamais grafisko un teksta dokumentu kopums, kas ataino gāzesvadu sistēmas būvdarbu un remontdarbu risinājumu;
2.7. darbi - būvdarbi, kurus veic gāzesvadu sistēmas ierīkošanai (montāžai, novietošanai), pārbūvei, atjaunošanai, iekonservēšanai un nojaukšanai (demontāžai), un remontdarbi, kurus veic gāzesvadu sistēmas drošai ekspluatācijai, avāriju novēršanai un seku likvidēšanai, kas ietver daļēju vai pilnīgu atsevišķu gāzesvadu, sistēmas iekārtu, komplektējošo izstrādājumu nomaiņu, u.c.;
2.8. apvalkcaurule - caurule, kas paredzēta gāzesvadu aizsardzībai pret ārējo slodžu iedarbību, mehāniskiem bojājumiem, klejojošām strāvām tā šķērsojuma vietās ar inženierbūvēm;
2.9. komplektējošie izstrādājumi - gāzesvadu sistēmas caurules, veidgabali, noslēgierīces, kompensatori, filtri, regulatori, apvalkcaurules, kontrolcaurulītes, kapes, kontrolmērpunkti un citi izstrādājumi;
2.10. izolējošs savienojums - savienojums, kas paredzēts cauruļvadu sistēmas elektrovadāmības pārtraukšanai;
2.11. noslēgierīce - ierīce, kas paredzēta gāzes plūsmas pārtraukšanai gāzesvadu sistēmā;
2.12. gāzes patēriņa skaitītājs - (turpmāk - PSK) skapī izvietota iekārta, kas ietver mērierīci gāzes patēriņa plūsmas tilpuma mērīšanai;
2.13. gāzes uzskaites mezgls - (turpmāk - GUM) telpā izvietota iekārta, kas ietver mērierīci gāzes patēriņa plūsmas tilpuma mērīšanai;
2.14. gāzes regulēšanas punkts - (turpmāk - GRP) iekārtu komplekss gāzesvadu sistēmā, kas paredzēts gāzes spiediena regulēšanai un tā uzturēšanai noteiktajās robežās neatkarīgi no gāzes patēriņa svārstībām, ar vai bez GUM;
2.15. gāzes regulēšanas mezgls - (turpmāk - GRM) iekārtu komplekss gāzesvadu sistēmā, kas paredzēts gāzes spiediena regulēšanai un tā uzturēšanai noteiktajās robežās neatkarīgi no gāzes patēriņa svārstībām, ar vai bez GUM, izvietots būves telpā, kurā uzstādītas iekārtas, kas patērē gāzi, vai būves telpā, kuru ar minēto telpu savieno bezdurvju aile;
2.16. skapjveida gāzes regulēšanas punkts - (turpmāk - SGRP) iekārtu komplekss gāzesvadu sistēmā, kas paredzēts gāzes spiediena regulēšanai un tā uzturēšanai noteiktajās robežās neatkarīgi no gāzes patēriņa svārstībām, ar vai bez GUM izvietots skapī un gāzes caurplūdi lielāku par 30 m3/h;
2.17. pazemes skapjveida gāzes regulēšanas punkts - (turpmāk - PSGRP) pazemē izvietots iekārtu komplekss, kas paredzēts gāzes spiediena regulēšanai un tā uzturēšanai noteiktajās robežās neatkarīgi no gāzes patēriņa svārstībām, ar vai bez GUM un gāzes caurplūdi lielāku par 30 m3/h;
2.18. mājas regulators - (turpmāk - MR) iekārta, kas paredzēta gāzes spiediena regulēšanai un tā uzturēšanai noteiktajās robežās neatkarīgi no gāzes patēriņa svārstībām, ar vai bez gāzes skaitītāja, izvietota skapī ar gāzes caurplūdi līdz 30 m3/h (ieskaitot);
2.19. mājas stabilizators - (turpmāk - MS) iekārta, kas paredzēta automātiskai gāzes spiediena uzturēšanai sistēmā neatkarīgi no gāzes patēriņa svārstībām, ar vai bez gāzes skaitītāja;
2.20. gāzes regulēšanas iekārtas - kopējs nosaukums dabasgāzes spiediena regulēšanas iekārtām - GRP, SGRP, PSGRP, GRM, MR un MS;
2.21. gāzes uzskaites iekārtas - kopējs nosaukums PSK un GUM;
2.22. elektroķīmiskās aizsardzības iekārtas - iekārtas, ar kuru pielietošanu tiek panākta pazemes tērauda gāzesvada korozijas potenciāla elektriskā kontrole, pretkorozijas aizsardzības nodrošināšanai;
2.23. sistēmas iekārtas - gāzesvadu sistēmas regulēšanas, uzskaites, katodaizsardzības, zibensaizsardzības, telemetrijas, mērīšanas, kā arī citas tehnoloģiskās iekārtas, kas izvietotas gāzesvadu sistēmā;
2.24. atļautais maksimālais dabasgāzes patēriņš stundā – lielākais dabasgāzes daudzums, ko lietotājs drīkst izmantot saskaņā ar sadales sistēmas operatora un lietotāja noslēgto līgumu;
2.25. izpūšana - process, kurā izvada gaisu vai inerto gāzi no gāzesvadu sistēmas, lai to aizstātu ar gāzi vai pretējs process;
2.26. kombinētā pārbaude - procedūra, kurā nosaka, vai gāzesvadu sistēma atbilst mehāniskās stiprības un hermētiskuma prasībām;
2.27. hermētiskuma pārbaude - procedūra, kurā nosaka, vai dabasgāzes gāzesvadu sistēma atbilst hermētiskuma prasībām;
2.28. maksimālais darba spiediens - maksimālais spiediens, ar kādu gāzesvadu sistēmu var pastāvīgi darbināt normālos darba apstākļos, ja nav ierīču darba režīma un gāzes plūsmas traucējumu;
2.29. stiprības pārbaude - procedūra, ar kuru nosaka, vai gāzesvadu sistēma atbilst mehāniskās stiprības prasībām;
2.30. pārbaudes spiediens - spiediens gāzesvadu sistēmā tās hermētiskuma un stiprības pārbaudes laikā;
2.31. spiediens - manometriskais spiediens, kas mērīts statiskā gāzes stāvoklī.
