
Ministru kabineta noteikumi: Šajā laidienā 21 Pēdējās nedēļas laikā 33 Visi
Ministru kabineta noteikumi Nr.1278
Rīgā 2013.gada 12.novembrī (prot. Nr.60 28.§)
Metroloģiskās prasības fasētajām precēm un to metroloģiskās kontroles kārtība
Izdoti saskaņā ar likuma "Par mērījumu vienotību"
10.panta otro daļu
I. Vispārīgie jautājumi
1. Noteikumi nosaka metroloģiskās prasības un metroloģiskās kontroles kārtību Latvijā piedāvātām precēm, kas fasētas nemainīgos, noteiktos nominālos daudzumos, kam ir vienādas fasēto preču ražotāja iepriekš noteiktas vērtības, kuras izteiktas masas vai tilpuma mērvienībās, kas nav mazākas par 5 gramiem vai 5 mililitriem un nav lielākas par 10 kilogramiem vai 10 litriem.
2. Noteikumos lietoti šādi termini:
2.1. fasētās preces piedāvāšana tirgū – fasētās preces piegāde izplatīšanai, patēriņam vai izmantošanai Eiropas Savienības tirgū par maksu vai bez maksas;
2.2. fasētās preces laišana tirgū – pirmoreiz fasētas preces piedāvāšana Eiropas Savienības tirgū;
2.3. fasēto preču ražotājs – persona, kas ražo fasētās preces vai laiž tās tirgū ar savu vārdu vai preču zīmi;
2.4. fasēto preču importētājs – persona, kas ir reģistrēta Eiropas Savienībā un kas laiž fasētās preces Eiropas Savienības tirgū no trešās valsts;
2.5. fasēto preču izplatītājs – piegādes ķēdē iesaistīta persona, kas nav ražotājs vai importētājs un kas piedāvā fasētās preces tirgū;
2.6. satura nominālais daudzums – produkta daudzums, kas ir norādīts uz iepakojuma;
2.7. satura faktiskais daudzums – iepakotā produkta faktiskā masa vai faktiskais tilpums;
2.8. satura daudzuma negatīvā novirze – daudzums, par kādu satura faktiskais daudzums ir mazāks nekā satura nominālais daudzums;
2.9. fasēto preču ražošanas partija – identiskos apstākļos ražotu un iepakotu viena veida preču vienību grupa ar vienādu preces satura nominālo daudzumu;
2.10. references tests – fasēto preču satura faktiskā daudzuma statistiskās kontroles metode, ko piemēro, veicot fasēto preču metroloģisko kontroli, lai izvērtētu fasēto preču partiju atbilstību šo noteikumu prasībām.
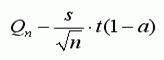
3. Tirgū piedāvā tikai tādas fasētās preces, kuras atbilst šo noteikumu II nodaļā noteiktajām metroloģiskajām prasībām un ir marķētas atbilstoši šo noteikumu III nodaļas prasībām.
4. Uz fasēto preču iepakojuma norāda produkta masu (nominālo masu) vai tilpumu (nominālo tilpumu), šķidrus produktus saturošajām fasētajām precēm norāda to nominālo tilpumu, izņemot gadījumus, kad tirdzniecības praksē speciālajās tiesību normās noteikts citādi.
5. Fasēto preču nominālo tilpumu norāda tilpuma mērvienībās – litros (l, L), centilitros (cl, cL) vai mililitros (ml, mL). Fasēto preču nominālo masu norāda masas mērvienībās – kilogramos (kg) vai gramos (g). Nominālā tilpuma vai masas norādēm nav atļauts pievienot pieļaujamo noviržu vērtības.
