
Ministru kabineta noteikumi Nr.148
Rīgā 2005.gada 22.februārī (prot. Nr.10 43.§)
Grozījumi Ministru kabineta 2001.gada 27.februāra noteikumos Nr.86 “Noteikumi par obligātajām nekaitīguma prasībām pārtikai, kurā izmantotas pārtikas piedevas”
Izdoti saskaņā ar Pārtikas aprites uzraudzības likuma 4.panta otro daļu un 13.panta trešo daļu
1. Izdarīt Ministru kabineta 2001.gada 27.februāra noteikumos Nr.86 “Noteikumi par obligātajām nekaitīguma prasībām pārtikai, kurā izmantotas pārtikas piedevas” (Latvijas Vēstnesis, 2001, 35.nr.; 2002, 97.nr.; 2004, 68.nr.) šādus grozījumus:
1.1. izteikt 2.25.apakšpunktu šādā redakcijā:
“2.25. stabilizētāji — vielas, kas notur nemainīgu pārtikas produkta fizikālo un ķīmisko stāvokli un spēj noturēt pārtikas produktā savstarpēji nesajaucamu vielu homogēnu izkliedi, kā arī stabilizē, saglabā vai intensificē pārtikas produkta krāsu un palielina pārtikas saistīšanās spēju, veidojot šķērssaites starp olbaltumvielām, kas dod iespēju sasaistīt atsevišķas pārtikas daļas.”;
1.2. papildināt noteikumus ar 8.1 punktu šādā redakcijā:
“8.1 Pārtikas piedevas ir atļautas pārtikā, kurai pievienots aromatizētājs, tādā daudzumā, kādā attiecīgā piedeva atļauta aromatizētājā un tiek pārnesta pārtikā kopā ar aromatizētāju, ar nosacījumu, ka piedevai nav tehnoloģiskas funkcijas gala produktā. Piedevu saturs aromatizētājā ierobežojams ar minimumu, kāds nepieciešams, lai garantētu aromatizētāju nekaitīgumu un kvalitāti un atvieglotu to glabāšanu. Piedevu klātbūtne aromatizētājos nedrīkst maldināt patērētājus vai apdraudēt viņu veselību. Ja piedevas klātbūtnei aromatizētāju pievienošanas dēļ ir tehnoloģiska funkcija pārtikas produktā, to uzskata par piedevu pārtikas produktā, nevis par piedevu aromatizētājā.”;
1.3. izteikt 22.punktu šādā redakcijā:
“22. Poliolus un/vai aspartāmu saturošu galda saldinātāju marķējumā jābūt brīdinājumiem:
22.1. polioliem — “pārmērīga lietošana var izraisīt caureju’’;
22.2. aspartāmam — “satur fenilalanīnu’’;
22.3. aspartāma-acesulfāma sālim 1 — “satur fenilalanīnu”.”;
1.4. papildināt noteikumus ar 26., 27., 28., 29. un 30.punktu šādā redakcijā:
“26. Noteikumu 1.pielikuma 1.1.2.2.apakšpunktā un 14.1.4.3.apakšpunktā minētajiem produktiem, kas ražoti līdz 2005.gada 29.jūlijam, E 952 (ciklāmskābe un ciklamāti) maksimālā norma drīkst būt 400 mg/l. Šādus produktus drīkst izplatīt līdz 2006.gada 29.janvārim.
27. Līdz 2005.gada 29.jūlijam drīkst ražot šo noteikumu 1.pielikuma 5.2.3.apakšpunktā un 5.3.3.apakšpunktā minētos produktus, kas satur E 952 (ciklāmskābe un ciklamāti), ja ievērotas šo noteikumu prasības, kas bija spēkā līdz 2005.gada 11.martam. Šādus produktus drīkst izplatīt līdz 2006.gada 29.janvārim.
28. Pārtikas piedevas E 230 (bifenils, difenils), E 231 (ortofenilfenols) un E 232 (nātrija ortofenilfenols) pārtikas ražošanā drīkst izmantot līdz 2006.gada 27.janvārim un izplatīt, līdz beidzas krājumi, kas saražoti līdz 2006.gada 27.janvārim.
