
Patērētāju tiesību aizsardzības centra instrukcija Nr.1
Rīgā 2006.gada 23.februārī
Analīžu metodes tekstilizstrādājumu sastāva noteikšanai
1.Vispārīgie jautājumi
1. Instrukcijas mērķis ir noteikt analīžu metodes, kādas izmanto tekstilizstrādājumu sastāva pārbaudēs, lai noteiktu tekstilizstrādājumu sastāva atbilstību marķējumā norādītājai informācijai un nodrošinātu patērētājiem patiesu un pilnīgu informāciju par preci.
2. Instrukcija nosaka:
2.1. Noteiktu divkāršo tekstilšķiedru maisījumu kvantitatīvās analīzes metodes, ieskaitot analīzes veikšanai pietiekama lieluma paraugu, ko atlasa no laboratorijas kopējiem paraugiem, kuri analīzes nolūkos noņemti izstrādājumu partijai (turpmāk tekstā — noņemtais paraugs) un tāda noņemtā parauga daļu, kas vajadzīga, lai iegūtu individuālu pārbaudes rezultātu (turpmāk tekstā — analizējamais paraugs) sagatavošanu, ar kurām nosaka tekstilizstrādājumu sastāva atbilstību marķējumā norādītajai informācijai atbilstoši Ministru kabineta 2005.gada 19.aprīļa noteikumiem Nr.272 “Noteikumi par tekstilšķiedru sastāva norādīšanu tekstilizstrādājumu marķējumā”.
2.2. Trīskāršo tekstilšķiedru maisījumu kvantitatīvās analīzes metodes, kurās izmanto manuālas atdalīšanas, ķīmiskas atdalīšanas metodi vai to abu kombināciju, ar kurām nosaka tekstilizstrādājumu sastāva atbilstību marķējumā norādītajai informācijai atbilstoši Ministru kabineta 2005.gada 19.aprīļa noteikumiem Nr.272 “Noteikumi par tekstilšķiedru sastāva norādīšanu tekstilizstrādājumu marķējumā”.
3. Līgumā ar ekspertīzes veicēju, kuram Patērētāju tiesību aizsardzības centrs ir nodevis paraugus ekspertīzes veikšanai, paredz, ka ekspertīzi veic, izmantojot šajā instrukcijā noteiktās analīžu metodes.
4. Divkāršu maisījumu gadījumā, kuriem Eiropas Savienībā nepastāv vienota analīzes metode, maisījuma sastāvu nosaka, izmantojot jebkuru derīgu metodi, testēšanas pārskatā norādot iegūto rezultātu un izmantotās metodes precizitātes pakāpi.
5. Testēšanas pārskatā par trīskāršu maisījumu pārbaudēm uzrāda visus šīs instrukcijas 4.5. apakšnodaļā minētos faktorus.
2.Testēšanas
paraugu un raudžu
sagatavošana tekstilizstrādājumu šķiedru sastāva noteikšanai
6. Šī nodaļa nosaka kārtību, kādā pirms kvantitatīvās analīzes ir iegūstams iepriekšējai attīrīšanai pakļaujamā testēšanas parauga daudzums (t.i., iztvērums ar masu, kas nepārsniedz 100 g) no laboratorijas parauga, un kārtību, kādā ir atlasāmas raudzes no testēšanas parauga, kas ir iepriekš attīrīts, atdalot nešķiedru vielas (dažos gadījumos nepieciešams iepriekš attīrīt arī raudzi).
7. Materiāla daudzums, kuru izvērtē ar vienas testu sērijas rezultātiem (turpmāk tekstā — laidiens), var aptvert, piemēram, visu materiālu vienā drānas piegādē, visu audumu, kas austs no viena šķērējuma veltņa, dzijas sūtījumu, neapstrādātu šķiedru ķīpas vai ķīpu grupas (konsignācijas) sūtījumu.
8. No materiāla laidiena paņemtās daļas, kas reprezentatīvi pārstāv to visu kopumā un kas ir izmantojama laboratorijā (turpmāk tekstā — laboratorijas paraugs), apjomam un raksturam jābūt pietiekamam, lai adekvāti pārņemtu pārbaudāmā laidiena neviendabīgumu un sekmētu ar to veicamās darbības laboratorijā (par gataviem izstrādājumiem jeb par gabalprecēm skatīt 2.4. apakšnodaļu).
9. Laboratorijas parauga daļas, kuru pakļauj iepriekšējai attīrīšanai, lai atdalītu nešķiedru vielas, un no kuras ņem raudzes (turpmāk tekstā — testēšanas paraugs), apjomam un raksturam jābūt pietiekamam, lai adekvāti pārņemtu laboratorijas parauga neviendabību.
10. Testēšanas paraugu atlasa tā, lai tas reprezentatīvi pārstāvētu laboratorijas paraugu. Materiāla devu, kas ir atlasīta no testēšanas parauga un kas nepieciešama individuāla testa rezultāta iegūšanai (turpmāk tekstā — raudze), ņem no testēšanas parauga tā, lai katra no tām reprezentatīvi pārstāvētu testēšanas paraugu.
2.1. Irdeno šķiedru paraugu atlase
11. Neorientēto šķiedru gadījumā no laboratorijas parauga ņem testēšanas paraugu, pēc nejaušības principa atlasot šķiedru šķipsnas. Visu testēšanas paraugu rūpīgi samaisa ar laboratorijas kārstuves palīdzību (laboratorijas kārstuvi var aizstāt ar šķiedru maisītāju vai arī šķiedras var samaisīt ar “kušķu un atlikumu” metodi). Iegūto kārsumu vai maisījumu, ieskaitot irdenās šķiedras un šķiedras, kas pielipušas lietotajai iekārtai, pakļauj iepriekšējai attīrīšanai. Raudzes atlasa proporcionāli no kārsuma vai maisījuma, no irdeno šķiedru un no lietotajai iekārtai pielipušo šķiedru masām. Ja kārsums pēc iepriekšējās attīrīšanas paliek neskarts, raudzes atlasa 12. punktā aprakstītajā kārtībā. Ja kārsums attīrot tiek deorientēts, tad katru raudzi atlasa, pēc nejaušības principa atdalot vismaz 16 aptuveni vienāda apjoma mazas šķipsnas un tad apvienojot tās raudzē.
12. Orientēto šķiedru (kārstās šķiedras, kārsumi, lentes, priekšdzija) gadījumā no vienlīdzvarbūtīgi (pēc nejaušības principa) atlasītām laboratorijas parauga daļām izgriež vismaz 10 šķērsizgriezumu gabalus ar masu aptuveni 1g katrā. Šādi atlasīto testēšanas paraugu pakļauj iepriekšējai attīrīšanai. Šķērsizgriezumus novieto vienu otram līdzās un sagriež tā, lai katra raudze saturētu devu no visiem 10 šķērsizgriezumiem.
2.2. Pavedienu paraugu atlase
13. Ja pavedieni ir uztinumos vai spoļrāmjos, rīkojas šādi:
13.1. Laboratorijas paraugu ņem no visiem uztinumiem.
13.2. No katra uztinuma ar tītavu (ja uztinumus var novietot uz piemērota spoļrāmja, tad visas šķeteres var tīt vienlaicīgi) notin vai kādā citādā veidā atlasa vienāda garuma šķeteres. Šķeteres vai pavedienu grīstes apvieno, tās novietojot vienu otrai līdzās, un izveido testēšanas paraugu, gādājot par to, lai no katra uztinuma tajā nonāktu vienāda garuma šķeteres vai grīstes.
13.3. Testēšanas paraugu pakļauj iepriekšējai attīrīšanai. No testēšanas parauga atlasa raudzes, izgriežot vienāda garuma pavedienu kušķi no šķeteres vai grīstes tā, lai kušķī būtu pārstāvēti visi parauga pavedieni.
13.4. Ja pavediena teksu apzīmē ar t un uztinumu skaitu, kas atlasīts no laboratorijas parauga, — ar N, tad, lai iegūtu 10 g smagu testēšanas paraugu, pavediena garums, kas jānotin no katra uztinuma, ir 106 / N.t cm.
13.5. Ja N.t izrādās lielāks par 2000, tin smagāku šķeteri un pārgriež to divās vietās, lai veidotu grīsti ar nepieciešamo masu. Grīstes galus pirms iepriekšējās attīrīšanas rūpīgi nosien. Raudzes ņem no vietas, kas atrodas tālāk no sējuma.
14. Šķēru pavedienu gadījumā testēšanas paraugu ņem, nogriežot ne īsākus par 20 cm šķēru galus, tā, lai tajā būtu visi šķērējuma pavedieni, izņemot eģes pavedienus. Vienā galā pavedienu kušķi pārsien. Ja paraugs izrādās pārāk liels iepriekšējai attīrīšanai, to sadala divās vai vairākās daļās. Uz iepriekšējās attīrīšanas laiku katru no tām pārsien un šīs daļas atkal apvieno pēc tam, kad tās ir attīrītas atsevišķi. Raudzi nogriež no testēšanas parauga nesasietā gala tā, lai tā saturētu visus šķēru pavedienus. Šķēru pavedienu 1g smagas raudzes garums ir 105 / N.t cm, kur t teksus lineāri blīvo šķēru pavedienu skaits ir N.
2.3. Drānas paraugu atlase
15. No laboratorijas parauga, kas ir viens drānu pārstāvošs atgriezums, izgriež diagonālu strēmeli no drānas gabala viena stūra līdz otram un nogriež eģes. Šī strēmele ir testēšanas paraugs. Lai iegūtu testēšanas paraugu ar masu x g, strēmeles laukumam jābūt 104.x /G cm2, kur G ir drānas virsmas īpatmasa g/m2.
16. Testēšanas paraugu pakļauj iepriekšējai attīrīšanai, un tad strēmeli sagriež šķērsām četros vienādos gabalos, kurus uzliek vienu otram virsū.
17. Raudzes izgriež no slāņojuma jebkuras vietas, bet no visiem slāņiem vienlaikus tā, lai katra raudze saturētu vienādu garumu no katra slāņa.
18. Austai drānai testēšanas parauga platums, kas mērīts paralēli šķēriem, nedrīkst būt mazāks par šķēru raportu. Ja šādi iegūts testēšanas paraugs ir pārāk liels, lai to apstrādātu kopumā, to sagriež vienādās daļās. Katru daļu atsevišķi pakļauj iepriekšējai attīrīšanai. Pirms raudžu atlases šīs daļas uzliek vienu virs otras tā, lai auduma raksts nesakristu.
19. Laboratorijas paraugam, kas sastāv no vairākiem atgriezumiem, katru gabalu apstrādā savrupi, kā aprakstīts instrukcijas 15., 16., 17., un 18. punktā, norādot katru rezultātu atsevišķi.
2.4. Paraugu atlase no gataviem izstrādājumiem
20. Laboratorijas paraugs parasti ir pabeigts gatavais izstrādājums vai tā raksturīga daļa.
21. Ja izstrādājumu veidojošajām daļām nav vienveidīgs šķiedru sastāvs, katras daļas procentuālo sastāvu nosaka atsevišķi.
22. Atlasa testēšanas paraugu, kas ir gatavo izstrādājumu pārstāvoša daļa, kuras sastāvam jābūt norādītam etiķetes marķējumā. Ja izstrādājumam ir vairākas etiķetes, testēšanas paraugus, kas pārstāv katru izstrādājuma daļu, atlasa atbilstoši dotajai etiķetei.
23. Ja izstrādājums, kam jānosaka sastāvs, nav vienveidīgs, testēšanas paraugus atlasa no katras izstrādājuma daļas un nosaka šo atšķirīgo daļu relatīvās proporcijas attiecībā pret visu izstrādājumu kopumā. Tad aprēķina procentuālo sastāvu, ņemot vērā paraugu daļu relatīvās proporcijas.
24. Testēšanas paraugu pakļauj iepriekšējai attīrīšanai. Tad atlasa raudzes, kas reprezentatīvi pārstāv attīrīto testēšanas paraugu.
3. Noteiktu šķiedru divkomponentu maisījumu kvantitatīvo analīžu metodes
25. Šķiedru maisījumu kvantitatīvo analīžu metodes balstās uz diviem galvenajiem procesiem — uz šķiedru manuālo (mehānisko) un ķīmisko atdalīšanu:
25.1. Manuālā (mehāniskā) atdalīšanas metode jālieto visos iespējamos gadījumos, jo tā dod precīzākus rezultātus nekā ķīmiskā metode. To var lietot visiem tekstilizstrādājumiem, kuru šķiedru komponenti neveido nesadalāmus maisījumus. Piemēram, to var izmantot pavedieniem, kas sastāv no vairākiem elementiem, no kuriem katrs ir iegūts no vienas šķiedras veida, vai audumiem, kuros šķēri un audi atšķiras pēc šķiedru veida, vai adījumiem, kas ir izārdāmi dažādu šķiedru veidu pavedienos.
25.2. Kvantitatīvās analīzes ķīmiskās metodes parasti balstās uz atsevišķu komponentu selektīvo šķīdināšanu. Pēc komponenta atdalīšanas nešķīstošo atlikumu nosver un šķīstošā komponenta saturu aprēķina pēc masas zuduma. Vispārīgie norādījumi sniedz informāciju, kas ir kopīga visām analīzēm ar šī standarta metodi visiem šķiedru maisījumiem, lai kāds nebūtu to sastāvs. Tāpēc tā ir jālieto kopā ar turpmākajām nodaļām, kas satur detalizētas procedūras attiecībā uz konkrētu šķiedru maisījumiem. Dažreiz analīze balstās uz citādu nekā selektīvās šķīdināšanas principu; tādos gadījumos visi norādījumi ir sniegti attiecīgajā nodaļā.
26. Šķiedru maisījumi pārstrādes laikā un mazākā mērā arī gatavie tekstilizstrādājumi varētu saturēt nešķiedru vielas, tādas kā taukus, vaskus, apretes vai ūdenī šķīstošas vielas, kas rodas dabiski vai arī tiek pievienotas, lai sekmētu pārstrādi. Nešķiedru vielas pirms analīzēm ir jāatdala. Tālab ir norādīts paņēmiens, kā atdalīt eļļas, taukus, vaskus un ūdenī šķīstošās vielas.
27. Tekstilizstrādājumi var arī saturēt sveķus vai citas vielas, kas lietotas, lai piešķirtu tiem speciālas īpašības. Šādas vielas un izņēmuma gadījumos arī krāsvielas var traucēt reaģentu iedarbību uz šķīdināmo komponentu un/vai reaģents tās var daļēji vai pilnīgi atdalīt. Tas var izraisīt kļūdas, tāpēc šīs papildvielas pirms parauga analizēšanas jāatdala. Ja tās nav iespējams atdalīt, šeit noteiktās kvantitatīvās ķīmiskās analīzes metodes nav piemērojamas.
28. Krāsotās tekstildrānās krāsviela ir uzskatāma par šķiedrā integrētu sastāvdaļu un nav atdalāma.
29. Analīzes veic, balstoties uz sauso masu. Ir dota procedūra sausās masas noteikšanai. Galīgo rezultātu iegūst, katras šķiedras sausajai masai pierēķinot resorbātu (galvenokārt mitruma) piesvara arbitrāri pieņemtās normas, kas uzskaitītas Latvijas Republikas Ministru kabineta 1998. gada 21. jūlija noteikumos Nr. 262 (4. pielikuma “pielaides”).
30. Pirms jebkuru analīžu veikšanas visām maisījumā esošajām šķiedrām jābūt identificētām. Dažās metodēs maisījuma nešķīdināmo komponentu varētu daļēji izšķīdināt ar reaģentu, ko lieto šķīdināmā komponenta šķīdināšanai. Kad vien iespējams, jāizvēlas tādi reaģenti, kas maz vai vispār neiedarbojas uz nešķīdināmajām šķiedrām. Ja ir zināms, ka analīžu laikā rodas masas zudums, rezultāti jākoriģē; šajā nolūkā ir doti korekcijas koeficienti. Šie koeficienti ir noteikti vairākās laboratorijās, apstrādājot iepriekš attīrītas šķiedras ar attiecīgo reaģentu, kas norādīts analīžu metodē. Šie korekcijas koeficienti attiecas tikai uz nedestruktētām šķiedrām un varētu būt nepieciešami citi korekcijas koeficienti, ja šķiedras ir destruktētas pirms apstrādes vai tās laikā. Dotās metodes lieto vienam aprēķinam. Jāveic vismaz divi aprēķini atsevišķām raudzēm gan manuālās, gan ķīmiskās atdalīšanas gadījumā. Rezultātu apstiprināšanai, ja vien tehniski iespējams, ieteicams lietot alternatīvas metodes, kurās sastāvdaļa, kas bija atlikums standarta metodē, tiek izšķīdināta vispirms.
3.1. Vispārīga informācija par tekstilšķiedru maisījumu ķīmisko analīžu kvantitatīvajām metodēm
31. Katras metodes lietošanas sfēra nosaka, kurām šķiedrām metode ir piemērojama (speciālo metožu kopsavilkuma tabulu skatīt 1.pielikumā).
32. Pēc maisījuma komponentu identifikācijas atdala nešķiedru vielas ar atbilstīgu iepriekšējo attīrīšanu un pēc tam, parasti ar selektīvo šķīdināšanu, atdala vienu no komponentiem (metode Nr. 12 ir izņēmums. Tā balstās uz komponentu sastāvā ietilpstošas vielas satura noteikšanu). Nešķīstošo atlikumu nosver, bet izšķīdinātā komponenta daļu aprēķina pēc masas zuduma. Ja nav tehnisku grūtību, ieteicams izšķīdināt šķiedru, kas ir vairākumā, atstājot kā atlikumu šķiedru, kas ir mazākumā.
33. Lietojot ķīmisko analīžu kvantitatīvās metodes, izmanto šādus materiālus un iekārtas:
33.1. Aparatūru, kas ietver:
33.1.1. Filtrtīģeļus un sverglāzes, kas ir pietiekami lielas, lai tajās ievietotu filtrtīģeļus, vai jebkura cita aparatūra, kas dod identiskus rezultātus.