3. Gāzesvadu sistēmas projektēšanai, darbiem un pieņemšanai ekspluatācijā piemēro spēkā esošos normatīvos aktus, kā arī Latvijas nacionālo standartu (turpmāk - LVS) prasības, Latvijas nacionālo standartu statusā adaptēto starptautisko un citu standartizāciju organizāciju standartu prasības, un standartus, kurus tīmekļa vietnē www.lvs.lv ir publicējusi nacionālā standartizācijas institūcija, tajā skaitā:
3.1. LVS 417:2011 "Dabasgāzes sadales sistēmas un lietotāja dabasgāzes apgādes sistēmas. Ārējie gāzesvadi un regulēšanas iekārtas. Projektēšana." (turpmāk – LVS 417);
3.2. LVS 418:2010 "Gāzapgādes sistēmas. Ārējie gāzesvadi. Būvdarbi.";
3.3. LVS 419:2010 "Iekšējie gāzesvadi. Ierīkošana";
3.4. LVS 420:2010/AC:2014 "Gāzes iekārtas. Gāzes aparātu uzstādīšanas noteikumi";
3.5. LVS 421:2010/A1:2013 "Gāzes sadales un lietotāja sistēmas. Papildprasības polietilēna gāzesvadu projektēšanā, būvniecībā un remontā" (turpmāk – LVS 421);
3.6. LVS 423:2002/A1:2009 "Vispārīgās prasības tērauda pazemes gāzesvadu korozijaizsardzībai" (turpmāk - LVS 423);
3.7. LVS 445:2011 "Dabasgāzes sadales sistēmas un lietotāja dabasgāzes apgādes sistēmas ar maksimālo darba spiedienu līdz 1,6 MPa (16 bar) ekspluatācija un tehniskā apkope";
3.8. LVS 459:2014 "Dabasgāze. Gāzu īpašības, parametri, kvalitātes novērtēšana";
3.9. LVS 460:2014 "No atjaunojamiem energoresursiem iegūto gāzu izmantošana dabasgāzes pārvades sistēmā";
3.10. LVS EN 1127-1 "Sprādzienbīstama vide. Sprādziena novēršana un aizsardzība. 1.daļa: Pamatnorādījumi un metodoloģija";
3.11. LVS EN 10288:2003 "Tērauda caurules un veidgabali zemē un ūdenī iebūvētiem cauruļvadiem. Ekstrudēti divkārtu ārējie polietilēnpārklājumi";
3.12. LVS EN 10289:2003 "Tērauda caurules un veidgabali zemē un ūdenī iebūvētiem cauruļvadiem. Šķidrā veidā uzklātu epoksīdsveķu un epoksīdmodificētu materiālu ārējie pārklājumi";
3.13. LVS EN 10290:2003 "Tērauda caurules un veidgabali zemē un ūdenī iebūvētiem cauruļvadiem. Šķidrā veidā uzklātu poliuretāna un poliuretānmodificētu materiālu ārējie pārklājumi";
3.14. LVS EN 10300:2006 "Tērauda caurules un veidgabali zemē un ūdenī iebūvētiem cauruļvadiem. Karsti klājamie bitumena ārējā pārklājuma materiāli";
3.15. LVS EN 12007-2:2012 "Gāzes infrastruktūra. Cauruļvadi ar maksimālo pieļaujamo darba spiedienu līdz 16 bar ieskaitot. – 2.daļa: Īpašās funkcionālās prasības polietilēnam (MOP) līdz 10 bar ieskaitot" (turpmāk - LVS EN 12007-2);
3.16. LVS EN 12068:2001 "Katodaizsardzība - Ārējie organiskie pārklājumi pazemes vai zemūdens tērauda cauruļvadu korozijaizsardzībai un katodaizsardzībai - Lentes un sarūkošie materiāli.";
3.17. LVS ISO 12176-1:2013 "Plastmasas caurules un veidgabali. Iekārta polietilēna cauruļsistēmu savienošanai ar kausēšanu. 1.daļa: Sadurmetināšana" un standartam LVS ISO 12176-2 "Plastmasas caurules un veidgabali. Iekārta polietilēna cauruļsistēmu savienošanai ar kausēšanu. 2. daļa: Metināšana ar elektrouzmavām" (turpmāk - LVS ISO 12176-1);
3.18. LVS EN 12327:2012 "Gāzes infrastruktūra. Spiediena pārbaude, pieņemšana ekspluatācijā un ekspluatācijas pārtraukšanas kārtība. Funkcionālās prasības" (turpmāk - LVS EN 12327);
3.19. LVS EN 12732+A1:2014 "Gāzes infrastruktūra. Tērauda cauruļvadu metināšana. Funkcionālās prasības" (turpmāk - LVS EN 12732);
3.20. LVS EN 12954:2001 "Pazemes vai zemūdens metāla konstrukciju katodaizsardzība. Vispārējie principi un cauruļu pielietojums";
3.21. LVS EN ISO 14731:2008 "Metināšanas darbu uzraudzība. Uzdevumi, atbildība" (turpmāk - LVS EN ISO 14731);
3.22. LVS EN ISO 17637:2011 "Metināto šuvju nesagraujošā testēšana. Vizuālā pārbaude kausēšanas metināšanas savienojumiem" (turpmāk - LVS EN ISO 17637);
3.23. LVS EN ISO 21809-1:2011 "Naftas un dabasgāzes rūpniecība. Cauruļtransporta sistēmās pazemē vai zem ūdens lietojamu cauruļvadu ārējie pārklājumi. 1. daļa. Poliolefīna pārklājumi (trīs kārtu polietilēna (PE) un trīs kārtu polipropilēna (PP))";
3.24. LVS EN 60079 sērijas standarti par elektroierīcēm spārdzienbīstamu gāzu vidē– turpmāk saistošie standarti.
4. Projektējot gāzesvadu sistēmu vai izstrādājot tehniskos risinājumus, jānodrošina būvprojekta vai tehniskā risinājuma izstrāde vispārīgajos un speciālajos būvnoteikumos un citos saistošajos normatīvajos aktos noteiktā apjomā, kā arī ievērojot standartu, kurus tīmekļa vietnē www.lvs.lv ir publicējusi nacionālā standartizācijas institūcija., prasības.
5. Gāzesvadu sistēmu projektē, darbus veic un nodod ekspluatācijā tā, lai nodrošinātu tās drošu un nepārtrauktu apgādi ar dabasgāzi, energoefektīvu un inženiertehniskās kvalitātes principiem atbilstošu lietošanu visā tās ekspluatācijas laikā, kā arī nodrošinot atbilstību būvei izvirzāmajām būtiskajām prasībām.
