
Latvijas Bankas noteikumi: Šajā laidienā 2 Pēdējās nedēļas laikā 3 Visi
Latvijas Bankas noteikumi Nr.100
Rīgā 2013.gada 16.maijā
Monetāro finanšu iestāžu procentu likmju pārskatu sagatavošanas noteikumi
Izdoti saskaņā ar likuma "Par Latvijas Banku" 39. panta otro daļu
I. Vispārīgie jautājumi
1. Noteikumi nosaka, kura monetārā finanšu iestāde un kādā kārtībā sagatavo un iesniedz Latvijas Bankai procentu likmju pārskatus (tālāk tekstā – pārskats), kā arī pārskatu iesniegšanas termiņus.
2. Noteikumos lietoti šādi termini:
2.1. efektīvā gada izmaksu procentu likme – gada likme, kas izlīdzina to maksājumu (kredītu, kredītu pieteikumu izskatīšanas izmaksu, kredītu administrēšanas izmaksu, komisijas maksas u.c.) tagadnes un nākotnes vērtību, kuri izriet no līguma nosacījumiem, monetārajai finanšu iestādei vienojoties ar klientu (annual percentage rate of charge);
2.2. nolīgtā gada procentu likme – starp monetāro finanšu iestādi un klientu noslēgtā līgumā noteiktā procentu likme, kura aprēķināta uz gada 365 dienu bāzes un kotēta procentos gadā un kura neiekļauj komisijas maksu, administratīvos izdevumus u.c. ar kredītu un noguldījumu apkalpošanu saistītus izdevumus (annualised agreed rate);
2.3. procentu likmes darbības sākotnējais periods – līgumā noteiktais laika periods no aizdevuma izsniegšanas brīža līdz procentu likmes pārmaiņu datumam. Šis periods var būt īsāks vai vienāds ar darījuma sākumā nolīgto darījuma beigu termiņu;
2.4. šauri definētā efektīvā procentu likme – procentu likme, kas izlīdzina tādu maksājumu (noguldījumu vai kredītu, maksājumu vai atmaksu, procentu maksājumu) tagadnes un nākotnes vērtību, kuri nav komisijas un citas maksas un kuri izriet no līguma nosacījumiem, monetārajai finanšu iestādei vienojoties ar klientu (narrowly defined effective rate);
2.5. atjaunojamais kredīts – kredīts (revolving loan), kam ir šādas pazīmes:
2.5.1. klients var bez iepriekšējas paziņošanas monetārajai finanšu iestādei izmantot vai izņemt no konta līdzekļus līdz iepriekš noteiktam kredītlimitam;
2.5.2. pieejamā kredīta summa var palielināties vai samazināties, līdzekļus aizņemoties vai atmaksājot;
2.5.3. kredītu var izmantot atkārtoti;
2.5.4. nav pienākuma regulāri atmaksāt aizņemtos līdzekļus;
2.6. pārsnieguma kredīts – norēķinu konta debeta atlikums (overdraft);
2.7. kredīts mājokļa iegādei – kredīts, kas izsniegts mājsaimniecībām un mājsaimniecības apkalpojošām biedrībām un nodibinājumiem mājas, dzīvokļa vai zemes iegādei, būvniecībai vai rekonstrukcijai, t.sk. hipotēku kredīti un aizdevumi mājas vai dzīvokļa uzlabošanai, kuru izmantošana uzlabo mājas vai dzīvokļa ekonomiskos rādītājus;
2.8. norēķinu kartes divu posmu kredīts – kredīts, kas izsniegts mājsaimniecībai vai nefinanšu sabiedrībai, izmantojot atliktā maksājuma debetkarti vai kredītkarti, kurai ir divi kredītu izsniegšanas posmi – bezprocentu kredīts un procentu kredīts;