33.1.2. Vakuuma kolbu.
33.1.3. Eksikatoru ar indikatoru saturošu silikagelu.
33.1.4. Žāvējamo skapi ar ventilāciju raudžu žāvēšanai 150°C ± 3°C temperatūrā.
33.1.5. Analītiskos svarus ar precizitāti līdz 0,0002 g.
33.1.6. Soksleta ekstraktoru vai citu aparatūru, kas dod identiskus rezultātus.
33.2. Reaģentus, kas ietver:
33.2.1. Petrolēteri, pārdestilētu, ar viršanas temperatūru no 40°C līdz 60°C.
33.2.2. Citi reaģenti ir precizēti katras metodes attiecīgajā nodaļā. Visiem lietojamajiem reaģentiem jābūt ķīmiski tīriem.
33.2.3. Destilētu vai dejonizētu ūdeni.
34. Analizējot sausās masas, raudzes nav nepieciešams kondicionēt vai veikt analīzes kondicionālos klimatiskajos apstākļos.
35. Ņem testēšanas paraugu, kas reprezentatīvi pārstāv laboratorijas paraugu un kas ir pietiekami liels, lai no tā iegūtu visas raudzes, katru vismaz 1g smagu.
36. Testēšanas paraugu iepriekš attīra pēc šādas procedūras:
36.1. Ja paraugā ietilpst viela, kuru nav jāņem vērā procentuālajos aprēķinos, tā vispirms jāatdala ar attiecīgu metodi, kas neietekmē nevienu no komponentšķiedrām.
36.2. Šajā nolūkā nešķiedru vielas, kuras var ekstrahēt ar petrolēteri un ūdeni, atdala, apstrādājot gaisa sauso testēšanas paraugu Soksleta aparātā ar petrolēteri 1 stundu ar minimālo ātrumu 6 cikli stundā. Atstāj, lai petrolēteris iztvaiko. Pēc tam paraugus ekstrahē ar ūdeni, mērcējot vienu stundu istabas temperatūrā, kam seko mērcēšana 65°C± 5°C temperatūrā vēl vienu stundu, šķidrumu laiku pa laikam maisot. Testēšanas parauga un ūdens proporcija ir 1:100. Testēšanas paraugu nospiežot, centrifugējot vai atsūcot ar vakuuma palīdzību, atdala ūdeni un tad ļauj paraugam izžūt gaisā.
36.3. Ja nešķiedru vielu nevar ekstrahēt ar petrolēteri un ūdeni, tā jāatdala, aizstājot iepriekš aprakstīto ūdens metodi ar citu metodi, kas būtiski neizmaina nevienu no šķiedru komponentiem. Dažu nebalināto dabisko augšķiedru (piem., džutas, koiras) gadījumos ar parasto iepriekšējo attīrīšanu (ar petrolēteri un ūdeni) nav iespējams atdalīt visas dabiskās nešķiedru vielas, tomēr tām papildu iepriekšēja attīrīšana netiek lietota, ja vien paraugs nesatur apretes, kas nešķīst nedz petrolēterī, nedz ūdenī. Testēšanas pārskatos jāiekļauj iepriekšējā attīrīšanā izmantoto metožu pilnīgi detalizēts apraksts.
37. Paraugam veic testēšanu pēc šādas procedūras:
37.1.Testēšanas paraugu žāvē, un to veic sekojoši:
37.1.1. Žāvē ne mazāk kā 4 stundas un ne vairāk kā 16 stundas 105°C ±3°C temperatūrā ventilējamā žāvēšanas skapī, kura durvis ir cieši aizvērtas. Ja žāvēšanas laiks ir īsāks par 14 stundām, testēšanas paraugam regulāri pārbauda masu, lai noteiktu, vai tā ir kļuvusi nemainīga. Masu var uzskatīt par nemainīgu (konstantu), ja pēc 60 minūšu papildu žāvēšanas tās izmaiņas ir mazākas par 0,05%.
37.1.2. Žāvēšanas, dzesēšanas un svēršanas laikā jāizvairās aiztikt ar kailām rokām tīģeļus, sverglāzes, raudzes vai atlikumus.
37.1.3. Raudzes žāvē sverglāzē, tās vāku novietojot blakus. Pēc izžāvēšanas un pirms izņemšanas no žāvējamā skapja sverglāzi aizvāko un ātri pārliek eksikatorā.
37.1.4. Filtrtīģeli žāvē sverglāzē, tās vāku novietojot līdzās žāvējamā skapī. Pēc žāvēšanas sverglāzi aizvāko un ātri pārliek eksikatorā.
37.1.5. Ja nelieto filtrtīģeli, žāvēšana žāvējamajā skapī jāveic tā, lai noteiktu šķiedru sauso masu bez zudumiem.
37.2. Dzesē ne mazāk kā 2 stundas eksikatorā, kas novietots blakus svariem līdz pilnīgai sverglāžu atdzišanai.
37.3. Sverglāzi nosver 2 minūšu laikā pēc izņemšanas no eksikatora. Sver ar precizitāti līdz 0,0002 g.
37.4. No iepriekš attīrītā testēšanas parauga ņem vismaz 1g smagu raudzi. Pavedienu vai drānu sagriež apmēram 10 mm garos gabalos, kas sadalīti, cik sīki vien iespējams. Raudzi žāvē sverglāzē, dzesē eksikatorā un nosver. Tad raudzi pārliek stikla traukā, kā norādīts izmantojamās metodes attiecīgajā nodaļā, nekavējoties pārsver sverglāzi un aprēķina raudzes sauso masu pēc starpības. Testu pabeidz tā, kā tas noteikts izmantotās metodes attiecīgajā nodaļā. Atlikumu pārbauda mikroskopiski, lai konstatētu, ka šķīdināmā šķiedra patiešām ir pilnīgi atdalīta.
38. Nešķīstošā komponenta masu izsaka procentos no maisījuma kopējās masas. Šķīstošā (izšķīdinātā) komponenta procentuālo saturu aprēķina kā starpību. Rezultātus aprēķina, balstoties uz attīrīti sauso masu, kuru koriģē ar (a) mitruma u.c. resorbātu piesvara arbitrāri pieņemtajām normām (“pielaidēm”) un ar (b) korekcijas koeficientiem, kas nepieciešami, lai ņemtu vērā vielas zudumus iepriekšējās attīrīšanas un pašu analīžu laikā. Aprēķinus veic, lietojot 40. punktā doto formulu.
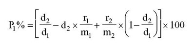
39. Neņemot vērā šķiedras masas zudumus iepriekšējās attīrīšanas laikā, nešķīstošā komponenta attīrīti sausās masas procentuālo saturu aprēķina pēc šādas formulas:
P1 % = 100.r.d / m , kur
P1 — attīrīti sausā nešķīstošā komponenta procentuālais saturs;
m — raudzes sausā masa pēc iepriekšējās attīrīšanas;
r — atlikuma sausā masa;
d — analīžu laikā reaģentā nešķīstošā komponenta masas zudumu koriģējošais koeficients. Atbilstīgās d vērtības ir dotas katras metodes apraksta attiecīgajā nodaļā. Šīs d vērtības, protams, ir piemērojamas ķīmiski nedestruktētām šķiedrām.
40. Nešķīstošā komponenta attīrīti sausās masas procentuālo saturu aprēķina, koriģējot ar resorbātu piesvara normām (“pielaidēm”) un, ja nepieciešams, ar korekcijas koeficientiem, ar kuriem ievēro masas zudumus iepriekšējās attīrīšanas laikā:
kur
P1A — nešķīstošā komponenta procentuālais saturs, kas koriģēts ar resorbātu piesvara normām un masas zudumu iepriekšējā attīrīšanā;
P1 — nešķīstošā komponenta attīrīti sausās masas procentuālais saturs, kas aprēķināts pēc 39.punktā dotās formulas;
a1 — nešķīstošajam komponentam arbitrāri pieņemtā resorbātu piesvara norma (skat. Latvijas Republikas Ministru kabineta 1998.g. 21. jūlija noteikumos Nr. 262. — 4. pielikuma “pielaide”);
a2 — šķīstošajam komponentam arbitrāri pieņemtā resorbātu piesvara norma (skat. Latvijas Republikas Ministru kabineta 1998.g. 21. jūlija noteikumos Nr. 262. — 4. pielikuma “pielaide”);
b1 — nešķīstošā komponenta procentuālie zudumi iepriekšējā attīrīšanā;
b2 — šķīstošā komponenta procentuālie zudumi iepriekšējā attīrīšanā;
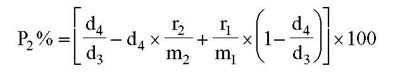
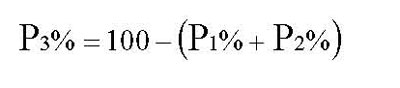
Otrā komponenta procentuālais saturs (P2A %) ir 100 – P1A %.
40.1. Ja lietota īpaša iepriekšējā attīrīšana, tad b1 un b2 vērtības, ja iespējams, nosaka, pakļaujot katra komponenta tīršķiedru tādai pašai iepriekšējai attīrīšanai, kādu lieto analīzē. Par tīršķiedrām uzskata tādas šķiedras, kuras nesatur nekādas nešķiedru vielas, izņemot tās, kas parasti (vai nu dabiski vai ražošanas dēļ) ietilpst tādā (nebalinātā vai balinātā) šķiedru stāvoklī, kādā šīs nešķiedru vielas ir konstatējamas analizējamajā materiālā.
40.2. Ja nav iespējams iegūt analizējamā materiāla ražošanai izmantoto atsevišķo komponentu tīršķiedras, jālieto b1 un b2 vidējās vērtības, kas iegūtas testos ar attīrītām šķiedrām, kas ir līdzīgas tām, ko satur pārbaudāmais maisījums.
40.3. Ja lieto parasto iepriekšējo attīrīšanu ar petrolēteri un ūdeni, koriģējošos koeficientus b1 un b2 var ignorēt, izņemot nebalinātas kokvilnas, nebalināta lina un nebalinātu kaņepāju gadījumus, kad, tos attīrot, radušos zudumus parasti pieņem 4% līmenī, bet polipropilēna gadījumā —– 1% līmenī.
41. Citu šķiedru gadījumā iepriekšējā attīrīšanā radušos zudumus aprēķinos var neņemt vērā.
3.2.Kvantitatīvo analīžu metode ar manuālo (mehānisko) atdalīšanu
42. Kvantitatīvo analīžu metodi ar manuālo (mehānisko) atdalīšanu lieto visu veidu tekstilšķiedrām, kas neveido nesadalāmos maisījumus, kuru komponentus nebūtu iespējams atdalīt ar rokām.
43. Pēc tekstilizstrādājumu komponentu identifikācijas nešķiedru vielas atdala ar atbilstīgu iepriekšējo attīrīšanu. Pēc tam šķiedras atdala ar rokām, izžāvē un nosver, lai aprēķinātu katras šķiedras proporciju maisījumā.
44. Lietojot šo metodi, izmanto šādus materiālus un iekārtas:
44.1. Aparatūru, kas ietver:
44.1.1. Sverglāzes vai citu aparatūru, kas dod identiskus rezultātus;
44.1.2. Eksikatoru, kas satur indikatoru saturošu silikagelu;
44.1.3. Žāvējamo skapi ar ventilāciju raudžu žāvēšanai 105°C ± 3° C temperatūrā;
44.1.4. Analītiskos svarus ar precizitāti līdz 0,0002 g;
44.1.5. Soksleta ekstraktoru vai citu aparatūru, kas dod identiskus rezultātus;
44.1. 6. Adatu;
44.1.7. Groduma mērītāju vai līdzīgu aparatūru.
44.2. Reaģentus, kas ietver:
44.2.1. Petrolēteri, pārdestilētu, ar viršanas temperatūru 40C°– 60°C;
44.2.2. Destilētu vai dejonizētu ūdeni.
45. Veicot pavediena analīzi, ievēro šādu procedūru:
45.1. No iepriekš attīrīta testēšanas parauga ņem raudzi, kuras masa ir vismaz 1g. Ļoti smalkam pavedienam analīzes var veikt ar minimālo garumu 30 m, neatkarīgi no tā masas.
45.2. Sagriež pavedienu piemērota garuma gabalos un atdala šķiedru veidus ar adatu vai, ja nepieciešams, ar groduma mērītāju. Šādi iegūtos šķiedru veidus liek iepriekš nosvērtās sverglāzēs un žāvē 105°C ± 3°C temperatūrā līdz konstantai (nemainīgai) masai, kā tas aprakstīts šīs instrukcijas 37. punktā.
46. Veicot drānas analīzi, ievēro šādu procedūru:
46.1. No iepriekš attīrītā testēšanas parauga ņem raudzi ar masu, ne mazāku par 1 g. Raudzē nedrīkst būt iekļauta eģe.
46.2. Paralēli audiem vai šķēriem nogriež raudzes malas tā, lai novērstu pavedienu izslīdi.
46.3. Adītu drānu gadījumā raudzi ņem cilpu stabiņu un cilpu rindu virzienā.
46.4. Atdala atšķirīgo veidu šķiedras, liek tās iepriekš nosvērtās sverglāzēs.
46.5. Tālāk rīkojas tā, kā aprakstīts 45. punktā.
47. Rezultātu aprēķināšanai izsaka katras komponentšķiedras masu procentos no kopējās šķiedru masas maisījumā. Rezultātus aprēķina, balstoties uz attīrīti sauso masu, kas koriģēta ar (a) mitruma u.c. resorbātu piesvara normām (“pielaidēm”) un ar (b) korekcijas koeficientiem, kas nepieciešami, lai ņemtu vērā vielas zudumus iepriekšējās attīrīšanas laikā.
48. Neievērojot šķiedru masas zudumus iepriekšējās attīrīšanas laikā, šķiedru attīrīti sausās masas procentuālo saturu aprēķina:
kur
P1 — pirmā attīrīti sausā komponenta procentuālais saturs,
m1 — pirmā komponenta attīrīti sausā masa,
m2 — otrā komponenta attīrīti sausā masa.
49. Lai aprēķinātu katra komponenta procentuālo saturu, kas koriģēts ar resorbātu piesvara normām (“pielaidēm”) un, ja nepieciešams, ar koeficientiem, kas ievēro vielas zudumu iepriekšējās attīrīšanas laikā, skatīt 40. un 41. punktu.
3.3. Metožu precizitāte un testēšanas pārskats
50. Precizitāte, kas norādīta individuālajās metodēs, ir saistāma ar to reproducējamību. Reproducējamība attiecas uz ticamību, t.i., uz sakritību starp eksperimentālām vērtībām, ko ieguvuši laboranti dažādās laboratorijās vai dažādos laikos, lietojot vienu un to pašu metodi, un iegūstot individuālus rezultātus identiska maisījuma raudzēm.
51. Reproducējamību izsaka ar rezultātu ticamības robežām, nodrošinot 95% varbūtiskās ticamības līmenī. Tas nozīmē, ka atšķirība starp divu analīžu sēriju rezultātiem, kas iegūti dažādās laboratorijās, pareizi izmantojot metodi identiskam maisījumam, būtu vērojama tikai piecos gadījumos no 100 gadījumiem.
52. Testēšanas pārskatā norāda, ar kādu metodi analīze ir veikta, precīzi norāda īpašo iepriekšējo attīrīšanu (skat. 36.punktu) un uzrāda individuālos rezultātus un aritmētiski vidējo rezultātu, katru ar precizitāti 0,1.
3.4. Acetātam un citām noteiktām šķiedrām piemērojamā metode
53. Pēc nešķiedru vielu atdalīšanas acetātam un citām noteiktām šķiedrām piemērojamo (metode Nr.1 “Acetona metode”) metodi lieto divkomponentu maisījumiem, ko veido:
53.1. acetātšķiedra;
53.2. vilna, dzīvnieku mati, zīds, kokvilna, lins, kaņepāji, džuta, abaka, alfas, koira (kokosa šķiedras), irbulene, rāmija, sizals, kupro, modālviskoze, proteīns, viskoze, akrils, poliamīds vai neilons, poliesteris.
54. Nekādā gadījumā šo metodi nelieto acetātšķiedrām, kuru virsma ir deacetilēta.
55. Acetātu izšķīdina ar acetonu no šķiedru maisījuma ar zināmu sauso masu. Atlikumu savāc, mazgā, žāvē un nosver; tā masu, ja nepieciešams, koriģē un izsaka procentos no maisījuma sausās masas. Sausā acetāta procentuālo saturu aprēķina pēc starpības.
56. Papildus 3.1. apakšnodaļā noteiktajai aparatūrai lieto koniskās kolbas ar stikla aizbāzni, 200ml.
57. Papildus 3.1. apakšnodaļā noteiktajiem reaģentiem lieto acetonu.
58. Veicot testēšanu, ievēro procedūru, kas aprakstīta šīs instrukcijas 3.1. apakšnodaļā, un rīkojas šādi:
58.1. Raudzi ievieto vismaz 200 ml kolbā un pārlej ar acetonu (100 ml acetona uz katru raudzes gramu). Kolbu noslēdz ar aizbāzni, sakrata un iztur 30 minūtes istabas temperatūrā, laiku pa laikam sakratot. Filtrē šķidrumu caur iepriekš nosvērtu filtrtīģeli.
58.2. Atkārto darbību vēl divas reizes (kopā veicot trīs ekstrakcijas), katru 15 minūtes ilgi tā, lai kopējais apstrādes laiks acetonā būtu viena stunda. Atlikumu pārvieto filtrtīģelī un mazgā ar acetonu, tad filtrē vakuumā. Filtrtīģeli atkārtoti piepilda ar acetonu un ļauj tam brīvi iztecēt.
58.3. Nobeigumā filtrtīģeli nosūc vakuumā, izžāvē kopā ar atlikumu, atdzesē un nosver.
59. Aprēķina rezultātus, kā rakstīts šīs instrukcijas 3.1. apakšnodaļā. ‘d’ vērtība ir 1,00.
60. Tekstilmateriālu homogēnam maisījumam ar šo metodi iegūto rezultātu ticamības robežas nepārsniedz ± 1, nodrošinot 95% varbūtiskās ticamības līmeni.
