
Ministru kabineta noteikumi: Šajā laidienā 6 Pēdējās nedēļas laikā 44 Visi
Ministru kabineta noteikumi Nr.367
Rīgā 2014.gada 1.jūlijā (prot. Nr.36 19.§)
Reģionālās attīstības uzraudzības un novērtēšanas kārtība
Izdoti saskaņā ar Reģionālās attīstības likuma
14.panta 4. un 5.punktu
I. Vispārīgie jautājumi
1. Noteikumi nosaka kārtību, kādā tiek veikta reģionālās attīstības uzraudzība un novērtēšana, tajā skaitā to, kā šim nolūkam tiek izmantota reģionālās attīstības indikatoru moduļa (turpmāk – modulis) darbībā iesaistīto institūciju informācijas apmaiņa (datu saturs, informācijas ieguves, apstrādes, glabāšanas un izplatīšanas kārtība, datu apmaiņas kārtība starp citām valsts informācijas sistēmām), kā arī teritorijas attīstības indeksa aprēķināšanas un vērtību publicēšanas, analītisko ziņojumu par reģionālo attīstību sagatavošanas un publicēšanas kārtība.
2. Šo noteikumu izpratnē reģionālās attīstības uzraudzības un novērtēšanas sistēmas darbība ir nepārtraukta un sistemātiska reģionālajai attīstībai nozīmīgu datu vākšana, apstrāde un reģionālo attīstības tendenču analīze par valsti kopumā vai atsevišķām tās daļām, lai iegūtu lēmumu sagatavošanai un pieņemšanai nepieciešamo informāciju, novērtētu īstenoto politiku, tajā skaitā sniedzot atbalstu atbildīgajām institūcijām attīstības plānošanas dokumentu, tiesību aktu, valsts, Eiropas Savienības un ārvalstu finanšu atbalsta pasākumu izstrādē.
3. Reģionālās attīstības uzraudzības un novērtēšanas sistēmas darbību nodrošina, izmantojot moduli, kas ir Vides aizsardzības un reģionālās attīstības ministrijas (turpmāk – ministrija) pārziņā esošās valsts informācijas sistēmas – Teritorijas attīstības plānošanas informācijas sistēmas sastāvdaļa:
3.1. moduļa darbībā iesaistīto institūciju informācijas apmaiņa attiecas uz datu saturu, informācijas ieguves, apstrādes, glabāšanas un izplatīšanas kārtību, kā arī datu apmaiņas kārtību starp citām valsts informācijas sistēmām;
3.2. moduļa darbības ietvaros tiek veidoti analītiskie ziņojumi par reģionālo attīstību;
3.3. moduļa dati tiek glabāti centralizētā datubāzē. Modulis nodrošina tajā apstrādājamo datu apmaiņu automatizētā tiešsaistes datu pārraides režīmā;
3.4. ja modulis tiek likvidēts, tā datus normatīvajos aktos noteiktajā kārtībā nodod turpmākai glabāšanai Latvijas Nacionālajā arhīvā.
II. Reģionālās attīstības uzraudzībā un novērtēšanā iesaistītās institūcijas un to kompetence
4. Reģionālās attīstības uzraudzību un novērtēšanu:
4.1. veic ministrija un Valsts reģionālās attīstības aģentūra (turpmāk – aģentūra);
4.2. ir tiesīgi veikt plānošanas reģioni un pašvaldības, atbilstoši kompetencei – valsts tiešās pārvaldes iestādes.
5. Ministrija:
5.1. nodrošina un koordinē reģionālās attīstības uzraudzības un novērtēšanas metodisko un informācijas tehnoloģiju risinājumu pilnveidošanu valsts mērogā;
5.2. sniedz priekšlikumus atbildīgajai institūcijai pašvaldību un plānošanas reģionu interesējošo statistikas rādītāju iekļaušanai Valsts statistiskās informācijas programmā, lai nodrošinātu reģionālās attīstības uzraudzību un novērtēšanu;
5.3. katru gadu sagatavo un aģentūra publicē modulī analītisko ziņojumu par Eiropas Savienības fondu ieguldījumiem un uzraudzības rādītājiem Latvijas administratīvajās teritorijās. Analītiskais ziņojums ir publiski pieejams;
5.4. nodrošina moduļa datu izmantošanu atbilstoši to ieguves mērķiem, kā arī moduļa pilnveidošanu sadarbībā ar reģionālās attīstības uzraudzības un novērtēšanas sistēmas darbībā iesaistītajām institūcijām.
6. Aģentūra:
6.1. nodrošina moduļa programmatūras un tehnisko resursu darbību, kā arī informācijas apriti;
6.2. nodrošina moduļa lietošanas noteikumu izstrādi un apstiprināšanu visām lietotāju grupām, kā arī nodrošina moduļa lietotāju pārvaldību un atbalstu;
6.3. nodrošina automātisku auditācijas pierakstu veidošanu par datņu pārsūtīšanas protokola (File Transfer Protocol) servera lietotāju veiktajām darbībām serverī un nodrošina auditācijas pierakstos glabāto datu autentiskumu un pieejamību moduļa datu sniedzējiem;
6.4. izmanto citu institūciju datus un rādītājus, veidojot un aprēķinot atvasinātus rādītājus, kā arī ievieto tos modulī tālākai izmantošanai;
6.5. veic analītisko darbu reģionālās attīstības uzraudzības un novērtēšanas jomā, konkrētos analītiskos uzdevumus nosakot sadarbībā ar ministriju izstrādātā un ikgadēji aktualizētā analītiskā darba plānā;
6.6. nodrošina reģionālās attīstības uzraudzības un novērtēšanas rādītāju sistēmas uzturēšanu, attīstību un rādītāju vērtību aktualizāciju;
6.7. katru gadu sagatavo un publicē modulī analītisko ziņojumu par reģionālo attīstību. Ziņojums ir publiski pieejams;
6.8. nodrošina teritorijas attīstības indeksa:
6.8.1. aprēķināšanu (katru gadu par iepriekšējo gadu) novadiem, republikas pilsētām un plānošanas reģioniem saskaņā ar šo noteikumu 1. pielikumā noteikto kārtību;
6.8.2. aprēķināto vērtību publicēšanu līdz attiecīgā gada 1. augustam aģentūras oficiālajā tīmekļa vietnē un modulī.
7. Pašvaldības un plānošanas reģioni:
7.1. nodrošina reģionālās attīstības uzraudzību un novērtēšanu, izmantojot moduli kā primāro datu avotu teritorijas attīstības plānošanā, reģionālās attīstības uzraudzībā un novērtēšanā, pēc iespējas neveidojot atsevišķas uzraudzības un novērtēšanas sistēmas;
7.2. saskaņo ar ministriju tādus pasākumus vai aktivitātes, kas skar iesaistīšanos Eiropas Savienības vai ārvalstu finanšu instrumentu finansētos projektos saistībā ar reģionālās attīstības uzraudzību un novērtēšanu.
8. Nozaru ministrijas vai to padotībā esošās institūcijas iesniedz aģentūrā šo noteikumu 22. punktā minēto statistisko informāciju.
III. Moduļa uzturēšana, lietošana un datu apmaiņa
9. Moduļa lietotāji ir:
9.1. ministrija (autorizētie lietotāji);
9.2. aģentūra (autorizētie lietotāji);
9.3. plānošanas reģionu administrācijas darbinieki (autorizētie lietotāji);
9.4. pašvaldību autorizētie lietotāji;
9.5. publiskie (neautorizētie) lietotāji.
10. Aģentūras uzturētie moduļa tehnoloģiskie risinājumi nodrošina piekļuvi:
10.1. kvantitatīvai informācijai par sociālekonomiskajiem rādītājiem – par valsti kopumā, atsevišķu valsts teritoriju iedalījumā un par konkrētu laikposmu;
10.2. kvantitatīvai informācijai par valsts budžeta un Eiropas Savienības fondu ieguldījumiem – par valsti kopumā, atsevišķu valsts teritoriju iedalījumā un par konkrētu laikposmu;
10.3. aģentūras iepriekš sagatavotiem teritoriju profiliem par valsti kopumā, katru plānošanas reģionu un pašvaldību.
11. Dažādiem lietotājiem tiek piešķirtas atšķirīgas piekļuves tiesības (apskatei, izdrukai, lejuplādēšanai, izmainīšanai, izmaiņu saglabāšanai, jaunu atskaišu veidošanai, publicēšanai) moduļa pārskatiem.
12. Ministrijas, aģentūras, plānošanas reģionu administrācijas darbiniekiem un pašvaldību autorizētajiem lietotājiem tiek nodrošināta bezmaksas piekļuve modulim no savas darbavietas. Publiskais (neautorizētais) lietotājs modulim bez maksas var piekļūt tīmekļa vietnē www.raim.gov.lv.
13. Šo noteikumu 9. punktā noteiktajiem moduļa lietotājiem tiek nodrošināta:
13.1. piekļuve teritoriju (valsts, plānošanas reģionu, pašvaldību) profiliem (aģentūrai ir tiesības veikt izmaiņas profilos);
13.2. iespēja veikt teritoriju salīdzināšanu;
13.3. iespēja veikt datu atlasi par izvēlētām teritorijām pēc lietotāja izvēlētiem kritērijiem;
13.4. palīdzības un metodoloģiska rakstura informācija par moduli un tajā pieejamajiem rādītājiem (aģentūrai ir tiesības veikt izmaiņas šajā informācijā);
13.5. iespēja izdrukāt un lejuplādēt apskatei pieejamo saturu, izmantojot modulī šiem mērķiem paredzēto funkcionalitāti.
