
Ministru kabineta noteikumi: Šajā laidienā 26 Pēdējās nedēļas laikā 40 Visi
Ministru kabineta noteikumi Nr.832
Rīgā 2012.gada 11.decembrī (prot. Nr.70 20.§)
Kārtība, kādā nosakāma kravas automobiļu dzenošā tilta atsperojuma ekvivalence pneimatiskajam atsperojumam
Izdoti saskaņā ar Transportlīdzekļa ekspluatācijas nodokļa
un
uzņēmumu vieglo transportlīdzekļu nodokļa likuma 4.panta
divpadsmito daļu un likuma "Par atbilstības novērtēšanu"
7.panta pirmo daļu
1. Noteikumi nosaka kārtību, kādā kravas automobiļiem ar pilnu masu, lielāku par 12000 kg (turpmāk – transportlīdzeklis), nosakāma dzenošā tilta atsperojuma ekvivalence pneimatiskajam atsperojumam.
2. Par pneimatisko atsperojumu uzskata atsperojumu, kuram vismaz 75 % no atsperīguma efekta rada pneimatiskie elementi.
3. Atsperojums, kas nav pneimatiskais atsperojums, tiek uzskatīts par ekvivalentu pneimatiskajam atsperojumam, ja tas atbilst šo noteikumu 1.pielikumā minētajām prasībām.
4. Ekvivalences novērtēšanu atbilstoši šo noteikumu 1.pielikumā minētajām prasībām ir tiesīga veikt akreditēta inspicēšanas institūcija, par kuru Ekonomikas ministrija ir publicējusi paziņojumu oficiālajā izdevumā "Latvijas Vēstnesis" (turpmāk – inspicēšanas institūcija), ja tā ir akreditēta Latvijas Nacionālajā akreditācijas birojā atbilstoši standartā LVS EN ISO/IEC 17020:2005 "Galvenie kritēriji dažādu veidu institūcijām, kas veic inspekciju" noteiktajiem kritērijiem un šajos noteikumos noteiktajām prasībām.
5. Latvijas Nacionālais akreditācijas birojs novērtē un regulāri pārbauda inspicēšanas institūcijas atbilstību šo noteikumu 4.punktā minētajām prasībām.
6. Lai novērtētu transportlīdzekļa dzenošā tilta atsperojuma ekvivalenci pneimatiskajam atsperojumam, transportlīdzekļa īpašnieks (turētājs) iesniedz inspicēšanas institūcijā attiecīgu iesniegumu.
7. Inspicēšanas institūcija reģistrē iesniegumu un piecu darbdienu laikā informē tā iesniedzēju par transportlīdzekļa novērtēšanas vietu un laiku. Transportlīdzekli novērtē 15 darbdienu laikā pēc iesnieguma reģistrēšanas.
8. Novērtējot transportlīdzekli, inspicēšanas institūcija veic šo noteikumu 1.pielikumā minētos testus un aprēķinus un sniedz atzinumu par transportlīdzekļa atbilstību šo noteikumu 1.pielikumā minētajām prasībām.
9. Ja inspicēšanas institūcija konstatē, ka transportlīdzekļa dzenošā tilta atsperojums ir ekvivalents pneimatiskajam atsperojumam, tā pieņem lēmumu izsniegt apliecinājumu par dzenošā tilta atsperojuma ekvivalenci pneimatiskajam atsperojumam (2.pielikums) un izdara attiecīgu atzīmi Transportlīdzekļu un to vadītāju valsts reģistrā.
10. Ja inspicēšanas institūcija konstatē, ka transportlīdzekļa dzenošā tilta atsperojums nav ekvivalents pneimatiskajam atsperojumam, tā pieņem lēmumu par atteikumu izsniegt šo noteikumu 9.punktā minēto apliecinājumu un rakstiski informē par to transportlīdzekļa īpašnieku, pamatojot atteikuma iemeslu, kā arī norāda kārtību, kādā pieņemto lēmumu iespējams apstrīdēt.
11. Atzīt par spēku zaudējušiem Ministru kabineta 2005.gada 12.jūlija noteikumus Nr.500 "Kārtība, kādā nosakāma dzenošā tilta atsperojuma ekvivalence pneimatiskajam atsperojumam" (Latvijas Vēstnesis, 2005, 111.nr.).