3.5. Noteiktām
proteīna šķiedrām
un citām noteiktām šķiedrām
piemērojamā metode
61. Pēc nešķiedru vielu atdalīšanas noteiktām proteīna šķiedrām un citām noteiktām šķiedrām piemērojamo metodi (metode Nr.2 “Hipohlorīta metode”) lieto divkomponentu maisījumiem, ko veido:
61.1. noteiktas proteīna šķiedras, proti, vilna, dzīvnieku mati, zīds, proteīns;
61.2. kokvilna, kupro, viskoze, akrils, hloršķiedras, poliamīds vai neilons, poliesteris, polipropilēns, elastāns, stikla šķiedra.
62. Ja maisījumā ir dažādas proteīna šķiedras, metode ļauj noteikt to kopējo daudzumu, bet ne katras atsevišķās šķiedras daudzumu.
63. Proteīna šķiedru izšķīdina ar hipohlorīta šķīdumu no maisījuma ar noteiktu sauso masu. Atlikumu savāc, skalo, žāvē un nosver; tā masu, ja nepieciešams, koriģē un izsaka procentos no maisījuma sausās masas. Sausās proteīna šķiedras procentuālo saturu nosaka pēc starpības.
64. Hipohlorīta šķīduma pagatavošanai var lietot litija hipohlorītu vai nātrija hipohlorītu.
65. Litija hipohlorītu rekomendē maza skaita analīžu gadījumiem vai garām analīzēm, jo hipohlorīta procentuālais saturs cietā litija hipohlorītā atšķirībā no nātrija hipohlorīta ir faktiski nemainīgs. Ja hipohlorīta procentuālais saturs ir zināms, to var nepārbaudīt jodometriski katrai analīzei, kamēr izmanto vienas konstantas masas litija hipohlorīta porciju.
66. Papildus 3.1. apakšnodaļā noteiktajai aparatūrai lieto:
66.1. Konisko kolbu ar slīpēta stikla aizbāzni, 250 ml;
66.2. Termostatu, kas noregulējams uz 20°C±2°C temperatūru.
67. Papildus 3.1. apakšnodaļā noteiktajiem reaģentiem lieto:
67.1. Hipohlorīta reaģentu, kas ietver:
67.1.1. Litija hipohlorīta šķīdumu, kas ir svaigi sagatavots šķīdums, kas satur 35(±2)g/l aktīvā hlora (apmēram 1 M), kuram pievienots iepriekš atšķaidīts nātrija hidroksīds 5(±0,5)g/l. Lai sagatavotu reaģentu, apmēram 700 ml destilēta ūdens izšķīdina 100 g litija hipohlorīta, kas satur 35(±2)g/l aktīvā hlora (vai 115 gramus, kas satur 30% aktīvā hlora), pievieno 5 g nātrija hidroksīda, kas izšķīdināts apmēram 200ml destilēta ūdens, un šķīdumu uzpilda līdz 1 litram ar destilētu ūdeni. Svaigi sagatavots šķīdums nav jāpārbauda jodometriski.
67.1.2. Nātrija hipohlorīta šķīdumu, kas ir svaigi sagatavots šķīdums, kas satur 35(±2)g/l aktīvā hlora (apmēram 1M ), un kuram pievienots iepriekš izšķīdināts nātrija hidroksīds 5 (±0,5)g/l. Aktīvā hlora saturu šķīdumā pārbauda jodometriski pirms katras analīzes.
67.2. Atšķaidītu etiķskābi, ko iegūst, ar ūdeni līdz 1 litram atšķaidot 5ml ledus etiķskābes.
68.Veicot testēšanu, ievēro procedūru, kas aprakstīta šīs instrukcijas 3.1. apakšnodaļā, un rīkojas šādi:
68.1. Samaisa apmēram 1g raudzes ar apmēram 100ml hipohlorīta šķīduma (litija vai nātrija hipohlorīts) 250ml kolbā un kārtīgi sakrata, lai samitrinātu paraugu.
68.2. 40 minūtes iztur kolbu termostatā 20°C temperatūrā, kratot to nepārtraukti vai vismaz ar regulāriem intervāliem. Tā kā vilnas šķīšana notiek eksotermiski, reakcijas siltums ir jāaizvada, jo citādi var sākties nešķīstošo šķiedru šķīšana, kas var izsaukt ievērojamu kļūdu rašanos.
68.3. Pēc 40 minūtēm filtrē kolbas saturu caur nosvērtu stikla filtrtīģeli un pārvieto visas atlikušās šķiedras filtrtīģelī, skalojot kolbu ar nelielu daudzumu hipohlorīta reaģenta. Tīģeli nosūc vakuumā, atlikumu mazgā pēc kārtas ar ūdeni, atšķaidītu etiķskābi un visbeidzot ar ūdeni. Pēc katras mazgāšanas tīģeli nosūc vakuumā. Vakuumfiltrēšanu neuzsāk, kamēr katrs mazgāšanas šķidrums nav brīvi iztecējis.
68.4. Nobeigumā filtrtīģeli nosūc vakuumā, izžāvē kopā ar atlikumu, atdzesē un nosver.
69. Aprēķina rezultātus, kā rakstīts šīs instrukcijas 3.1. apakšnodaļā. ‘d’ vērtība ir 1,00, izņemot kokvilnu, viskozi un modālviskozi, kurām ‘d’=1,01 un nebalinātu kokvilnu, kurai ‘d’=1,03.
70. Tekstilmateriālu homogēnam maisījumam ar šo metodi iegūto rezultātu ticamības robežas nepārsniedz ± 1, nodrošinot 95% varbūtiskās ticamības līmeni.
3.6. Viskozei,
kupro vai noteiktām
modālviskozēm un kokvilnas veidiem piemērojamā metode
71. Pēc nešķiedru vielu atdalīšanas viskozei, kupro vai noteiktām modālviskozēm un kokvilnas veidiem piemērojamo metodi (metode Nr.3 “Skudrskābes un cinka hlorīda metode”) lieto divkomponentu maisījumiem, ko veido:
71.1. viskoze vai kupro, ieskaitot noteiktus modālviskozes šķiedru veidus;
71.2. kokvilna.
72. Ja ir konstatēta modālviskoze, jāveic sākotnējais tests, lai noteiktu, vai tā šķīst reaģentā.
73. Šo metodi nevar lietot maisījumiem, kuros kokvilna ir stipri ķīmiski destruktēta, kā arī tad, kad viskoze vai kupro ir nepilnīgi šķīstoša noteiktu krāsvielu vai apdares preparātu klātbūtnes dēļ un ja tos nevar pilnīgi atdalīt.
74. No šķiedru maisījuma ar zināmu sauso masu viskozi, kupro vai modālviskozi izšķīdina ar reaģentu, kas satur skudrskābi un cinka hlorīdu. Atlikumu savāc, skalo, žāvē un nosver; tā masu, ja nepieciešams koriģē un izsaka procentos no maisījuma sausās masas. Sausas viskozes, kupro vai modālviskozes šķiedras procentuālo saturu aprēķina pēc starpības.
75. Papildus 3.1. apakšnodaļā noteiktajai aparatūrai lieto:
75.1. Konisko kolbu ar stikla aizbāzni, 200 ml;
75.2. Aparatūru kolbu izturēšanai pie 40°C±2°C.
76. Papildus 3.1. apakšnodaļā noteiktajiem reaģentiem lieto:
76.1. Šķīdumu, kas satur 20g kausēta bezūdens cinka hlorīda un 68g bezūdens skudrskābes un kam pievienots ūdens līdz 100g masai (proti, 20 masas daļas kausēta bezūdens cinka hlorīda pret 80 masas daļām 85% m/m skudrskābes). Īpaši jāievēro 33.2.2.apakšpunktā noteiktais, ka visiem lietojamajiem reaģentiem jābūt ķīmiski tīriem. Šajā metodē ir būtiski lietot tikai kausētu bezūdens cinka hlorīdu.
76.2. Amonija hidroksīda šķīdumu, ko iegūst, atšķaidot 20ml koncentrēta amonjaka šķīduma (blīvums 0,880g/ml) līdz 1 litram ar ūdeni.
77. Veicot testēšanu, ievēro procedūru, kas aprakstīta šīs instrukcijas 3.1. apakšnodaļā, un rīkojas šādi:
77.1. Liek raudzi tieši kolbā, kas sakarsēta līdz 40°C. Pievieno skudrskābes un cinka hlorīda šķīdumu, kas iepriekš sakarsēts līdz 40°C ( 100 ml uz katru raudzes gramu). Aiztaisa kolbu ar aizbāzni un kārtīgi sakrata. Iztur kolbu un tās saturu konstantā 40°C temperatūrā divarpus stundas, sakratot kolbu ik pēc stundas. Filtrē kolbas saturu caur nosvērtu filtrtīģeli, ar reaģenta palīdzību pārvieto uz tīģeli visas šķiedras, kas palikušas kolbā. Skalo ar 20ml reaģenta.
77.2. Tīģeli un atlikumu rūpīgi mazgā ar ūdeni 40°C temperatūrā. Šķiedru atlikumu skalo apmēram 100 ml aukstā amonija hidroksīda šķīdumā (76.2.apakšpunkts), nodrošinot, ka atlikums ir pilnīgi iegremdēts šķīdumā uz 10 minūtēm (skatīt 77.3.apakšpunktu), pēc tam rūpīgi skalo ar aukstu ūdeni.
77.3. Lai nodrošinātu šķiedru atlikuma iemērkšanu amonija hidroksīda šķīdumā uz 10 min, var lietot, piemēram, filtrtīģeļa palīgierīci ar krānu, kas regulē amonjaka šķīduma plūsmu.
77.4. Vakuuma filtrēšanu neuzsāk, kamēr katrs mazgāšanas šķidrums nav brīvi iztecējis. Nobeigumā filtrtīģeli nosūc vakuumā, izžāvē kopā ar atlikumu, atdzesē un nosver.
78. Aprēķina rezultātu, kā rakstīts šīs instrukcijas 3.1. apakšnodaļā. ‘d’ vērtība kokvilnai ir 1,02.
79.Tekstilmateriālu homogēnam maisījumam ar šo metodi iegūto rezultātu ticamības robežas nepārsniedz ±1, nodrošinot 95% varbūtiskās ticamības līmeni.
3.7. Poliamīdam
vai neilonam
un citām noteiktām šķiedrām
piemērojamā metode
80. Pēc nešķiedru vielu atdalīšanas poliamīdam vai neilonam un citām noteiktām šķiedrām piemērojamo metodi (metode Nr. 4 “80% m/m skudrskābes metode”) lieto divkomponentu maisījumiem, ko veido:
80.1. Poliamīds vai neilons;
80.2. Vilna, dzīvnieku mati, kokvilna, kupro, modālviskoze, viskoze, akrils, hloršķiedra, poliesteris, polipropilēns, stikla šķiedra.
81. Šo metodi lieto arī maisījumiem ar vilnu, bet, ja vilnas saturs ir lielāks par 25%, jālieto metode Nr.2 (šķīdinot vilnu sārmaina nātrija hipohlorīta šķīdumā).
82. No šķiedru maisījuma ar zināmu sauso masu poliamīda šķiedru izšķīdina ar skudrskābi. Atlikumu savāc, mazgā, žāvē un nosver. Tā masu, ja nepieciešams koriģē un izsaka procentos no maisījuma sausās masas. Sausā poliamīda vai neilona procentuālo saturu aprēķina pēc starpības.
83. Papildus 3.1. apakšnodaļā noteiktajai aparatūrai lieto konisko kolbu ar stikla aizbāzni, 200 ml.
84. Papildus 3.1. apakšnodaļā noteiktajiem reaģentiem lieto:
84.1. Skudrskābi (80%m/m, kuras relatīvais blīvums pie 20°C ir 1,186). 880ml 90%m/m skudrskābes (relatīvais blīvums ir 1,204 – 20°C temperatūrā) atšķaida ar ūdeni līdz 1 litram. Alternatīvi sagatavo citu šķīdumu, 780ml 98–100% m/m skudrskābes (relatīvais blīvums ir 1,220 – 20°C temperatūrā) atšķaidot ar ūdeni līdz 1 litram. Robežās no 77 līdz 83 % m/m skudrskābes koncentrācija būtiski neietekmē rezultātus.
84.2. Amonija hidroksīda šķīdumu, ko iegūst, 20ml koncentrēta amonjaka (blīvums 0,880g/ml) atšķaida ar ūdeni līdz 1 litram.
85. Veicot testēšanu, ievēro procedūru, kas aprakstīta šīs instrukcijas 3.1. apakšnodaļā, un rīkojas šādi — raudzei, kas atrodas koniskajā kolbā ar vismaz 200ml ietilpību, pievieno 100ml skudrskābes uz katru raudzes gramu. Kolbu noslēdz ar aizbāzni un sakrata, lai samitrinātu raudzi. Atstāj kolbu uz 15 minūtēm istabas temperatūrā, ik pa brīdim to sakratot. Kolbas saturu filtrē caur nosvērtu filtrtīģeli, un visas atlikušās šķiedras pārvieto tīģelī, izskalojot kolbu ar nelielu daudzumu skudrskābes reaģenta. Tīģeli nosūc vakuumā, atlikumu mazgā filtrā pēc kārtas ar skudrskābes reaģentu, karstu ūdeni, atšķaidītu amonija hidroksīda šķīdumu un visbeidzot ar aukstu ūdeni. Pēc katras mazgāšanas šķidrumam ļauj brīvi notecēt, pēc tam atlikumu atsūc vakuumā. Pēc pēdējās vakuumfiltrēšanas filtrtīģeli izžāvē kopā ar atlikumu, atdzesē un nosver.
86. Aprēķina rezultātus, kā rakstīts šīs instrukcijas 3.1. apakšnodaļā. ‘d’ vērtība ir 1,00.
87. Tekstilmateriālu homogēnam maisījumam ar šo metodi iegūto rezultātu ticamības robežas nepārsniedz ± 1, nodrošinot 95% varbūtiskās ticamības līmeni.
3.8. Acetātam un
triacetātam
piemērojamā metode
88. Pēc nešķiedru vielu atdalīšanas acetātam un triacetātam piemērojamo metodi (metode Nr.5 “Benzilspirta metode”) lieto divkomponentu maisījumiem, ko veido acetāts ar triacetātu.
89. Acetātšķiedru izšķīdina ar benzilspirtu 52°C±2°C temperatūrā no šķiedru maisījuma ar zināmu sauso masu. Atlikumu savāc, skalo, žāvē un nosver; tā masu izsaka procentos no maisījuma sausās masas. Sausā acetāta procentuālo saturu aprēķina pēc starpības.
90. Papildus 3.1. apakšnodaļā noteiktajai aparatūrai lieto:
90.1. Konisko 200 ml kolbu ar stikla aizbāzni;
90.2. Mehānisko kratītāju;
90.3. Termostatu vai citu aparatūru, lai kolbu saglabātu 52±2oC temperatūrā.
91. Papildus 3.1. apakšnodaļā noteiktajiem reaģentiem lieto benzilspirtu un etanolu.
92. Veicot testēšanu, ievēro procedūru, kas aprakstīta šīs instrukcijas 3.1. apakšnodaļā, un rīkojas šādi:
92.1. Raudzei, kas atrodas koniskajā kolbā, pievieno 100ml benzilspirta uz katru raudzes gramu. Kolbu noslēdz ar aizbāzni, nostiprina kratītājā tā, lai kolba būtu iegremdēta ūdens vannā, kuras temperatūra ir 52°C ±2°C, un krata 20 minūtes šajā temperatūrā (mehāniskā kratītāja vietā kolbu var enerģiski kratīt ar rokām).
92.2. Šķidrumu nolej caur nosvērtu filtrtīģeli. Kolbā ielej nākamo benzilspirta devu un krata 20 minūtes kā iepriekš 52°C ±2°C temperatūrā.
92.3. Šķidrumu nolej caur filtrtīģeli. Atkārto operāciju ciklu trešo reizi.
92.4. Nobeigumā ielej šķidrumu un atlikumu tīģelī, pārvieto visas atlikušās šķiedras no kolbas tīģelī, skalojot ar papildu benzilspirta daudzumu 52°C ±2°C temperatūrā, nosūc tīģeli.
92.5. Šķiedras pārvieto kolbā, noskalo ar etanolu un pēc sakratīšanas ar rokām nolej caur filtrtīģeli.
92.6. Atkārto šo skalošanas operāciju divas vai trīs reizes. Atlikumu pārvieto tīģelī un kārtīgi nosūc. Tīģeli un atlikumu izžāvē, atdzesē un nosver.
93. Aprēķina rezultātus, kā rakstīts šīs instrukcijas 3.1. apakšnodaļā. ‘d’ vērtība ir 1,00.
94. Tekstilmateriālu homogēnam maisījumam ar šo metodi iegūto rezultātu ticamības robežas nepārsniedz ± 1, nodrošinot 95% varbūtiskās ticamības līmeni.
3.9. Triacetātam un citām noteiktām šķiedrām piemērojamā metode
95. Pēc nešķiedru vielu atdalīšanas triacetātam un citām noteiktām šķiedrām piemērojamo metodi (metode Nr.6 “Dihlormetāna metode”) lieto divkomponentu maisījumiem, ko veido:
95.1. triacetāts;
95.2. vilna, dzīvnieku mati, zīds, kokvilna, kupro, modālviskoze, viskoze, akrils, poliamīds vai neilons, poliesteris, stikla šķiedra.
96. Triacetāta šķiedras, kas apdares dēļ ir daļēji hidrolizētas, vairs nav pilnīgi šķīstošas reaģentā. Tādos gadījumos šī metode nav lietojama.
97. No šķiedru maisījuma ar zināmu sauso masu triacetāta šķiedru izšķīdina ar dihlormetānu. Atlikumu savāc, mazgā, žāvē un nosver; ja nepieciešams, to masu koriģē un izsaka procentos no maisījuma sausās masas. Sausā triacetāta procentuālo saturu aprēķina pēc starpības.