14. Papildus šo noteikumu 13. punktā minētajiem nosacījumiem aģentūra nodrošina atsevišķiem moduļa lietotājiem papildu iespējas darbam modulī:
14.1. ministrijas, aģentūras, plānošanas reģionu administrācijas darbiniekiem un pašvaldību autorizētajiem lietotājiem – šo noteikumu 15. punktā noteiktās papildu iespējas;
14.2. ministrijas speciālistiem (norīkotiem autorizētajiem lietotājiem) – šo noteikumu 16. punktā noteiktās papildu iespējas;
14.3. aģentūras speciālistiem (norīkotiem autorizētajiem lietotājiem) – šo noteikumu 17. punktā noteiktās papildu iespējas;
14.4. plānošanas reģiona administrācijas norīkotam autorizētajam lietotājam – šo noteikumu 18. punktā noteiktās papildu iespējas;
14.5. pašvaldības autorizētajam lietotājam – šo noteikumu 19. punktā noteiktās papildu iespējas.
15. Ministrijas, aģentūras, plānošanas reģionu administrācijas un pašvaldību autorizētajiem lietotājiem tiek nodrošināta iespēja:
15.1. autorizētajā vidē izmantot iepriekš sagatavotas pārskatu veidlapas;
15.2. veidot jaunus pārskatus, tos saglabāt.
16. Ministrijas speciālistiem (norīkotiem autorizētajiem lietotājiem) nodrošina:
16.1. iespēju piešķirt jebkuram autorizētajam lietotājam piekļuves tiesības saviem pārskatiem;
16.2. ja nepieciešams, tiesības nosūtīt aģentūras speciālistiem pieprasījumu par tādu pārskatu sagatavošanu, kādus šobrīd neparedz modulis.
17. Aģentūras speciālistiem (norīkotiem autorizētajiem lietotājiem) nodrošina iespēju:
17.1. ievadīt moduļa datu struktūrā paredzēto informāciju par jebkuru pašvaldību vai reģionu;
17.2. ievadīt un labot moduļa datu struktūrā paredzēto informāciju attiecībā uz datiem, kuru avots ir aģentūra;
17.3. piešķirt jebkuram autorizētajam lietotājam piekļuves tiesības saviem pārskatiem, kā arī publicēt tos piekļuvei publiskajiem lietotājiem;
17.4. definēt un apstiprināt jaunas datu kopas.
18. Plānošanas reģiona administrācijas norīkotam autorizētajam lietotājam nodrošina:
18.1. iespēju ievadīt moduļa datu struktūrā paredzēto informāciju par savu reģionu;
18.2. iespēju piešķirt plānošanas reģionā ietilpstošo pašvaldību autorizētajiem lietotājiem piekļuves tiesības saviem pārskatiem;
18.3. ja nepieciešams, tiesības nosūtīt aģentūras speciālistiem pieprasījumu par tādu pārskatu sagatavošanu, kādus šobrīd neparedz modulis.
19. Pašvaldības autorizētajam lietotājam nodrošina:
19.1. iespēju ievadīt moduļa datu struktūrā paredzēto informāciju par savu pašvaldību;
19.2. ja nepieciešams, tiesības nosūtīt aģentūras vai plānošanas reģiona speciālistiem pieprasījumu par tādu pārskatu sagatavošanu, kādus šobrīd neparedz modulis.
20. Aģentūra nodrošina:
20.1. datu iegūšanu no moduļa datu avotiem, sadarbību ar datu avotus pārzinošajām institūcijām;
20.2. datu ielādes uzraudzību, ielādes apstiprināšanu, pilda datu kvalitātes, audita, darbības novērošanas un citas moduļa uzturēšanas funkcijas;
20.3. modulī uzkrātās informācijas uzturēšanu, klasifikatoru un metadatu pārvaldību;
20.4. moduļa drošības politikas noteikšanu, drošības noteikumu izstrādi un apstiprināšanu.
21. Aģentūra sadarbībā ar ministriju izstrādā moduļa attīstības plānu, kurā var iekļaut informāciju par nepieciešamo moduļa funkcionālo attīstību un jautājumiem, kas saistīti ar reģionālās attīstības uzraudzības un novērtēšanas metodoloģijas attīstību.
22. Lai nodrošinātu moduļa darbību šo noteikumu noteiktajā kārtībā:
22.1. moduļa darbībā iesaistītās institūcijas sniedz informāciju aģentūrai atbilstoši šo noteikumu 2., 3., 4., 5., 6., 7., 8., 9., 10. un 11. pielikumā noteiktajam datu saturam, struktūrai un formātam:
22.1.1. Labklājības ministrija par pašvaldību sniegto sociālo palīdzību – katru gadu līdz 15. maijam par iepriekšējo kalendāra gadu (2. pielikums);
22.1.2. Lauku atbalsta dienests par Eiropas Savienības fondu projektu skaitu un finansējumu – katru gadu līdz 1. aprīlim par iepriekšējo kalendāra gadu (3. pielikums);
22.1.3. Izglītības un zinātnes ministrija par izglītības iestādēm un izglītojamo skaitu – katru gadu līdz 1. novembrim par attiecīgo gadu (4. pielikums);
22.1.4. Nodarbinātības valsts aģentūra par reģistrētajiem bezdarbniekiem un reģistrētajiem ilgstošajiem bezdarbniekiem – katru mēnesi līdz 10. datumam, par reģistrētā bezdarba līmeni iepriekšējā gada decembrī – katru gadu līdz 1. februārim (5. pielikums);
22.1.5. Uzņēmumu reģistrs par komercreģistrā un Uzņēmumu reģistra žurnālā ierakstītajiem un no šiem reģistriem izslēgtajiem subjektiem un ārvalstu personu dalību komersantos (uzņēmumos) – katru gadu līdz 15. janvārim par iepriekšējā gadā reģistrētajiem datiem (6. pielikums);
22.1.6. Valsts ieņēmumu dienests par iedzīvotāju ienākuma nodokli – katru gadu līdz 1. martam par iepriekšējo gadu, par uzņēmumu ienākuma nodokli – katru gadu līdz 1. martam par gadu pirms iepriekšējā gada (7. pielikums);
22.1.7. Valsts kase par pašvaldību pamatbudžeta ieņēmumiem un pašvaldības pamatbudžeta un speciālo budžetu izdevumiem – katru gadu līdz 1. augustam par iepriekšējo gadu (8. pielikums);
22.1.8. Valsts sociālās apdrošināšanas aģentūra par pensiju saņēmēju skaitu un piešķirto pensiju vidējo apmēru, par bezdarbnieka pabalsta saņēmēju skaitu un par bezdarbnieka pabalsta vidējo izmaksājamo apmēru – katru gadu līdz 1. martam par iepriekšējo gadu, par sociāli apdrošinātām personām un šo personu veicamo valsts sociālās apdrošināšanas obligāto iemaksu objekta summu – katru gadu līdz 1. aprīlim par iepriekšējo gadu (9. pielikums);
22.1.9. Valsts akciju sabiedrība "Latvijas Valsts ceļi" par valsts un pašvaldību ceļiem – katru gadu līdz 1. martam par iepriekšējo gadu (10. pielikums);
22.1.10. Pilsonības un migrācijas lietu pārvalde par iedzīvotāju skaitu uz kārtējā gada 1. janvāri un par iepriekšējā gadā dzimušo un mirušo skaitu – katru gadu līdz 1. aprīlim (11. pielikums);
22.1.11. Iekšlietu ministrijas Informācijas centrs par republikas nozīmes pilsētās un novados reģistrētajiem noziedzīgiem nodarījumiem (pēc smaguma pakāpes) – katru gadu līdz 1. martam par iepriekšējo gadu;
22.2. aģentūra informē Centrālo statistikas pārvaldi par moduļa aktualizācijā izmantotajām statistikas tabulām no Centrālās statistikas pārvaldes publiskās datubāzes tīmekļa vietnē data.csb.gov.lv, nosūtot e-pasta vēstuli uz Centrālās statistikas pārvaldes oficiālo e-pasta adresi. Vēstulē norāda izmantoto statistikas tabulu kodus un virsrakstus. Centrālā statistikas pārvalde divu nedēļu laikā pirms plānotās datņu struktūras vai datnes nosaukuma maiņas informē par to moduļa administratoru, nosūtot e-pasta vēstuli, kas parakstīta ar drošu elektronisko parakstu, uz moduļa administratora e-pasta adresi raim@vraa.gov.lv;
22.3. aģentūra divas nedēļas pirms šo noteikumu 22.1. apakšpunktā noteiktajiem termiņiem nosūta datu sniedzējam atgādinājumu par datu sniegšanu un vienojas par nepieciešamo datu sagatavošanas metodoloģiju;
22.4. aģentūra modulī ievada citu publiski pieejamu valsts un pašvaldību statistiku, izmantojot moduļa ievadformu;
22.5. pašvaldība modulī ievada un aktualizē aprakstu par pašvaldību, pašvaldības domes priekšsēdētāja vārdu un uzvārdu, kontaktinformāciju oficiālai saziņai ar pašvaldību, saiti uz pašvaldības oficiālo tīmekļa vietni, kur atrodama informācija par pašvaldības ilgtspējīgas attīstības stratēģiju, attīstības programmu un pašvaldības budžetu, izmantojot moduļa ievadformu;
22.6. plānošanas reģions modulī ievada un aktualizē aprakstu par plānošanas reģionu, kontaktinformāciju oficiālai saziņai ar plānošanas reģionu, plānošanas reģiona administrācijas vadītāja vārdu un uzvārdu, saiti uz plānošanas reģiona oficiālo tīmekļa vietni, kur atrodama informācija par plānošanas reģiona ilgtspējīgas attīstības stratēģiju, attīstības programmu, izmantojot moduļa ievadformu;
22.7. modulī iekļauj Teritorijas attīstības plānošanas informācijas sistēmā esošo informāciju par teritoriālo vienību platībām, tajās ietilpstošajām teritorijas plānojuma funkcionālā zonējuma veidu platībām un teritoriju galvenajiem izmantošanas veidiem, īpaši aizsargājamo dabas teritoriju, mežu, ūdensobjektu aizņemto platību.
23. Šo noteikumu 22.1. apakšpunktā minētās institūcijas informāciju iesniedz, novietojot to uz aģentūras datņu pārsūtīšanas protokola (File Transfer Protocol) servera.