6. Ja nav iespējams ievērot šajā būvnormatīvā un saistošajos normatīvajos aktos noteiktos nosacījumus, atkāpes no tām pieļaujamas, ar nosacījumu, ka tiek pamatots, kāpēc nav izmantots paredzētais risinājums un ka alternatīvos risinājumos tiek ievēroti šādi nosacījumi:
6.1. iespējams nodrošināt būvprojekta vai tehniskā risinājuma atbilstību šajā būvnormatīvā un saistošajos standartos noteiktajiem pamatprincipiem, Būvniecības likuma un citu normatīvo aktu prasībām;
6.2. attiecīgajos speciālajos būvnoteikumos noteiktajā kārtībā būvprojekts vai tehniskais risinājums ir saskaņots ar dabasgāzes sadales sistēmas operatoru un tehnisko noteikumu izsniedzējiem.
7. Gāzes sadales sistēmas projektē, pamatojoties uz gāzapgādes plānojumiem (shēmām) un teritorijas attīstības plānojumu, ņemot vērā LVS 417 noteiktās prasības.
8. Sistēmas iekārtām, kas uzstādītas GRP, SGRP, PSGRP, MS un MR gāzes regulēšanas iekārtās jāatbilst spēkā esošajiem normatīvajiem aktiem par sprādzienbīstamā vidē lietojamām iekārtām un aizsargsistēmām.
9. Gāzesvadu noslēgierīču, regulēšanas ierīču un citu izpildmehānismu elektropiedziņai jābūt sprādziendrošai atbilstoši spēkā esošajiem normatīvajiem aktiem par iekārtu elektrodrošību, elektromagnētisko saderību un sprādzienbīstamā vidē lietojamām iekārtām un aizsargsistēmām.
10. Dabasgāzes sadales sistēmas operators tehniskajos noteikumos un tehniskajā risinājumā nosaka telemehānikas un telemetrijas iekārtu nepieciešamību gāzesvadu sistēmā.
11. Gāzesvadu sistēmas gāzesvadu diametru nosaka hidrauliskajā aprēķinā, saskaņā ar LVS 417 noteiktajām prasībām, ar noteikumu, ka pie atļautā maksimālā gāzes patēriņa stundā tiek nodrošināta visu lietotāju nepārtraukta apgāde ar dabasgāzi.
12. Gadījumos, kad gāzapgāde ir ar dabasgāzi un plānota pāreja uz apgādi ar sašķidrināto naftas gāzi, gāzes vadu sistēma jāprojektē tā, lai to būtu iespējams vēlāk izmantot sašķidrinātai naftas gāzei, Atbilstoši Latvijas būvnormatīvam LBN 243 - 15 "Sašķidrinātās naftas gāzes iekšējo un ārējo gāzesvadu sistēma" prasībām
13. Atkarībā no gāzes spiediena gāzesvadu sistēmā ir šādas spiedienu kategorijas:
| 1. | Zemais spiediens | līdz 0,005 MPa (ieskaitot) | |
| 2. | Vidējais spiediens (I klase) | virs 0,005 MPa | līdz 0,01MPa (ieskaitot) |
| 3. | Vidējais spiediens (II klase) | virs 0,01 MPa | līdz 0,4 MPa (ieskaitot) |
| 4. | Augstais spiediens (I klase) | virs 0,4 MPa | līdz 0,6 MPa (ieskaitot) |
| 5. | Augstais spiediens (II klase) | virs 0,6 MPa | līdz 1,2 MPa (ieskaitot) |
| 6. | Augstais spiediens (III klase) | virs 1,2 MPa | līdz 1,6 MPa (ieskaitot) |
2. Būvizstrādājumi
14. Gāzesvadu sistēmas būvniecībā un remontdarbos izmanto ekspluatācijā drošus komplektējošos izstrādājumus un nokomplektētās sistēmas iekārtas, kuras atbilst Latvijas Republikas spēkā esošo normatīvo aktu prasībām paredzētajam būves lietojuma mērķim un to kvalitāte un atbilstība apliecināta normatīvajos aktos noteiktajā kārtībā.
3. Pazemes un virszemes gāzesvadi
15. Pazemes gāzesvados izmanto polietilēna un tērauda caurules ar atbilstošu izolāciju saskaņā ar LVS EN ISO 21809-1. Tērauda caurules lieto atbilstoši saistošajos standartos un citos normatīvajos aktos noteiktajām prasībām , kā arī, ja polietilēna caurules nevar lietot nepiemērota spiediena, transportējamās gāzes īpašību vai ekonomisku apsvērumu dēļ.
16. Polietilēna caurules atļauts izmantot gāzesvadiem ar spiedienu līdz 0,6 MPa.
17. Virszemes gāzesvadus būvē no tērauda caurulēm izvietojot tos uz ēku fasādēm, estakādēm vai balstiem.
18. Virszemes gāzesvadus aizsargā pret atmosfēras koroziju ar piemērotiem aizsargpārklājumiem.
19. Izņēmuma gadījumos ir atļauts būvēt virszemes gāzesvadu vietās, kur gāzesvads šķērso ceļu, dzelzceļu, upi vai citus šķēršļus.
20. Pazemes gāzesvadu ieguldīšanas dziļums un apvalkcaurules nepieciešamība nosakāma atbilstoši LVS 417 prasībām.
21. Pazemes un virszemes gāzesvada horizontālos un vertikālos attālumus līdz būvēm un inženiertīkliem nosaka saskaņā ar Ministru kabineta 2014.gada 30.septembra noteikumiem Nr.574 "Noteikumi par Latvijas būvnormatīvu LBN 008-14 "Inženiertīklu izvietojums"" (turpmāk - LBN 008).
22. Nav pieļaujama gāzesvadu izbūve tuneļos, kolektoros un tehniskos kanālos. Rūpniecisko uzņēmumu teritorijā tuneļos un tehniskajos kanālos var būvēt tērauda gāzesvadus, kas paredzēti spiedienam līdz 0,6 MPa.
23. Pazemes cauruļvadu savienojumi ir jāparedz neizjaucami. Izjaucami savienojumi virszemes cauruļvados ir pieļaujami komplektējošo izstrādājumu uzstādīšanas vietās.
24. Vietās, kur gāzesvads tiek ievadīts gruntī vai izvadīts grunts virspusē, paredz pastiprinātu izolācijas pārklājumu un apvalkcaurules gāzesvada mehāniskai aizsardzībai, kuras piepilda ar atbilstošiem elastīgiem materiāliem.
25. Pazemes tērauda gāzesvadu sistēmu atdala no virszemes gāzesvadiem un iekšējo gāzesvadu sistēmas ar izolējošiem savienojumiem, piemēram, uzmavām, atlokiem, monoblokiem.
26. Pazemes un virszemes gāzesvados paredz spiediena samazināšanas un izpūšanas vietas.
27. Gāzesvadu izpūšanai nepieciešamās noslēgierīces un pieslēgumus paredz vietās, kas nodrošina ekspluatācijas un remontdarbu iespējas.