98. Papildus 3.1. apakšnodaļā noteiktajai aparatūrai lieto konisko 200 ml kolbu ar stikla aizbāzni.
99. Papildus 3.1. apakšnodaļā noteiktajiem reaģentiem lieto dihlormetānu.
100. Veicot testēšanu, ievēro procedūru, kas aprakstīta šīs instrukcijas 3.1. apakšnodaļā, un rīkojas šādi:
100.1. Raudzei, kas atrodas 200ml koniskajā kolbā, pievieno 100ml dihlormetāna uz katru raudzes gramu. Kolbu noslēdz ar aizbāzni. Ik pēc 10 minūtēm kolbu sakrata, lai samitrinātu raudzi, un atstāj uz 30 minūtēm istabas temperatūrā, kolbu regulāri sakratot. Šķidrumu nolej caur nosvērtu filtrtīģeli. 60ml dihlormetāna ielej kolbā ar atlikumu, ar rokām sakrata un filtrē kolbas saturu caur filtrtīģeli. Atlikušās šķiedras pārvieto tīģelī, izskalojot kolbu ar vēl nedaudz dihlormetāna. Lieko šķidrumu atdala vakuumā, tīģeli piepilda ar dihlormetānu un atļauj tam brīvi notecēt.
100.2. Nobeigumā vakuumā atsūc šķidrumu, apstrādā atlikumu ar vārošu ūdeni, lai atdalītu visu šķīdinātāju; tīģeli un atlikumu atsūc vakuumā, izžāvē, atdzesē un nosver.
101. Aprēķina rezultātus, kā rakstīts šīs instrukcijas 3.1. apakšnodaļā. ‘d’ vērtība ir 1,00, izņemot poliestera gadījumu, kad ‘d’ vērtība ir 1,01.
102. Tekstilmateriālu homogēnam maisījumam ar šo metodi iegūto rezultātu ticamības robežas nepārsniedz ± 1, nodrošinot 95% varbūtiskās ticamības līmeni.
3.10. Noteiktām
celulozes šķiedrām
un poliesteram piemērojamā metode
103. Pēc nešķiedru vielu atdalīšanas noteiktām celulozes šķiedrām un poliesteram piemērojamo metodi (metode Nr.7 “75% m/m sērskābes metode”) lieto divkomponentu maisījumiem, ko veido:
103.1. kokvilna, lins, kaņepes, rāmija, kupro, modālviskoze, viskoze;
103.2. poliesteris.
104. No šķiedru maisījuma ar zināmu sauso masu celulozes šķiedras izšķīdina ar 75% m/m sērskābi. Atlikumu savāc, mazgā, žāvē un nosver; tā masu izsaka procentos no maisījuma sausās masas. Sausās celulozes šķiedras procentuālo saturu atrod pēc starpības.
105. Papildus 3.1. apakšnodaļā noteiktajai aparatūrai lieto:
105.1. Konisko 500ml kolbu ar stikla aizbāzni;
105.2. Termostatu vai citu aparatūru, lai kolbu uzturētu 52°C ±2oC temperatūrā.
106. Papildus 3.1. apakšnodaļā noteiktajiem reaģentiem lieto:
106.1. Sērskābi 75±2% m/m. To sagatavo dzesējot. 700 ml sērskābes (20°C temperatūrā blīvums ir 1,84) uzmanīgi pielej 350 ml destilēta ūdens. Pēc tam, kad šķīdums ir atdzisis līdz istabas temperatūrai, to atšķaida ar ūdeni līdz 1 litram.
106.2. Amonija hidroksīda šķīdumu, ko iegūst, 80 ml amonjaka šķīduma (20°C temperatūrā blīvums ir 0,88g/ml) atšķaidot ar ūdeni līdz 1 litram.
107. Veicot testēšanu, ievēro procedūru, kas aprakstīta šīs instrukcijas 3.1. apakšnodaļā, un rīkojas šādi:
107.1. Raudzei, kas atrodas koniskajā kolbā ar stikla aizbāzni ar vismaz 500ml tilpumu, pielej 200 ml 75% sērskābes uz katru raudzes gramu; kolbu noslēdz ar aizbāzni un uzmanīgi sakrata, lai samitrinātu raudzi. Kolbu iztur 50°C ±5°C temperatūrā vienu stundu, sakratot ik pēc aptuveni 10 minūšu intervāliem. Kolbas saturu filtrē vakuumā caur nosvērtu filtrtīģeli. Visas atlikušās šķiedras pārvieto no kolbas tīģelī, kolbu skalojot ar nelielu 75% sērskābes daudzumu. Filtrtīģeli atsūc vakuumā, atlikumu mazgā filtrtīģelī vienu reizi, piepildot to ar svaigu sērskābes porciju. Vakuumfiltrēšanu nelieto, kamēr skābe nav brīvi notecējusi.
107.2. Atlikumu mazgā šādi: vairākas reizes ar aukstu ūdeni, divreiz ar atšķaidītu amonjaka šķīdumu, pēc tam pamatīgi ar aukstu ūdeni. Pēc katras mazgāšanas filtrē vakuumā pēc tam, kad šķidrums ir brīvi notecējis. Nobeigumā tīģeli un atlikumu nosūc vakuumā, izžāvē, atdzesē un nosver.
108. Aprēķina rezultātus, kā rakstīts šīs instrukcijas 3.1. apakšnodaļā. ‘d’ vērtība ir 1,00.
109. Tekstilmateriālu homogēnam maisījumam ar šo metodi iegūto rezultātu ticamības robežas nepārsniedz ± 1, nodrošinot 95% varbūtiskās ticamības līmeni.
3.11. Akrilam, noteiktām modakrila vai noteiktām hloršķiedrām un noteiktām citām šķiedrām piemērojamā metode
110. Pēc nešķiedru vielu atdalīšanas akrilam, noteiktām modakrila vai noteiktām hloršķiedrām un noteiktām citām šķiedrām piemērojamo metodi (metode Nr.8 “Dimetilformamīda metode”) lieto divkomponentu maisījumiem, ko veido:
110.1. Akrils, noteikti modakrili vai noteiktas hloršķiedras (pirms analīzes veikšanas jāpārbauda šādu modificētu akrilu vai hlora šķiedru šķīdība reaģentā);
110.2. vilna, dzīvnieku mati, zīds, kokvilna, kupro, modālviskoze, viskoze, poliamīds vai neilons un poliesteris.
111. Metode ir izmantojama akriliem un noteiktiem modakriliem, kas apstrādāti ar metālsaturošām krāsvielām, bet nav izmantojama tiem, kas krāsoti ar hromējamām krāsvielām.
112. Akrilu, modakrilu vai hloršķiedru izšķīdina ar dimetilformamīdu, kas sakarsēts ūdens peldē līdz vārīšanās temperatūrai, no šķiedru maisījuma ar zināmu sauso masu. Atlikumu savāc, mazgā, žāvē un nosver. Tā masu, ja nepieciešams, koriģē un izsaka procentos no maisījuma sausās masas. Sausā akrila, modakrila vai hloršķiedras procentuālo saturu aprēķina pēc starpības.
113. Papildus 3.1. apakšnodaļā noteiktajai aparatūrai lieto:
113.1. Konisko 200ml kolbu ar stikla aizbāzni;
113.2. Ūdens vannu pie vārīšanās temperatūras.
114. Papildus 3.1. apakšnodaļā noteiktajiem reaģentiem lieto dimetilformamīdu (viršanas temperatūra 153±1° C), kas nesatur vairāk kā 0,1% ūdens. Šis reaģents ir toksisks, tādēļ ieteicams lietot velkmi.
115. Veicot testēšanu, ievēro procedūru, kas aprakstīta šīs instrukcijas 3.1. apakšnodaļā, un rīkojas šādi:
115.1. Raudzei, kas atrodas koniskajā kolbā ar vismaz 200ml tilpumu, pievieno uz katru raudzes gramu 80ml dimetilformamīda, kas iepriekš sakarsēts ūdens vannā pie viršanas temperatūras. Kolbu noslēdz ar aizbāzni un sakrata, lai samitrinātu raudzi, un tad karsē ūdens vannā pie vārīšanās temperatūras vienu stundu. Šajā laikā kolbu un tās saturu uzmanīgi sakrata piecas reizes.
115.2. Šķidrumu nolej caur nosvērtu filtrtīģeli, šķiedras atstājot kolbā. Pievieno nākamos 60ml dimetilformamīda un karsē vēl 30 minūtes, šajā laikā kolbu un tās saturu uzmanīgi sakratot ar rokām divas reizes.
115.3. Kolbas atlikumu filtrē caur filtrtīģeli vakuumā.
115.4. Visas atlikušās šķiedras pārvieto tīģelī, izmazgājot kolbu ar dimetilformamīdu. Tīģeli filtrē vakuumā. Atlikumu mazgā ar apmēram 1 litru 70°C –80°C karsta ūdens, tīģeli piepildot katru reizi. Pēc katras ūdens pievienošanas pēc tam, kad liekais ūdens ir gravitāri notecējis, tīģeli nosūc vakuumā. Ja mazgāšanas šķidrums tek caur filtrtīģeli pārāk lēni, var lietot vieglu vakuuma atsūci.
115.5. Nobeigumā tīģeli un atlikumu izžāvē, atdzesē un nosver.
116. Aprēķina rezultātus, kā rakstīts šīs instrukcijas 3.1. apakšnodaļā. ‘d’ vērtība ir 1,00, izņemot šādus gadījumus:
116.1. Vilna — 1,01;
116.2. Kokvilna — 1,01;
116.3. Kupro — 1,01;
116.4. Modālviskoze — 1,01;
116.5. Poliesters — 1,01.
117. Tekstilmateriālu homogēnam maisījumam ar šo metodi iegūto rezultātu ticamības robežas nepārsniedz ± 1, nodrošinot 95% varbūtiskās ticamības līmeni.
3.12. Noteiktām
hloršķiedrām
un citām noteiktām šķiedrām
piemērojamā metode
118. Pēc nešķiedru vielu atdalīšanas noteiktām hloršķiedrām un citām noteiktām šķiedrām piemērojamo metodi (metode Nr.9 “55,5/44,5 oglekļa disulfīda un acetona maisījuma metode”) lieto divkomponentu maisījumiem:
118.1. noteiktas hloršķiedras, proti, noteiktas polivinilhlorīda šķiedras, papildus hlorētas vai nehlorētas;
118.2. vilna, dzīvnieku mati, zīds, kokvilna, kupro, modālviskoze, viskoze, akrils, poliamīds vai neilons, poliesteris, stikla šķiedra.
119. Pirms analīzes jāpārbauda polivinilhlorīda šķiedru šķīdība reaģentā.
119.1. Ja vilnas vai zīda saturs maisījumā pārsniedz 25%, lieto metodi Nr. 2.
119.2. Ja poliamīda vai neilona saturs maisījumā pārsniedz 25%, lieto metodi Nr.4.
120. Hloršķiedru izšķīdina ar oglekļa disulfīda un acetona azeotropo maisījumu no šķiedru maisījuma ar zināmu sauso masu. Atlikumu savāc, mazgā, žāvē un nosver; tā masu, ja nepieciešams, koriģē un izsaka procentos no maisījuma sausās masas. Sausās polivinilhlorīda šķiedras procentuālo saturu aprēķina pēc starpības.
121. Papildus 3.1. apakšnodaļā noteiktajai aparatūrai lieto:
121.1. Konisko kolbu ar stikla aizbāzni, 200ml;
121.2. Mehānisko kratītāju.
122. Papildus 3.1. apakšnodaļā noteiktajiem reaģentiem lieto:
122.1. Oglekļa disulfīdu un acetona azeotropo maisījumu (55,5 tilpuma% oglekļa disulfīds uz 44,5% acetona). Tā kā šis reaģents ir toksisks, ieteicams lietot velkmi.
122.2. Etanolu (92% tilp.) vai metanolu.
123. Veicot testēšanu, ievēro procedūru, kas aprakstīta šīs instrukcijas 3.1. apakšnodaļā, un rīkojas šādi:
123.1. Raudzei, kas atrodas koniskā kolbā ar vismaz 200ml tilpumu, pievieno 100ml azeotropā maisījuma uz katru raudzes gramu. Kolbu cieši noslēdz ar aizbāzni un krata mehāniskajā kratītājā vai enerģiski ar rokām 20 minūtes istabas temperatūrā. Nolej virspusē esošo šķidrumu caur nosvērtu filtrtīģeli.
123.2. Atkārto darbību ar 100ml svaiga reaģenta. Turpina šo operāciju ciklu, kamēr pēc ekstragējošā šķidruma piliena iztvaikošanas uz pulksteņstikliņa nav palikušas polimēra nogulsnes. Lietojot papildu reaģentu, atlikumu pārnes filtrtīģelī un filtrē vakuumā, lai aizvāktu šķidrumu. Tīģeli un atlikumu mazgā ar 20ml spirta un tad trīs reizes ar ūdeni. Mazgāšanas šķidrumam ļauj gravitāri notecēt, pēc tam atlikušo nosūc vakuumā. Tīģeli un atlikumu izžāvē, atdzesē un nosver.
123.3. Maisījumiem, kuros ir augsts hloršķiedru saturs, raudze žāvēšanas laikā var ievērojami sarauties, kā rezultātā hloršķiedru šķīdināšana kavējas. Tas tomēr neietekmē hloršķiedru galīgo šķīšanu šķīdinātājā.
124. Aprēķina rezultātus, kā rakstīts šīs instrukcijas 3.1. apakšnodaļā. ‘d’ vērtība ir 1,00.
125. Tekstilmateriālu homogēnam maisījumam ar šo metodi iegūto rezultātu ticamības robežas nepārsniedz ± 1, nodrošinot 95% varbūtiskās ticamības līmeni.
3.13. Acetātam
un noteiktām
hloršķiedrām piemērojamā metode
126. Pēc nešķiedru vielu atdalīšanas acetātam un noteiktām hloršķiedrām piemērojamo metodi (metode Nr.10 “Ledus etiķskābes metode”) lieto divkomponentu maisījumiem, ko veido:
126.1. acetāts;
126.2. noteiktas hloršķiedras, proti, polivinilhlorīda šķiedras, arī papildus hlorētas.
127. No maisījuma ar zināmu sauso masu acetātšķiedru izšķīdina ar ledus etiķskābi. Atlikumu savāc, mazgā, žāvē un nosver; tā masu, ja nepieciešams, koriģē un izsaka procentos no maisījuma sausās masas. Sausā acetāta procentuālo saturu aprēķina pēc starpības.
128. Papildus 3.1. apakšnodaļā noteiktajai aparatūrai lieto:
128.1. Konisko 200ml kolbu ar stikla aizbāzni;
128.2. Mehānisko kratītāju.
129. Papildus 3.1. apakšnodaļā noteiktajiem reaģentiem lieto ledus etiķskābi (virs 99%). Ar šo reģentu jārīkojas uzmanīgi, jo tā ir stipri kodīga viela.
130. Veicot testēšanu, ievēro procedūru, kas aprakstīta šīs instrukcijas 3.1. apakšnodaļā, un rīkojas šādi: Raudzei, kas atrodas koniskajā kolbā ar ietilpību vismaz 200ml, pievieno 100ml ledus etiķskābi uz katru raudzes gramu. Cieši aiztaisa kolbu ar stikla aizbāzni un krata mehāniskajā kratītājā vai enerģiski ar rokām 20 minūtes istabas temperatūrā. Virspusē esošo šķidrumu nolej caur nosvērtu filtrtīģeli. Šo darbību atkārto divas reizes, lietojot 100ml svaiga reaģenta katru reizi un kopumā veicot trīs ekstrakcijas. Atlikumus pārvieto filtrtīģelī un filtrē vakuumā, lai atdalītu šķidrumu. Tīģeli un atlikumu mazgā ar 50ml ledus etiķskābes un trīs reizes ar ūdeni. Pēc katras mazgāšanas šķidrumam ļauj gravitāri notecēt pirms tā nosūkšanas vakuumā. Tīģeli un atlikumu izžāvē, atdzesē un nosver.
131. Aprēķina rezultātus, kā rakstīts šīs instrukcijas 3.1. apakšnodaļā. ‘d’ vērtība ir 1,00.
132. Tekstilmateriālu homogēnam maisījumam ar šo metodi iegūto rezultātu ticamības robežas nepārsniedz ± 1, nodrošinot 95% varbūtiskās ticamības līmeni.
3.14. Zīdam un
vilnai vai matiem
piemērojamā metode
133. Pēc nešķiedru vielu atdalīšanas zīdam un vilnai vai matiem piemērojamo metodi (metode Nr.11 “75% m/m sērskābes metode”) lieto divkomponentu maisījumiem, ko veido:
133.1. zīds;
133.2. vilna vai dzīvnieku mati.
134. No šķiedru maisījuma ar zināmu sauso masu zīda šķiedru izšķīdina ar 75% m/m sērskābi. Savvaļas zīdi, tādi kā “tusā” (Ķīnas un Japānas ozola zīdkāpuru) zīds, pilnībā nešķīst 75% m/m sērskābē.
135. Atlikumu savāc, mazgā, žāvē un nosver; tā masu, ja nepieciešams, koriģē un izsaka procentos no maisījuma sausās masas. Sausā zīda procentuālo saturu aprēķina pēc starpības.
136. Papildus 3.1. apakšnodaļā noteiktajai aparatūrai lieto konisko kolbu ar stikla aizbāzni, 200 ml.
137. Papildus 3.1. apakšnodaļā noteiktajiem reaģentiem lieto:
137.1. Sērskābi (75 ± 2% m/m), ko sagatavo dzesējot. 350 ml destilēta ūdens uzmanīgi pievieno 700ml sērskābes (20°C temperatūrā relatīvais blīvums ir 1,84). Pēc tam, kad šķīdums ir atdzesēts līdz istabas temperatūrai, atšķaida to ar ūdeni līdz 1 litram.
137.2. Atšķaidītu sērskābi, ko iegūst, 1900 ml destilēta ūdens lēni pievienojot 100 ml sērskābes (20°C temperatūrā blīvums ir 1,84).
137.3. Amonjaka šķīdumu, ko iegūst, 200 ml koncentrēta amonjaka (20°C temperatūrā blīvums ir 0,880) atšķaidot ar ūdeni līdz 1000ml.