2.9. norēķinu kartes bezprocentu kredīts – kredīts, ko monetārā finanšu iestāde izsniedz mājsaimniecībai vai nefinanšu sabiedrībai kā kartes turētājai ar 0% likmi no dienas, kad norēķinu cikla laikā tiek veikts maksājums ar karti, līdz dienai, kad jānorēķinās par šā norēķinu cikla debeta atlikumu (convenience credit);
2.10. norēķinu kartes procentu kredīts – kredīts, kas seko norēķinu kartes bezprocentu kredītam (extended credit), t.i., debeta atlikums kartes kontā, par kuru nav veikts norēķins, kad tas bija iespējams pirmo reizi, un par kuru tiek aprēķināta procentu likme vai vairāklīmeņu procentu likme, kas parasti ir lielāka par 0%, un par kuru klientam jāmaksā obligātie mēneša maksājumi, lai vismaz daļēji atmaksātu norēķinu kartes procentu kredītu;
2.11. noguldījumi ar brīdinājuma termiņu par izņemšanu – naudas līdzekļi, kuri noguldīti monetārajā finanšu iestādē, nenosakot termiņu, un kurus iespējams izņemt, vai nu iepriekš brīdinot monetāro finanšu iestādi atbilstoši līgumā noteiktajam brīdinājuma termiņam, vai arī samaksājot tai nozīmīgu soda naudu (piemēram, krājnoguldījumi);
2.12. patēriņa kredīts – kredīts, kas izsniegts mājsaimniecībām un mājsaimniecības apkalpojošām biedrībām un nodibinājumiem tādu patēriņa preču (piemēram, sadzīves tehnikas un automašīnu) iegādei un pakalpojumu (piemēram, medicīniskās aprūpes un ceļojumu) samaksai, kuru nolūks nav saistīts ar peļņas guvumu;
2.13. pārējie kredīti – kredīti, kas nav izsniegti patēriņam vai mājokļa iegādei, piemēram, kredīti komercdarbībai, izglītībai;
2.14. pieprasījuma noguldījumi – tādi naudas līdzekļi klientu norēķinu kontos, kurus klients var izņemt bez iepriekšēja brīdinājuma vai ar brīdinājuma termiņu 24 stundas vai viena darbadiena, un uz nakti piesaistītie (overnight) noguldījumi;
2.15. repo darījums – vērtspapīru pārdošana par noteiktu cenu ar nosacījumu atpirkt tos pašus vai līdzīgus vērtspapīrus par noteiktu cenu darījuma termiņa beigās;
2.16. sliktie kredīti – kredīti, kuru procentu vai pamatsummas (vai tās daļas) kavējuma periods pārsniedz (90 dienu) vai kuriem konstatēts cits daļējs vai pilnīgs vērtības samazinājums;
2.17. mājsaimniecība:
2.17.1. fiziskā persona vai fizisko personu grupa kā patērētājs un tikai pašu galapatēriņam domātu preču ražotājs un nefinanšu pakalpojumu sniedzējs;
2.17.2. pašnodarbinātā persona, kas darbojas Latvijas Republikā un nav reģistrējusi savu darbību Latvijas Republikas Uzņēmumu reģistra komercreģistrā;
2.17.3. mājsaimniecības apkalpojoša biedrība un nodibinājums, kas nodrošina preces un pakalpojumus fiziskajām personām vai fizisko personu grupām un kas resursus gūst galvenokārt no brīvprātīgām iemaksām naudā vai natūrā, piemēram, arodbiedrības, profesionālās vai izglītības apvienības, patērētāju asociācijas, politiskās partijas, baznīcas, reliģiskās kopienas, kā arī kultūras, atpūtas un sporta klubi, žēlsirdības, atbalsta un palīdzības organizācijas;