29. Pārtikas piedevas E 338–E 452 (fosforskābe un fosfāti) 2 g/l ābolu un bumbieru sidra ražošanā drīkst izmantot līdz 2006.gada 27.janvārim un izplatīt, līdz beidzas krājumi, kas saražoti līdz 2006.gada 27.janvārim.
30. Līdz 2006.gada 27.janvārim drīkst ražot šo noteikumu 1.pielikuma 5.1.3., 5.2.4., 5.3.4., 7.2.4., 13.7.4., 14.1.5.2., 15.1.4. un 15.2.4.apakšpunktā minētos produktus, kas satur E 903 (karnaubvasks), ja ievērotas šo noteikumu prasības, kas bija spēkā līdz 2005.gada 11.martam. Šādus produktus drīkst izplatīt līdz beidzas krājumi, kas saražoti līdz 2006.gada 27.janvārim.”;
1.5. papildināt informatīvo atsauci uz Eiropas Savienības direktīvām ar 9., 10., 11., 12., 13. un 14.apakšpunktu šādā redakcijā:
“9) Komisijas 2003.gada 27.oktobra Direktīvas 2003/95/EK, ar ko groza Direktīvu 96/77/EK, ar ko nosaka īpašus tīrības kritērijus pārtikas piedevām, izņemot krāsvielas un saldinātājus;
10) Eiropas Parlamenta un Padomes 2003.gada 22.decembra Direktīvas 2003/114/EK, ar ko groza Direktīvu 95/2/EK par pārtikas piedevām, kas nav krāsvielas vai saldinātāji;
11) Eiropas Parlamenta un Padomes 2003.gada 22.decembra Direktīvas 2003/115/EK, ar ko groza Direktīvu 94/35/EK par saldinātājiem, kurus lieto pārtikas produktos;
12) Komisijas 2004.gada 16.aprīļa Direktīvas 2004/45/EK, ar ko groza Direktīvu 96/77/EK, ar ko nosaka īpašus tīrības kritērijus pārtikas piedevām, kas nav krāsvielas un saldinātāji;
13) Komisijas 2004.gada 16.aprīļa Direktīvas 2004/46/EK, ar ko groza Direktīvu 95/31/EK attiecībā uz E 955 sukralozi un E 962 aspartāma-acesulfāma sāli;
14) Komisijas 2004.gada 16.aprīļa Direktīvas 2004/47/EK, ar ko groza Direktīvu 95/45/EK attiecībā uz jauktiem karotīniem (E 160 a (I) un beta-karotīnu (E 160 a (II))).”;
1.6. izteikt 1.pielikumu jaunā redakcijā (1.pielikums);
1.7. izteikt 2.pielikumu jaunā redakcijā (2.pielikums);
1.8. izteikt 4.pielikumu jaunā redakcijā (3.pielikums);
1.9. izteikt 5.pielikuma 30. un 31.punktu šādā redakcijā:
|
“30. |
E 160a (I) – Jauktie karotīni |
||
|
30.1. |
Augu karotīni |
||
|
30.1.1. |
Sinonīmi |
CI pārtikas oranžais 5 (CI food orange 5) |
|
|
30.1.2. |
Definīcija un iegūšanas apraksts |
Jauktos karotīnus iegūst no
dabīgā augu pārtikas materiāla, burkāniem, augu eļļām,
zāles, lucernas un nātres, ekstrahējot ar šķīdinātāju.