138. Testēšanu veic, ievērojot procedūru, kas aprakstīta šīs instrukcijas 3.1. apakšnodaļā, un rīkojas šādi: Raudzei, kas atrodas koniskajā kolbā ar vismaz 200ml ietilpību, pievieno 100ml 75% m/m sērskābes uz raudzes katru gramu. Kolbu noslēdz ar aizbāzni, enerģiski sakrata un iztur 30 minūtes istabas temperatūrā. Sakrata vēlreiz un atstāj uz 30 minūtēm. Sakrata pēdējo reizi un filtrē kolbas saturu caur nosvērtu filtrtīģeli. Izmazgā kolbā palikušās šķiedras ar 75% sērskābes reaģentu. Atlikumus mazgā tīģelī secīgi ar 50ml atšķaidīta sērskābes reaģenta, 50ml ūdens un 50ml atšķaidīta amonjaka šķīduma. Katru reizi atļauj šķiedrām palikt saskarē ar šķidrumu apmēram 10 minūtes pirms filtrēšanas vakuumā. Nobeigumā mazgā ar ūdeni, atstājot šķiedras saskarē ar ūdeni apmēram 30 minūtes. Tīģeli filtrē vakuumā, izžāvē kopā ar atlikumu, atdzesē un nosver.
139. Aprēķina rezultātus, kā rakstīts šīs instrukcijas 3.1. apakšnodaļā. ‘d’ vērtība vilnai ir 0,985.
140. Tekstilmateriālu homogēnam maisījumam ar šo metodi iegūto rezultātu ticamības robežas nepārsniedz ± 1, nodrošinot 95% varbūtiskās ticamības līmeni.
3.15. Džutai un
noteiktām
dzīvniekšķiedrām piemērojamā metode
141. Pēc nešķiedru vielu atdalīšanas džutai un noteiktām dzīvniekšķiedrām piemērojamo metodi (Metode Nr.12 “Slāpekļa satura noteikšanas metode”) lieto divkomponentu maisījumiem, ko veido:
141.1. džuta;
141.2. noteiktas dzīvniekšķiedras.
142. Dzīvniekšķiedru komponents var saturēt vienīgi matus vai vilnu, vai jebkuru to maisījumu. Šo metodi nevar lietot tekstilmaisījumiem, kas satur nešķiedru vielas (krāsvielas, apretes utt.) uz slāpekļa bāzes.
143. Nosaka slāpekļa saturu maisījumā un no tā un zināmā vai pieņemtā slāpekļa satura abos komponentos aprēķina katra komponenta saturu.
144. Papildus 3.1. apakšnodaļā noteiktajai aparatūrai lieto:
144.1. Kjeldāla kolbu ar 200–300ml tilpumu;
144.2. Kjeldāla destilēšanas aparātu ar tvaika padevi;
144.3. Titrēšanas aparātu ar precizitāti 0,05ml.
145. Papildus 3.1. apakšnodaļā noteiktajiem reaģentiem lieto:
145.1. Toluolu;
145.2. Metanolu;
145.3. Sērskābi ar blīvumu 1,84 20°C temperatūrā. Nedrīkst saturēt slāpekli;
145.4. Kālija sulfātu. Nedrīkst saturēt slāpekli;
145.5. Selēna dioksīdu. Nedrīkst saturēt slāpekli;
145.6. Nātrija hidroksīda šķīdumu (400g/l). 400g nātrija hidroksīda izšķīdina 400–500ml ūdens un atšķaida ar ūdeni līdz 1 litram;
145.7. Jauktu indikatoru. Izšķīdina 0,1g metilsarkanā ar 95 ml etanola un 5 ml ūdens un samaisa to ar 0,5 g bromkrezolzaļā, kas izšķīdināts 475 ml etanola un 25 ml ūdens;
145.8. Borskābes šķīdumu. Izšķīdina 20g borskābes 1 litrā ūdens;
145.9. Sērskābi 0,02N (titrēšanas standartšķīdums).
146. Iepriekšējo attīrīšanu, kas aprakstīta šīs instrukcijas 3.1. apakšnodaļā, aizstāj ar šādu testēšanas parauga iepriekšējās attīrīšanas procedūru:
146.1.Ekstrahē sauso paraugu Soksleta aparātā ar maisījumu, kas sastāv no 1 tilpuma daļas toluola un 3 tilpuma daļām metanola, četras stundas ar minimālo ātrumu 5 cikli stundā.
146.2.Šķīdinātājam ļauj iztvaikot no parauga gaisā un atdala tā pēdējās paliekas termostatā 105°C±3°C temperatūrā.
146.3. Pēc tam paraugu ekstrahē ūdenī (50ml uz parauga gramu), vārot kolbā ar atteces dzesinātāju 30 minūtes.
146.4. Filtrē, atliek paraugu kolbā un atkārto ekstrakciju ar identisku ūdens tilpumu. Filtrē, no parauga atdala pārpalikušo ūdeni, to nospiežot ar vakuuma vai centrifugēšanas palīdzību, un paraugam ļauj izžūt.
146.1 Jāņem vērā toluola un metanola toksiskums. Tādēļ, tos lietojot, jāievēro visi piesardzības pasākumi.
147. Veicot testēšanu, ievēro procedūru, kas aprakstīta šīs instrukcijas 3.1. apakšnodaļā par raudžu atlasīšanu, žāvēšanu un svēršanu, un rīkojas šādi:
147.1. Ieliek raudzi Kjeldāla kolbā. Raudzei, kas sver vismaz 1g un atrodas kolbā, pievieno šādā secībā 2,5g kālija sulfāta, 0,1–0,2g selēna dioksīda un 10 ml sērskābes (blīvums 1,84). Kolbu vispirms uzmanīgi karsē, kamēr visa šķiedra sadalās, pēc tam karsē to daudz enerģiskāk, kamēr šķīdums kļūst dzidrs un gandrīz bezkrāsains. Turpina karsēšanu vēl 15 minūtes. Kolbai ļauj atdzist, tās saturu uzmanīgi atšķaida ar 10–20ml ūdens un atdzesē; saturu pilnībā pārnes uz 200ml mērkolbu un papildina ar ūdeni līdz iezīmei izvārīšanas šķīduma iegūšanai.
147.2. Apmēram 20ml borskābes šķīduma ielej koniskajā 100ml kolbā un novieto to zem Kjeldāla destilēšanas aparāta dzesinātāja tā, lai dzesinātāja caurules gals būtu iegremdēts borskābes šķīdumā. Pārvieto tieši 10ml sadalītās šķiedras šķīduma destilēšanas kolbā, ielej ne mazāk par 5ml nātrija hidroksīda šķīduma pilināmā piltuvē, viegli uzliek aizbāzni un ļauj nātrija hidroksīda šķīdumam lēni tecēt kolbā. Ja sadalītās šķiedras šķīdums un nātrija hidroksīda šķīdums paliek divos dažādos slāņos, tos uzmanīgi samaisa. Destilācijas kolbu uzmanīgi karsē un padod tvaiku. Savāc apmēram 20ml destilāta, nolaiž konisko kolbu tā, lai dzesinātāja caurules gals ir apmēram par 20mm augstāk par šķīduma virsmu, un destilē vēl vienu minūti. Noskalo dzesinātāja caurules galu ar ūdeni, uztverot pārpalikumus koniskajā kolbā. Konisko kolbu nomaina ar citu, kas satur aptuveni 10ml borskābes šķīduma un uztver tajā ap 10ml destilāta.
147.3. Abus destilātus titrē atsevišķi ar 0,02N sērskābi, lietojot jaukto indikatoru. Reģistrē galīgo titrēšanas rezultātu abām destilācijām. Ja otrās kolbas titrēšanai izmantotais šķīduma daudzums ir lielāks par 0,2ml, testu atkārto un uzsāk destilēšanu vēlreiz, ņemot svaigu sadalīto šķiedru šķīduma daudzumu no mērkolbas.
147.4. Izdara tukšo mēģinājumu, t.i., izvārīšanu un destilēšanu, lietojot tikai reaģentus.
148. Aprēķinu veikšanai izmanto šādas formulas:
148.1. Aprēķina slāpekļa procentuālo saturu sausajā raudzē šādi:
28(V – b)N
A % = ––––––––––,
W
kur
A — slāpekļa procentuālais saturs attīrīti sausajā raudzē,
V — analīzei izlietotais standarta sērskābes tilpums, ml,
b — tukšajam mēģinājumam izlietotais standarta sērskābes tilpums, ml,
N — standarta sērskābes normalitāte,
W — raudzes sausā masa (g),
148.2. Pieņemot, ka džutas sausā masa satur 0,22% slāpekļa un dzīvniekšķiedru sausā masa —– 16,2% slāpekļa, maisījuma sastāvu aprēķina šādi:
A – 0,22
PA % = ––––––––––- x 100,
16.2 – 0,22
kur
PA % — dzīvniekšķiedru procentuālais saturs attīrīti sausajā raudzē.
149. Tekstilmateriālu homogēnam maisījumam ar šo metodi iegūto rezultātu ticamības robežas nepārsniedz ± 1, nodrošinot 95% varbūtiskās ticamības līmeni.
3.16.
Polipropilēna šķiedrām
un noteiktām citām šķiedrām piemērojamā metode
150. Pēc nešķiedru vielu atdalīšanas polipropilēna šķiedrām un noteiktām citām šķiedrām piemērojamo metodi (metode Nr.13 “Ksilola metode”) lieto divkomponentu maisījumiem, ko veido:
150.1. polipropilēna šķiedras;
150.2. vilna, dzīvnieku mati, zīds, kokvilna, acetāts, kupro, modālviskoze, triacetāts, viskoze, akrils, poliamīds jeb neilons, poliesteris un stikla šķiedra.
151. No maisījuma ar zināmu sauso masu polipropilēna šķiedru izšķīdina ar verdošu ksilolu. Atlikumu savāc, mazgā, žāvē un nosver; tā masu, ja nepieciešams, koriģē un izsaka procentos no maisījuma sausās masas. Polipropilēna procentuālo saturu aprēķina pēc starpības.
152. Papildus 3.1. apakšnodaļā noteiktajai aparatūrai lieto:
152.1. Konisko 200ml kolbu ar stikla aizbāzni;
152.2. Atteces dzesinātāju (piemērots šķīdumiem ar augstu vārīšanās punktu), kas der koniskajai kolbai (152.1. apakšpunkts).
153. Papildus 3.1. apakšnodaļā noteiktajiem reaģentiem lieto ksilolu, ar destilācijas temperatūru no 137°C līdz 142°C. Šis reaģents ir viegli uzliesmojošs, tā tvaiki ir toksiski. To lietojot, jāievēro atbilstoša piesardzība.
154. Testēšanu veic, ievērojot procedūru, kas aprakstīta šīs instrukcijas 3.1. apakšnodaļā, un rīkojas šādi:
154.1. Raudzei, kas atrodas koniskajā kolbā (152.1.apakšpunkts), pievieno 100 ml ksilola (153.punkts) uz katru raudzes gramu. Pievieno atteces dzesinātāju (152.2.apakšpunkts), saturu uzvāra un notur vārīšanās temperatūrā trīs minūtes. Karsto šķidrumu nekavējoties nolej caur nosvērtu filtrtīģeli (skatīt 153.punktu). Atkārto šo darbību divas reizes, katru reizi lietojot svaigu 50 ml šķīdinātāja porciju.
154.2. Kolbā atlikušo atlikumu skalo secīgi ar 30ml verdoša ksilola (divas reizes) un ar 75ml petrolētera (skatīt 33.2.1.apakšpunktu) (divas reizes). Pēc otrās skalošanas ar petrolēteri kolbas saturu filtrē caur filtrtīģeli, visas atlikušās šķiedras pārvieto uz tīģeli ar mazu petrolētera daudzumu un ļauj šķīdinātājam iztvaikot. Tīģeli un atlikumu izžāvē, atdzesē un nosver.
154.3. Filtrtīģeli, caur kuru nolej ksilolu, iepriekš sakarsē.
154.4. Pēc apstrādes ar verdošu ksilolu pārbauda, vai kolba, kas satur atlikumu, ir pietiekami atdzesēta pirms petrolētera ieliešanas.
154.5. Lai mazinātu saindēšanās un ugunsbīstamības draudus operatoram, attiecīgās procedūras var izpildīt karstās ekstrakcijas aparātā, kas dod identiskus rezultātus, piemēram, skat. aparātu, kas aprakstīts žurnālā Melliand Textilberichte 56 (1975), 643.–645.lpp.
155. Aprēķina rezultātus, kā rakstīts šīs instrukcijas 3.1. apakšnodaļā. ‘d’ vērtība ir 1,00.
156. Tekstilmateriālu homogēnam maisījumam ar šo metodi iegūto rezultātu ticamības robežas nepārsniedz ± 1, nodrošinot 95% varbūtiskās ticamības līmeni.
3.17.
Hloršķiedrām (vinilhlorīda
homopolimēriem) un noteiktām citām šķiedrām piemērojamā
metode
157. Pēc nešķiedru vielu atdalīšanas hloršķiedrām (vinilhlorīda homopolimēriem) un noteiktām citām šķiedrām piemērojamo metodi (metode Nr.14 “Koncentrētas sērskābes metode”) lieto divkomponentu maisījumiem, ko veido:
157.1. hloršķiedras, pamatā polivinilhlorīda šķiedras, papildus hlorētas vai nehlorētas;
157.2. kokvilna, acetāts, kupro, modālviskoze, triacetāts, viskoze, noteikti akrili, noteikti modakrili, poliamīds vai neilons un poliesteris.
158. Metodi lieto modakriliem, kuri koncentrētā sērskābē (20°C temperatūrā blīvums ir 1,84) dod dzidru šķīdumu. Šo metodi var lietot 8. un 9.metodes vietā.
159. No šķiedru maisījuma ar zināmu sauso masu otro komponentu (šķiedras, kas uzskaitītas 157.2. apakšpunktā) izšķīdina ar koncentrētu sērskābi (20°C temperatūrā blīvums ir1,84). Atlikumu, kas satur hloršķiedru, savāc, skalo, žāvē un nosver. Tā masu, ja nepieciešams, koriģē un izsaka procentos no maisījuma sausās masas. Otrā komponenta procentuālo saturu aprēķina pēc starpības.
160. Papildus 3.1. apakšnodaļā noteiktajai aparatūrai lieto:
160.1. konisko kolbu ar stikla aizbāzni, 200 ml;
160.2. stikla nūjiņu ar saplacinātu galu.
161. Papildus 3.1. apakšnodaļā noteiktajiem reaģentiem lieto:
161.1. koncentrētu sērskābi (20°C temperatūrā blīvums ir 1,84);
161.2. sērskābi, apmēram 50% (m/m) ūdens šķīdums. To sagatavo: dzesējot 500ml destilēta vai dejonizēta ūdens uzmanīgi pievieno 400ml sērskābes (20°C temperatūrā blīvums ir 1,84). Pēc atdzesēšanas līdz istabas temperatūrai šķīdumu atšķaida ar ūdeni līdz 1 litram.
161.3. amonjaka šķīdumu. 60ml koncentrēta amonjaka (20°C temperatūrā tā blīvums ir 0,880) atšķaida ar destilētu ūdeni līdz 1 litram.
162. Testēšanu veic, ievērojot procedūru, kas aprakstīta šīs instrukcijas 3.1. apakšnodaļā, un rīkojas šādi:
162.1 Raudzei, kas atrodas kolbā (160.1.apakšpunkts) pievieno 100 ml sērskābes (161.1.apakšpunkts) uz katru raudzes gramu.
162.2. Kolbas saturu atstāj istabas temperatūrā uz 10 minūtēm, šajā laikā raudzi laiku pa laikam maisot ar stikla nūjiņu. Apstrādājot austu vai adītu drānu, to viegli spaida ar stikla nūjiņu pret kolbas sieniņu tā, lai atdalītu materiālu, kas izšķīdis sērskābē.
162.3. Šķidrumu notecina caur nosvērtu filtrtīģeli. Kolbā ielej svaigu 100ml porciju sērskābes (161.1.apakšpunkts) un atkārto to pašu darbību. Kolbas saturu pārvieto uz filtrtīģeli kopā ar šķiedru atlikumu ar stikla nūjiņas palīdzību. Ja nepieciešams, kolbu izskalo ar nelielu daudzumu koncentrētas sērskābes (161.1.apakšpunkts), lai atdalītu visas šķiedras, kas pielipušas pie sieniņām. Iztukšo filtrtīģeli, filtrējot vakuumā, aizvāc filtrātu, iztukšojot vai nomainot filtrēšanas kolbu, atlikumu tīģelī mazgā secīgi ar 50% sērskābes šķīdumu (161.2.apakšpunkts) destilētu vai dejonizētu ūdeni (skatīt 33.2.3.apakšpunktu), amonjaka šķīdumu (161.3.apakšpunkts) un beidzot pilnīgi mazgā ar destilētu vai dejonizētu ūdeni. Pēc katras mazgāšanas iztukšo tīģeli, filtrējot vakuumā (vakuumfiltrēšanu neveic mazgāšanas laikā, bet tikai pēc tam, kad šķidrums ir gravitāri iztecējis).
162.4. Tīģeli un atlikumu izžāvē, atdzesē un nosver.
163. Aprēķina rezultātus, kā rakstīts šīs instrukcijas 3.1. apakšnodaļā. ‘d’ vērtība ir 1,00.
164. Tekstilmateriālu homogēnam maisījumam ar šo metodi iegūto rezultātu ticamības robežas nepārsniedz ± 1, nodrošinot 95% varbūtiskās ticamības līmeni.
3.18.
Hloršķiedrām, noteiktiem
modakriliem, noteiktiem elastāniem, acetāniem, triacetātiem un
noteiktām citām šķiedrām piemērojamā metode
165. Pēc nešķiedru vielu atdalīšanas hloršķiedrām, noteiktiem modakriliem, noteiktiem elastāniem, acetāniem, triacetātiem un noteiktām citām šķiedrām piemērojamo metodi (Metode Nr.15 “Cikloheksanona metode”) lieto diviskiem (divkomponentu) maisījumiem, ko veido:
165.1. acetāts, triacetāts, hloršķiedra, noteikti modakrili, noteikti elastāni;
165.2. vilna, dzīvnieku mati, zīds, kokvilna, kupro, modālviskoze, viskoze, akrils, poliamīds vai neilons, un stikla šķiedra.