II. Metroloģiskās prasības piedāvāšanai tirgū paredzētajām fasētajām precēm
6. Fasēto preču satura daudzums atbilst šādām prasībām:
6.1. vienāda nominālā daudzuma fasētajām precēm satura faktiskais daudzums vidēji nedrīkst būt mazāks par marķējumā norādīto nominālo daudzumu;
6.2. atsevišķu fasējumu satura daudzuma pieļaujamā negatīvā novirze norādīta šo noteikumu 1.pielikuma 1.tabulā. Fasējumu skaits, kuru satura daudzuma negatīvā novirze pārsniedz minētās pieļaujamās vērtības, fasēto preču partijā ir pietiekami mazs, lai fasēto preču partija atbilstu šo noteikumu 2.pielikumā minētajiem references testa pieņemšanas kritērijiem;
6.3. neviens fasējums, kura satura daudzuma negatīvā novirze pārsniedz vērtību, kas ir divas reizes lielāka par šo noteikumu 1.pielikuma 1.tabulā norādīto pieļaujamo negatīvo novirzi, nedrīkst būt marķēts ar šo noteikumu 10.punktā minēto atbilstības "e" zīmi.
7. Fasēto preču statistiskās kontroles metodes (references tests) ir noteiktas šo noteikumu 2.pielikumā.
8. Ja produkta daudzums ir izteikts tilpuma mērvienībās, lielumu, ko izmanto par fasēto preču satura faktisko tilpumu, visās kontroles darbībās mēra 20 °C temperatūrā vai koriģē atbilstoši 20 °C temperatūrai neatkarīgi no temperatūras, kādā produkts ir fasēts vai tiek kontrolēts. Šī prasība neattiecas uz dziļi sasaldētiem vai saldētiem produktiem, kuru daudzums ir izteikts tilpuma mērvienībās.
III. Fasēto preču marķējumā norādāmā informācija
9. Fasētajām precēm uz iepakojuma ir labi saskatāms, salasāms un neizdzēšams marķējums, kurā norāda:
9.1. satura nominālo daudzumu (norādes augstums nedrīkst būt mazāks par šo noteikumu 1.pielikuma 2.tabulā norādītajiem ciparu atzīmju izmēriem);
9.2. ražotāja vai importētāja nosaukumu, kas var būt saīsināts tā, lai varētu identificēt ražotāju vai importētāju.
10. Fasētās preces, kas atbilst šo noteikumu prasībām, var marķēt ar atbilstības "e" zīmi uz iepakojuma vienības blakus produkta nominālās masas vai nominālā tilpuma norādei, apliecinot, ka fasējums atbilst šo noteikumu prasībām. Atbilstības zīmes forma un izmēri ir norādīti šo noteikumu 3.pielikumā. Metroloģisko kontroli šādām fasētajām precēm veic saskaņā ar šo noteikumu 2.pielikumā minētajām statistiskās kontroles metodēm.
IV. Fasēto preču metroloģiskā kontrole
11. Fasēto preču ražotājs un importētājs, laižot fasētās preces tirgū, ir atbildīgs par fasēto preču satura daudzuma un uz iepakojuma norādītā marķējuma atbilstību šo noteikumu prasībām. Par atbilstošu fasēto preču piedāvāšanu Latvijas tirgū ir atbildīgs fasēto preču izplatītājs.