Galvenās krāsvielas ir karotinoīdi, no kuriem galvenā daļa
ir Ekstrakcijā var izmantot tikai šādus šķīdinātājus: acetonu, metiletilketonu, dihlormetānu, oglekļa dioksīdu, metanolu, etanolu, propan-2-olu, heksānu (satur ne vairāk kā 0,05 % benzola) |
|
|
30.1.3. |
Klase |
Karotinoīds |
|
|
30.1.4. |
Krāsu indeksa numurs |
75130 |
|
|
30.1.5. |
EINECS numurs |
230-636-6 |
|
|
30.1.6. |
Ķīmiskā formula |
C40H56 (β-karotīns) |
|
|
30.1.7. |
Molekulmasa |
536,88 (β-karotīns) |
|
|
30.1.8. |
Pamatviela |
Ne mazāk kā 5 % karotīnu
(aprēķinātu kā
|
|
|
30.1.9. |
Identitātes pierādīšana — spektrometrija |
Absorbcijas maksimumi cikloheksāna šķīdumā pie 440–457 nm un 470–486 nm |
|
|
30.1.10. |
Tīrības kritēriji: |
||
|
30.1.10.1. |
Šķīdinātāju atlikums: acetons propan-2-ols metiletilketons metanols etanols heksāns |
Ne vairāk kā 50 mg/kg, atsevišķi vai kopā |
|
|
dihlormetāns |
Ne vairāk kā 10 mg/kg |
||
|
30.1.10.2. |
Svins |
Ne vairāk kā 5 mg/kg |
|
|
30.2. |
Aļģu karotīni |
||
|
30.2.1. |
Sinonīmi |
CI pārtikas oranžais 5 (CI food orange 5) |
|
|
30.2.2. |
Definīcija un iegūšanas apraksts |
Jauktos karotīnus var iegūt
arī no dabīgām Dunaliella salina dzimtas aļģēm, kas
aug lielos sāļezeros Vaialā, Dienvidaustrālijā. Galvenās krāsvielas ir
karotinoīdi, no kuriem galvenā daļa ir β-karotīns. Var būt
arī α-karotīns, luteīns, zeaksantīns un |
|
|
30.2.3. |
Klase |
Karotinoīds |
|
|
30.2.4. |
Krāsu indeksa numurs |
75130 |
|
|
30.2.5. |
Ķīmiskā formula |
C40H56 (β-karotīns) |
|
|
30.2.6. |
Molekulmasa |
536,88 (β-karotīns) |
|
|
30.2.7. |
Pamatviela |
Ne mazāk kā 20 % karotīnu
(aprēķinātu kā
|
|
|
30.2.8. |
Identitātes pierādīšana –spektrometrija |
Absorbcijas maksimumi cikloheksāna šķīdumā pie 440–457 nm un 474–486 nm |
|
|
30.2.9. |
Tīrības kritēriji: |
||
|
30.2.9.1. |
Dabiskie tokoferoli pārtikas eļļā |
Ne vairāk kā 0,3 % |
|
|
30.2.9.2. |
Svins |
Ne vairāk kā 5 mg/kg |
|
|
31. |
E 160a (II) – Beta-karotīns |
||
|
31.1. |
Beta-karotīns |
||
|
31.1.1. |
Sinonīmi |
CI pārtikas oranžais 5 (CI food orange 5) |
|
|
31.1.2. |
Definīcija |
Nosaukums attiecas uz visiem β-karotīna trans-izomēriem kopā ar nelieliem citu karotinoīdu daudzumiem. Atšķaidītiem un stabilizētiem preparātiem var būt dažādas cis/trans izomēru attiecības |
|
|
31.1.3. |
Klase |
Karotinoīds |
|
|
31.1.4. |
Krāsu indeksa numurs |
40800 |
|
|
31.1.5. |
EINECS numurs |
230-636-6 |
|
|
31.1.6. |
Ķīmiskais nosaukums |
β-karotīns, β,β-karotīns |
|
|
31.1.7. |
Ķīmiskā formula |
C40H56 |
|
|
31.1.8. |
Molekulmasa |
536,88 |
|
|
31.1.9. |
Pamatviela |
Kopīgais krāsvielu saturs – ne mazāk kā 96 %, aprēķināts kā β-karotīns
|
|
|
31.1.10. |
Ārējais izskats |