Ministru prezidents V.Dombrovskis
Satiksmes ministrs A.Ronis
1.pielikums
Ministru kabineta
2012.gada 11.decembra
noteikumiem Nr.832
Prasības atsperojumam, lai to uzskatītu par ekvivalentu pneimatiskajam
1. Maksimāli slogotas balstiekārtas atsperotās masas nestacionāro zemfrekvences vertikālo pašsvārstību laikā virs dzenošās ass vai asu ratiņiem izmērītajai frekvencei un svārstību rimšanai jāatbilst šādām prasībām:
1.1. vidējais svārstību rimšanas koeficients D ir par 20 % lielāks nekā kritiskā rimšana, ja balstiekārta ir normālā kondīcijā un aprīkota ar funkcionējošiem hidrauliskajiem svārstību slāpētājiem;
1.2. balstiekārtai, kurai hidrauliskie svārstību slāpētāji ir demontēti vai nefunkcionē, svārstību rimšanas koeficients D nav lielāks par 50 % no D;
1.3. atsperotās masas nestacionāro vertikālo pašsvārstību frekvence virs dzenošās ass vai asu ratiņiem nav augstāka par 2,0 Hz.
2. Katra ass ir aprīkota ar hidrauliskiem svārstību slāpētājiem. Uz tandēma asu ratiņiem svārstību slāpētāji ir uzstādīti tā, lai mazinātu ratiņu svārstības.
3. Balstiekārtas svārstību frekvence un svārstību rimšana definēta šī pielikuma 5.punktā. Svārstību frekvences un rimšanas testa process noteikts šī pielikuma 6.punktā.
4. Atsperotās masas svārstību frekvence F (rad/s) ir:
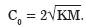
5. Svārstību rimšana ir kritiska, ja C = C0, kur
6. Svārstību rimšanas koeficients kā daļa no kritiskās rimšanas ir C/C0.
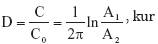
7. Atsperotās masas nestacionāro zemfrekvences pašsvārstību laikā masas vertikālā kustība notiek pa rimstošu sinusoīdu (1.attēls). Svārstību frekvenci aprēķina, nosakot laiku, kādā notiek tik daudz svārstību ciklu, cik iespējams novērot. Svārstību rimšanu D aprēķina, nosakot secīgu viena virziena svārstību maksimumus. Ja pirmā un otrā svārstību cikla amplitūdas maksimums ir A1 un A2, rimšanas koeficients D ir:
ln – amplitūdas koeficienta naturālais logaritms.
1.attēls
8. Lai noteiktu rimšanas koeficientu D, rimšanas koeficientu, ja demontēti hidrauliskie svārstību slāpētāji, un balstiekārtas svārstību frekvenci F, izmanto vienu no šādām metodēm:
8.1. noslogots transportlīdzeklis ar nelielu ātrumu (5 km/h ± 1 km/h) pārbrauc pāri 80 mm augstam šķērslim (šķēršļa profils attēlots 2.attēlā). Nestacionārās svārstības, kuru frekvenci un rimšanu analizē, notiek, kad dzenošās ass riteņi pārbraukuši šķērsli;
8.2. noslogotu transportlīdzekli aiz šasijas novelk uz leju tādā veidā, lai slodze uz dzenošo asi pusotras reizes pārsniegtu statisko slodzi. Uz leju novilkto transportlīdzekli momentāni atbrīvo un analizē sekojošās svārstības;
8.3. noslogotu transportlīdzekli paceļ aiz šasijas tādā veidā, lai atsperotā masa tiktu pacelta 80 mm virs dzenošās ass. Pacelto transportlīdzekli momentāni atbrīvo un analizē sekojošās svārstības.
2.attēls
9. Uz transportlīdzekļa starp dzenošo asi un šasiju tieši virs dzenošās ass uzstāda vertikālā pārvietojuma devēju. Izmantojot tā datus, aprēķina laika intervālu starp pirmo un otro saspiešanas maksimumu, lai noteiktu frekvenci F, un amplitūdas koeficientu, lai noteiktu rimšanu. Uz tandēma asu ratiņiem vertikālā pārvietojuma devēju uzstāda starp katru dzenošo asi un šasiju tieši virs katras dzenošās ass.
Satiksmes ministrs A.Ronis
2.pielikums
Ministru kabineta
2012.gada 11.decembra
noteikumiem Nr.832
Apliecinājums
par transportlīdzekļa dzenošā tilta atsperojuma ekvivalenci pneimatiskajam
atsperojumam
Satiksmes ministrs A.Ronis