12. Fasēto preču ražotājam ir šādi pienākumi:
12.1. ražošanas procesā nodrošināt sistemātisku un efektīvu fasēto preču satura faktiskā daudzuma kontroli un garantēt šo noteikumu 6.punktā minēto prasību izpildi. Šim mērķim:
12.1.1. fasēšanas procesā un fasējumu satura faktiskā daudzuma kontrolē lieto verificētus vai kalibrētus mērīšanas līdzekļus, nodrošinot mērījumu izsekojamību līdz nacionālajiem vai starptautiskajiem mērvienību etaloniem. Mērīšanas līdzekļus verificē saskaņā ar normatīvajiem aktiem par valsts metroloģiskajai kontrolei pakļauto mērīšanas līdzekļu sarakstu. Ja mērīšanas līdzekļi nav iekļauti minētajā sarakstā, tos kalibrē lietotāja noteiktos kalibrēšanas intervālos. Masas, tilpuma un blīvuma mērīšanas līdzekļu metroloģiskos parametrus izvēlas, ņemot vērā fasēto preču satura daudzuma nominālo vērtību;
12.1.2. ja fasēto preču satura daudzums ir izteikts tilpuma mērvienībās un preču fasēšanas procesā satura daudzuma atbilstības nodrošināšanai izmanto mērtraukus (mērpudeles), minētajiem mērtraukiem un to piepildīšanas nosacījumiem jāatbilst normatīvajiem aktiem par metroloģiskajām prasībām pudelēm, ko izmanto par mērtraukiem, un to metroloģiskās kontroles kārtību;
12.2. veikt fasēto preču satura faktiskā daudzuma kontroles pierakstus, dokumentējot pārbaužu un testēšanas rezultātus, kā arī mērīšanas līdzekļu verificēšanas un kalibrēšanas datus. Šo informāciju glabā vienu gadu vai līdz fasētās preces derīguma termiņa beigām, ja tas ilgāks par gadu, un pēc pieprasījuma iesniedz Patērētāju tiesību aizsardzības centrā;
12.3. veikt ar atbilstības "e" zīmi marķēto fasēto preču partiju statistiskās kontroles pierakstus, dokumentējot informāciju par atlasīto paraugu vidējo vērtību un standartnovirzi, datus, no kuriem šie lielumi iegūti, kā arī informāciju par produktu fasēšanas līniju, fasēšanas datumu un partijas identifikāciju. Šo informāciju glabā vienu gadu vai līdz preces derīguma termiņa beigām, ja tas ilgāks par gadu, un pēc pieprasījuma iesniedz Patērētāju tiesību aizsardzības centrā.
13. Uzsākot fasēto preču ražošanu ar atbilstības "e" zīmes marķējumu, ražotājs pirms minēto fasēto preču laišanas tirgū paziņo par to Patērētāju tiesību aizsardzības centram. Paziņojumā norāda:
13.1. ražotāja nosaukumu vai preču zīmi;
13.2. ražotāja juridisko adresi un reģistrācijas numuru;
13.3. fasētās preces nosaukumu;
13.4. fasējuma satura nominālo daudzumu;
13.5. fasēšanas veidu (roku darbs, fasēšanas līnijas veids).
14. Fasēto preču importētājs nodrošina fasēto preču atbilstību šo noteikumu 6.punktā minētajām prasībām.
15. Fasēto preču importētājs, pirms sāk laist tirgū ar atbilstības "e" zīmi marķētas fasētās preces, paziņo par to Patērētāju tiesību aizsardzības centram. Paziņojumā norāda:
15.1. importētāja nosaukumu;
15.2. importētāja juridisko adresi un reģistrācijas numuru;
15.3. fasētās preces ražotāja nosaukumu vai preču zīmi;
15.4. fasētās preces nosaukumu;
15.5. fasējuma satura nominālo daudzumu.
16. Ja fasētās preces marķētas ar atbilstības "e" zīmi, importētājs apliecina šo preču atbilstību, veicot visus nepieciešamos pasākumus, lai nodrošinātu sistemātisku un efektīvu fasēto preču satura faktiskā daudzuma kontroli un garantētu šo noteikumu 6.punktā minēto prasību izpildi. Fasēto preču satura faktiskā daudzuma kontroles pierakstus, dokumentējot pārbaužu un testēšanas rezultātus, kā arī mērīšanas līdzekļu verificēšanas un kalibrēšanas datus, glabā vienu gadu vai līdz preces derīguma termiņa beigām, ja tas ilgāks par gadu, un pēc pieprasījuma iesniedz Patērētāju tiesību aizsardzības centrā.