24. Pašvaldības, plānošanas reģioni un šo noteikumu 22.1. apakšpunktā minētās institūcijas atbild par sniegto datu pareizību, neveic darbības, kas vērstas uz serveru bojāšanu vai to darbībai noteikto drošības pasākumu neievērošanu, un nenodod lietotāja rekvizītus trešajām personām.
IV. Noslēguma jautājumi
25. Šo noteikumu 5.3. apakšpunkts stājas spēkā 2016. gada 20. martā.
26. Šo noteikumu 22.6. apakšpunkts stājas spēkā 2014. gada 1. novembrī.
Ministru prezidente Laimdota Straujuma
Vides aizsardzības un
reģionālās attīstības ministrs Romāns Naudiņš
1.pielikums
Ministru kabineta
2014.gada 1.jūlija
noteikumiem Nr.367
Teritorijas attīstības indeksa aprēķināšanas kārtība
1. Atsevišķi aprēķina teritorijas attīstības līmeņa indeksu un teritorijas attīstības līmeņa izmaiņu indeksu:
1.1. teritorijas attīstības līmeņa indekss raksturo attīstības līmeni attiecīgajā gadā, parādot teritoriju augstāku vai zemāku attīstību salīdzinājumā ar vidējo attīstības līmeni valstī;
1.2. teritorijas attīstības līmeņa izmaiņu indekss raksturo attīstības līmeņa izmaiņas pret iepriekšējo gadu, parādot teritoriju atpaliekošu vai apsteidzošu attīstību salīdzinājumā ar vidējo attīstības līmeni iepriekšējā gadā.
2. Teritorijas attīstības indeksu aprēķina šādi:
2.1. novadu un republikas pilsētu grupās izmanto astoņus rādītājus (1. tabula);
2.2. plānošanas reģionu grupā izmanto astoņus rādītājus (2. tabula);
2.3. katra rādītāja nozīmību novērtē ar īpašu nozīmības svaru (1. un 2. tabula). Rādītāju nozīmības svaru summa katrā teritoriju grupā ir 1;
2.4. lai teritorijas attīstību raksturojošos rādītājus, kas izteikti dažādās vienībās (piemēram, cilvēki, euro, procenti), apvienotu un izveidotu teritorijas attīstības indeksu, veic rādītāju statistisku standartizāciju, izmantojot šādu formulu:
|
|
, kur |
t – attīstības pamatrādītāja standartizētā vērtība konkrētā teritorijā;
x – standartizējamais attīstības pamatrādītājs konkrētā teritorijā, izteikts savā specifiskajā mērvienībā;
–
attiecīgā attīstības pamatrādītāja vidējā vērtība teritoriju grupā attiecīgajā
gadā (attīstības līmeņa indekss) vai iepriekšējā gadā (attīstības līmeņa izmaiņu
indekss), kuru aprēķina kā divu absolūto lielumu attiecību;
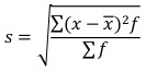
s – standartnovirze, variācijas rādītājs, kuru aprēķina par attiecīgo gadu (attīstības līmeņa indekss) vai iepriekšējo gadu (attīstības līmeņa izmaiņu indekss), izmantojot šādu formulu:
|
|
, kur |
f – statistiskais svars (iedzīvotāju skaits teritorijā, darbspējas vecuma iedzīvotāju skaits, platība km2, izmantojot attiecīgos attīstības pamatrādītājus);
2.5. lai katram rādītājam piešķirtu tā specifisko nozīmību, katru standartizēto rādītāju reizina ar nozīmības svaru (1. tabulas 2., 3., 4. un 7. rādītāja un 2. tabulas 2. un 5. rādītāja gadījumā lieto nozīmības svaru ar negatīvu zīmi), tādējādi aprēķinot teritorijas attīstības indeksa komponentus. Komponentu summa veido teritorijas attīstības indeksu.
3. Teritorijas attīstības indeksu aprēķina Latvijas mērogā.
1.tabula
Teritorijas attīstības indeksa aprēķināšanai nepieciešamie rādītāji un to nozīmības svars (novadiem vai republikas pilsētām)
| Nr. p. k. |
Rādītājs | Novadi vai republikas pilsētas | Datu avots |
| svars | |||
| 1. | Ekonomiski aktīvo individuālo komersantu un komercsabiedrību skaits uz 1000 iedzīvotājiem | 0,25 | Centrālā statistikas pārvalde |
| 2. | Bezdarba līmenis, % | 0,15 | Nodarbinātības valsts aģentūra (reģistrēto bezdarbnieku skaits) un Centrālā statistikas pārvalde (darbspējas vecuma iedzīvotāju skaits) |
| 3. | Trūcīgo personu īpatsvars iedzīvotāju kopskaitā, % | 0,1 | Labklājības ministrija (trūcīgo personu skaits) un Centrālā statistikas pārvalde (gada vidējais iedzīvotāju skaits) |
| 4. | Kopējais noziedzīgo nodarījumu skaits uz 1000 iedzīvotājiem | 0,05 | Iekšlietu ministrijas Informācijas centrs (kopējais noziedzīgo nodarījumu skaits) un Centrālā statistikas pārvalde (gada vidējais iedzīvotāju skaits) |
| 5. | Dabiskās kustības saldo uz 1000 iedzīvotājiem | 0,1 | Centrālā statistikas pārvalde (dabiskās kustības saldo un gada vidējais iedzīvotāju skaits) |
| 6. | Ilgtermiņa migrācijas saldo uz 1000 iedzīvotājiem | 0,1 | Centrālā statistikas pārvalde (dabiskās kustības saldo un gada vidējais iedzīvotāju skaits) |
| 7. | Iedzīvotāju skaits virs darbspējas vecuma uz 1000 darbspējas vecuma iedzīvotājiem | 0,05 | Centrālā statistikas pārvalde (iedzīvotāju skaits virs darbspējas vecuma un darbspējas vecumā) |
| 8. | Iedzīvotāju ienākuma nodoklis uz vienu iedzīvotāju, euro | 0,2 | Valsts ieņēmumu dienests (pārskata periodā faktiski ieturētā iedzīvotāju ienākuma nodokļa summa) un Centrālā statistikas pārvalde (pastāvīgo iedzīvotāju skaits) |
| Svaru summa | 1,0 | ||
2.tabula
Teritorijas attīstības indeksa aprēķināšanai nepieciešamie rādītāji un to nozīmības svars1 (plānošanas reģioniem)
| Nr. p. k. |
Rādītājs | Plānošanas reģioni | Datu avots |
| svars | |||
| 1. | Iekšzemes kopprodukts uz vienu iedzīvotāju, euro (faktiskajās cenās)2 | 0,3 | Centrālā statistikas pārvalde |
| 2. | Bezdarba līmenis, % (reģistrēto bezdarbnieku skaits pret darbspējas vecuma iedzīvotāju skaitu)3 | 0,15 | Nodarbinātības valsts aģentūra (reģistrēto bezdarbnieku skaits) un Centrālā statistikas pārvalde (darbspējas vecuma iedzīvotāju skaits) |
| 3. | Iedzīvotāju ienākuma nodokļa apmērs uz vienu iedzīvotāju, euro | 0,1 | Valsts kase (iedzīvotāju ienākuma nodoklis) un Centrālā statistikas pārvalde (pastāvīgo iedzīvotāju skaits) |
| 4. | Nefinanšu investīcijas uz vienu iedzīvotāju, euro | 0,1 | Centrālā statistikas pārvalde |
| 5. | Demogrāfiskās slodzes līmenis | 0,1 | Centrālā statistikas pārvalde |
| 6. | Individuālo komersantu un komercsabiedrību skaits uz 1000 iedzīvotājiem | 0,1 | Centrālā statistikas pārvalde |
| 7. | Pastāvīgo iedzīvotāju blīvums (cilvēku skaits uz vienu kvadrātkilometru) | 0,05 | Centrālā statistikas pārvalde (pastāvīgo iedzīvotāju skaits) un Valsts zemes dienests (platība, km2) |
| 8. | Pastāvīgo iedzīvotāju skaita izmaiņas pēdējo piecu gadu laikā, % | 0,1 | Centrālā statistikas pārvalde |
| Svaru summa | 1,0 | ||
Piezīmes.
1 Nozīmības svars – rādītāju svarīgums jeb nozīme kopējā teritorijas attīstības indeksa vērtībā.
2 Katru gadu aprēķinot plānošanas reģionu teritorijas attīstības indeksu t gadam, tiek izmantota statistika atbilstoši 2. tabulas 1. punktā minētajam rādītājam t-2 gadam, kā arī 4. un 6. punktā minētajam rādītājam t-1 gadam.
3 Darbspējas vecuma iedzīvotāji – sievietes, vīrieši 15-62 gadu vecumā (aprēķiniem par 2013. gadu), pēc 2014. gada 1. janvāra saskaņā ar likuma "Par valsts pensijām" pārejas noteikumu 8.1 punktā noteikto pensionēšanās vecuma pieaugumu darbspējas vecuma grupas augšējā robeža pakāpeniski paaugstināsies.
Vides aizsardzības un
reģionālās attīstības ministrs Romāns Naudiņš
2.pielikums
Ministru kabineta
2014.gada 1.jūlija
noteikumiem Nr.367
Labklājības ministrijas sniedzamie dati
1. Datnes pirmajā rindā ir aiļu nosaukumi. Katrs datu ieraksts sākas jaunā rindā.
2. Veidojamie datņu nosaukumi satur pārskata gadu (turpmāk – <yyyy>). Datņu nosaukumus veido tikai latīņu burti, cipari un simbols ‘_’.
