
Jūrmalas pilsētas domes saistošie noteikumi: Šajā laidienā 2 Pēdējās nedēļas laikā 0 Visi
Jūrmalas pilsētas domes saistošie noteikumi Nr.28
Jūrmalā 2014.gada 9.oktobrī (prot. Nr.15, 4.p.)
Grozījumi Jūrmalas pilsētas domes 2010.gada 4.februāra saistošajos noteikumos Nr.6 "Jūrmalas pilsētas pašvaldības nolikums"
Izdoti saskaņā ar likuma "Par pašvaldībām"
21.panta pirmās daļas 1.punktu un 24.pantu
Izdarīt Jūrmalas pilsētas domes 2010.gada 4.februāra saistošajos noteikumos Nr.6 "Jūrmalas pilsētas pašvaldības nolikums" (turpmāk – saistošie noteikumi) šādus grozījumus:
1. Papildināt saistošos noteikumus ar 17.1.19.punktu un izteikt to šādā redakcijā:
"17.1.19. mantas novērtēšanas un izsoļu komisija".
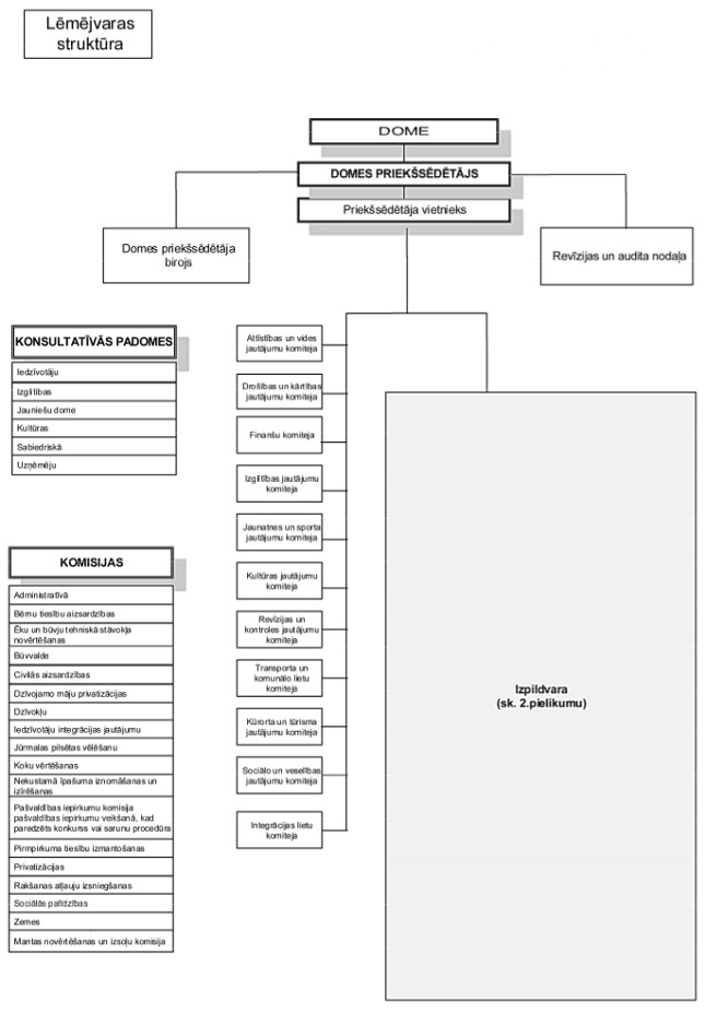
2. Saistošo noteikumu 1. un 2.pielikumu izteikt jaunā redakcijā saskaņā ar šo saistošo noteikumu 1. un 2.pielikumu.
Jūrmalas pilsētas domes priekšsēdētājs G.Truksnis
1.pielikums
Jūrmalas pilsētas domes
2014.gada 9.oktobra saistošajiem noteikumiem Nr.28
(prot. Nr.15, 4.p.)
2.pielikums
Jūrmalas pilsētas domes
2014.gada 9.oktobra saistošajiem noteikumiem Nr.28
(prot. Nr.15, 4.p.)
Paskaidrojuma raksts
Jūrmalas pilsētas pašvaldības 2014.gada 9.oktobra saistošajiem noteikumiem Nr.28
"Grozījumi Jūrmalas pilsētas domes 2010.gada 4.februāra saistošajos noteikumos
Nr.6 "Jūrmalas pilsētas pašvaldības nolikums""
| Paskaidrojuma raksta sadaļas | Norādāmā informācija |
| 1. Īss projekta satura izklāsts | Atbilstoši likuma "Par
pašvaldībām" 24.panta pirmajai daļai pašvaldības nolikums ir saistošie
noteikumi, kas nosaka pašvaldības pārvaldes organizāciju, lēmumu
pieņemšanas kārtību, iedzīvotāju tiesības un pienākumus vietējā
pārvaldē, kā arī citus pašvaldības darba organizācijas jautājumus. Pamatojoties uz Publiskas personas mantas atsavināšanas likuma 8.panta septīto daļu un 9.panta otro daļu, lai izvērtētu pašvaldības īpašumā esošo nekustamo īpašumu – apbūvētu un neapbūvētu zemesgabalu, to domājamo daļu atsavināšanas procesus, vērtējumus, cenas ietekmējošos faktorus, nosacītās cenas noteikšanas jautājumus un apstiprinātu nosacīto cenu, kā arī izskatītu citus ar pašvaldības nekustamo īpašumu vērtību saistītos jautājumus, izveidojama mantas novērtēšanas un izsoļu komisija. |
| 2. Projekta nepieciešamības pamatojums | Ar grozījumiem tiek papildināta pašvaldības izpildvaras un lēmējvaras struktūra un nolikuma pielikumā esošās struktūrshēmas, izveidojot mantas novērtēšanas un izsoļu komisiju, kā arī Pilsētsaimniecības pārvaldes Saimniecības nodaļu pievienojot Administratīvi juridiskajai pārvaldei. |
| 3. Informācija par plānoto projekta ietekmi uz pašvaldības budžetu | Saistošo noteikumu projekta īstenošanas nodrošināšanai nav nepieciešami grozījumi pašvaldības atlīdzības fonda ietvaros. |
| 4. Informācija par plānoto projekta ietekmi uz uzņēmējdarbības vidi pašvaldības teritorijā | Nav attiecināms. |
| 5. Informācija par administratīvajām procedūrām | Līdzšinējās administratīvās procedūras netiek mainītas. |
| 6. Informācija par konsultācijām ar privātpersonām | Saistošo noteikumu izstrādē nav nepieciešama konsultēšanās ar privātpersonām, jo tie neierobežo sabiedrības intereses. |
Jūrmalas pilsētas domes priekšsēdētājs G.Truksnis