17. Ja netiek veikti šo noteikumu 16.punktā minētie pasākumi, importētājs nodrošina vienu no šādiem dokumentāriem apliecinājumiem fasēto preču satura daudzuma atbilstībai, ko pēc pieprasījuma iesniedz Patērētāju tiesību aizsardzības centrā:
17.1. Eiropas Savienības dalībvalsts vai Eiropas Savienībā atzītas kompetentas institūcijas ražotāja valstī izdotu apliecinājumu par ražotāja fasēto preču kontroles sistēmas novērtēšanas rezultātiem;
17.2. Eiropas Savienības dalībvalsts vai ražotāja valsts kompetentas institūcijas izdotus fasēto preču statistiskās kontroles rezultātus;
17.3. ražotāja izsniegtus fasēto preču statistiskās kontroles rezultātus. Šajā gadījumā importētājs periodiski pārbauda attiecīgā fasēto preču veida atbilstību šo noteikumu 6.punktā minētajām prasībām. Fasēto preču satura faktiskā daudzuma kontroles pierakstus, dokumentējot pārbaužu un testēšanas rezultātus, kā arī mērīšanas līdzekļu verificēšanas un kalibrēšanas datus, glabā vienu gadu vai līdz fasētās preces derīguma termiņa beigām, ja tas ilgāks par gadu.
18. Fasētās preces, kas marķētas ar atbilstības "e" zīmi un ražotas Eiropas Savienības dalībvalstīs vai Eiropas Ekonomikas zonas valstīs, uzskatāmas par atbilstošām šo noteikumu prasībām bez dokumentāriem apliecinājumiem fasēto preču satura daudzuma atbilstībai.
19. Fasēto preču metroloģisko kontroli pie ražotāja, importētāja vai izplatītāja veic Patērētāju tiesību aizsardzības centrs, lai izvērtētu fasēto preču satura faktiskā daudzuma atbilstību šo noteikumu 6.punktā minētajām prasībām. Šim mērķim Patērētāju tiesību aizsardzības centra amatpersonām ir tiesības ņemt fasēto preču paraugus un veikt references testu saskaņā ar šo noteikumu 2.pielikumā norādītajām statistiskās kontroles metodēm un kritērijiem paraugu atlasei.
20. Ja šo noteikumu 19.punktā minētajā kontrolē konstatēts, ka fasēto preču partija neatbilst šo noteikumu 6.2.apakšpunktā minētajiem kritērijiem attiecībā uz satura faktiskā daudzuma negatīvo novirzi, Patērētāju tiesību aizsardzības centra amatpersonas ir tiesīgas apturēt preču partijas realizāciju līdz konstatēto neatbilstību novēršanai.
21. Ja ražotājs, importētājs vai izplatītājs ir novērsis konstatētās neatbilstības, tajā skaitā neatbilstošā preču partija ir pārfasēta, tai nomainīts marķējums vai atlasītas nederīgās iepakojuma vienības, ražotājs, importētājs vai izplatītājs par to informē Patērētāju tiesību aizsardzības centru. Patērētāju tiesību aizsardzības centrs izvērtē minēto darbību rezultātus vai veic atkārtotu neatbilstošās preču partijas pārbaudi un, ja neatbilstības ir novērstas, atļauj tās realizāciju.
V. Noslēguma jautājumi
22. Atzīt par spēku zaudējušiem 2001.gada 22.maija noteikumus Nr.201 "Noteikumi par metroloģiskajām prasībām fasētajām precēm un to metroloģiskās kontroles kārtība" (Latvijas Vēstnesis, 2001, 81.nr.; 2006, 144.nr.).
23. Fasēto preču ražotāji un importētāji, kuri uzsākuši laist tirgū fasētās preces ar atbilstības "e" zīmes marķējumu līdz šo noteikumu spēkā stāšanās dienai, par to līdz 2014.gada 1.janvārim informē Patērētāju tiesību aizsardzības centru.
Informatīva atsauce uz Eiropas Savienības direktīvu
Noteikumos iekļautas tiesību normas, kas izriet no Padomes 1976.gada 20.janvāra Direktīvas 76/211/EEK par dalībvalstu tiesību aktu tuvināšanu attiecībā uz dažu fasētu produktu pildīšanu pēc svara vai tilpuma.