2.18. monetārā finanšu iestāde (tālāk tekstā – MFI) – centrālā banka, kredītiestāde, krājaizdevu sabiedrība, naudas tirgus fonds un cita finanšu sabiedrība, kas pieņem noguldījumus vai tuvus noguldījumu aizstājējus no klientiem, kuri nav MFI, uz sava rēķina piešķir kredītus un veic ieguldījumus vērtspapīros, kā arī elektroniskās naudas iestāde, kuras pamatdarbība ir elektroniskās naudas emisija;
2.19. nefinanšu sabiedrība – saimnieciska vienība, kas ražo preces vai sniedz nefinansiālus pakalpojumus nolūkā gūt peļņu vai citus augļus, t.sk. individuālais komersants, kas darbojas Latvijas Republikā un ir reģistrējis savu darbību Latvijas Republikas Uzņēmumu reģistra komercreģistrā;
2.20. nerezidenti – visas institūcijas, kas reģistrētas ārvalstīs, un privātpersonas, kuru mājsaimniecības atrodas ārpus Latvijas Republikas vai kuras ieradušās Latvijas Republikā uz laiku, kas īsāks par 1 gadu (izņēmums – studenti);
2.21. rezidenti – visas institūcijas, t.sk. ārvalstu, kas reģistrētas un darbojas Latvijas Republikā, un privātpersonas, kuru mājsaimniecības atrodas Latvijas Republikā un kuras neizbrauc ārpus Latvijas Republikas uz laiku, kas ilgāks par 1 gadu (izņēmums – studenti);
2.22. klients – fiziskā vai juridiskā persona, kurai MFI sniedz finanšu pakalpojumus.
3. Pārskatos sniegtā informācija nepieciešama procentu likmju statistikas sagatavošanai atbilstoši Eiropas Savienības, t.sk. Eiropas Centrālās bankas, tiesību aktu prasībām, lai nodrošinātu Eiropas Centrālās bankas monetārās politikas īstenošanu un makroekonomisko prognozēšanu un informētu citas institūcijas un sabiedrību par procentu likmēm Latvijas Republikā.
4. Pārskatos sniegto informāciju Latvijas Banka var nodot likuma "Par Latvijas Banku" 40. panta otrajā daļā minētajām iestādēm, ievērojot minētajā likumā noteiktās prasības.
5. Noteikumi attiecas uz šādām MFI:
5.1. Latvijas Republikā reģistrētām kredītiestādēm un citās valstīs reģistrētu kredītiestāžu filiālēm, kuras reģistrētas Latvijas Republikā (tālāk tekstā – kredītiestāde);
5.2. Latvijas Republikā reģistrētām krājaizdevu sabiedrībām (tālāk tekstā – krājaizdevu sabiedrība), kuru kredītu atlikumu kopsumma ir lielāka par 250 000 euro.
II. Procentu likmju pārskatu sagatavošanas un iesniegšanas kārtība un iesniegšanas termiņi
6. MFI sagatavo un iesniedz Latvijas Bankai šādus pārskatus:
6.1. "Jauno darījumu procentu likmju pārskats" (1. pielikums);
6.2. "Darījumu atlikumu procentu likmju pārskats" (2. pielikums);
6.3. ""Jauno darījumu procentu likmju pārskata" pozīciju pārmaiņas" (3. pielikums).
7. MFI pārskatus sagatavo un iesniedz pēc pārskata mēneša beigām Latvijas Bankai šādos termiņos:
7.1. kredītiestādes – sešu darbadienu laikā pēc pārskata mēneša beigām;
7.2. krājaizdevu sabiedrības – ''Jauno darījumu procentu likmju pārskatu'' par martu, jūniju, septembri un decembri un ''Darījumu atlikumu procentu likmju pārskatu'' par stāvokli 31. martā, 30. jūnijā, 30. septembrī un 31. decembrī – četru darbadienu laikā pēc pārskata mēneša beigām.
8. Pārskatus iesniedz elektroniskā veidā atbilstoši Latvijas Bankas noteikumiem, kas nosaka kārtību, kādā notiek elektroniskā informācijas apmaiņa ar Latvijas Banku.