3.1. Noslēgierīces pazemes un virszemes gāzesvados
28. Noslēgierīces gāzesvados paredz šādos gadījumos:
28.1. visu spiedienu gāzesvadu pievados un visu spiedienu gāzesvadu ievados pirms atsevišķām ēkām un starp ēku kompleksiem;
28.2. atsevišķu teritoriju un gāzesvadu posmu atvienošanai;
28.3. pirms gāzes regulēšanas iekārtām;
28.4. savstarpēji savienotās sistēmās pēc GRP, SGRP, GRM, GUM un PSGRP;
28.5. savstarpēji savienotās gāzesvadu sistēmās ūdensšķēršļu pārejām ar vairākiem gāzesvadiem vai ar vienu gāzesvadu, ja ūdensšķēršļa platums mazūdens horizontā ir 75 m vai lielāks, abās pusēs, savstarpēji nesavienotā gāzesvadu sistēmā - vienā pusē pirms ūdensšķēršļa pārejas gāzes plūsmas virzienā;
28.6. savstarpēji savienotās gāzesvadu sistēmās šķērsojot dzelzceļus un valsts nozīmes autoceļus abās pusēs, savstarpēji nesavienotā gāzesvadu sistēmā – vienā pusē pirms pārejas gāzes plūsmas virzienā.
29. Zemā spiediena un vidējā spiediena (I klase) pievados, ja uzskaites mezgls izvietots skapītī (PSK, MS un MR) un tas pieejams no ielas, noslēgierīces var neuzstādīt.
3.2. Ūdensšķēršļu un gravu pārejas
30. Projektējot gāzesvada pārejas pār ūdensšķēršļiem un gravām, ņem vērā pamatnes ģeoloģisko stāvokli un ūdenstilpes pamatnes iespējamās kustības, kā arī citu objektu esamību, piemēram, tiltus, pārceltuves, paredzot atbilstošus pasākumus gāzesvadu sistēmas aizsardzībai.
31. Vietās, kur gāzesvadi šķērso ūdensšķēršļus (upes, strautus, ūdenskrātuves, kanālus u.c.) un gravas tiltu tuvumā tie jāizvieto attālumā pa horizontāli saskaņā ar LVS 417 prasībām.
32. Gāzesvada augstumu no ūdens horizonta (arī palu ūdeņu) vai aprēķinātās ledus iešanas augstuma atzīmes līdz caurules apakšai vai pārejas laiduma konstrukcijai nosaka saskaņā ar LVS 417 prasībām.
33. Gāzesvadu zemūdens pārejām (dīķeriem) cauruļu specifikācija nosakāma saskaņā ar LVS 417 prasībām.
34. Ja ūdens šķēršļa platums mazūdens līmenī ir 75 m un vairāk, gāzesvada zemūdens pārejām (dīķeriem) jāparedz divi paralēli gāzesvadi.
35. Otru gāzesvadu var neparedzēt:
35.1. savstarpēji savienotās gāzesvadu sistēmās, kad, atvienojot gāzesvadu zemūdens pāreju (dīķeri), ir nodrošināta nepārtraukta gāzes padeve lietotājiem;
35.2. izbūvējot gāzesvadu, kas beidzas pie lietotāja;
35.3. izbūvējot gāzesvadu ar horizontālās vadāmās urbšanas metodi;
35.4. ja ir cits tehniski un ekonomiski pamatots iemesls.
36. Izbūvējot divus paralēlus gāzesvadus, katra gāzesvada diametrs jāizvēlas tā, lai nodrošinātu katra gāzesvada caurlaides spēju 0,75 no aprēķinātā gāzes patēriņa atbilstoši LVS 417 prasībām.
37. Izveidojot gāzesvadu zemūdens pāreju (dīķeri) ar vairākiem gāzesvadiem, attālumu starp gāzesvadiem izvēlas, ņemot vērā darbu veikšanai nepieciešamos attālumus.
3.3. Dzelzceļu, tramvaja sliežu ceļu un autoceļu pārejas
38. Vietās, kur gāzesvads šķērso dzelzceļus, tramvaja sliežu ceļus un autoceļu, minimālos attālumus līdz objektiem un citām inženierbūvēm nosaka saskaņā ar LBN 008 un LVS 417 prasībām.
39. Dzelzceļa zemes klātnē gāzesvadus būvēt aizliegts. Jebkura spiediena gāzesvadi apakšzemes pārejās zem dzelzceļiem atbilst šādām prasībām:
39.1. gāzesvadus ievieto apvalkcaurulē;
39.2. vietā, kur gāzesvads šķērso sliežu ceļu, gāzesvads un sliežu ceļš atrodas 90° leņķī viens pret otru, bet ierobežotā platībā - līdz 60° leņķī (pēc saskaņošanas ar sliežu ceļa īpašnieku);
39.3. vietā, kur gāzesvads šķērso sliežu ceļu, gāzesvada caurules sieniņu biezumu paredz saskaņā ar LVS 417 prasībām;
39.4. vietas, kur gāzesvads šķērso dzelzceļu, uzstāda gāzesvadu norādošo zīmi.
40. Autoceļu vai ielu šķērsojuma vietās nepieciešamību gāzesvadu ievietošanai apvalkcaurulēs nosaka būvprojektā vai tehniskajā risinājumā, saskaņojot to ar autoceļu vai ielu īpašnieku un dabasgāzes sadales sistēmas operatoru.
41. Ja gāzesvads šķērso pazemes komunikācijas un pārejas izbūvē lieto horizontāli vadāmās urbšanas metodi, apvalkcaurules nepieciešamību un izvietojumu nosaka būvprojektā vai tehniskajā risinājumā, saskaņojot to ar dabasgāzes sadales sistēmas operatoru.
42. Gāzes noplūdes kontrolcaurulītes un elektroaizsardzības kontrolvadītāja uzstādīšanas nepieciešamību uz apvalkcaurules galiem nosaka atbilstoši LVS 417 prasībām.
3.5. Pazemes gāzesvadu izvadi no zemes un ievadi ēkas
43. Pazemes gāzesvadu izvadi no zemes un ievadi ēkās projektējami un būvējami saskaņā ar LVS 417 prasībām, ievērojot ugunsdrošības noteikumus.
44. Gāzesvadu ievadus var izbūvēt caur ēku pamatiem, ja ir nodrošināts nepieciešamais hermētiskums, kā arī aizsardzība pret mehāniskiem bojājumiem un pamatu nosēšanos. Atļauts lietot tikai šim mērķim rūpnieciski izgatavotus pazemes ievada mezglus.