Ministru prezidenta vietā –
aizsardzības ministrs Artis Pabriks
Ekonomikas ministrs Daniels Pavļuts
1.pielikums
Ministru kabineta
2013.gada 12.novembra
noteikumiem Nr.1278
Pieļaujamās fasēto preču satura daudzuma negatīvās novirzes un marķējuma izmēri
1.tabula
|
Nr. p.k. |
Nominālais daudzums Qn (g vai ml) |
Pieļaujamā negatīvā novirze |
|
|
% no Qn |
g vai ml |
||
| 1. | No 5 līdz 50 |
9 |
– |
| 2. | No 50 līdz 100 |
– |
4,5 |
| 3. | No 100 līdz 200 |
4,5 |
– |
| 4. | No 200 līdz 300 |
– |
9 |
| 5. | No 300 līdz 500 |
3 |
– |
| 6. | No 500 līdz 1000 |
– |
15 |
| 7. | No 1000 līdz 10000 |
1,5 |
– |
Piezīmes.
1. Procentuāli norādītās pieļaujamo negatīvo noviržu vērtības, aprēķinot masas vai tilpuma mērvienībās, noapaļo uz augšu līdz tuvākajai grama vai mililitra desmitdaļai.
2. Saskaņā ar šo noteikumu 2.pielikumā norādītajām statistiskās kontroles metodēm maksimāli 2,5 % fasējumu ir pieļaujama negatīvā novirze, kas pārsniedz 1.tabulā norādīto pieļaujamo negatīvo novirzi.
2.tabula
|
Nr. p.k. |
Nominālais daudzums Qn (g vai ml) |
Norādes ciparu atzīmes augstumam (mm) |
| 1. | No 5 līdz 50 |
2 |
| 2. | >50–200 |
3 |
| 3. | >200–1000 |
4 |
| 4. | >1000 |
6 |
Piezīme.
3. Norādei par nominālo daudzumu seko mērvienības simbols vai, ja nepieciešams, attiecīgās mērvienības nosaukums.
Ekonomikas ministrs Daniels Pavļuts
2.pielikums
Ministru kabineta
2013.gada 12.novembra
noteikumiem Nr.1278
Fasēto preču statistiskās kontroles metodes (references tests)
I. Fasēto preču satura faktiskā daudzuma mērīšana
1. Fasēto preču satura faktisko daudzumu nosaka ar tiešiem mērījumiem, izmantojot masas vai tilpuma mērīšanas līdzekļus, vai ar netiešiem mērījumiem (šķidrajiem produktiem), nosverot produktu un nosakot tā blīvumu. Ja iepakojuma masas statistiskā novērtējuma dati ir zināmi vai iegūstami, veicot kontroli, fasēto preču satura faktisko daudzumu atļauts noteikt, ņemot vērā iepakojuma masas vidējo vērtību.
2. Neatkarīgi no tā, kāda metode izmantota, nosakot fasēto preču satura faktisko daudzumu, mērījumu kļūda nedrīkst pārsniegt vienu piektdaļu no preces satura daudzuma pieļaujamās negatīvās novirzes.
II. Fasēto preču partijas kontrole
3. Fasēto preču kontroles veikšanai ņem attiecīgās partijas paraugus. Kontrolē nosaka:
3.1. katras atlasītās fasētās preces vienības satura faktisko daudzumu;
3.2. atlasīto fasēto preču vienību satura faktiskā daudzuma vidējo vērtību.
4. Fasēto preču partiju uzskata par pieņemamu, ja kontroles rezultāti atbilst šā pielikuma 1., 2., 3., 4., 5. un 6.tabulā noteiktajiem parauga pieņemšanas kritērijiem.
5. Lai veiktu šā pielikuma 3.punktā paredzēto kontroli, izmanto šādus testēšanas veidus:
5.1. testēšanu, nesabojājot paraugu (iepakojums netiek atvērts);
5.2. testēšanu, sabojājot paraugu (iepakojums tiek atvērts vai sabojāts).