3. Datnes nosaukums tiek veidots pēc shēmas <yyyy>_LM.xls.
4. XLS datnes struktūra:
| Nr. p. k. |
Nosaukums | Tips | Apraksts |
| 1. | Gads | Vesels skaitlis (4) | Pārskata periods – gads |
| 2. | Teritorija | Teksts (100) | Republikas pilsēta vai novads |
| 3. | Pašvaldības budžeta izdevumi sociālajiem pakalpojumiem un sociālajai palīdzībai | Decimāls skaitlis (10,2) | Pašvaldības budžeta izdevumi sociālajiem pakalpojumiem un sociālajai palīdzībai. Summa |
| 4. | GMI1 pabalstu summa | Decimāls skaitlis (10,2) | Pabalstu summa garantētā minimālā ienākumu līmeņa nodrošināšanai |
| 5. | GMI pabalstu skaits | Vesels skaitlis (10) | Personu skaits, kas saņem pabalstu garantētā minimālā ienākumu līmeņa nodrošināšanai |
| 6. | Ārkārtas situācijas vienreizējo pabalstu kopsumma | Decimāls skaitlis (10,2) | Ārkārtas situācijas vienreizējo pabalstu kopsumma |
| 7. | Ārkārtas situācijas vienreizējo pabalstu skaits | Vesels skaitlis (10) | Personu skaits, kas saņem vienreizēju pabalstu ārkārtas situācijā |
| 8. | Ārkārtas situācijas vienreizējo pabalstu saņēmēju ģimeņu skaits | Vesels skaitlis (10) | Ģimeņu skaits, kas saņem vienreizēju pabalstu ārkārtas situācijā |
| 9. | Dzīvokļa pabalstu summa | Decimāls skaitlis (10,2) | Dzīvokļa pabalstu summa |
| 10. | Dzīvokļa pabalstu saņēmēju ģimeņu skaits | Vesels skaitlis (10) | Ģimeņu skaits, kas saņem dzīvokļa pabalstu |
| 11. | Dzīvokļa pabalstu skaits | Vesels skaitlis (10) | Personu skaits, kas saņem dzīvokļa pabalstu |
| 12. | Trūcīgu ģimeņu skaits | Vesels skaitlis (10) | Ģimeņu skaits, kam konstatēta atbilstība trūcīgas ģimenes statusam, bet tikai tie, kuriem piešķirts šis statuss un kas saņēmuši kaut vienu no pašvaldības pabalstiem |
| 13. | Trūcīgu ģimeņu personu skaits | Vesels skaitlis (10) | Personu skaits, kam konstatēta atbilstība trūcīgas ģimenes statusam, bet tikai tie, kuriem piešķirts šis statuss un kas saņēmuši kaut vienu no pašvaldības pabalstiem |
| 14. | Darbinieku skaits | Vesels skaitlis (10) | Darbinieku skaits pašvaldības institūcijās, kas sniedz sociālos pakalpojumus un sociālo palīdzību |
| 15. | Pakalpojumu saņēmušo klientu skaits | Vesels skaitlis (10) | Pakalpojumus saņēmušie klienti – kopā |
Piezīme. 1 GMI – garantētais minimālais ienākums.
Vides aizsardzības un
reģionālās attīstības ministrs Romāns Naudiņš
3.pielikums
Ministru kabineta
2014.gada 1.jūlija
noteikumiem Nr.367
Lauku atbalsta dienesta sniedzamie dati
1. *xls datne satur informāciju par Lauku atbalsta dienesta administrēto Eiropas Savienības fondu projektiem un šā atbalsta saņēmējiem.
2. Datnes nosaukums tiek veidots pēc šādas shēmas:
2.1. <yyyy>_LAD_ELGF.xls;
2.2. <yyyy>_LAD_EZF.xls;
2.3. <yyyy>_LAD_ ELFLA_Projekti.xls;
2.4. <yyyy>_LAD_ELFLA_Sanemeji.xls.
3. *xls datnes struktūra:
| Nr. p. k. |
Nosaukums | Tips | Apraksts |
| 1. | Gads | Vesels skaitlis (4) | Kalendāra gads |
| 2. | Teritorijas nosaukums | Teksts (100) | Teritorijas tekstuālais pieraksts |
| 3. | Finansējuma saņēmēju tips | Teksts (100) | Finansējuma (atbalsta) saņēmēju tips (uzņēmējdarbības forma) |
| 4. | Fonds | Teksts (15) | ES fonda kods: – ELGF (Eiropas Lauksaimniecības garantiju fonds) atbalsta saņēmēji; – ELFLA (Eiropas Lauksaimniecības fonds lauku attīstībai) projekti; – ELFLA atbalsta saņēmēji; – EZF (Eiropas Zivsaimniecības fonds) projekti |
| 5. | Projektu vai atbalsta saņēmēju skaits | Decimāls skaitlis (10,2) | Projektu vai atbalsta saņēmēju skaits |
| 6. | Izmaksātais publiskais finansējums | Decimāls skaitlis (10,2) | Publiskā finansējuma summa |
Vides aizsardzības un
reģionālās attīstības ministrs Romāns Naudiņš
4.pielikums
Ministru kabineta
2014.gada 1.jūlija
noteikumiem Nr.367
Izglītības un zinātnes ministrijas sniedzamie dati
1. Datnes pirmajā rindā ir aiļu nosaukumi.
2. Veidojamie datņu nosaukumi satur pārskata gatavošanas gadu. Datņu nosaukumus veido tikai latīņu burti, cipari un simbols ‘_’.
3. Katrs datu ieraksts sākas jaunā rindā.
4. Datne satur šādu informāciju:
4.1. dati par izglītības iestāžu veidiem, tipiem un to īstenotajām licencētajām izglītības programmām: par izglītības iestādēm, norādot to reģistrācijas numuru Izglītības iestāžu reģistrā un Izglītības un zinātnes ministrijas iestādes kodu, izglītības iestādes nosaukumu, izglītības iestādes veidu, izglītības iestādes tipu un pakļautību, telpu platību, kā arī adresi (atšifrējumā atsevišķos datu laukos norāda – novads, pilsēta, pagasts); norāda arī, vai ir (nav) internāts;
4.2. dati par izglītības iestāžu izglītojamajiem atbilstoši Ministru kabineta
noteiktajam Valsts izglītības informācijas sistēmas saturam, uzturēšanas un
aktualizācijas kārtībai sadalījumā pa klasēm, dzimumiem, izglītības iestāžu
veidiem, tipiem un apgūstamajām izglītības programmām: par izglītības iestādēm,
norādot to reģistrācijas numuru Izglītības iestāžu reģistrā.
5. Datnes nosaukums tiek veidots pēc shēmas <yyyy>_IZM_iestades.xls, kur "yyyy" ir pārskata gads. Datnē ir divas lapas: "Izglītības iestādes" un "Izglītības iestāžu izglītojamie".
6. Excel datnes lapas "Izglītības iestādes" struktūra:
| Nr. p. k. |
Nosaukums | Tips | Apraksts |
| 1. | Reģistrācijas numurs | Teksts (100) | Izglītības iestādes reģistrācijas numurs |
| 2. | IZM iestādes kods | Teksts (20) | Izglītības iestādes reģistrācijas kods |
| 3. | Izglītības iestādes nosaukums | Teksts (200) | Izglītības iestādes nosaukums |
| 4. | Izglītības iestādes veids | Teksts (200) | Izglītības iestādes veids |
| 5. | Izglītības iestādes tips | Teksts (200) | Izglītības iestādes tips |
| 6. | Pakļautība | Teksts (200) | Izglītības iestādes pakļautība |
| 7. | Internāts | Teksts (2) | Vai izglītības iestādei ir internāts (jā/nē) |
| 8. | Telpu platība | Decimāls skaitlis (10,2) | Izglītības iestādes telpu platība |
| 9. | Novads | Teksts (100) | Novada nosaukums |
| 10. | Pilsēta | Teksts (100) | Pilsētas nosaukums |
| 11. | Pagasts | Teksts (100) | Pagasta nosaukums |
7. Excel datnes lapas "Izglītības iestāžu izglītojamie" struktūra:
| Nr. p. k. |
Nosaukums | Tips | Apraksts |
| 1. | Reģistrācijas numurs | Teksts (100) | Izglītības iestādes reģistrācijas numurs |
| 2. | Dzimums | Teksts (20) | Dzimums (vīrieši, sievietes) |
| 3. | 1. klase | Vesels skaitlis (10) | 1. klases izglītojamo skaits |
| 4. | 2. klase | Vesels skaitlis (10) | 2. klases izglītojamo skaits |
| 5. | 3. klase | Vesels skaitlis (10) | 3. klases izglītojamo skaits |
| 6. | 4. klase | Vesels skaitlis (10) | 4. klases izglītojamo skaits |
| 7. | 5. klase | Vesels skaitlis (10) | 5. klases izglītojamo skaits |
| 8. | 6. klase | Vesels skaitlis (10) | 6. klases izglītojamo skaits |
| 9. | 7. klase | Vesels skaitlis (10) | 7. klases izglītojamo skaits |
| 10. | 8. klase | Vesels skaitlis (10) | 8. klases izglītojamo skaits |
| 11. | 9. klase | Vesels skaitlis (10) | 9. klases izglītojamo skaits |
| 12. | 10. klase | Vesels skaitlis (10) | 10. klases izglītojamo skaits |
| 13. | 11. klase | Vesels skaitlis (10) | 11. klases izglītojamo skaits |
| 14. | 12. klase | Vesels skaitlis (10) | 12. klases izglītojamo skaits |
| 15. | Kopā vispārizglītojošajās klasēs | Vesels skaitlis (10) | Kopējais izglītojamo skaits vispārizglītojošās klasēs |
| 16. | 0 gadu vecs | Vesels skaitlis (10) | 0 gadu veco izglītojamo skaits |
| 17. | 1 gadu vecs | Vesels skaitlis (10) | 1 gadu veco izglītojamo skaits |
| 18. | 2 gadus vecs | Vesels skaitlis (10) | 2 gadus veco izglītojamo skaits |
| 19. | 3 gadus vecs | Vesels skaitlis (10) | 3 gadus veco izglītojamo skaits |
| 20. | 4 gadus vecs | Vesels skaitlis (10) | 4 gadus veco izglītojamo skaits |
| 21. | 5 gadus vecs | Vesels skaitlis (10) | 5 gadus veco izglītojamo skaits |
| 22. | 6 gadus vecs | Vesels skaitlis (10) | 6 gadus veco izglītojamo skaits |
| 23. | 7 gadus vecs | Vesels skaitlis (10) | 7 gadus veco izglītojamo skaits |
| 24. | 8 gadus vecs | Vesels skaitlis (10) | 8 gadus veco izglītojamo skaits |
| 25. | 9 gadus vecs | Vesels skaitlis (10) | 9 gadus veco izglītojamo skaits |
| 26. | 10 gadu vecs | Vesels skaitlis (10) | 10 gadu veco izglītojamo skaits |
| 27. | Kopā pirmsskolas grupās | Vesels skaitlis (10) | Kopējais pirmskolu grupu izglītojamo skaits |
| 28. | 1. kurss | Vesels skaitlis (10) | 1. kursā izglītojamo skaits |
| 29. | 2. kurss | Vesels skaitlis (10) | 2. kursā izglītojamo skaits |
| 30. | 3. kurss | Vesels skaitlis (10) | 3. kursā izglītojamo skaits |
| 31. | 4. kurss | Vesels skaitlis (10) | 4. kursā izglītojamo skaits |
| 32. | 5. kurss | Vesels skaitlis (10) | 5. kursā izglītojamo skaits |
| 33. | Kopā profesionālās izglītības grupās* | Vesels skaitlis (10) | Kopējais profesionālās izglītības grupu izglītojamo skaits |
Piezīme. * Kopā profesionālās izglītības grupās (kopējais profesionālās izglītības grupu izglītojamo skaits).