9. Pārskatos ievēro rādītāju dalījumu attiecībā uz rezidentiem un nerezidentiem. Attiecībā uz nerezidentiem pārskatos ievēro dalījumu pārējās euro zonas valstīs un pārējās ārvalstīs.
10. Pārskatos atsevišķi uzrāda darījumus euro, ASV dolāros un pārējās ārvalstu valūtās.
11. Sagatavojot pārskatus, MFI katram kredītam vai noguldījumam aprēķina nolīgto gada procentu likmi vai šauri definēto efektīvo procentu likmi, pamatojoties uz līguma nosacījumiem. Šauri definēto efektīvo procentu likmi var aprēķināt jebkuram noguldījumam vai aizdevumam. MFI var izmantot arī nolīgtās gada procentu likmes aprēķinu, ja:
11.1. procentu kapitalizācija notiek regulāri un sakrīt ar pamatsummas samaksas grafiku;
11.2. pamatsummas samaksa un procentu kapitalizācija notiek regulāri, bet procentu maksājumi tiek veikti biežāk nekā pamatsummas samaksa.
12. MFI lieto tikai šauri definētās efektīvās procentu likmes aprēķinu, ja:
12.1. pamatsummas samaksa ir regulāra, bet procentu maksājumi ir neregulāri vai procentu maksājumi tiek veikti retāk nekā pamatsummas samaksa;
12.2. procentu maksājumi tiek veikti reizi ceturksnī, bet pamatsummas samaksa nav regulāra.
13. Nolīgto gada procentu likmi aprēķina, izmantojot šādu vienādojumu:
|
|
, |
kur:
AAR – nolīgtā gada procentu likme;
r – gada procentu likme, kas noteikta līgumā (mainīgas procentu likmes gadījumā izmanto aizdevuma izsniegšanas brīdī aprēķināto procentu likmi);
n – procentu kapitalizācijas reižu skaits gadā (piemēram, 1, 2, 4, 12).
14. Šauri definēto efektīvo procentu likmi aprēķina, izmantojot šādu vienādojumu:
|
|
, |
kur:
S – sākotnēji izsniegtā kredīta (piesaistītā noguldījuma) apjoms;
i – šauri definētā efektīvā procentu likme;
CFn – n-tā nākotnes naudas plūsma;
N – ar finanšu instrumentu saistīto naudas plūsmu skaits;
Dn – dienu skaits no datuma, kad izsniegts kredīts (piesaistīts noguldījums), līdz datumam, kad notiek n-tā nākotnes naudas plūsma.
15. Izsniegto kredītu un piesaistīto noguldījumu apjomu un atlikumu uzrāda veselos euro. Ārvalstu valūtās izsniegto kredītu un piesaistīto noguldījumu apjomu un atlikumu uzrāda euro saskaņā ar grāmatvedībā izmantojamo attiecīgās ārvalstu valūtas kursu pārskata mēneša pēdējā dienā.
16. Procentu likmes uzrāda procentos, norādot četrus ciparus aiz komata.
17. Attiecinot katru kredītu vai noguldījumu uz konkrētu termiņu grupu, ņem vērā, ka pārskatu ietvaros par gadu uzskatāms periods no iepriekšējā gada konkrētā datuma līdz attiecīgā gada tam pašam datumam (ieskaitot).
18. Katrā termiņu grupā uzrāda arī tos kredītus un noguldījumus, kuri attiecināmi uz termiņu grupas ilgāko termiņu.
III. ''Jauno darījumu procentu likmju pārskata'' un pārskata ''"Jauno darījumu procentu likmju pārskata" pozīciju pārmaiņas" aizpildīšanas kārtība
19. ''Jauno darījumu procentu likmju pārskatā'' MFI uzrāda pārskata perioda jaunos darījumus.
20. Jaunais darījums ir starp mājsaimniecību vai nefinanšu sabiedrību un MFI pārskata periodā:
20.1. no jauna noslēgts finanšu līgums, kurā pirmo reizi noteikta kredīta vai noguldījuma procentu likme;
20.2. noslēgta vienošanās par jauniem spēkā esošā kredīta vai noguldījuma līguma noteikumiem.