166. Ja maisījumā ir modakrili vai elastāni, vispirms jāveic sākotnējā testēšana, lai noteiktu, vai šķiedra ir pilnībā šķīstoša reaģentā.
167. Maisījumus, kas satur hloršķiedras, ir iespējams analizēt arī ar metodēm Nr. 9 vai 14.
168. No šķiedru maisījuma ar zināmu sauso masu acetāta un triacetāta šķiedras, hloršķiedras, noteiktus modakrilus un noteiktus elastānus izšķīdina ar cikloheksanonu temperatūrā, kas ir tuva viršanas temperatūrai. Atlikumu savāc, skalo, žāvē un nosver; tā masu, ja nepieciešams, koriģē un izsaka procentos no maisījuma sausās masas. Hloršķiedras, modakrila, elastāna, acetāta un triacetāta procentuālo saturu aprēķina pēc starpības.
169. Papildus 3.1. apakšnodaļā noteiktajai aparatūrai lieto:
169.1. Karstās ekstrakcijas aparātu, kas ir piemērots 171.punktā aprakstītajai testēšanas procedūrai (skatīt zīmējumu: kur ir aparatūras variants, kas aprakstīta Melliand Textilberichte 56 (1975) 643.–645.lpp.)
169.2. Filtrtīģeli raudzei;
169.3. Poraino vāciņu (porainības pakāpe 1);
169.4. Atteces dzesinātāju destilēšanas kolbai;
169.5. Karsēšanas ierīci.
170. Papildus 3.1. apakšnodaļā noteiktajiem reaģentiem lieto:
170.1. Cikloheksanonu ar 156°C viršanas temperatūru. Cikloheksanons ir viegli uzliesmojošs un toksisks. Lietojot to, jāievēro attiecīgā piesardzība.
170.2. Etilspirtu, 50% tilpumā.
171. Veicot testēšanu, ievēro procedūru, kas aprakstīta šīs instrukcijas 3.1. apakšnodaļā, un rīkojas šādi:
171.1. Destilācijas kolbā ielej 100ml cikloheksanona uz gramu materiāla, ievieto ekstrakcijas konteineri ar filtrtīģeli, kas satur raudzi un porainu vāciņu, kurš novietots mazliet slīpi. Pievieno atteces dzesinātāju. Karsē līdz vārīšanās temperatūrai un ekstrakciju turpina 60 minūtes ar minimālo ātrumu 12 cikli stundā. Pēc ekstrakcijas un atdzesēšanas izņem ekstrakcijas konteineri, no tā izņem filtrtīģeli un noņem vāciņu. Filtrtīģeļa saturu trīs vai četras reizes mazgā ar 50% etilspirtu, kas sakarsēts līdz apmēram 60°C, pēc tam — ar 1 litru ūdens 60°C temperatūrā.
171.2. Vakuumfiltrēšanu neveic mazgāšanas laikā un starp mazgāšanām. Šķidrumam ļauj gravitāri notecēt un tikai pēc tam to nosūc vakuumā.
171.3. Tīģeli ar atlikumu izžāvē, atdzesē un nosver.
172. Aprēķina rezultātus, kā rakstīts šīs instrukcijas 3.1. apakšnodaļā. ‘d’ vērtība ir 1,00 ar šādiem izņēmumiem:
172.1. zīdam — 1,01;
172.2. akrilam — 0,98.
173. Tekstilmateriālu homogēnam maisījumam ar šo metodi iegūto rezultātu ticamības robežas nepārsniedz ± 1, nodrošinot 95% varbūtiskās ticamības līmeni.
4.
Tekstilšķiedru trīskomponentu
maisījumu kvantitatīvā analīze
174. Šķiedru maisījumu kvantitatīvās analīzes metodes balstās uz 2 paņēmieniem — šķiedru veidu manuālo (mehānisko) un ķīmisko atdalīšanu.
175. Manuālo (mehānisko) atdalīšanas metodi lieto, kad vien tas ir iespējams, jo tā parasti dod precīzākus rezultātus nekā ķīmiskā metode. To var izmantot visiem tekstilizstrādājumiem, kuru sastāvā ietilpstošās šķiedras neveido nedalāmus maisījumus, piemēram, gadījumā, kad pavediens sastāv no dažādiem elementiem, kur katrs no tiem ir gatavots no tikai vienas šķiedras veida, vai audumiem, kuros šķēri un audi atšķiras pēc šķiedru veida, vai adījumiem, kas veidoti no dažāda tipa pavedieniem un kurus var atdalīt izārdot.
176. Parasti ķīmisko analīžu kvantitatīvās metodes balstās uz konkrētu komponentu selektīvo šķīdināšanu. Ir iespējami četri šīs metodes varianti (ja ir iespējama izvēle, ieteicams lietot vienu no pirmajiem 3 variantiem):
176.1. Lietojot divas raudzes, komponentu (a) izšķīdina no pirmās raudzes un citu komponentu (b) no otrās raudzes. Katras raudzes nešķīstošo atlikumu nosver un katru divu šķīstošo komponentu procentuālo saturu aprēķina no attiecīgajiem masas zudumiem. Trešā komponenta (c) procentuālo saturu aprēķina pēc starpības.
176.2. Lietojot divas raudzes, komponentu (a) izšķīdina no pirmās raudzes un divus komponentus (a un b) no otrās raudzes. Pirmās raudzes nešķīstošo atlikumu nosver un komponenta (a) procentuālo saturu aprēķina no masas zuduma. Otrās raudzes nešķīstošo atlikumu nosver un tas atbilst komponentam (c). Trešā komponenta procentuālo saturu (b) aprēķina pēc starpības.
176.3. Lietojot divas raudzes, divus komponentus (a un b) izšķīdina no pirmās raudzes un divus komponentus (b un c) no otrās raudzes. Nešķīstošie atlikumi atbilst attiecīgi diviem komponentiem (c) un (a). Trešā komponenta (b) procentuālo saturu aprēķina pēc starpības.
176.4. Lietojot tikai vienu raudzi, pēc viena komponenta atdalīšanas nešķīstošo atlikumu, kas veidojas no divām citām šķiedrām, nosver un šķīstošā atlikuma procentuālo saturu aprēķina no masas zuduma. Vienu no divām atlikuma šķiedrām izšķīdina, nešķīstošo komponentu nosver un otra šķīstošā komponenta procentuālo saturu aprēķina no masas zuduma.
177. Ja lieto ķīmisko analīzi, ekspertam, kurš ir atbildīgs par analīzēm, jārūpējas par to, lai izvēlētos metodes, kurās izmanto tādus šķīdinātājus, kuri šķīdina tikai pareizo (–ās) šķiedru (–as), atstājot citas šķiedras neskartas. Piemēram, 2.pielikumā ir dota tabula, kurā iekļauts noteikts skaits trīskomponentu maisījumu kopā ar divkomponentu maisījumu analīzes metodēm, kuras principā var lietot, lai analizētu attiecīgos trīskomponentu maisījumus.
178. Lai samazinātu kļūdas iespējamību līdz minimumam, ir ieteicams, kad vien iespējams, lietot ķīmisko analīzi, kurā izmanto vismaz divus no četriem iepriekš minētajiem variantiem.
179. Šķiedru maisījumi ražošanas procesā un mazākā mērā gatavie tekstilizstrādājumi var saturēt nešķiedru vielas, tādas kā taukus, vaskus, apretes vai ūdenī šķīstošas vielas, kuras tajos nonākušas dabiskā ceļā vai kuras tiem pievienotas, lai veicinātu pārstrādes procesus. Nešķiedru vielas atdala pirms analīzes. Tāpēc dota iepriekšējās attīrīšanas (apstrādes) metode šo vielu atdalīšanai.
180. Turklāt tekstilizstrādājumi var saturēt sveķus vai citas vielas speciālu īpašību piešķiršanai. Šīs vielas, izņēmuma gadījumos tām pieskaitot arī krāsvielas, var ietekmēt reaģentu iedarbību uz šķīdināmajiem komponentiem un/vai reaģenti var daļēji vai pilnīgi tās atdalīt. Tas var izraisīt kļūdas, un tāpēc šīs vielas pirms raudzes analizēšanas jāatdala. Ja tas nav iespējams, tad ķīmiski kvantitatīvās analīzes metodes, kas dotas 2.pielikumā, nav piemērojamas.
181. Krāsotās šķiedrās krāsvielu uzskata par šķiedras neatņemamu sastāvdaļu un to neatdala.
182. Analīzes veic, balstoties uz raudzes sauso masu. Ir dota sausās masas noteikšanas procedūra.
183. Galīgo rezultātu iegūst, pierēķinot katras šķiedras sausajai masai attiecīgo resorbātu, galvenokārt mitruma piesvara normu jeb “pielaidi”, kas noteikta Latvijas Republikas Ministru kabineta 1998.g. 21.jūlija noteikumos Nr. 262.
184. Pirms jebkuru analīžu uzsākšanas jāidentificē visas maisījumā esošās šķiedras. Dažās ķīmiskajās metodēs maisījuma nešķīdināmo komponentu var daļēji izšķīdināt reaģentā, ko lieto, lai šķīdinātu šķīdināmo (s) komponentu (–s). Kur vien tas ir iespējams, reaģentus izvēlas tādus, kas tikai nedaudz iedarbojas vai vispār neiedarbojas uz nešķīdināmajām šķiedrām. Ja ir zināms masas zudums analīžu veikšanas laikā, rezultātu koriģē; šim nolūkam ir doti koriģējošie koeficienti. Šie koeficienti ir noteikti vairākās laboratorijās, apstrādājot iepriekš attīrītās šķiedras ar atbilstošu reaģentu tā, kā tas noteikts analīzes metodē. Šos koriģējošos koeficientus lieto tikai nedestruktētām šķiedrām. Citādi koriģējošie koeficienti varētu būt nepieciešami, ja šķiedras ir destruktējušās pirms apstrādes vai tās laikā. Ja lieto ceturto variantu, kurā tekstilšķiedra ir pakļauta divu dažādu šķīdinātāju secīgai iedarbībai, jālieto koriģējošie koeficienti attiecībā uz iespējamiem masas zudumiem, ko šķiedra guvusi divās apstrādēs. Jāveic vismaz divas pārbaudes gan manuālās (mehāniskās), gan ķīmiskās atdalīšanas gadījumā.
4.1. Vispārīga
informācija
par tekstilšķiedru trīskomponentu
maisījumu ķīmiskās analīzes
kvantitatīvajām metodēm
185. Lietošanas sfēra katrai šķiedru trīskomponentu maisījuma analīzes metodei nosaka, kādām šķiedrām metode ir pielietojama (skatīt arī noteikto divkomponentu maisījumu kvantitatīvās analīzes metodes).
186. Pēc maisījuma komponentu identificēšanas atdala nešķiedru materiālus ar atbilstošu iepriekšējo attīrīšanu un tad lieto vienu vai vairākus no četriem selektīvās šķīdināšanas variantiem, kas aprakstīti 176.punktā. Izņemot gadījumus, kad tas izraisa tehniskas grūtības, ieteicams vispirms izšķīdināt galveno šķiedru komponentu, lai iegūtu mazāko šķiedru komponentu kā gala atlikumu.
187. Lietojot šķiedru trīskomponentu maisījumu ķīmiskās analīzes kvantitatīvās metodes, izmanto šādus materiālus un iekārtas:
187.1. Aparatūru, kas ietver:
187.1.1. Filtrtīģeļus un sverglāzes, kas ir pietiekami lielas, lai tajās ievietotu filtrtīģeļus, vai jebkura cita aparatūra, kas dod identiskus rezultātus.
187.1.2. Vakuuma kolbu.
187.1.3. Eksikatoru, ar indikatoru saturošu silikogelu.
187.1.4. Žāvējamo skapi ar ventilāciju raudžu žāvēšanai 105°C± 3°C temperatūrā.
187.1.5. Analītiskos svarus ar precizitāti līdz 0,0002 g.
187.1.6. Soksleta ekstraktoru vai citu aparatūru, kas dod identiskus rezultātus.
187.2. Reaģentus, kas ietver:
187.2.1. Petrolēteri, pārdestilētu, ar viršanas temperatūru robežās no 40°C līdz 60°C.
187.2.2. Citi reaģenti ir precizēti atbilstošās vietās metožu aprakstu tekstā. Visiem lietotajiem reaģentiem jābūt ķīmiski tīriem.
187.2.3. Destilēts vai dejonizēts ūdens.
188. Analizējot sausās masas, raudžu kondicionēšana un analizēšana kondicionālos apstākļos nav nepieciešama.
189. Ņem testēšanas paraugu, kas reprezentatīvi pārstāv laboratorijas paraugu un ir pietiekami liels, lai no tā iegūtu visas nepieciešamās raudzes, katru vismaz 1g smagu.
190. Testēšanas parauga iepriekšējo attīrīšanu veic pēc šādas procedūras:
190.1. Ja paraugā ietilpst vielas, kuras nav pieļaujamas procentuālajos aprēķinos, vispirms tās jāatdala ar piemērotu metodi, kas neietekmē nevienu no komponentšķiedrām.
190.2. Šajā nolūkā nešķiedru vielas, kuras var ekstrahēt ar petrolēteri un ūdeni, atdala, apstrādājot gaisa sauso testēšanas paraugu Soksleta aparātā ar petrolēteri 1 stundu ar minimālo ātrumu 6 cikli stundā. Atstāj, lai petrolēteris iztvaiko. Pēc tam raudzes ekstrahē ar ūdeni, mērcējot vienu stundu istabas temperatūrā, kam seko mērcēšana 65°C± 5° C temperatūrā vēl vienu stundu, šķidrumu laiku pa laikam maisot. Testēšanas parauga un ūdens proporcija ir 1:100. Nospiežot, centrifugējot vai ar vakuuma palīdzību no parauga atdala pārlieko ūdeni un ļauj paraugam gaisā izžūt.
190.3. Ja nešķiedru vielu nevar ekstrahēt ar petrolēteri un ūdeni, tā jāatdala, aizstājot iepriekš aprakstīto ūdens metodi ar citu derīgu metodi, kas būtiski neizmaina nevienu no šķiedru komponentiem. Dažu nebalināto dabisko augšķiedru (piem. džutas, koiras) gadījumos ar parasto iepriekšējo attīrīšanu (ar petrolēteri un ūdeni) nav iespējams atdalīt visas dabiskās nešķiedru vielas, tomēr papildu iepriekšēja attīrīšana netiek lietota, ja vien paraugs nesatur apretes, kas nešķīst nedz petrolēterī, nedz ūdenī.
191. Testēšanas pārskatos jāiekļauj iepriekšējā attīrīšanā lietoto metožu pilnīgi detalizēts apraksts.
192. Veicot testēšanu, rīkojas šādi:
192.1. Žāvē ne mazāk kā 4 stundas un ne vairāk kā 16 stundas 105°C ±3°C temperatūrā ventilējamā žāvēšanas skapī ar pilnīgi aizvērtām durvīm. Ja žāvēšanas laiks ir īsāks par 14 stundām, regulāri pārbauda raudzes masu, lai noteiktu, vai tā ir konstanta. Masu var uzskatīt par konstantu, ja pēc 60 minūšu papildu žāvēšanas tās izmaiņas ir mazākas par 0,05%.
192.2. Žāvēšanas, dzesēšanas un svēršanas laikā jāizvairās tīģeļus, sverglāzes, raudzes vai atlikumus aiztikt ar kailām rokām.
192.3. Raudzes žāvē sverglāzē ar vāku līdzās. Pēc žāvēšanas pirms izņemšanas no žāvējamā skapja sverglāzi aizvāko un ātri pārliek eksikatorā.
192.4. Filtrtīģeli žāvē sverglāzē, tās vāku novietojot līdzās žāvējamā skapī. Pēc žāvēšanas sverglāzi aizvāko un ātri pārliek eksikatorā.
192.5. Ja nelieto filtrtīģeli, žāvēšana žāvējamā skapī jāveic tā, lai noteiktu šķiedru sauso masu bez zudumiem.
192.6. Dzesē ne mazāk kā 2 stundas eksikatorā, kas novietots blakus svariem līdz pilnīgai sverglāžu atdzišanai.
192.7.Sverglāzi nosver 2 minūšu laikā pēc izņemšanas no eksikatora. Sver ar precizitāti līdz 0,0002 g.
192.8. Testēšanu veic, ievērojot šādu procedūru:
192.8.1.No iepriekš attīrītā testēšanas parauga ņem raudzi ar masu ne mazāku par 1 g. Sagriež pavedienu vai drānu apmēram 10 mm garos gabalos, cik sīki vien iespējams. Raudzi (–es) žāvē sverglāzē (–s), dzesē eksikatorā un nosver.
192.8.2. Raudzi (–es) pārvieto stikla traukā (–os), kā paredzēts lietojamās metodes attiecīgajā nodaļā, nekavējoties pārsver sverglāzi (–es) un aprēķina raudzes (–džu) sauso masu (–as) pēc starpības. Testēšanu pabeidz tā, kā aprakstīts lietojamās metodes attiecīgajā nodaļā. Atlikumu pārbauda mikroskopiski, lai pārliecinātos, ka šķīdināmā šķiedra patiešām ir pilnīgi atdalīta.
193. Rezultātu aprēķināšanai izsaka katra komponenta masu procentos no kopējās šķiedru masas maisījumā. Aprēķina rezultātus, balstoties uz attīrīti sauso masu, kas koriģēta (a) ar komerciāli pieņemtajām resorbātu normām un (b) korekcijas koeficientiem, kas nepieciešami, lai ņemtu vērā nešķiedru vielas zudumu iepriekšējās attīrīšanas un analīžu laikā.