45. Gāzesvadu ievadus nav atļauts iebūvēt:
45.1. zem ēku pamatiem;
45.2. liftu telpās, pirmsliftu tehniskajās telpās, ēku automatizētās vadības un ugunsdzēsības vadības sistēmas ierīču telpās;
45.3. ventilācijas kondicionēšanas un dūmu izvades sistēmu telpās, kā arī kamerās un šahtās;
45.4. atkritumu savākšanas, transformatoru un elektrosadales telpās;
45.5. mašīntelpās;
45.6. ugunsbīstamās (ja ugunsslodze ir lielāka par 600 MJ/m2) telpās un noliktavās;
45.7. sprādziebīstamās telpās.
46. Gāzesvadu izvadus no zemes un ievadus ēkās izvieto pieejamās vietās, lai nodrošinātu to ekspluatācijas un remontdarbu iespējas.
47. Gāzesvadu ievadus izvieto ventilējamās telpās.
3.6. Tērauda gāzesvadu aizsardzība pret koroziju
48. Pazemes tērauda gāzesvadu un apvalkcauruļu pretkorozijas aizsardzību nodrošina ar izolācijas pārklājumiem un elektroķīmiskas aizsardzības līdzekļiem saskaņā ar LVS 423 prasībām.
49. Polietilēna gāzesvados iemontētiem tērauda cauruļvada posmiem, kuri nav garāki par 10 metriem, elektroķīmiskā aizsardzība nav nepieciešama.
50. Ja atjauno nolietotus tērauda gāzesvadus, ievelkot tajos polietilēna caurules, paredz pretkorozijas aizsardzības pasākumus tikai tiem tērauda gāzesvadu posmiem, kuri tiek izmantoti kā apvalkcaurules.
51. Elektroķīmiskas aizsardzības līdzekļus nosaka būvprojektā vai tehniskajā risinājumā, saskaņojot to ar dabasgāzes sadales sistēmas operatoru un tehnisko noteikumu izdevējiem.
52. Apvalkcaurulēm, kas izvietotas gāzesvada ieejā zemē un izejā no zemes, elektroķīmiska aizsardzība nav nepieciešama.
53. Izolējošie savienojumi ir nepieciešami:
53.1. tērauda gāzesvada ieejā zemē un izejā no zemes;
53.2. gāzes regulēšanas un uzskaites iekārtām ieejā un izejā, ja tās pievienotas pazemes tērauda gāzesvadiem;
53.3. lai atdalītu pazemes tērauda gāzesvadus no dabasgāzes iekšējās gāzesvadu sistēmas;
53.4. tērauda gāzesvada ievadā objektā, ja objekts ir klejojošo strāvu avots;
53.5. atsevišķu gāzesvada posmu elektroķīmiskas aizsardzības sistēmas atdalīšanai.
54. Izolējošie savienojumi nav nepieciešami, ja:
54.1. virszemes gāzesvada posma elektroizolācijai no balstiem un konstrukcijām lieto izolējošus paliktņus;
54.2. gāzes regulēšanas iekārtu tehnoloģiskās līnijas ir izolētas no balsta konstrukcijas.
55. Pazemes tērauda gāzesvadiem uzstāda kontrolmērpunktus ar intervālu ne lielāku par 200 m apdzīvotās vietās un ne lielāku par 500 m ārpus apdzīvotām vietām. Par kontrolmērpunktu var izmantot pazemes gāzesvada izvadus no zemes vai noslēgierīces, ja to konstrukcija ir tam piemērota.
3.7. Pazemes gāzesvadu pārbūve, atjaunošana un remontdarbi
56. Nepieciešamību veikt gāzesvadu pārbūvi, atjaunošanu vai remontdarbus un pielietojamo tehnoloģiju nosaka dabasgāzes sadales sistēmas operators, pamatojoties uz cauruļvada tehniskā stāvokļa novērtējumu, kā arī ņemot vērā gāzapgādes plānojumus (shēmas), cauruļvada ieguldīšanas dziļumu un citus faktorus. Paaugstinot spiedienu gāzesvadā, jāņem vērā normatīvajos aktos noteiktie ierobežojumi par aizsargjoslām, kā arī citu inženiertīklu novietojums.
57. Esošu pazemes tērauda gāzesvadu atjaunošanai, pārbūvei un remontdarbiem var izmantot:
57.1. ar gāzes spiedienu līdz 0,6 MPa - polietilēna caurules, tās ievelkot gāzesvados un savienojot tās ar elektrometināmiem veidgabaliem vai sadurmetināšanu, saglabājot esošā tērauda gāzesvada elektrisko nepārtrauktību;
57.2. ar gāzes spiedienu virs 0,6 MPa - gāzesvada iekšējās oderēšanas tehnoloģiju ar šim mērķim atbilstošu materiālu, saglabājot esošā tērauda gāzesvada elektrisko nepārtrauktību.
58. Gāzesvadu atjaunošanai, pārbūvei un remontdarbiem var lietot tehnoloģijas, kuras nav minētas šajā būvnormatīvā, ja tās atbilst piemērojamo standartu prasībām, kā arī nodrošina līdzvērtīgu gāzesvada kvalitāti un ekspluatācijas drošību.
59. Ievelkot esošajā pazemes tērauda gāzesvadā polietilēna caurules, papildus apvalkcaurules nav nepieciešamas.
60. Ievelkot esošajā pazemes tērauda gāzesvadā polietilēna caurules, telpā, kas atrodas starp ievilkto gāzesvadu un esošo gāzesvadu, atļauts ievilkt kabeļus ar spriegumu līdz 60V, kas paredzēti gāzesvadu sistēmas darbības nodrošināšanai.
61. Izmantojot gāzesvadu ievilkšanas metodi, polietilēna un tērauda cauruļu diametra attiecībai jābūt tādai, lai polietilēna cauruli un tā detaļas varētu brīvi ievietot tērauda caurulē, nesabojājot polietilēna cauruli. Gāzesvadu posmu galos noblīvē starptelpu starp tērauda un polietilēna cauruli atbilstoši lietoto materiālu ražotāja norādījumiem.
4. Gāzes regulēšanas iekārtas
62. Gāzes regulēšanas iekārtas projektē atbilstoši standartiem kurus tīmekļa vietnē www.lvs.lv ir publicējusi nacionālā standartizācijas institūcija..
63. Savstarpēji nesavienotā gāzesvadu sistēmā visos GRP, SGRP un PSGRP nepieciešamas divas reducēšanas līnijas, kuras katra atsevišķi nodrošina pilnu plānotā gāzes daudzuma caurplūdi.
64. Savstarpēji savienotā gāzesvadu sistēmā visos GRP, SGRP un PSGRP nepieciešams tāds reducēšanas līniju skaits, kas nodrošina nepārtrauktu un drošu gāzes padevi visiem lietotājiem.