6. Ja fasēto preču partijā ir mazāk par 100 fasējumu vienībām, piemēro tikai šā pielikuma 5.1.apakšpunktā noteikto testēšanu, nesabojājot paraugu.
III. Fasēto preču partijas apjoma noteikšana un paraugu atlase
7. Atlasot paraugus, ņem vērā fasēto preču ražošanas partijas apjomu un izvēlas vienību skaitu paraugā saskaņā ar šā pielikuma 1., 3., 4. un 6.tabulu.
8. Ja fasējumi kontrolei tiek ņemti no fasēšanas līnijas, to skaitam katrā partijā jābūt vienādam ar fasēšanas līnijas maksimālo izlaidi stundā, neierobežojot partijas apjomu. Pārējos gadījumos partijas apjomu ierobežo līdz 10000 vienībām.
9. Preču partijām, mazākām par 100 fasējumu vienībām, testēšanu veic 100 % apjomā, kā norādīts 2. un 5.tabulā.
10. Pirms tiek veikti šā pielikuma IV un V nodaļā minētie testi, no partijas, brīvi izvēloties, atlasa tādu fasējumu skaitu, lai varētu veikt pārbaudi, kurai nepieciešams lielāks vienību skaits paraugā. Otrajai pārbaudei paraugu atlasa no pirmā parauga un marķē. Paraugu marķē, pirms tiek sākti mērījumi.
IV. Fasēto preču satura faktiskā daudzuma kontrole
11. Fasēto preču satura minimālo pieņemamo daudzumu aprēķina, no satura nominālā daudzuma atņemot attiecīgo pieļaujamo negatīvo novirzi, kas noteikta atbilstošajam fasēto preču satura nominālajam daudzumam.
12. Tās fasēto preču partijas vienības, kuru satura faktiskais daudzums ir mazāks par satura minimālo pieņemamo daudzumu, uzskata par nederīgām.
13. Atkarībā no testēšanas veida izmanto vienkāršās vai dubultās paraugu ņemšanas shēmu.
14. Testēšanu, nesabojājot paraugu, piemēro saskaņā ar dubultās paraugu ņemšanas shēmu (1.tabula).
15. Pārbaudīto fasējumu skaitam jābūt vienādam ar vienību skaitu paraugā, kā norādīts 1.tabulā. Ja pirmajā paraugā atrasto nederīgo vienību skaits ir:
15.1. vienāds ar vai mazāks par pirmajā parauga pieņemšanas kritērijā noteikto skaitu, partiju uzskata par pieņemamu;
15.2. vienāds ar vai lielāks par pirmajā parauga noraidīšanas kritērijā noteikto skaitu, partiju uzskata par nederīgu;
15.3. vidējs starp pirmajā parauga pieņemšanas kritērijā un pirmajā parauga noraidīšanas kritērijā noteikto skaitu, jāpārbauda otrs paraugs, kura vienību skaits ir norādīts 1.tabulā.
16. Pirmajā un otrajā paraugā atrasto nederīgo vienību skaitu summē. Ja kopējais atrasto nederīgo vienību skaits ir:
16.1. vienāds ar vai mazāks par otrajā parauga pieņemšanas kritērijā noteikto vienību skaitu, partiju uzskata par pieņemamu;
16.2. vienāds ar vai lielāks par otrajā noraidīšanas kritērijā noteikto vienību skaitu, partiju uzskata par nederīgu.
1.tabula
|
Nr. p.k. |
Vienību skaits partijā |
Paraugi |
Nederīgo vienību skaits |
|||
|
kārtas numurs |
vienību skaits |
kopējais vienību skaits |
pieņemšanas kritēriji |
noraidīšanas kritēriji |
||
|
1. |
No 100 līdz 500 |
1. 2. |
30 30 |
30 60 |
1 4 |
3 5 |
|
2. |
No 501 līdz 3200 |
1. 2. |
50 50 |
50 100 |
2 6 |
5 7 |
|
3. |
3201 un vairāk |
1. 2. |
80 80 |
80 160 |
3 8 |
7 9 |
17. Fasēto preču satura faktiskā daudzuma novērtēšanas kritēriji partijām, mazākām par 100 fasējumu vienībām, norādīti 2.tabulā.