21. Spēkā esošo noguldījuma, kredīta un repo līgumu pagarinājumi, kas notiek automātiski, t.i., bez klienta aktīvas iejaukšanās, un neietver jaunas vienošanās par spēkā esošā līguma noteikumiem, t.sk. procentu likmi, nav uzskatāmi par jauniem darījumiem. Ja līguma darbības laikā (laikā t1) fiksēto procentu likmi aizstāj ar mainīgo procentu likmi un otrādi, par ko puses vienojušās līguma darbības sākumā (laikā t0), to neuzskata par jaunu vienošanos.
22. ''Jauno darījumu procentu likmju pārskatā'' ietver jaunos darījumus par kredīta, pārsnieguma kredīta, atjaunojamā kredīta un norēķinu kartes divu posmu kredīta izsniegšanu, piesaistītajiem noguldījumiem un repo darījumiem. Par jaunajiem darījumiem uzskatāmi arī tie darījumi, kuru norēķinu diena ir nākamajā pārskata periodā.
23. Jaunā darījuma noslēgšanas brīdī ''Jauno darījumu procentu likmju pārskatā'' uzrāda visu attiecīgajā darījumā noteikto summu, izņemot šo noteikumu 24. un 25. punktā minēto.
24. Pārsnieguma kredītu, atjaunojamo kredītu un norēķinu kartes divu posmu kredītu ''Jauno darījumu procentu likmju pārskatā'' uzrāda kā pārskata mēneša pēdējās dienas bilances atlikumu (atlikums dienas beigās).
25. Ja kredīts izsniegts saskaņā ar kredītlīnijas nosacījumiem, ''Jauno darījumu procentu likmju pārskatā'' uzrāda summas, kas kredītlīnijas ietvaros izņemtas un pārskata perioda beigās nav atmaksātas. Kredītlīnijā pieejamā summa, kas nav izņemta vai ir atmaksāta, nav uzrādāma ne kā jauns darījums, ne kā darījuma atlikums.
26. Ja mājsaimniecība vai nefinanšu sabiedrība izņem kredītu pa daļām (tranches) laikā t1, t2, t3 utt., nevis visu summu līguma darbības sākumā (laikā t0), "Jauno darījumu procentu likmju pārskatā" to uzrāda kā vienošanos starp mājsaimniecību vai nefinanšu sabiedrību un MFI laikā t0 ar līgumā norādīto procentu likmi un visu līgumā noteikto summu.
27. ''Jauno darījumu procentu likmju pārskatā'', aprēķinot norēķinu kartes divu posmu kredītu vidējo svērto procentu likmi, norēķinu kartes bezprocentu kredītu atlikumi nav jāņem vērā.
28. Pozīcijas ''Pārējie kredīti mājsaimniecībām'' apakšpozīcijā "t.sk. kredīti pašnodarbinātām personām" atsevišķi uzrāda kredītus pašnodarbinātām personām saimnieciskās darbības veikšanai. Kredītus pašnodarbinātām personām privātajam patēriņam uzrāda attiecīgi vai nu pozīcijā "Kredīti mājsaimniecībām mājokļa iegādei" vai pozīcijā "Patēriņa kredīti mājsaimniecībām".
29. Katrs rezidentu nefinanšu sabiedrībām un pārējo euro zonas valstu nefinanšu sabiedrībām izsniegts kredīts uzrādāms vienā no šādām grupām:
29.1. kredīta apjoms līdz 250 000 euro;
29.2. kredīta apjoms no 250 001 līdz 1 000 000 euro;
29.3. kredīta apjoms pārsniedz 1 000 000 euro.
30. Šo noteikumu 29. punktā minētajiem kredītiem, kuri izsniegti valūtā, kas nav euro, kredīta apjomu pārrēķina saskaņā ar šo noteikumu 15. punkta prasībām.