Vides aizsardzības un
reģionālās attīstības ministrs Romāns Naudiņš
5.pielikums
Ministru kabineta
2014.gada 1.jūlija
noteikumiem Nr.367
Nodarbinātības valsts aģentūras sniedzamie dati
1. Dati tiek noformēti ASCII datņu veidā. Datu lauki datnē cits no cita atdalīti ar simbolu ";". Katrs datu ieraksts sākas jaunā rindā (CR LF).
2. Veidojamie datņu nosaukumi satur pārskata gadu (turpmāk – <yyyy>). Datņu nosaukumus veido tikai latīņu burti, cipari un simbols ‘_’.
3. Datnes nosaukums tiek veidots pēc shēmas <yyyy>_<mm>_NVA.csv, kur "yyyy" ir pārskata gads, bet "mm" – kalendāra mēnesis.
4. CSV datnes struktūra:
| Nr. p. k. |
Nosaukums | Tips | Apraksts |
| 1. | Gads | Vesels skaitlis (4) | Pārskata periods – gads |
| 2. | Mēnesis | Vesels skaitlis (2) | Pārskata periods – mēnesis |
| 3. | Filiāle | Teksts (100) | NVA1 filiāle |
| 4. | Reģioni pēc bezdarbnieka adreses | Teksts (100) | Plānošanas reģions |
| 5. | Adrešu klasifikators1 | Teksts (100) | Papildu adrese: reģions (nav obligāti) |
| 6. | Adrešu klasifikators | Teksts (100) | Papildu adrese: pagasts, pilsēta (nav obligāti) |
| 7. | Dzimums | Teksts (100) | Dzimums |
| 8. | Bezdarbnieku skaits | Vesels skaitlis (10) | Bezdarbnieku skaits |
| 9. | Bezdarba ilgums | Teksts (100) | Bezdarba ilgums |
| 10. | Ilgstošo bezdarbnieku skaits | Vesels skaitlis (10) | Ilgstošo bezdarbnieku skaits |
| 11. | Izglītības līmenis | Teksts (100) | Izglītības līmenis |
| 12. | Vecuma grupa | Teksts (100) | Vecuma grupa |
| 13. | Nodarbošanās profesijas kods | Teksts (100) | Nodarbošanās profesijas kods (nav obligāti) |
| 14. | Nodarbošanās profesijas nosaukums | Teksts (100) | Nodarbošanās profesijas nosaukums (nav obligāti) |
| 15. | Ir pēdējā nodarbošanās | Teksts (100) | Vai ir pēdējā nodarbošanās |
| 16. | Profesija aktīva | Teksts (100) | Aktīvas profesijas kods |
5. Datnes "Bezdarba līmenis" nosaukums satur tikai latīņu burtus, ciparus un simbolu ‘_’.
6. Datnes nosaukums tiek veidots pēc shēmas <yyyy>_NVA_bdl.csv, kur "yyyy" ir pārskata gads. Datne satur informāciju par bezdarba līmeni gada pēdējā mēnesī.
7. CSV datnes struktūra:
| Nr. p. k. |
Nosaukums | Tips | Apraksts |
| 1. | Gads | Vesels skaitlis (4) | Pārskata periods |
| 2. | ATVK2 | Vesels skaitlis (12) | ATVK kods |
| 3. | Teritorija | Teksts (100) | Republikas pilsēta vai novads |
| 4. | Vērtība | Decimāls skaitlis (10,2) | Bezdarba līmenis procentos |
Piezīmes.
1. NVA1 – Nodarbinātības valsts aģentūra.
2. ATVK2 – Administratīvo teritoriju un teritoriālo vienību klasifikators.
Vides aizsardzības un
reģionālās attīstības ministrs Romāns Naudiņš
6.pielikums
Ministru kabineta
2014.gada 1.jūlija
noteikumiem Nr.367
Uzņēmumu reģistra sniedzamie dati
1. Datnes pirmajā rindā ir aiļu nosaukumi. Katrs datu ieraksts sākas jaunā rindā.
2. Veidojamie datņu nosaukumi satur pārskata gadu. Datņu nosaukumus veido tikai latīņu burti, cipari un simbols ‘_’.
3. Reģistrēto un no reģistra izslēgto tiesību subjektu datnes nosaukums tiek veidots pēc shēmas <yyyy>_UR_uznemumi.xlsx.
4. Reģistrēto un no reģistra izslēgto tiesību subjektu xlsx datnes struktūra:
| Nr. p. k. |
Nosaukums | Tips | Apraksts |
| 1. | ATVK1 kods | Teksts (7) | Teritorijas ATVK kods |
| 2. | Vecāka ATVK kods | Teksts (7) | Ietverošas, augstāka teritoriālā iedalījuma līmeņa teritorijas ATVK kods |
| 3. | Līmenis | Vesels skaitlis (2) | Teritorijas līmenis |
| 4. | Nosaukums | Teksts (100) | Teritorijas nosaukums |
| 5. | Reģistrēti | Vesels skaitlis (12) | Jaunizveidoto uzņēmumu skaits |
| 6. | Likvidēti | Vesels skaitlis (12) | Likvidēto uzņēmumu skaits |
5. Ārvalstu personu dalības komersantos (uzņēmumos) datnes nosaukums tiek veidots pēc shēmas <yyyy>_ UR_investicijas.xlsx.
6. Ārvalstu personu dalības komersantos (uzņēmumos) xlsx datnes struktūra:
| Nr. p. k. |
Nosaukums | Tips | Apraksts |
| 1. | ATVK kods | Teksts (7) | Teritorijas ATVK kods |
| 2. | Vecāka ATVK kods | Teksts (7) | Ietverošas, augstāka teritoriālā iedalījuma līmeņa teritorijas ATVK kods |
| 3. | Līmenis | Vesels skaitlis (2) | Teritorijas līmenis |
| 4. | Nosaukums | Teksts (100) | Teritorijas nosaukums |
| 5. | Ieguldījumu kopsumma, euro | Decimāls skaitlis (12,2) | Ārvalstu tiešo investīciju ieguldījumu kopsumma |
Piezīme. ATVK1 – Administratīvo teritoriju un teritoriālo vienību klasifikators.
Vides aizsardzības un
reģionālās attīstības ministrs Romāns Naudiņš
7.pielikums
Ministru kabineta
2014.gada 1.jūlija
noteikumiem Nr.367
Valsts ieņēmumu dienesta sniedzamie dati
1. Datnes pirmajā rindā ir aiļu nosaukumi.
2. Datne satur informāciju par:
2.1. uzņēmumu ienākuma nodokli – nodokļa maksātāju skaits un aprēķinātā nodokļa summa;
2.2. iedzīvotāju ienākuma nodokli pēc darba devēja reģistrācijas vietas – darba devēju skaits un ieturētā nodokļa summa;
2.3. iedzīvotāju ienākuma nodokli pēc darba ņēmēja deklarētās dzīvesvietas – darba ņēmēju skaits un ieturētā nodokļa summa.
3. Datnes nosaukums tiek veidots pēc shēmas <yyyy>_VID_UIN_DD_DN.xls, kur <yyyy> ir gads, kurā informācija tiek iesniegta modulim, VID – Valsts ieņēmumu dienests; UIN – uzņēmumu ienākuma nodoklis; DD – iedzīvotāju ienākuma nodoklis pēc darba devēja reģistrācijas vietas; DN – iedzīvotāju ienākuma nodoklis pēc darba ņēmēja deklarētās dzīvesvietas.
4. Datnē ir trīs lapas: UIN, DD_IIN, DN_IIN.
5. Datnes lapas "UIN" struktūra:
| Nr. p. k. |
Nosaukums | Tips | Apraksts |
| 1. | Gads | Vesels skaitlis (4) | Pārskata periods – gads |
| 2. | Nr. p. k. | Vesels skaitlis (4) | Numurs pēc kārtas bez punkta |
| 3. | ATVK1 kods | Teksts (12) | Nodokļa maksātāja reģistrācijas teritorijas ATVK kods |
| 4. | ATVK nosaukums | Teksts (100) | Nodokļa maksātāja reģistrācijas teritorijas nosaukums |
| 5. | UIN maksātāju skaits | Vesels skaitlis (10) | UIN maksātāju skaits |
| 6. | UIN summa | Decimāls skaitlis (10,2) | UIN aprēķinātā summa |
6. Datnes lapas "DD_IIN" struktūra:
| Nr. p. k. |
Nosaukums | Tips | Apraksts |
| 1. | Gads | Vesels skaitlis (4) | Atskaites periods (gads) |
| 2. | Nr. p. k. | Vesels skaitlis (4) | Numurs pēc kārtas bez punkta |
| 3. | ATVK kods | Teksts (12) | Darba devēja reģistrācijas teritorijas ATVK kods |
| 4. | ATVK nosaukums | Teksts (100) | Darba devēja reģistrācijas teritorijas nosaukums |
| 5. | Darba devēju skaits | Vesels skaitlis (10) | Darba devēju skaits |
| 6. | Ieturētais IIN | Decimāls skaitlis (10,2) | Ieturētā IIN summa |
7. Datnes lapas "DN_IIN" struktūra:
| Nr. p. k. |
Nosaukums | Tips | Apraksts |
| 1. | Gads | Vesels skaitlis (4) | Pārskata periods – gads |
| 2. | Nr. p. k. | Vesels skaitlis (4) | Numurs pēc kārtas bez punkta |
| 3. | ATVK kods | Teksts (12) | Darba ņēmēja deklarētās dzīvesvietas ATVK kods |
| 4. | ATVK nosaukums | Teksts (100) | Darba ņēmēja deklarētās dzīvesvietas attiecīgais teritorijas nosaukums |
| 5. | Darba ņēmēju skaits | Vesels skaitlis (10) | Darba ņēmēju skaits |
| 6. | Ieturētais IIN | Decimāls skaitlis (10,2) | Ieturētā IIN summa |
Piezīme. ATVK1 – Administratīvo teritoriju un teritoriālo vienību klasifikators.