2.tabula
|
Vienību skaits partijā |
Vienību skaits paraugā |
Nederīgo vienību skaits |
|
| pieņemšanas kritēriji | noraidīšanas kritēriji | ||
|
< 40 |
Visa partija |
0 |
1 |
|
40–79 |
Visa partija |
1 |
2 |
|
80–99 |
Visa partija |
2 |
3 |
18. Testēšanu, sabojājot paraugu, piemēro saskaņā ar vienkāršās paraugu ņemšanas shēmu (3.tabula). Ja paraugā atrasto nederīgo vienību skaits ir:
18.1. vienāds ar vai mazāks par parauga pieņemšanas kritērijā noteikto vienību skaitu, fasēto preču partiju uzskata par pieņemamu;
18.2. vienāds ar vai lielāks par parauga noraidīšanas kritērijā noteikto vienību skaitu, fasēto preču partiju uzskata par nederīgu.
3.tabula
|
Vienību skaits partijā |
Vienību skaits paraugā |
Nederīgo vienību skaits |
|
|
pieņemšanas kritērijs |
noraidīšanas kritērijs |
||
| Neatkarīgi no skaita (≥100) |
20 |
1 |
2 |
V. Satura faktiskā daudzuma vidējās vērtības kontrole fasēto preču partijā
19. Fasēto preču partija tiek uzskatīta par pieņemamu, ja no partijas atlasīto vienību n satura faktiskā daudzuma xi vidējā vērtība
ir lielāka nekā vērtība
|
|
, kur |
Qn – fasējuma satura nominālais daudzums;
n – pārbaudei atlasīto vienību skaits paraugā;
s – satura faktiskā daudzuma standartnovirzes aprēķinātā vērtība partijai;
t(1 - a) – 0,995 ticamības līmenis pēc Stjūdenta sadalījuma ar brīvības pakāpi δ = n – 1.
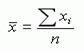
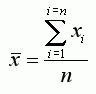
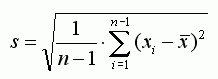
20. Ja xi ir satura faktiskā daudzuma izmērītā vērtība i vienībai paraugā, kurā ir n vienības, tad:
20.1. izmērīto vērtību vidējā vērtība paraugā ir:
20.2. standartnovirzes s vērtība ir:
21. Pieņemšanas vai noraidīšanas kritēriji fasēto preču partijām, kas pārbaudītas ar šo metodi, ir šādi:
21.1. testēšanas kritēriji, nesabojājot paraugu:
21.1.1. partijām ar vienību skaitu no 100 līdz 501 un vairāk (4.tabula):
4.tabula
| Vienību skaits partijā | Vienību skaits paraugā | Pieņemšanas kritēriji | Noraidīšanas kritēriji |
| No 100 līdz 500 |
30 |
|
|
| 501 un vairāk |
50 |
|
|
21.1.2. partijām, mazākām par 100 fasējumu vienībām (5.tabula):
5.tabula
|
Vienību skaits partijā |
Vienību skaits paraugā |
Pieņemšanas kritēriji |
Noraidīšanas kritēriji |
| 1–99 |
Visa partija |
|
|
21.2. testēšanas kritēriji, sabojājot paraugu (6.tabula):
6.tabula
|
Vienību skaits partijā |
Vienību skaits paraugā |
Pieņemšanas kritēriji |
Noraidīšanas kritēriji |
| Neatkarīgi no apjoma (≥100) |
20 |
|
|
Ekonomikas ministrs Daniels Pavļuts
3.pielikums
Ministru kabineta
2013.gada 12.novembra
noteikumiem Nr.1278
Atbilstības zīme
1. Atbilstības zīmi veido mazais burts "e", kuru attēlo šādi:
2. Atbilstības zīmes augstums ir vismaz trīs milimetri.
Ekonomikas ministrs Daniels Pavļuts