194. Neņemot vērā šķiedru masas zudumus iepriekšējās attīrīšanas laikā, attīrīti sausās šķiedru masas procentuālo saturu aprēķina vienā no četriem variantiem:
194.1. Pirmā varianta formulas lieto gadījumos, kad vienu maisījuma komponentu atdala no vienas raudzes un otru komponentu no otras raudzes:
;
P1% — pirmā attīrīti sausā komponenta [masas] procentuālais saturs (pirmās raudzes komponents, kas izšķīdis, lietojot pirmo reaģentu);
P2% — otrā attīrīti sausā komponenta [masas] procentuālais saturs (otrās raudzes komponents, kas izšķīdis, lietojot otro reaģentu);
P3% — trešā attīrīti sausā komponenta [masas] procentuālais saturs (komponents, kas nav izšķīdis abās raudzēs);
m1 — pirmās raudzes sausā masa pēc iepriekšējās attīrīšanas;
m2 — otrās raudzes sausā masa pēc iepriekšējās attīrīšanas;
r1 — atlikuma sausā masa pēc pirmā komponenta atdalīšanas no pirmās raudzes, izmantojot pirmo reaģentu;
r2 — atlikuma sausā masa pēc otrā komponenta atdalīšanas no otrās raudzes, izmantojot otro reaģentu;
d1 — nešķīstošā otrā komponenta masas zudumu korekcijas koeficients pirmajā raudzē, lietojot pirmo reaģentu (korekcijas koeficienta d vērtības ir norādītas divkomponentu maisījumu analīzes metožu attiecīgajās nodaļās);
d2 — nešķīstošā trešā komponenta masas zudumu korekcijas koeficients pirmajā raudzē, lietojot pirmo reaģentu (korekcijas koeficienta d vērtības ir norādītas divkomponentu maisījumu analīzes metožu attiecīgajās nodaļās);
d3 — nešķīstošā pirmā komponenta masas zudumu korekcijas koeficients otrajā raudzē, lietojot otro reaģentu (korekcijas koeficienta d vērtības ir norādītas divkomponentu maisījumu analīzes metožu attiecīgajās nodaļās);
d4 — nešķīstošā trešā komponenta masas zudumu korekcijas koeficients otrajā raudzē, lietojot otro reaģentu (korekcijas koeficienta d vērtības ir norādītas divkomponentu maisījumu analīzes metožu attiecīgajās nodaļās).
194.2. Otrā varianta formulas lieto gadījumos, kad no pirmās raudzes atdalīts komponents (a), bet atlikuši divi citi komponenti (b+c), un no otrās raudzes ir atdalīti divi komponenti (a+b), bet atlicis trešais komponents (c):
P1% = 100 – (P2% + P3%)
d1r1 d1
P2% = 100 x ––––– – –––
x P3%
m1
d2
d4r2
P3% = –––– x 100 ;
m2
P1% — pirmā attīrīti sausā komponenta [masas] procentuālais saturs (pirmās raudzes komponents, kas izšķīdis, lietojot pirmo reaģentu);
P2 % — otrā attīrīti sausā komponenta [masas] procentuālais saturs (šķīdināmais komponents, kas vienlaikus ar otrās raudzes pirmo komponentu ir izšķīdis, lietojot otro reaģentu);
P3% — trešā attīrīti sausā komponenta [masas] procentuālais saturs (nešķīstošais komponents abās raudzēs);
m1 — pirmās raudzes sausā masa pēc iepriekšējās attīrīšanas;
m2 — otrās raudzes sausā masa pēc iepriekšējās attīrīšanas;
r1 — pirmās raudzes atlikuma sausā masa pēc pirmā komponenta atdalīšanas, lietojot pirmo reaģentu;
r2 — otrās raudzes atlikuma sausā masa pēc pirmā un otrā komponenta atdalīšanas, lietojot otro reaģentu;
d1 — nešķīstošā otrā komponenta masas zudumu korekcijas koeficients pirmajā raudzē, lietojot pirmo reaģentu (korekcijas koeficienta d vērtības ir norādītas divkomponentu maisījumu analīzes metožu attiecīgajās nodaļās);
d2 — nešķīstošā trešā komponenta masas zudumu korekcijas koeficients pirmajā raudzē, lietojot pirmo reaģentu (korekcijas koeficienta d vērtības ir norādītas divkomponentu maisījumu analīzes metožu attiecīgajās nodaļās);
d4 — nešķīstošā trešā komponenta masas zudumu korekcijas koeficients otrajā raudzē, lietojot otro reaģentu (korekcijas koeficienta d vērtības ir norādītas divkomponentu maisījumu analīzes metožu attiecīgajās nodaļās).
194.3. Trešā varianta formulas lieto gadījumos, kad no pirmās raudzes atdalīti divi komponenti (a+b), bet kā atlikums paliek komponents (c), un no otrās raudzes atdalīti divi citi komponenti (b+c), bet kā atlikums paliek pirmais komponents (a):
d3r2
P1% = –––– x 100
m2
P2% = 100 – (P1% + P3%)
d2r1
P3% = –––– x 100
m1
P1% — pirmā attīrīti sausā komponenta [masas] procentuālais saturs (reaģenta izšķīdinātais komponents);
P2% — otrā attīrīti sausā komponenta [masas] procentuālais saturs (reaģenta izšķīdinātais komponents);
P3% — trešā attīrīti sausā komponenta [masas] procentuālais saturs (otrajā raudzē reaģenta izšķīdinātais komponents);
m1 — pirmās raudzes sausā masa pēc iepriekšējas attīrīšanas;
m2 — otrās raudzes sausā masa pēc iepriekšējas attīrīšanas;
r1 — pirmās raudzes atlikuma sausā masa pēc pirmā un otrā komponenta atdalīšanas, lietojot pirmo reaģentu;
r2 — otrās raudzes atlikuma sausā masa pēc otrā un trešā komponenta atdalīšanas, lietojot otro reaģentu;
d2 — nešķīstošā trešā komponenta masas zudumu korekcijas koeficients pirmajā raudzē, lietojot pirmo reaģentu (korekcijas koeficienta d vērtības ir norādītas divkomponentu maisījumu analīzes metožu attiecīgajās nodaļās);
d3 — nešķīstošā pirmā komponenta masas zudumu korekcijas koeficients otrajā raudzē, lietojot otro reaģentu (korekcijas koeficienta d vērtības ir norādītas divkomponentu maisījumu analīzes metožu attiecīgajās nodaļās).
194.4. Ceturtā varianta formulas lieto gadījumos, kad no vienas un tās pašas raudzes ir sekmīgi atdalīti divi komponenti:
P1% = 100 – (P2% + P3%)
d2r1
d1
P2% = –––– x 100 – ––– x P3%
m1
d2
d3r2
P3% = –––– x 100
m
P1% — pirmā attīrīti sausā komponenta procentuālais saturs (pirmais šķīdināmais komponents);
P2% — otrā attīrīti sausā komponenta procentuālais saturs (otrais šķīdināmais komponents);
P3% — trešā attīrīti sausā komponenta procentuālais saturs (nešķīdināmais komponents);
m — raudzes sausā masa pēc iepriekšējās attīrīšanas;
r1 — atlikuma sausā masa pēc pirmā komponenta atdalīšanas, lietojot pirmo reaģentu;
r2 — atlikuma sausā masa pēc pirmā un otrā komponenta atdalīšanas, lietojot pirmo un otro reaģentu;
d1 — otrā komponenta masas zudumu korekcijas koeficients, lietojot pirmo reaģentu (korekcijas koeficienta d vērtības ir norādītas divkomponentu maisījumu analīzes metožu attiecīgajās nodaļās);
d2 — trešā komponenta masas zudumu korekcijas koeficients, lietojot pirmo reaģentu (korekcijas koeficienta d vērtības ir norādītas divkomponentu maisījumu analīzes metožu attiecīgajās nodaļās);
d3 — trešā komponenta masas zudumu korekcijas koeficients, lietojot pirmo un otro reaģentu (ja vien tas iespējams, d3 nosaka iepriekš ar eksperimentālām metodēm).
195. Katra komponenta procentuālā daudzuma aprēķināšana, koriģējot to ar resorbātu (galvenokārt mitruma) piesvaru normām (“pielaidēm”) un, kur nepieciešams, ar korekcijas koeficientiem, ar kuriem ievēro masas zudumus iepriekšējās attīrīšanas laikā:
Ja:
a1 + b1
A = 1 + ––––––––
100
a2 + b2
B = 1 + ––––––––
100
a3 + b3
C = 1 + ––––––––
100
tad:
P1A
P1A % = ––––––––––––––––– x 100
P1A + P2B + P3C
P2B
P2A % = ––––––––––––––––– x 100
P1A + P2B + P3C
P3C
P3A % = ––––––––––––––––– x 100
P1A + P2B + P3C
P1A% — pirmā attīrīti sausā komponenta procentuālais saturs, ieskaitot mitruma daudzumu un masas zudumus iepriekšējā attīrīšanā;
P2A% — otrā attīrīti sausā komponenta procentuālais saturs, ieskaitot mitruma daudzumu un masas zudumus iepriekšējā attīrīšanā;
P3A% — trešā attīrīti sausā komponenta procentuālais saturs, ieskaitot mitruma daudzumu un masas zudumus iepriekšējā attīrīšanā;
P1 — pirmā attīrīti sausā komponenta procentuālais saturs, kas iegūts, izmantojot vienu no 194.punkta formulām;
P2 — otrā attīrīti sausā komponenta procentuālais saturs, kas iegūts, izmantojot vienu no 194.punkta formulām;
P3 — trešā attīrīti sausā komponenta procentuālais saturs, kas iegūts, izmantojot vienu no 194.punkta formulām;
a1 — pirmam komponentam arbitrāri pieņemtā resorbātu piesvara norma (“pielaide”);
a2 — otrajam komponentam arbitrāri pieņemtā resorbātu piesvara norma (“pielaide”);
a3 — trešajam komponentam arbitrāri pieņemtā resorbātu piesvara norma (“pielaide”);
b1 — pirmā komponenta procentuālais masas zudums iepriekšējās attīrīšanas laikā;
b2 — otrā komponenta procentuālais masas zudums iepriekšējās attīrīšanas laikā;
b3 — trešā komponenta procentuālais masas zudums iepriekšējās attīrīšanas laikā.
195.1. Ja lieto īpašu iepriekšējo attīrīšanu, tad b1,b2 un b3 vērtības, ja iespējams, nosaka, pakļaujot katru komponentālo tīršķiedru analīzē lietotajai iepriekšējai attīrīšanai. Par tīršķiedrām uzskata tādas šķiedras, kas nesatur nekādas nešķiedru vielas, izņemot tās, kuras parasti (vai nu dabiski vai ražošanas dēļ) ietilpst tādā (nebalinātā vai balinātā) šķiedru stāvoklī, kādā šīs nešķiedru vielas ir konstatējamas analizējamajā materiālā.
195.2. Ja nav iespējams iegūt analizējamā materiāla ražošanai izmantotās, savrupi attīrītās komponentšķiedras, jālieto b1, b2 un b3 vidējās vērtības, kas iegūtas testos ar attīrītām šķiedrām, kas līdzīgas tām, ko satur pārbaudāmais maisījums.
195.3. Lietojot parasto iepriekšējo attīrīšanu ar petrolēteri un ūdeni, koriģējošos koeficientus b1, b2 un b3 var vispār ignorēt, izņemot nebalinātas kokvilnas, nebalināta lina un nebalinātu kaņepāju gadījumus, kad iepriekšējā attīrīšanā radušos zudumus parasti pieņem 4% līmenī, bet polipropilēna gadījumā — 1% līmenī.
195.4. Citu šķiedru gadījumā iepriekšējā attīrīšanā radušos zudumus aprēķinos parasti neņem vērā.
196. Aprēķinu piemēri doti 4.6. apakšnodaļā.
4.2. Tekstilšķiedru trīskomponentu maisījumu kvantitatīvās analīzes metodi var lietot, izmantojot manuālo atdalīšanu
197. Šī metode ir lietojama visu veidu tekstilšķiedrām ar noteikumu, ka tās neveido nesadalāmos maisījumus, kuru komponentus nav iespējams atdalīt ar rokām.
198. Pēc tekstilkomponentu identifikācijas nešķiedru vielas atdala ar atbilstošu iepriekšējo attīrīšanu. Pēc tam šķiedras sadala ar rokām, žāvē un sver, lai aprēķinātu katras šķiedras proporciju maisījumā.
199. Metodē lieto šādu aparatūru:
199.1. Sverglāzes vai citu aparatūru, kas dod identiskus rezultātus.
199.2. Eksikatoru, kas satur indikatoru saturošu silikogelu.
199.3. Žāvējamo skapi ar ventilāciju raudžu žāvēšanai 105°C ± 3° C temperatūrā.
199.4. Analītiskos svarus ar precizitāti līdz 0,0002 g.
199.5. Soksleta ekstraktoru vai citu aparatūru, kas dod identiskus rezultātus.
199.6. Adatu.
199.7. Groduma mērītāju vai līdzīgu aparatūru.
200. Metodē lieto šādus reaģentus:
200.1. petrolēteri ar 40°C– 60°C viršanas temperatūru, pārdestilētu;
200.2. destilētu vai dejonizētu ūdeni.
201. Analizējot sausās masas, raudžu kondicionēšana un analizēšana kondicionālos apstākļos nav nepieciešama.
202. Testēšanas paraugu ņem atbilstoši šīs instrukcijas 189.punktā noteiktajam.
203. Testēšanas paraugu iepriekšēju attīrīšanu (apstrādi) veic atbilstoši šīs instrukcijas 190.punktā noteiktajam.
204. Testēšanu veic atbilstoši šādai procedūrai:
204.1. Pavediena analīzi veic, no iepriekš attīrīta testēšanas parauga ņemot raudzi, kuras masa ir vismaz 1g. Ļoti smalkam pavedienam analīzes var veikt ar minimālo garumu 30 m, neatkarīgi no tā masas. Sagriež pavedienu piemērota garuma gabalos un atdala šķiedru veidus ar adatu vai, ja nepieciešams, ar groduma mērītāju. Šādi iegūtos šķiedru veidus liek iepriekš nosvērtās sverglāzēs un žāvē 105°C ± 3°C temperatūrā līdz nemainīgai masai, kā tas aprakstīts 192.punktā.
204.2. Drānas analīzi veic, no iepriekš attīrītā testēšanas parauga ņemot raudzi ar masu ne mazāku par 1g. Raudzē nedrīkst būt iekļauta eģe. Raudzei rūpīgi, paralēli audiem vai šķēriem jānogriež malas, lai izvairītos no pavedienu izslīdes. Adītu drānu gadījumā raudzi ņem cilpu stabiņu un cilpu rindu virzienā. Atdala atšķirīgo veidu šķiedras un liek tās iepriekš nosvērtās sverglāzēs. Tālāk rīkojas tā, kā norādīts 192.1.apakšpunktā.
205. Veicot rezultātu aprēķināšanu, katras komponentšķiedras masu izsaka procentos no kopējās šķiedru maisījuma masas. Rezultātus aprēķina, pamatojoties uz attīrīti sauso šķiedru masu, kas koriģēta ar resorbātu piesvara normām (“pielaidēm”) (a) un korekcijas koeficientiem (b), kas nepieciešami, lai ievērotu masas zudumus iepriekšējās attīrīšanas laikā.
206. Attīrīti sauso šķiedru masas procentuālā satura aprēķināšanu, neņemot vērā šķiedru masas zudumus iepriekšējā attīrīšanā, veic pēc šādām formulām:
P3% = 100 – (P1% + P2%);
kur
P1% — pirmā attīrīti sausā komponenta masas procentuālais saturs;
P2% — otrā attīrīti sausā komponenta masas procentuālais saturs;
P3% — trešā attīrīti sausā komponenta procentuālais saturs;
m1 — pirmā attīrīti sausā komponenta masa;
m2 — otrā attīrīti sausā komponenta masa;
m3 — trešā attīrīti sausā komponenta masa.
207. Lai aprēķinātu katra komponenta procentuālo saturu, kas koriģēts ar resorbātu piesvara normām (“pielaidēm”) un, ja nepieciešams, ar korekcijas koeficientiem, ar kuriem ievēro masas zudumu iepriekšējās attīrīšanas laikā, skatīt 40. un 41. punktu.
4.3. Tekstilšķiedru trīskomponentu maisījumu kvantitatīvā analīze, kombinējot manuālās un ķīmiskās atdalīšanas metodes
208. Kad vien iespējams, lieto manuālo (mehānisko) atdalīšanas metodi, ņemot vērā atdalīto komponentu proporcijas pirms pāriešanas uz katra atdalītā komponenta ķīmisko apstrādi.
4.4. Metožu precizitāte
209. Precizitāte, kas norādīta ikvienai divkomponentu maisījumu analīzes metodei, ir saistāma ar to reproducējamību.
210. Reproducējamība attiecas uz ticamību, t.i., uz sakritību starp eksperimentālām vērtībām, ko ieguvuši laboranti dažādās laboratorijās vai dažādos laikos, lietojot vienu un to pašu metodi un iegūstot individuālus rezultātus homogēni identiskā maisījuma raudzēm.
211. Reproducējamību izsaka ar rezultātu ticamības robežām, nodrošinot 95% varbūtiskās ticamības līmeni. Tas nozīmē, ka atšķirība starp divu analīžu sēriju rezultātiem, kas iegūti dažādās laboratorijās, pareizi piemērojot metodi homogēni identiskam maisījumam, būtu pārsniegta tikai piecos gadījumos no 100 gadījumiem.
212. Lai noteiktu trīskomponentu šķiedru maisījuma analīzes precizitāti, lieto tās pašas vērtības, kas norādītas divkomponentu maisījumu analīzes metodēm, kuras izmanto trīskomponentu maisījumiem.
213. Ņemot vērā, ka visos četros trīskomponentu šķiedru maisījumu ķīmiskās analīzes variantos lieto divas šķīdināšanas (divas atsevišķas raudzes pirmajos trijos variantos un vienu raudzi ceturtajā variantā), katras komponentes noteikšanas rezultējošā precizitāte sniegta 3.pielikumā.
214. Ceturtā varianta gadījumā precizitāte var būt zemāka nekā noteikts iepriekš, jo pirmais reaģents var reaģēt ar nogulsnēm, kuras veido b un c komponenti, ko grūti izvērtēt.