Vides aizsardzības un
reģionālās attīstības ministrs Romāns Naudiņš
8.pielikums
Ministru kabineta
2014.gada 1.jūlija
noteikumiem Nr.367
Valsts kases sniedzamie dati
1. Datnes pirmajā rindā ir aiļu nosaukumi. Katrs datu ieraksts sākas jaunā rindā.
2. Veidojamie datņu nosaukumi satur pārskata gadu. Datņu nosaukumus veido tikai latīņu burti, cipari un simbols ‘_’.
3. Pirmā datne satur informāciju par Valsts kases rīcībā esošajiem pašvaldību pamatbudžetu ieņēmumiem un izdevumiem. Informācija apkopojama reizi gadā par iepriekšējā pārskata gada datiem;
3.1. datnes nosaukumu veido pēc shēmas <yyyy>_VK_PB_Ienemumi_Izdevumi.xls. Datne satur divas lapas: "Ieņēmumi" un "Izdevumi", kur "yyyy" – pārskata periods, par kuru veido datni;
3.2. XLS datnes lapas "Ieņēmumi" struktūra:
| Nr. p. k. |
Nosaukums | Tips | Apraksts |
| 1. | Gads | Vesels skaitlis (4) | Pārskata periods |
| 2. | ATVK1 | Teksts (7) | Pašvaldības administratīvi teritoriālās vienības kods |
| 3. | Pašvaldības nosaukums | Teksts (100) | Republikas pilsēta vai novads |
| 4. | IIN2 | Vesels skaitlis (12) | Iedzīvotāju ienākuma nodoklis (summa) |
| 5. | NIN3 | Vesels skaitlis (12) | Nekustamā īpašuma nodoklis (summa) |
| 6. | Nodokļu ieņēmumi kopā | Vesels skaitlis (12) | Nodokļu ieņēmumu kopsumma = IIN + NIN + citi nodokļu ieņēmumi (kopsumma) |
| 7. | Ieņēmumi no PFIF4 | Vesels skaitlis (12) | Pašvaldību budžetā saņemtā dotācija no pašvaldību finanšu izlīdzināšanas fonda (summa) |
| 8. | Ieņēmumi kopā | Vesels skaitlis (12) | Visi pašvaldības ieņēmumi kopā (summa) |
3.3. XLS datnes lapas "Izdevumi" struktūra:
| Nr. p. k. |
Nosaukums | Tips | Apraksts |
| 1. | Gads | Vesels skaitlis (4) | Pārskata periods |
| 2. | Funkcija | Teksts (20) | Funkcionālās kategorijas kods.
01.000 Vispārējie valdības dienesti 02.000 Aizsardzība 03.000 Sabiedriskā kārtība un drošība 04.000 Ekonomiskā darbība 04.500 Transports 05.000 Vides aizsardzība 05.100 Atkritumu apsaimniekošana 05.200 Notekūdeņu apsaimniekošana 05.300 Vides piesārņojuma novēršana un samazināšana 06.000 Teritoriju un mājokļu apsaimniekošana 06.300 Ūdensapgāde 06.400 Ielu apgaismošana 07.000 Veselība 08.000 Atpūta, kultūra un reliģija 08.200 Kultūra 09.000 Izglītība 10.000 Sociālā aizsardzība 10.200 Atbalsts gados veciem cilvēkiem 10.400 Atbalsts ģimenēm ar bērniem 10.600 Mājokļa atbalsts |
| 3. | ATVK | Teksts (7) | Pašvaldības administratīvi teritoriālās vienības kods |
| 4. | Pašvaldības nosaukums | Teksts (100) | Republikas pilsēta vai novads |
| 5. | 1.0 Uzturēšanas izdevumi | Vesels skaitlis (12) | Ekonomiskās kategorijas "Uzturēšanas izdevumi" izdevumu summa |
| 6. | 1000 Atlīdzība | Vesels skaitlis (12) | Ekonomiskās kategorijas "Atlīdzība" izdevumu summa |
| 7. | 6000 Sociālie pabalsti | Vesels skaitlis (12) | Ekonomiskās kategorijas "Sociālie pabalsti" izdevumu summa |
| 8. | 7260 Iemaksas PFIF | Vesels skaitlis (12) | Ekonomiskās kategorijas "Pašvaldības iemaksas pašvaldību finanšu izlīdzināšanas fondā" izdevumu summa |
| 9. | 2.0 Kapitālie izdevumi | Vesels skaitlis (12) | Ekonomiskās kategorijas "Kapitālie izdevumi" izdevumu summa |
| 10. | 3.0 Pārējie izdevumi, kas veidojas pēc uzkrāšanas principa un nav klasificēti iepriekš | Vesels skaitlis (12) | Pārējie izdevumi, kas veidojas pēc uzkrāšanas principa un nav klasificēti iepriekš, kā ekonomisku kategoriju izdevumu summas |
| 11. | Izdevumi atbilstoši EKK5 kopā | Vesels skaitlis (12) | Visi pašvaldības izdevumi atbilstoši ekonomiskās klasifikācijas kategorijām kopā (summa) |
4. Otra nododamā datne satur informāciju par Valsts kases rīcībā esošajiem pašvaldību speciālo budžetu izdevumiem. Informācija veidojama reizi gadā par iepriekšējā pārskata gada datiem:
4.1. datnes nosaukumu veido pēc shēmas <yyyy>_VK_SB_Izdevumi.xls, kur "yyyy" – pārskata periods, par kuru veido datni. Datne satur vienu lapu – "Izdevumi";
4.2. XLS datnes <yyyy>_VK_SB_Izdevumi.xls struktūra:
| Nr. p. k. |
Nosaukums | Tips | Apraksts |
| 1. | Gads | Vesels skaitlis (4) | Pārskata periods |
| 2. | Funkcija | Teksts (20) | Funkcionālās kategorijas kods.
01.000 Vispārējie valdības dienesti 02.000 Aizsardzība 03.000 Sabiedriskā kārtība un drošība 04.000 Ekonomiskā darbība 04.500 Transports 05.000 Vides aizsardzība 05.100 Atkritumu apsaimniekošana 05.200 Notekūdeņu apsaimniekošana 05.300 Vides piesārņojuma novēršana un samazināšana 06.000 Teritoriju un mājokļu apsaimniekošana 06.300 Ūdensapgāde 06.400 Ielu apgaismošana 07.000 Veselība 08.000 Atpūta, kultūra un reliģija 08.200 Kultūra 09.000 Izglītība 10.000 Sociālā aizsardzība 10.200 Atbalsts gados veciem cilvēkiem 10.400 Atbalsts ģimenēm ar bērniem 10.600 Mājokļa atbalsts |
| 3. | ATVK | Teksts (7) | Pašvaldības administratīvi teritoriālās vienības kods |
| 4. | Pašvaldības nosaukums | Teksts (100) | Republikas pilsēta vai novads |
| 5. | 1.0 Uzturēšanas izdevumi | Vesels skaitlis (12) | Ekonomiskās kategorijas "Uzturēšanas izdevumi" izdevumu summa |
| 6. | 1000 Atlīdzība | Vesels skaitlis (12) | Ekonomiskās kategorijas "Atlīdzība" izdevumu summa |
| 7. | 6000 Sociālie pabalsti | Vesels skaitlis (12) | Ekonomiskās kategorijas "Sociālie pabalsti" izdevumu summa |
| 8. | 7260 Iemaksas PFIF | Vesels skaitlis (12) | Ekonomiskās kategorijas "Pašvaldības iemaksas pašvaldību finanšu izlīdzināšanas fondā" izdevumu summa |
| 9. | 2.0 Kapitālie izdevumi | Vesels skaitlis (12) | Ekonomiskās kategorijas "Kapitālie izdevumi" izdevumu summa |
| 10. | 3.0 Pārējie izdevumi, kas veidojas pēc uzkrāšanas principa un nav klasificēti iepriekš | Vesels skaitlis (12) | Pārējie izdevumi, kas veidojas pēc uzkrāšanas principa un nav klasificēti iepriekš, kā ekonomisku kategoriju izdevumu summas |
| 11. | Izdevumi atbilstoši EKK kopā | Vesels skaitlis (12) | Visi pašvaldības izdevumi atbilstoši ekonomiskās klasifikācijas kategorijām kopā (summa) |
Piezīmes.
1. ATVK1 – Administratīvo un teritoriālo vienību klasifikators.
2. IIN2 – iedzīvotāju ienākuma nodoklis.
3. NIN3 – nekustamā īpašuma nodoklis.
4. PFIF4 – Pašvaldību finanšu izlīdzināšanas fonds.
5. EKK5 – ekonomiskās klasifikācijas kategorija.
Vides aizsardzības un
reģionālās attīstības ministrs Romāns Naudiņš
9.pielikums
Ministru kabineta
2014.gada 1.jūlija
noteikumiem Nr.367
Valsts sociālās apdrošināšanas aģentūras sniedzamie dati
1. Dati tiek noformēti Excel *.xls un teksta *.txt datņu veidā. Datnes pirmajā rindā ir aiļu nosaukumi.
2. Veidojamie datņu nosaukumi satur atskaites gatavošanas gadu. Datņu nosaukumus veido tikai latīņu burti, cipari un simbols ‘_’.