5. Prasības ārējo gāzesvadu sistēmas būvniecībai
66. Polietilēna metināšanas iekārtas pārbauda izgatavotāju noteiktajos termiņos.
68. Polietilēna cauruļu savienošanai lieto elektrometināmus veidgabalus vai sadurmetināšanu.
69. Polietilēna gāzesvadu metinātos savienojumus veido atbilstoši standarta LVS EN 12007-2 un LVS 421 prasībām.
70. Polietilēna cauruļu sadurmetināšanai un metināšanai ar elektrouzmavām atļauts lietot tikai pilnīgi automātiskas metināšanas iekārtas, kas kontrolē un reģistrē sakausēšanas parametrus atbilstoši standartam LVS ISO 12176-1.
71. Metināmās tērauda caurules sagatavo, metināšanas piedevmateriālus izvēlas un metināšanas darbus veic atbilstoši standarta LVS EN 12732 prasībām.
72. Metinātājiem, kuri savieno metālmateriālus, un defektoskopistiem, kuri veic metināto savienojumu nesagraujošās pārbaudes, profesionālās kvalifikācijas sertifikāciju veic atbilstoši normatīvajiem aktiem par metālmateriālu metinātāju un defektoskopistu sertificēšanas kārtību reglamentētajā sfērā.
73. Pirms tērauda gāzesvadu metināšanas uzsākšanas metinātājs pierāda spēju veikt metināšanas darbus atbilstoši standartam LVS EN 12732.
74. Katram metinātāja sametinātājam gāzesvadu savienojumam nodrošina tā identifikāciju.
75. Metināšanas darbu uzraudzību veic atbilstoši standartu LVS EN ISO 14731 un LVS EN 12732 prasībām.
76. Tērauda gāzesvadu montāžas šuves, kas metinātas pēc stiprības un hermētiskuma pārbaudēm, pārbauda ar nesagraujošām kontroles metodēm saskaņā ar piemērojamajiem standartiem, bet polietilēna gāzesvadu montāžas šuves - vizuāli.
77. Visus metālmateriālu metinātos savienojumus pārbauda vizuāli atbilstoši standartiem LVS EN ISO 17637 un LVS EN 12732.
78. Gāzesvadu tērauda metināto savienojumu kvalitāti pārbauda atbilstoši standartam LVS EN 12732. Pēc dabasgāzes sadales sistēmas operatora vai pasūtītāja pieprasījuma pārbaudes apjomu var palielināt, kā arī veikt papildu pārbaudes.
79. Gāzesvadu metināto savienojumu kvalitātes pārbaužu rezultātus noformē atbilstoši saistošajiem normatīvajiem aktiem.
80. Ja metinātie savienojumi neatbilst kvalitātes prasībām, tos brāķē un izgriež. Pieļaujams labot ar elektroloku metinātos savienojumus un veikt atkārtotu kvalitātes pārbaudi.
6. Gāzesvadu un gāzes regulēšanas un uzskaites iekārtu pārbaudes
81. Par darbu kvalitāti un to atbilstību būvnormatīvu, piemērojamo standartu un citu normatīvo aktu prasībām ir atbildīgs darbu veicējs.
82. Gāzesvadu un gāzes regulēšanas un uzskaites iekārtu montāžas starpoperāciju un kvalitātes kontroli veic atbilstoši spēkā esošajiem normatīvajiem aktiem par spiedieniekārtām un to kompleksiem, piemērojamajiem standartiem un citiem saistošajiem normatīvajiem aktiem.
83. Dabasgāzes sadales sistēmas operators ir tiesīgs piedalīties montāžas starpoperāciju un darbu kvalitātes uzraudzīšanā.
84. Starpoperāciju pārbaudes veic:
84.1. gāzesvada trases nospraušanai;
84.2. gāzesvada ieguldīšanas dziļumam, kritumam, gultnei, apvalkcaurulēm;
84.3. gāzesvada aizsargpārklājumiem un elektroķīmiskai aizsardzībai;
84.4. gāzesvada aizbēršanai;
84.5. gāzesvada attīrīšana;
84.6. stiprībai un hermētiskumam;
84.7. polietilēna gāzesvadu signālvada ievietošanai;
84.8. pazemes gāzesvadu beztranšeju ieguldīšanai (horizontāli vadāmā urbšana, caurduršana, caurspiešana);
84.9. metinājumu kvalitātes pārbaudei;
84.10. sistēmas iekārtu uzstādīšanai.
85. Visiem būvētiem gāzesvadiem un gāzes regulēšanas un uzskaites iekārtām veic stiprības un hermētiskuma pārbaudi saskaņā ar šo noteikumu pielikuma 1., 2. un 3.tabulu.
86. Stiprības un hermētiskuma pārbaudi veic darbu veicējs. Pārbaudes rezultātus ieraksta būvdarbu pasē, gāzes regulēšanas un uzskaites iekārtām – tehniskajā pasē.
87. Pirms stiprības un hermētiskuma pārbaudes gāzesvadu sistēmu attīra. Attīrīšanas veidu nosaka būvprojektā vai tehniskajā risinājumā.
88. Veicot stiprības un hermētiskuma pārbaudes, gāzesvadus var sadalīt atsevišķos posmos, posmu garumu nosakot būvprojektā vai tehniskajā risinājumā, ievietojot slēgplāksnes atloku savienojumos, ar noslēgierīcēm un gala noslēgiem. Noslēgierīces drīkst izmantot kā robeželementu, ja pārbaudes spiediens nepārsniedz lielumu, kas pieļaujams attiecīgā tipa noslēgierīcei.
89. Gāzesvadu un gāzes regulēšanas un uzskaites iekārtu stiprību un hermētiskumu pārbauda pēc noslēgierīču, iekārtu, kā arī kontrolierīču un mērierīču uzstādīšanas. Ja noslēgierīces, iekārtas vai ierīces neatbilst pārbaudes spiedienam, tās vietā ieliek starpgabalu vai ievieto slēgplāksnes atloku savienojumos.
90. Gāzesvadu sistēmu stiprības un hermētiskuma pārbaudē lieto manometrus, kuru precizitātes klase ir vismaz 0,1 un maksimālais mērījumu diapazons 150 % no pārbaudes spiediena. Ja pārbaudes spiediens ir līdz 0,01 MPa, lieto elektroniskos manometrus vai šķidruma manometrus ar ūdens pildījumu. Barometriskā spiediena datus saņem no reģionālajām meteoroloģiskajām stacijām. Spiediena pārbaudēs atļauts lietot mērīšanas līdzekļus, kuri verificēti vai kalibrēti saskaņā ar normatīvajiem aktiem par mērījumu vienotību.