31. ''Jauno darījumu procentu likmju pārskatā'' atsevišķi uzrāda kredītus nefinanšu sabiedrībām ar mainīgo procentu likmi, ar procentu likmes darbības sākotnējo periodu līdz 1 gadam un sākotnējo kredīta termiņu ilgāku par 1 gadu.
32. Pozīcijās ''Kredīti mājsaimniecībām mājokļa iegādei'' un ''Patēriņa kredīti mājsaimniecībām'' mājsaimniecībām un nefinanšu sabiedrībām visās kredītu apjomu grupās apakšpozīcijā ''t.sk. kredīti ar nodrošinājumu vai garantiju'' atsevišķi uzrāda kredītus, kuriem ir nodrošinājums vai garantija, kas ir vienāda ar kredīta kopējo apjomu vai lielāka par to.
33. Noguldījumus uzrāda, ievērojot, ka noguldījumiem ar noteikto termiņu noteicošais ir darījuma sākumā nolīgtais darījuma beigu termiņš.
34. ''Jauno darījumu procentu likmju pārskatā'' jaunos kredītus, izņemot atjaunojamos, pārsnieguma un norēķinu karšu divu posmu kredītus, klasificē pēc procentu likmes darbības sākotnējā perioda. Procentu likmi uzskata par nemainīgu tad, ja tās vērtība ir precīzi noteikta, piemēram, 10%, vai ja tā ir salikta procentu likme, kuras pamatā ir indeksa vērtība noteiktā datumā un laikā. Kredītus, kuriem nav noteikts procentu likmes darbības sākotnējais periods, uzrāda kā kredītus ar mainīgo procentu likmi un procentu likmes darbības sākotnējo periodu līdz 1 gadam mājsaimniecībām un procentu likmes darbības sākotnējo periodu līdz 3 mēnešiem nefinanšu sabiedrībām.
35. ''Jauno darījumu procentu likmju pārskatā'' uzrādāmo vidējo svērto procentu likmi aprēķina, izmantojot šādu vienādojumu:
|
|
, |
kur:
R – vidējā svērtā procentu likme;
Vn – katra no jauna noslēgtā kredīta līguma (piesaistītā noguldījuma) apjoms pārskata periodā;
An – katra no jauna noslēgtā kredīta līguma (piesaistītā noguldījuma) nolīgtā gada procentu likme, šauri definētā efektīvā procentu likme vai efektīvā gada izmaksu procentu likme.
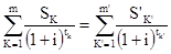
36. Efektīvo gada izmaksu procentu likmi aprēķina kredītiem mājsaimniecībām mājokļa iegādei un patēriņa kredītiem mājsaimniecībām, izmantojot šādu vienādojumu:
|
|
, |
kur:
K – veikto kredīta izmaksu kārtas numurs;
K' – veikto kredīta atmaksu kārtas numurs;
Sk – K kredīta izmaksas summa;
S'k' – K' kredīta atmaksas summa (pamatsumma, procenti, komisijas maksa u.c. maksājumi);
m – pēdējās veiktās kredīta izmaksas kārtas numurs;
m' – pēdējās veiktās kredīta atmaksas kārtas numurs;
tk – intervāls, kas izteikts gados un gada daļās (daļskaitlis), starp kredīta izmaksas reizi Nr. 1 un katru nākamo kredīta izmaksas reizi Nr. 2 līdz Nr. m;
tk' – intervāls, izteikts gados un gada daļās (daļskaitlis), starp kredīta izmaksas reizi Nr. 1 un katru atmaksas reizi Nr. 1 līdz Nr. m';
i – efektīvā gada izmaksu procentu likme.
37. Ja ''Jauno darījumu procentu likmju pārskata'' atsevišķas pozīcijas rādītājs salīdzinājumā ar iepriekšējā mēneša ''Jauno darījumu procentu likmju pārskata'' attiecīgo rādītāju mainījies par 2 vai vairāk procentu punktiem, MFI aizpilda pārskatu ""Jauno darījumu procentu likmju pārskata" pozīciju pārmaiņas", norādot pārmaiņu iemeslus.