3. Dati par apdrošinātajām personām tiek sagatavoti, ievērojot šādus nosacījumus:
3.1. datne satur informāciju par Valsts sociālās apdrošināšanas aģentūras rīcībā esošiem datiem:
3.1.1. visu unikālo personu (darba ņēmēju un pašnodarbināto personu) skaits, par kurām gada laikā ir jāveic valsts sociālās apdrošināšanas obligātās iemaksas, – šķēlumā pēc apdrošinātās personas deklarētās dzīvesvietas teritorijas un darba devēja juridiskās adreses teritorijas;
3.1.2. visu valsts obligātās sociālās apdrošināšanas obligāto iemaksu objekta summa personām (darba ņēmējiem un pašnodarbinātām personām), par kurām gada laikā ir jāveic valsts sociālās apdrošināšanas obligātās iemaksas, – šķēlumā pēc apdrošinātās personas deklarētās dzīvesvietas teritorijas un darba devēja juridiskās adreses teritorijas;
3.1.3. visu aprēķināto valsts sociālās apdrošināšanas obligāto iemaksu objekta summa personām (darba ņēmējiem un pašnodarbinātām personām), par kurām gada laikā ir jāveic valsts sociālās apdrošināšanas obligātās iemaksas, – šķēlumā pēc apdrošinātās personas deklarētās dzīvesvietas teritorijas un darba devēja juridiskās adreses teritorijas;
3.2. datnes nosaukums tiek veidots pēc shēmas <yyyy>_VSAA_apdrosinatas_personas.txt, kur "yyyy" apzīmē pārskata gadu;
3.3. datu lauki datnē cits no cita atdalīti ar simbolu "TAB". Katrs datu ieraksts sākas jaunā rindā (CR LF);
3.4. datnes struktūra:
| Nr. p. k. | Nosaukums | Tips | Apraksts |
| 1. | Gads | Vesels skaitlis (4) | Pārskata periods – gads |
| 2. | Iemaksu veicēja ATVK1 kods | Teksts (7) | Darba devēja juridiskās adreses teritorijas (pilsēta, novads, pagasts) ATVK kods vai ‘xxxxxxx’, ja darba ņēmējs nodarbināts pie darba devēja ārvalstnieka un ATVK nav norādīts |
| 3. | Iemaksu veicēja ATVK nosaukums | Teksts (100) | Darba devēja juridiskās adreses teritorija (pilsēta, novads, pagasts) |
| 4. | Iemaksu personas ATVK kods | Teksts (7) | Apdrošinātās personas deklarētās dzīvesvietas teritorijas (pilsēta, novads, pagasts) ATVK kods |
| 5. | Iemaksu personas ATVK nosaukums | Teksts (100) | Apdrošinātās personas deklarētās dzīvesvietas teritorija (pilsēta, novads, pagasts) |
| 6. | Apdrošināto personu skaits | Vesels skaitlis (10) | Personu skaits, par kurām gada laikā ir jāveic obligātās sociālās apdrošināšanas iemaksas |
| 7. | Veicamo iemaksu objekta summa | Decimāls skaitlis (12,2) | Iemaksu objekta summa personām, par kurām gada laikā ir jāveic valsts sociālās apdrošināšanas obligātās iemaksas |
| 8. | Aprēķināto iemaksu summa | Decimāls skaitlis (12,2) | Iemaksu summa personām, par kurām gada laikā ir jāveic valsts sociālās apdrošināšanas obligātās iemaksas |
| 9. | Darbavietu skaits | Vesels skaitlis (10) | Darbavietu skaits |
4. Dati par pensiju un bezdarbnieka pabalstu saņēmējiem tiek sagatavoti, ievērojot šādus nosacījumus:
4.1. Datne satur informāciju par Valsts sociālās apdrošināšanas aģentūras rīcībā esošiem datiem:
4.1.1. visu pensiju vidējais piešķirtais apmērs euro;
4.1.2. visu pensiju saņēmēju skaits vidēji mēnesī;
4.1.3. vecuma pensiju vidējais piešķirtais apmērs euro;
4.1.4. vecuma pensiju saņēmēju skaits vidēji mēnesī;
4.1.5. apgādnieka zaudējuma pensiju vidējais piešķirtais apmērs euro;
4.1.6. apgādnieka zaudējuma pensiju saņēmēju skaits vidēji mēnesī;
4.1.7. invaliditātes pensiju vidējais piešķirtais apmērs euro;
4.1.8. invaliditātes pensiju saņēmēju skaits vidēji mēnesī;
4.1.9. izdienas pensiju vidējais piešķirtais apmērs euro;
4.1.10. izdienas pensiju saņēmēju skaits vidēji mēnesī;
4.1.11. bezdarbnieka pabalstu vidējais izmaksājamais apmērs euro;
4.1.12. bezdarbnieka pabalstu saņēmēju skaits vidēji mēnesī;
4.2. datnes nosaukums tiek veidots pēc shēmas <yyyy>_VSAA_pakalpojumi.xls, kur "yyyy" ir pārskata gads;
4.3. datnes struktūra:
| Nr. p. k. | Nosaukums | Tips | Apraksts |
| 1. | Gads | Vesels skaitlis (4) | Pārskata periods – gads |
| 2. | Deklarētās adreses ATVK | Teksts (7) | Pensijas vai bezdarbnieka pabalsta saņēmēja deklarētās dzīvesvietas teritorijas (pilsēta, novads, pagasts) ATVK kods |
| 3. | Deklarētā adrese | Teksts (100) | Pensijas vai bezdarbnieka pabalsta saņēmēja deklarētās dzīvesvietas teritorija (pilsēta, novads, pagasts) |
| 4. | Visu pensiju vidējais piešķirtais apmērs | Decimāls skaitlis (10,2) | Visu pensiju vidējais piešķirtais apmērs euro |
| 5. | Visu pensiju saņēmēju skaits | Vesels skaitlis (10) | Visu pensiju saņēmēju skaits vidēji mēnesī |
| 6. | Vecuma pensiju vidējais piešķirtais apmērs | Decimāls skaitlis (10,2) | Vecuma pensiju vidējais piešķirtais apmērs euro |
| 7. | Vecuma pensiju saņēmēju skaits | Vesels skaitlis (7) | Vecuma pensiju saņēmēju skaits vidēji mēnesī |
| 8. | Apgādnieka zaudējuma pensiju vidējais piešķirtais apmērs | Decimāls skaitlis (10,2) | Apgādnieka zaudējuma pensiju vidējais piešķirtais apmērs euro |
| 9. | Apgādnieka zaudējuma pensiju saņēmēju skaits | Vesels skaitlis (10) | Apgādnieka zaudējuma pensiju saņēmēju skaits vidēji mēnesī |
| 10. | Invaliditātes pensiju vidējais piešķirtais apmērs | Decimāls skaitlis (10,2) | Invaliditātes pensiju vidējais piešķirtais apmērs euro |
| 11. | Invaliditātes pensiju saņēmēju skaits | Vesels skaitlis (10) | Invaliditātes pensiju saņēmēju skaits vidēji mēnesī |
| 12. | Izdienas pensiju vidējais piešķirtais apmērs | Decimāls skaitlis (10,2) | Izdienas pensiju vidējais piešķirtais apmērs euro |
| 13. | Izdienas pensiju saņēmēju skaits | Vesels skaitlis (10) | Izdienas pensiju saņēmēju skaits vidēji mēnesī |
| 14. | Bezdarbnieka pabalstu vidējais izmaksājamais apmērs | Decimāls skaitlis (10,2) | Bezdarbnieka pabalstu vidējais izmaksājamais apmērs euro |
| 15. | Bezdarbnieka pabalstu saņēmēju skaits | Vesels skaitlis (10) | Bezdarbnieka pabalstu saņēmēju skaits vidēji mēnesī |
Piezīme. ATVK1 – Administratīvo teritoriju un teritoriālo vienību klasifikators.
Vides aizsardzības un
reģionālās attīstības ministrs Romāns Naudiņš
10.pielikums
Ministru kabineta
2014.gada 1.jūlija
noteikumiem Nr.367
Valsts akciju sabiedrības "Latvijas Valsts ceļi" sniedzamie dati
1. Datnē ir divas lapas – "Valsts ceļi" un "Pašvaldību ceļi".
2. Datnes nosaukumu veido tikai latīņu burti, cipari un simbols ‘_’.
3. Datnes nosaukumu veido pēc shēmas <yyyy>_LVC, kur "yyyy" – pārskata periods, par kuru veido datni.
4. XLS datnes lapas "Valsts ceļi" struktūra:
| Nr. p. k. |
Nosaukums | Tips | Apraksts |
| 1. | Gads | Vesels skaitlis (4) | Pārskata gads |
| 2. | Novadi | Teksts (100) | Teritoriālās vienības nosaukums |
| 3. | Kopgarums | Decimāls skaitlis (10,2) | Autoceļu kopgarums pašvaldības teritorijā, km |
| 4. | Melnais segums | Decimāls skaitlis (10,2) | Asfaltēto ceļu garums, km |
| 5. | Baltais segums | Decimāls skaitlis (10,2) | Grants ceļu segums, km |
| 6. | Galvenie ceļi | Decimāls skaitlis (10,2) | Autoceļi, kas valsts autoceļu tīklu savieno ar citu valstu galvenās nozīmes autoceļu tīklu un galvaspilsētu – ar pārējām republikas pilsētām vai kas ir republikas pilsētu apvedceļi. Garums, km |
| 7. | Reģionālie ceļi | Decimāls skaitlis (10,2) | Autoceļi, kas savieno novadu administratīvos centrus savā starpā vai ar republikas pilsētām vai galvaspilsētu, ar galvenajiem vai reģionālajiem autoceļiem vai savā starpā republikas pilsētas. Garums, km |
| 8. | Vietējie ceļi | Decimāls skaitlis (10,2) | Autoceļi, kas novada administratīvos centrus savieno ar novada pilsētām, novada apdzīvotajām teritorijām, kurās atrodas pagastu pārvaldes, ciemiem vai citiem valsts autoceļiem vai savā starpā atsevišķu novadu administratīvos centrus. Garums, km |
| 9. | Galvenie ceļi. Melnais segums | Decimāls skaitlis (10,2) | Galvenie ceļi ar asfaltēto segumu. Garums, km |
| 10. | Reģionālie ceļi. Melnais segums | Decimāls skaitlis (10,2) | Reģionālie ceļi ar asfaltēto segumu. Garums, km |
| 11. | Reģionālie ceļi. Baltais segums | Decimāls skaitlis (10,2) | Reģionālie ceļi ar grants segumu. Garums, km |
| 12. | Vietējie ceļi. Melnais segums | Decimāls skaitlis (10,2) | Vietējie ceļi ar asfaltēto segumu. Garums, km |
| 13. | Vietējie ceļi.