91. Hermētiskuma pārbaudi var veikt vienlaikus ar stiprības pārbaudi (kombinētā pārbaude), izmantojot to pašu vidi un spiedienu.
92. Stiprības un hermētiskuma pārbaudes veic ar inertu gāzi, izmantojot spiediena mērīšanas metodi atbilstoši standarta LVS EN 12327 prasībām. Pazemes gāzesvadiem, kā arī zemā un vidējā spiediena virszemes gāzesvadiem stiprību un hermētiskumu pārbauda ar inertās gāzes spiedienu. Augstā spiediena virszemes gāzesvadiem stiprību un hermētiskumu pārbauda ar inertās gāzes spiedienu, ievērojot būvprojektā vai tehniskajā risinājumā paredzētos īpašos drošības pasākumus. Izņēmuma gadījumā (lieli pārbaudāmā gāzesvada garumi, diametri) stiprības un hermētiskuma pārbaudes atļauts veikt ar gaisu, saņemot dabasgāzes sadales sistēmas operatora atļauju. Veicot pārbaudes ar gaisu, nodrošina, lai kopā ar pārbaudē izmantojamo gaisu gāzesvados neiekļūst mitrums un nerastos ūdens kondensāts.
93. Gāzesvada stiprības pārbaudes laikā nav pieļaujams spiediena kritums, kas pārsniedz piemērojamajos standartos noteikto. Izdarot gāzesvada stiprības pārbaudi, defektu meklēšanu drīkst uzsākt tikai pēc spiediena samazināšanas līdz normai, kāda hermētiskuma pārbaudei noteikta saskaņā ar piemērojamajiem standartiem.
94. Pazemes gāzesvadu stiprības pārbaudi atļauts veikt pēc to samontēšanas tranšejā un piebēršanas vismaz 0,2 m augstumā vai līdz būvprojektā vai tehniskā risinājumā noteiktām atzīmēm.
95. Pazemes gāzesvadu hermētiskumu pārbauda pēc to aizbēršanas līdz būvprojektā vai tehniskā risinājumā noteiktām atzīmēm. Pirms hermētiskuma pārbaudes gāzesvadā uztur pārbaudes spiedienu, lai temperatūra izlīdzinātos ar grunts temperatūru. Minimālais temperatūras izlīdzināšanas ilgums ir šāds:
95.1. gāzesvadam ar nosacīto diametru (DN) līdz 300 mm (ieskaitot) - 6 stundas;
95.2. gāzesvadam ar nosacīto diametru (DN) virs 300 mm līdz 500 mm (ieskaitot) - 12 stundu;
95.3. gāzesvadam ar nosacīto diametru (DN) virs 500 mm - 24 stundas.
96. Pazemes gāzesvada hermētiskuma pārbaudes laikā faktiskais spiediena kritums nedrīkst pārsniegt aprēķināto pieļaujamo vērtību, kuru nosaka, izmantojot šādu formulu:
, kur
ΔP - pieļaujamais spiediena kritums (KPa);
ΔP’ - pieļaujamais spiediena kritums (mm Hg);
d - gāzesvada iekšējais diametrs (mm);
T - pārbaudes laiks (h).
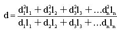
97. Ja gāzesvads sastāv no cauruļvadu posmiem, kuriem ir dažāds diametrs (d1, d2, d3...dn):
97.1.vidējo iekšējo diametru aprēķina, izmantojot šādu formulu:
, kur
d1, d2 , d3...dn - gāzesvada posmu iekšējais diametrs (mm);
l1, l2, l3...ln - attiecīgā diametra gāzesvada posma garums (m);
97.2. faktisko spiedienu gāzesvadā ΔPf (kPa vai mm Hg) pārbaudes laikā aprēķina, izmantojot šādu formulu:
ΔPf = (P1 + B1) – (P2 + B2) , kur
P1 un P2 - manometra rādījumi pārbaudes sākumā un beigās (kPa vai mm Hg);
B1 un B2 - barometra rādījumi pārbaudes sākumā un beigās (kPa vai mm Hg).
98. Apvalkcaurulēs ievietotos gāzesvada posmus ūdensšķēršļu, dzelzceļu, tramvaja sliežu ceļu un autoceļu pārejās pārbauda trijās stadijās:
98.1. stiprības pārbaude - pēc posma vai tā daļas sametināšanas pirms iebūves pārejā;
98.2. hermētiskuma pārbaude - pēc iebūves pārejā, visu pārejas darbu pabeigšanas un gāzesvada aizbēršanas;
98.3. hermētiskuma pārbaude - kopā ar visa gāzesvada hermētiskuma pārbaudi.
99. Gāzesvada hermētiskumu ūdensšķēršļu, dzelzceļu, tramvaja sliežu ceļu un autoceļu pārejās var nepārbaudīt pirms iebūves pārejā, ja tiek veikta gāzesvada beztranšejas ieguldīšana. Ja zemūdens pāreju veido viena caurule bez metinātiem savienojumiem pārejas posmā, to var pārbaudīt vienlaikus ar visu pārbaudāmo gāzesvadu.
100. Pirms virszemes gāzesvadu un gāzes regulēšanas, un uzskaites iekārtu hermētiskuma pārbaudes tos piepilda ar inertu gāzi, pārbaudes spiedienu uztur tik ilgi, kamēr izlīdzinās inertās gāzes temperatūra gāzesvadā un apkārtējās vides gaisa temperatūra.
101. Veicot gāzes regulēšanas un uzskaites iekārtu montāžu būvlaukumā, cauruļvadus, iekārtas un ierīces pārbauda visas kopā kā vienu iekārtu no ieejas līdz izejas noslēgierīcei, ņemot vērā pārbaudes spiediena normas ieejas pusē.
102. Stiprības un hermētiskuma pārbaudēs konstatētos trūkumus (defektus) novērš pēc spiediena pazemināšanas gāzesvadā līdz atmosfēras spiedienam. Stiprības pārbaudes laikā konstatētos trūkumus novērš līdz gāzesvada hermētiskuma pārbaudei.
103. Pēc tam kad novērsti stiprības vai hermētiskuma pārbaudē konstatētie trūkumi, veic atkārtotu stiprības un hermētiskuma pārbaudi.
7. Pieņemšana ekspluatācijā
104. Pēc darbu veikšanas darbu veicējs sastāda pazemes un virszemes gāzesvadu un gāzes regulēšanas iekārtu būvdarbu pasi. Sistēmas iekārtas tehnisko pasi sastāda izgatavotājs.