4.5. Testēšanas pārskats
215. Testēšanas pārskatā norāda lietoto (–s) analīzes variantu (–us), metodes, reaģentus un korekcijas koeficientus.
216. Detalizēti apraksta katru īpašo iepriekšējo attīrīšanu (190.punkts).
217. Norāda individuālo testu rezultātus un aritmētisko vidējo ar precizitāti līdz pirmajai decimālzīmei (0,1).
218. Ja iespējams, norāda katras komponentes noteikšanas precizitāti (3.pielikums).
4.6.
Trīskomponentu maisījumā
noteikto komponentu procentuālā
satura aprēķinu piemēri
219. Aplūkosim šķiedru maisījumu, kuram kvantitatīvajā analīzē ir noteikti šādi komponenti: 1. kārstā vilna; 2. neilons (poliamīds); 3. nebalināta kokvilna.
220. Lietojot pirmo variantu (176.1. apakšpunkts), kad izmanto divas dažādas raudzes, kad vienu komponentu (a = vilnu) atdala ar šķīdināšanas metodi no pirmās raudzes un otro komponentu (b = poliamīdu) — no otrās raudzes, iegūti šādi rezultāti:
Pirmās raudzes sausā masa pēc iepriekšējās attīrīšanas:
(m1) = 1,6000g
Atlikuma sausā masa pēc iepriekšējās attīrīšanas ar nātrija hipohlorītu (poliamīds + kokvilna)
(r1) = 1,4166g
Otrās raudzes sausā masa pēc iepriekšējās attīrīšanas
(m2) =1,8000g
Atlikuma sausā masa pēc iepriekšējās attīrīšanas ar skudrskābi (vilna + kokvilna)
(r2) = 0,9000g
220.1. Apstrādājot poliamīdu ar nātrija hipohlorītu, tam nav novērojami masas zudumi, turpretim nebalinātai kokvilnai tie ir 3% līmenī, tādēļ d1 = 1.0 un d2 =1.03.
220.2. Apstrādājot vilnu un nebalināto kokvilnu ar skudrskābi, tām nav novērojami masas zudumi, tādēļ d3 un d4 = 1,0.
220.3. Ķīmiskajā analīzē iegūtās vērtības un korekcijas koeficientus ievietojot formulās, kas dotas 194.1.apakšpunktā, iegūst šādus rezultātus:
P1%(wool — vilna) =
P2%(polyamide — poliamīds) =
P3%(cotton — kokvilna) =
= 100 – (10,30 + 50,00) = 39,70%
220.4. Attīrīti sauso šķiedru masas procentuālais saturs maisījumā ir: vilna 10,30%; poliamīds 50,00%; kokvilna 39,70%. Šos procentus koriģē saskaņā ar 195.punkta formulām, ņemot vērā šķiedru masas aprēķināšanai lietojamās resorbātu piesvara normas (“pielaides”) un koriģējošos koeficientus, kas ievēro masas zudumu pēc iepriekšējās attīrīšanas.
220.5. Saskaņā ar Latvijas Republikas Ministru kabineta 1998. gada 21. jūlija noteikumiem Nr.262 šķiedru masas aprēķināšanai lietojamās saskaņotās “pielaides” (resorbātu piesvaru normas) ir šādas: kārstai vilnai 17,0%, poliamīdam 6,25%, kokvilnai 8,5%. Nebalinātai kokvilnai rodas 4% masas zudumi pēc iepriekšējās attīrīšanas ar petrolēteri un ūdeni. Tādējādi:
P1A%(wool — vilna) =
P2A%(polyamide — poliamīds) =
P3A%(cotton — kokvilna) = 100 – (10,97 + 48,37) = 40,66%
220.6. Šķiedru maisījums ir šāds: poliamīds 48,4%; kokvilna 40,6%; vilna 11,0%; kopā 100,0%.
221. Aplūkojot šķiedru maisījumu, kura kvantitatīvajā analīzē ir noteikti šādi komponenti: kārstā vilnu, viskoze, nebalinātā kokvilna; lietojot ceturto variantu, t.i., sekmīgi atdalot divus komponentus no maisījuma vienas raudzes, iegūti šādi rezultāti:
Raudzes sausā masa pēc iepriekšējās attīrīšanas
(m1) = 1,6000g
Atlikuma sausā masa pēc pirmās apstrādes ar nātrija hipohlorītu (viskoze + kokvilna):
(r1) = 1,4166g
Atlikuma sausā masa pēc atlikuma r1 otrās apstrādes ar cinka hlorīdu / skudrskābi (kokvilna):
(r2) =0,6630g
221.1. Apstrādājot viskozi ar nātrija hipohlorītu, masas zudumi nerodas, turpretim nebalinātai kokvilnai tie ir 3% līmenī, tādēļ d1 = 1.0 un d2 = 1.03.
221.2. Apstrādājot kokvilnu ar cinka hlorīdu / skudrskābi, kokvilnas masas pieaugums ir 4%, līdz ar to d2= (1,03 x 0,96) = 0,9888, kas ir noapaļojams līdz 0,99 (d2 ir korekcijas koeficients trešā komponenta masas zudumam vai pieaugumam attiecīgi pirmajā un otrajā reaģentā).
221.3. Ievietojot ķīmiskajās analīzēs iegūtās vērtības un koriģējošos koeficientus 194.4. apakšpunktā dotajās formulās, iegūst šādus rezultātus:
P2%(viscose — viskoze) =
1,0 x
1,4166
1,0
= ––––––––––– x 100 – –––– x 40,98 = 48,75%
1,6000
1,03
P3%(cotton — kokvilna) =
0,99 x 0,6630
= ––––––––––– x 100 = 41,02%
1,6000
P1%(wool — vilna) =
= 100 – (48,75 + 41,02)= 10,23%
221.4. Kā jau norādīts pirmajā variantā, šie procentuālie sastāvi jākoriģē, izmantojot formulas, kas dotas 195.punktā.
P1A%(wool — vilna) =
P2A%(viscose — viskoze) =
P3A%(cotton — kokvilna) = 100 – (10,57 + 48,65)= 40,75%
221.5. Maisījuma sastāvs tādējādi ir: viskoze 48,6%; kokvilna 40,8%; vilna 10,6%; kopā 100,0%.
Informatīvā atsauce uz Eiropas Savienības direktīvām
Instrukcijā iekļautas tiesību normas, kas izriet no:
1. Padomes 1973.gada 26.februāra Direktīvas 73/44/EEK par dalībvalstu likumu tuvināšanu attiecībā uz trīskāršu tekstilšķiedras maisījumu kvantitatīvo analīzi;
2. Eiropas Parlamenta un Padomes 1996.gada 16.decembra Direktīvas 96/73/EK par dažām metodēm divkāršo tekstilšķiedru maisījumu kvantitatīvai analīzei.
Saskaņots ar Ekonomikas ministrijas 07.11.2005. atzinumu Nr.6100–01/541.
Saskaņots ar Tieslietu ministrijas 17.02.2006. atzinumu Nr.1–9.3/790.
Patērētāju tiesību aizsardzības centra direktore B.Vītoliņa
1.pielikums
PTAC 2006.gada 23.februāra instrukcijai Nr.1
Speciālo metožu kopsavilkuma tabula
|
Metode |
Lietošanas sfēra |
Reaģents |
|
|
Nr. 1 |
Acetāts |
Citas noteiktas šķiedras |
Acetons |
|
Nr. 2 |
Noteiktas proteīna šķiedras |
Citas noteiktas šķiedras |
Hipohlorīts |
|
Nr. 3 |
Viskoze, kupro vai noteikti modālviskozes veidi |
Kokvilna |
Skudrskābe un cinka hlorīds |
|
Nr. 4 |
Poliamīds vai neilons |
Citas noteiktas šķiedras |
Skudrskābe, 80% m/m |
|
Nr. 5 |
Acetāts |
Triacetāts |
Benzilspirts |
|
Nr. 6 |
Triacetāts |
Citas noteiktas šķiedras |
Dihlormetāns |
|
Nr. 7 |
Noteiktas celulozes šķiedras |
Poliesters |
Sērskābe, 75% m/m |
|
Nr. 8 |
Akrils, noteikti modakrili vai hloršķiedras |
Citas noteiktas šķiedras |
Dimetilformamīds |
|
Nr. 9 |
Noteiktas hloršķiedras |
Citas noteiktas šķiedras |
Oglekļa disulfīda/ acetona maisījums, 55,5/44,5% tilp/tilp |
|
Nr. 10 |
Acetāts |
Noteiktas hloršķiedras |
Ledus etiķskābe |
|
Nr. 11 |
Zīds |
Vilna vai mati |
Sērskābe, 75% m/m |
|
Nr. 12 |
Džuta |
Noteiktas dzīvniekšķiedras |
Slāpekļa satura metode |
|
Nr. 13 |
Polipropilēns |
Citas noteiktas šķiedras |
Ksilols |
|
Nr. 14 |
Hloršķiedras (vinilhlorīda homoplimēri) |
Citas noteiktas šķiedras |
Koncentrēta sērskābe |
|
Nr. 15 |
Hloršķiedras, noteikti |
Citas noteiktas šķiedras |
Cikloheksanons |
Patērētāju tiesību aizsardzības centra direktore B.Vītoliņa
\
2. pielikums
PTAC 2006.gada 23.februāra instrukcijai Nr.1
Tipālo trīskomponentu maisījumu analīzēm izmantojamās divkomponentu maisījumu analīžu metodes (ilustratīvos nolūkos)
|
Maisījuma Nr. |
Komponentšķiedras |
Variants (1) |
Divkomponentu metodes numurs un reaģents |
||
|
1. komponents |
2. komponents |
3. komponents |
|||
|
1. |
vilna vai mati |
viskoze, kupro vai noteikti modālviskozes veidi |
kokvilna |
1 un/vai 4 |
2 (nātrija hipohlorīts) un 3(cinka hlorīds/skudrskābe) |
|
2. |
vilna vai mati |
poliamīds 6 vai 6-6 |
kokvilna, kupro, modālviskoze vai viskoze |
1 un/vai 4 |
2 (nātrija hipohlorīts) un 4(skudrskābe 80 % m/m) |
|
3. |
vilna, mati vai zīds |
noteiktas hlora šķiedras |
viskoze, kupro, modālviskoze vai kokvilna |
1 un/vai 4 |
2 (nātrija hipohlorīts) un 9 (oglekļa disulfīds/ acetons 55.5/44.5 % tilp./tilp.) |
|
4. |
vilna vai mati |
poliamīds 6 vai 6-6 |
poliesters, polipropilēns, akrils vai stikla šķiedra |
1 un/vai 4 |
2 (nātrija hipohlorīts) un 4 (skudrskābe 80 % m/m) |
|
5. |
vilna, mati vai zīds |
noteiktas hlora šķiedras |
poliesters, akrils, poliamīds vai stikla šķiedra |
1 un/vai 4 |
2 (nātrija hipohlorīts) un 9 (oglekļa disulfīds/ acetons 55.5/44.5 tilp./tilp.) |
|
6. |
zīds |
vilna vai mati |
poliesters |
2 |
11 (sērskābe 75% m/m) un 2 (nātrija hipohlorīts) |
|
7. |
poliamīds 6 vai 6-6 |
akrils |
kokvilna, viskoze, kupro vai modālviskoze |
1 un/vai 4 |
8 (dimetilformamīds) un 4 (skudrskābe 80% m/m) |
|
8. |
noteiktas hlora šķiedras |
poliamīds 6 vai 6-6 |
kokvilna, viskoze, kupro vai modālviskoze |
1 un/vai 4 |
8 (dimetilformamīds) un 4 (skudrskābe 80% m/m) vai 9 (oglekļa disulfīds/ acetons 55.5/44.5 tilp./tilp.) un 4 (skudrskābe 80% m/m) |
|
9. |
akrils |
poliamīds 6 vai 6-6 |
poliesters |
1 un/vai 4 |
8 (dimetilformamīds) un 4 (skudrskābe 80% m/m) |
|
10. |
acetāts |
poliamīds 6 vai 6-6 |
viskoze, kokvilna, kupro vai modālviskoze |
4 |
1 (acetons) un 4 (skudrskābe 80% m/m) |
|
11. |
noteiktas hlora šķiedras |
akrils |
poliamīds |
2 un/vai 4 |
9 (oglekļa disulfīds/ acetons 55.5/44.5 tilp./tilp.) un 8 (dimetilformamīds) |
|
12. |
noteiktas hlora šķiedras |
poliamīds 6 vai 6-6 |
akrils |
1 un/vai 4 |
9 (oglekļa disulfīds/ acetons 55.5/44.5 tilp./tilp.) un 4 (skudrskābe 80% m/m) |
|
13. |
poliamīds 6 vai 6-6 |
viskoze, kupro, modālviskoze vai kokvilna |
poliesters |
4 |
4(skudrskābe 80% m/m) un 7 (sērskābe 75% m/m) |
|
14. |
acetāts |
viskoze, kupro, modālviskoze vai kokvilna |
poliesters |
4 |
1 (acetons) un 7 (sērskābe 75% m/m) |
|
15. |
akrils |
kokvilna, viskoze, kupro vai modālviskoze |
poliesters |
4 |
8 (dimetilformamīds) un 7 (sērskābe 75% m/m) |
|
16. |
acetāts |
vilna, mati vai zīds |
kokvilna, viskoze, kupro, modālviskoze, poliamīds, poliesters, akrils |
4 |
1 (acetons) un 2 (nātrija hipohlorīts) |
|
17. |
triacetāts |
vilna, mati vai zīds |
kokvilna, viskoze, kupro, modālviskoze, poliamīds, poliesters, akrils |
4 |
6 (dihlormetāns) un 2 (nātrija hipohlorīts) |
|
18. |
akrils |
vilna, mati vai zīds |
poliesters |
1 un/vai 4 |
8 (dimetilformamīds) un 2 (nātrija hipohlorīts) |
|
19. |
akrils |
zīds |
vilna vai mati |
4 |
8 (dimetilformamīds) un 1 (sērskābe 75% m/m) |
|
20. |
akrils |
vilna, mati vai zīds |
kokvilna, viskoze, kupro vai modālviskoze |
1 un/vai 4 |
8 (dimetilformamīds) un 2 (nātrija hipohlorīts) |
|
21. |
vilna, mati vai zīds |
kokvilna, viskoze, modālviskoze, kupro |
poliesters |
4 |
2 (nātrija hipohlorīts) un 7 (sērskābe 75% m/m) |
|
22. |
viskoze, kupro vai noteikti modālviskozes veidi |
kokvilna |
poliesters |
2 un/vai 4 |
3 (cinka hlorīds/ skudrskābe) un 7 (sērskābe 75% m/m) |
|
23. |
akrils |
viskoze, kupro vai noteikti modālvisozes veidi |
kokvilna |
4 |
8 (dimetilformamīds) un 3 (cinka hlorīds/ skudrskābe) |
|
24. |
noteiktas hlora šķiedras |
viskoze, kupro vai noteikti modālvisko- zes veidi |
kokvilna |
1 un/vai 4 |
9 (oglekļa disulfīds/ acetons 55.5/44.5 tilp./tilp.) un 3 (cinka hlorīds/ skudrskābe) vai 8 (dimetilformamīds) un 3 (cinka hlorīds/ skudrskābe) |
|
25. |
acetons |
viskoze, kupro vai noteikti modālviskozes veidi |
kokvilna |
4 |
1 (acetons) un 3 (cinka hlorīds/ skudrskābe) |
|
26. |
triacetāts |
viskoze, kupro vai noteikti modālviskozes veidi |
kokvilna |
4 |
6 (dihlormetāns) un 3 (cinka hlorīds/ skudrskābe) |
|
27. |
acetāts |
zīds |
vilna vai mati |
4 |
1 (acetons) un 11 (sērskābe 75% m/m) |
|
28. |
triacetāts |
zīds |
vilna vai mati |
4 |
6 (dihlormetāns) un 11 (sērskābe 75% m/m) |
|
29. |
acetāts |
akrils |
kokvilna, viskoze, kupro vai modālviskoze |
4 |
1 (acetons) un 8 (dimetilformamīds) |
|
30. |
triacetāts |
akrils |
kokvilna, viskoze, kupro vai modālviskoze |
4 |
6 (dihlormetāns) un 8 (dimetilformamīds) |
|
31. |
triacetāts |
poliamīds 6 vai 6-6 |
kokvilna, viskoze, kupro vai modālviskoze |
4 |
6 (dihlormetāns) un 4 (skudrskābe 80% m/m) |
|
32. |
triacetāts |
kokvilna, viskoze, kupro vai modālviskoze |
poliesters |
4 |
6 (dihlormetāns) un 7 (sērskābe 75% m/m) |
|
33. |
acetāts |
poliamīds 6 vai 6-6 |
poliesters vai akrils |
4 |
1 (acetons) un 4 (skudrskābe 80% m/m) |
|
34. |
acetāts |
akrils |
poliesters |
4 |
1 (acetons) un 8 (dimetilformamīds) |
|
35. |
noteiktas hlora šķiedras |
kokvilna, viskoze, kupro vai modālviskoze |
poliesters |
4 |
8 (dimetilformamīds) un 7 (sērskābe 75% m/m) vai 9 (oglekļa disulfīds/ acetons 55.5/44.5 tilp./tilp.) un 7 (sērskābe 75% m/m) |
(1) Izmantojot 4. variantu, vispirms atdala pirmo komponentu ar pirmo reaģentu.
Patērētāju tiesību aizsardzības centra direktore B.Vītoliņa
3.pielikums
PTAC 2006.gada 23.februāra instrukcijai Nr.1
Komponentes noteikšanas rezultējošā precizitāte trīskomponentu maisījumu kvantitatīvās analīzes metodēs
(pieņemot, ka E1 un E2 apzīmē divkomponentu maisījumu analīzes divu metožu precizitātes)
|
Varianti Sastāvā esošā šķiedra |
1. |
2.un 3. |
4. |
|
a |
E11 |
E1 |
E1 |
|
b |
E2 |
E1+E2 |
E1+E2 |
|
c |
E1+E2 |
E2 |
E1+E2 |
Patērētāju tiesību aizsardzības centra direktore B.Vītoliņa