Baltais segums |
Decimāls skaitlis (10,2) | Vietējie ceļi ar grants segumu. Garums, km |
5. XLS datnes lapas "Pašvaldību ceļi" struktūra:
| Nr. p. k. |
Nosaukums | Tips | Apraksts |
| 1. | Gads | Vesels skaitlis (4) | Pārskata gads |
| 2. | Pašvaldības nosaukums | Teksts (100) | Teritoriālās vienības nosaukums |
| 3. | Pārraudzītājs | Teksts (100) | Par ceļu uzturēšanu atbildīgā iestāde |
| 4. | Autoceļu garums kopā | Decimāls skaitlis (10,2) | Autoceļu kopgarums pašvaldības teritorijā, km |
| 5. | Autoceļi ar melno segumu. Garums | Decimāls skaitlis (10,2) | Asfaltēto ceļu garums, km |
| 6. | Ielu garums kopā | Decimāls skaitlis (10,2) | Pašvaldības teritorijā esošo ielu garums, km |
| 7. | Ielu brauktuves laukums kopā | Decimāls skaitlis (10,2) | Pašvaldības teritorijā esošo brauktuvju laukums, m2 |
| 8. | Ielas ar melno segumu. Garums | Decimāls skaitlis (10,2) | Pašvaldības teritorijā esošo asfaltēto ielu garums, km |
| 9. | Ielu brauktuves ar melno segumu. Laukums | Decimāls skaitlis (10,2) | Pašvaldības teritorijā esošo ielu brauktuves ar asfaltēto segumu. Laukums, m2 |
| 10. | Tiltu skaits | Vesels skaitlis | Pašvaldības teritorijā esošo tiltu skaits |
| 11. | Tiltu garums | Decimāls skaitlis (10,2) | Pašvaldības teritorijā esošo tiltu garums |
| 12. | Tiltu brauktuves laukums | Decimāls skaitlis (10,2) | Pašvaldības teritorijā esošo tiltu brauktuvju laukums, m2 |
Vides aizsardzības un
reģionālās attīstības ministrs Romāns Naudiņš
11.pielikums
Ministru kabineta
2014.gada 1.jūlija
noteikumiem Nr.367
Pilsonības un migrācijas lietu pārvaldes sniedzamie dati
1. Dati tiek noformēti ASCII ar komatu atdalīto vērtību (comma-separated values) teksta datņu veidā *.csv, par vērtību atdalītāju izmantojot simbolu ‘@’. Katrs datu ieraksts sākas jaunā rindā (CR LF).
2. Veidojamie datņu nosaukumi satur pārskata gatavošanas gadu (turpmāk – kārtējais gads). Datņu nosaukumus veido tikai latīņu burti, cipari un simbols ‘_’.
3. Datne satur informāciju par Pilsonības un migrācijas lietu pārvaldes rīcībā esošo iedzīvotāju skaitu. Dati par iedzīvotāju skaitu apkopojami vienu reizi gadā – pēc kārtējā gada 1. janvāra datiem:
3.1. datnes nosaukums tiek veidots pēc shēmas <yyyy>_<men>_PMLP_iedzivotaju_skaits.csv, kur <yyyy> ir gads, <men> – mēneša numurs (<men> ir 01, ja dati gatavoti pēc fiksēta Iedzīvotāju reģistra datubāzes stāvokļa uz 1. janvāri);
3.2. CSV datnes struktūra:
| Nr. p. k. |
Nosaukums | Tips | Apraksts |
| 1. | Datums | Teksts (10), formātā (yyyy. mm) | Pārskata datums (kārtējā gada janvāris vai jūlijs) |
| 2. | Pašvaldība | Teksts (100) | Republikas pilsēta vai novads |
| 3. | pATVK1 kods | Teksts (20) | Pašvaldības ATVK kods |
| 4. | Teritorija | Teksts (100) | Pašvaldības teritorija (pagasti) |
| 5. | tATVK2 kods | Teksts (20) | Teritorijas (pagasta) ATVK kods |
| 6. | Vecuma grupa | Teksts (10) | Vecuma grupas: 0–6; 7–14; 15–18; 19–24; 25–49; 50–61; 62–74; 75 un vecāki |
| 7. | Vīrieši | Vesels skaitlis (8) | Vīriešu skaits |
| 8. | Sievietes | Vesels skaitlis (8) | Sieviešu skaits |
3.3. piemērs – datne 2011_01_PMLP_iedzivotaju_skaits.csv:
datums@pašvaldība@pATVK kods@teritorija@tATVK kods@vecuma grupa@vīrieši@sievietes
2011.01@IECAVAS NOVADS@406400@@@15-18@3400@2400
2011.01@IECAVAS NOVADS@406400@@@19-24@3700@4000
2011.01@AUCES NOVADS@460800@VĪTIŅU PAGASTS@460894@62-74@300@400
2011.01@RĪGA@010000@@@7-14@13000@13000
2011.01@VENTSPILS@270000@@@7-14@7000@9000
4. Datne satur informāciju par Pilsonības un migrācijas lietu pārvaldes rīcībā esošo iepriekšējā gadā mirušo skaitu. Dati par mirušo skaitu apkopojami vienu reizi gadā pēc šo noteikumu 22.3. punktā minētā atgādinājuma saņemšanas un iesniedzami līdz kārtējā gada 1. aprīlim pēc aktualizētajiem datiem par iepriekšējo gadu;
4.1. datnes nosaukums tiek veidots pēc shēmas <yyyy>_04_PMLP_Miruso_skaits.csv;
4.2. CSV datnes struktūra:
| Nr. p. k. |
Nosaukums | Tips | Apraksts |
| 1. | Gads | Vesels skaitlis | Gads |
| 2. | Pašvaldība | Teksts (100) | Republikas pilsēta vai novads |
| 3. | pATVK kods | Teksts (20) | Pašvaldības ATVK kods |
| 4. | Teritorija | Teksts (100) | Pašvaldības teritorija |
| 5. | tATVK kods | Teksts (20) | Teritorijas ATVK kods |
| 6. | Vecuma grupa | Teksts (10) | Vecuma grupas: 0–6; 7–14; 15–18; 19–24; 25–49; 50–61; 62–74; 75 un vecāki |
| 7. | Vīrieši | Vesels skaitlis (8) | Vīriešu skaits |
| 8. | Sievietes | Vesels skaitlis (8) | Sieviešu skaits |
4.3. piemērs – datne 2011_04_PMLP_Miruso_skaits.csv:
gads@pašvaldība@pATVK kods@teritorija@tATVK kods@vecuma grupa@vīrieši@sievietes
2010@IECAVAS NOVADS@406400@@@25-49@3@2
2010@IECAVAS NOVADS@406400@@@50-61@7@4
2010@AUCES NOVADS@460800@VĪTIŅU PAGASTS@460894@25-49@4@2
2010@RĪGA@010000@@@0-6@10@10
2010@VENTSPILS@270000@@@67-74@9@10
5. Datne satur informāciju par Pilsonības un migrācijas lietu pārvaldes rīcībā esošo iepriekšējā gadā dzimušo skaitu. Dati par dzimušo skaitu apkopojami vienu reizi gadā pēc šo noteikumu 22.3. punktā minētā atgādinājuma saņemšanas un iesniedzami līdz kārtējā gada 1. aprīlim pēc aktualizētajiem datiem par iepriekšējo gadu:
5.1. datnes nosaukums tiek veidots pēc shēmas <yyyy>_04_PMLP_Dzimuso_skaits.csv;
5.2. CSV datnes struktūra:
| Nr. p. k. |
Nosaukums | Tips | Apraksts |
| 1. | Gads | Vesels skaitlis | Gads |
| 2. | Pašvaldība | Teksts (100) | Republikas pilsēta vai novads |
| 3. | pATVK kods | Teksts (20) | Pašvaldības ATVK kods |
| 4. | Teritorija | Teksts (100) | Pašvaldības teritorija |
| 5. | tATVK kods | Teksts (20) | Teritorijas ATVK kods |
| 6. | Vīrieši | Vesels skaitlis (8) | Vīriešu skaits |
| 7. | Sievietes | Vesels skaitlis (8) | Sieviešu skaits |
5.3. piemērs – datne 2011_04_PMLP_dzimuso_skaits.csv:
gads@pašvaldība@pATVK kods@teritorija@tATVK kods@vīrieši@sievietes
2010@IECAVAS NOVADS@406400@@@3@2
2010@IECAVAS NOVADS@406400@@@7@4
2010@AUCES NOVADS@460800@VĪTIŅU PAGASTS@460894@4@2
2010@RĪGA@010000@@@10@10
2010@VENTSPILS@270000@@@9@10
Piezīmes.
1. pATVK1 – Pašvaldības administratīvo teritoriju un teritoriālo vienību klasifikators.
2. tATVK2 – Teritorijas (pagasta) administratīvo teritoriju un teritoriālo vienību klasifikators.
Vides aizsardzības un
reģionālās attīstības ministrs Romāns Naudiņš