105. Darbu veicējs gāzesvadu sistēmā darbu izpildes gaitu uzrāda pasūtītājam vai tā būvuzraugam un dabasgāzes sadales sistēmas operatoram izpildītās starpoperācijas un darbu pārbaudes atbilstoši normatīvajos aktos noteiktajām prasībām. Būvizstrādājumu kvalitāti un atbilstību paredzētajam mērķim apliecina būvdarbu pasē.
106. Gāzesvadu sistēmas un tās iekārtu gatavību pieņemšanai ekspluatācijā apliecina ar atzinumiem par gatavību ekspluatācijai.
107. Izbūvēto gāzesvadu sistēmu atļauts pievienot ekspluatācijā esošai gāzesvadu sistēmai pēc tam, kad par izbūvēto gāzesvadu sistēmu ir saņemts atzinums par gatavību ekspluatācijai atbilstoši būvnoteikumiem un saistošajiem standartiem un pasūtītājs ir iesniedzis attiecīgus dokumentus dabasgāzes sadales sistēmas operatoram, un operators ir pārbaudījis, vai lietotājs ir izpildījis dabasgāzes piegādes un lietošanas un sistēmas pieslēguma noteikumu prasības.
Ekonomikas ministra vietā –
veselības ministrs Guntis Belēvičs
Ekonomikas ministrijas iesniegtajā redakcijā
Pielikums
Latvijas būvnormatīvam LBN 242-15
"Dabasgāzes ārējo gāzesvadu sistēma"
(apstiprināts ar Ministru kabineta
2015.gada 30.jūnija
noteikumiem Nr.341)
Gāzesvadu un gāzes regulēšanas un uzskaites iekārtu stiprības un hermētiskuma pārbaudes prasības
1.tabula
Pazemes gāzesvadi
| Nr.p.k. | Klasifikācija |
Maksimālais darba spiediens |
Stiprības pārbaude |
Hermētiskuma pārbaude |
|||
|
Pārbaudes spiediens |
Pārbaudes ilgums |
Pārbaudes spiediens |
Pārbaudes ilgums |
Pieļaujamais spiediena kritums |
|||
| 1. | Zemā spiediena gāzesvadi |
< 0,005 |
0,6 |
1 |
0,1 |
24 |
Nosaka, izmantojot formulu (1) |
| 2. | Atsevišķi zemā spiediena gāzesvadu pievadi un ievadi ar Dn līdz 100 mm |
< 0,005 |
0,6 |
1 |
0,1 |
1 |
Nosaka, izmantojot formulu (1) |
| 3. | Vidējais spiediens (I klase) |
0,005< 0,01 |
0,6 |
1 |
0,1 |
24 |
Nosaka, izmantojot formulu (1) |
| 4. | Vidējā spiediena gāzesvadi (II klase) |
0,01 < 0,4 |
0,6 |
1 |
0,4 |
24 |
Nosaka, izmantojot formulu (1) |
| 5. | Augstā spiediena gāzesvadi |
> 0,4 < 0,6 |
0,8 |
1 |
0,6 |
24 |
Nosaka, izmantojot formulu (1) |
| 6. | Augstā spiediena gāzesvadi |
> 0,6 < 1,2 |
1,6 |
1 |
1,2 |
24 |
Nosaka, izmantojot formulu (1) |
| 7. | Augstā spiediena gāzesvadi |
>1,2 < 1,6 |
2,1 |
1 |
1,6 |
24 |
Nosaka, izmantojot formulu (1) |
2.tabula
Virszemes gāzesvadi
| Nr. p.k. |
Klasifikācija |
Maksimālais darba spiediens |
Stiprības pārbaude |
Hermētiskuma pārbaude |
|||
|
Pārbaudes spiediens |
Pārbaudes ilgums |
Pārbaudes spiediens |
Pārbaudes ilgums |
Pieļaujamais spiediena kritums |
|||
| 1. | Zemā spiediena gāzesvadi |
≤ 0,005 |
0,3 |
1 |
0,1 |
0,5 |
Pēc manometra rādījuma nav pieļaujams |
| 2. | Atsevišķi zemā spiediena gāzesvadu ievadi ar Dn līdz 100 mm |
≤ 0,005 |
0,3 |
1 |
0,01 |
0,5 |
Pēc manometra rādījuma nav pieļaujams |
| 3. | Vidējais spiediens (I klase) |
0,005<0,01 |
0,3 |
1 |
0,1 |
0,5 |
Pēc manometra rādījuma nav pieļaujams |
| 4. | Vidējā spiediena gāzesvadi (II klase) |
0,01 < 0,4 |
0,6 |
1 |
0,4 |
0,5 |
Pēc manometra rādījuma nav pieļaujams |
| 5. | Augstā spiediena gāzesvadi |
> 0,4 < 0,6 |
0,8 |
1 |
0,6 |
0,5 |
Pēc manometra rādījuma nav pieļaujams |
| 6. | Augstā spiediena gāzesvadi |
> 0,6 < 1,2 |
1,6 |
1 |
1,2 |
0,5 |
Pēc manometra rādījuma nav pieļaujams |
| 7. | Augstā spiediena gāzesvadi |
> 1,2 < 1,6 |
2,1 |
1 |
1,6 |
0,5 |
Pēc manometra rādījuma nav pieļaujams |
3.tabula
Gāzes regulēšanas un uzskaites iekārtas un to cauruļvadi
| Nr.p.k. | Klasifikācija |
Maksimālais darba spiediens |
Stiprības pārbaude |
Hermētiskuma pārbaude |
|||
|
Pārbaudes spiediens |
Pārbaudes ilgums |
Pārbaudes spiediens |
Pārbaudes ilgums |
Pieļaujamais spiediena kritums |
|||
| 1. | Zemā spiediena iekārtas |
< 0,005 |
0,3 |
1 |
0,1 |
12 |
1 % no pārbaudes spiediena |
| 2. | Vidējais spiediens (I klase) |
0,005 < 0,01 |
0,6 |
1 |
0,4 |
12 |
1 % no pārbaudes spiediena |
| 3. | Vidējā spiediena gāzesvadi (II klase) |
0,01 < 0,4 |
0,6 |
1 |
0,4 |
12 |
1 % no pārbaudes spiediena |
| 4. | Augstā spiediena iekārtas |
> 0,4 < 0,6 |
0,8 |
1 |
0,6 |
12 |
1 % no pārbaudes spiediena |
| 5. | Augstā spiediena iekārtas |
> 0,6 < 1,2 |
1,6 |
1 |
1,2 |
12 |
1 % no pārbaudes spiediena |
| 6. | Augstā spiediena iekārtas |
> 1,2 < 1,6 |
2,1 |
1 |
1,6 |
12 |
1 % no pārbaudes spiediena |
Ekonomikas ministra vietā –
veselības ministrs Guntis Belēvičs