IV. "Darījumu atlikumu procentu likmju pārskata" aizpildīšanas kārtība
38. ''Darījumu atlikumu procentu likmju pārskatā'' uzrāda MFI kredītu, noguldījumu un repo darījumu pārskata mēneša pēdējās dienas bilances atlikumus (atlikumi dienas beigās).
39. ''Darījumu atlikumu procentu likmju pārskatā'' atsevišķi uzrāda kredītus (ietverot pārsnieguma kredītus, atjaunojamos kredītus un norēķinu kartes divu posmu kredītus) termiņu dalījumā, pieprasījuma noguldījumus, noguldījumus ar noteiktu termiņu, noguldījumus ar brīdinājuma termiņu par izņemšanu un repo darījumus.
40. Ja mājsaimniecībām un nefinanšu sabiedrībām darījuma veids ir pārsnieguma kredīts vai atjaunojamais kredīts, tas uzrādāms kredītu termiņu grupā līdz 1 gadam. Norēķinu kartes divu posmu kredīts uzrādāms kredīta termiņu grupā atbilstoši līgumā noteiktajam termiņam. Aprēķinot norēķinu kartes divu posmu kredīta vidējo svērto procentu likmi, norēķinu kartes bezprocentu kredīta atlikumu neņem vērā.
41. Kredītus un noguldījumus ''Darījumu atlikumu procentu likmju pārskatā'' uzrāda dalījumā pēc darījuma sākumā nolīgtā darījuma beigu termiņa.
42. ''Darījumu atlikumu procentu likmju pārskatā'', aprēķinot kredītu vidējo svērto procentu likmi, nav jāņem vērā sliktie kredīti. Slikto kredītu atlikumus uzrāda atbilstošajā ''Darījumu atlikumu procentu likmju pārskata'' pozīcijā ''Atlikums".
43. ''Darījumu atlikumu procentu likmju pārskatā'' vidējo svērto procentu likmi aprēķina, izmantojot šādu vienādojumu:
|
|
, |
kur:
R – vidējā svērtā procentu likme;
Vn – katra kredīta, noguldījuma vai repo darījuma atlikums pārskata perioda beigās;
An – katra kredīta, noguldījuma vai repo darījuma nolīgtā gada procentu likme vai šauri definētā efektīvā procentu likme.
V. Noslēguma jautājumi
44. Pārskatiem par 2013. gada decembra mēnesi piemēro Latvijas Bankas padomes 2009. gada 10. septembra noteikumus Nr. 42 "Monetāro finanšu iestāžu procentu likmju pārskatu sagatavošanas noteikumi". Šajā punktā minētos pārskatus iesniedz Latvijas Bankai līdz 2014. gada 8. janvārim.
45. Atzīt par spēku zaudējušiem Latvijas Bankas padomes 2009. gada 10. septembra noteikumus Nr. 42 "Monetāro finanšu iestāžu procentu likmju pārskatu sagatavošanas noteikumi" (Latvijas Vēstnesis, 2009, Nr. 156).
46. Noteikumi stājas spēkā datumā, ar kuru Eiropas Savienības Padome saskaņā ar Līguma par Eiropas Savienības darbību 140. panta 2. punktu Latvijas Republikai atceļ izņēmuma statusu.
Latvijas Bankas prezidents I.Rimšēvičs
1.pielikums
Latvijas Bankas 2013.gada 16.maija
noteikumiem Nr.100
Latvijas Bankas prezidents I.Rimšēvičs
2.pielikums
Latvijas Bankas 2013.gada 16.maija
noteikumiem Nr.100
Latvijas Bankas prezidents I.Rimšēvičs
3.pielikums
Latvijas Bankas 2013.gada 16.maija
noteikumiem Nr.100
Latvijas Bankas prezidents I.Rimšēvičs