Sarkani līdz brūngani sarkani kristāli vai kristālisks pulveris |
|
|
31.1.11. |
Identitātes pierādīšana –spektrometrija |
Absorbcijas maksimums cikloheksāna šķīdumā pie 453–456 nm |
|
|
31.1.12. |
Tīrības kritēriji: |
||
|
31.1.12.1. |
Pelni (sulfātu veidā) |
Ne vairāk kā 0,2 % |
|
|
31.1.12.2. |
Papildu krāsvielas |
Citu karotinoīdu (izņemot
β-karotīnu) daudzums – |
|
|
31.1.12.3. |
Svins |
Ne vairāk kā 2 mg/kg |
|
|
31.2. |
Beta-karotīns no Blakeslea trispora |
||
|
31.2.1. |
Sinonīmi |
CI pārtikas oranžais 5 (CI food orange 5) |
|
|
31.2.2. |
Definīcija |
Iegūst, fermentējot sēnes Blakeslea trisporadivu dabisko celmu “+” un “-” krustošanas tipu jauktu kultūru. Beta-karotīnu ekstrahē no biomasas ar etilacetātu un kristalizē. Kristalizētais produkts satur galvenokārt β-karotīna trans-izomēru. Dabisko procesu dēļ aptuveni 3 % no produkta ir jauktie karotinoīdi, kas ir specifiski šim produktam |
|
|
31.2.3. |
Klase |
Karotinoīds |
|
|
31.2.4. |
Krāsu indeksa numurs |
40800 |
|
|
31.2.5. |
EINECS numurs |
230-636-6 |
|
|
31.2.6. |
Ķīmiskais nosaukums |
β-karotīns, β, β-karotīns |
|
|
31.2.7. |
Ķīmiskā formula |
C40H56 |
|
|
31.2.8. |
Molekulmasa |
536,88 |
|
|
31.2.9. |
Pamatviela |
Kopīgais krāsvielu saturs – ne mazāk kā 96 %, aprēķināts kā β-karotīns
|
|
|
31.2.10. |
Ārējais izskats |
Sarkani līdz brūngani sarkani kristāli vai kristālisks pulveris |
|
|
31.2.11. |
Identitātes pierādīšana –spektrometrija |
Absorbcijas maksimums cikloheksāna šķīdumā pie 453–456 nm |
|
|
31.2.12. |
Tīrības kritēriji: |
||
|
31.2.12.1. |
Šķīdinātāju atlikums: etilacetāts, etanols izobutilacetāts izobutilspirts |
Ne vairāk kā 0,8 % (atsevišķi vai kopā) ne vairāk kā 1,0 % ne vairāk kā 0,1 % |
|
|
31.2.12.2. |
Pelni (sulfātu veidā) |
Ne vairāk kā 0,2 % |
|
|
31.2.12.3. |
Papildu krāsvielas |
Citu karotinoīdu (izņemot β-karotīnu) daudzums – ne vairāk kā 3,0 % no visām krāsvielām |
|
|
31.2.12.4. |
Svins |
Ne vairāk kā 2 mg/kg |
|
|
31.2.12.5. |
Mikotoksīni: Aflatoksīns B1 Trihotecens T2 Ohratoksīns Zearalenons |
Nav konstatējams Nav konstatējams Nav konstatējams Nav konstatējams |
|
|
31.2.12.6. |
Mikrobioloģija: Pelējuma sēnītes Raugi Salmonella Escherichia coli |
KVV ne vairāk kā 100/g KVV ne vairāk kā 100/g KVV nav pieļaujamas 25 g parauga KVV nav pieļaujamas 5 g parauga”; |
|
1.10. izteikt 5.pielikuma 80.punktu šādā redakcijā:
|
“80. |
E 251 – Nātrija nitrāts |
|
|
80.1. |
Cietais nātrija nitrāts |
|
|
80.1.1. |
Sinonīmi |
Čīles salpetris (Chile saltpetre); kubiskais vai sodas salpetris (cubic or soda nitre) |
|
80.1.2. |
Ķīmiskais nosaukums |
Nātrija nitrāts |
|
80.1.3. |
EINECS numurs |
231-554-3 |
|
80.1.4. |
Ķīmiskā formula |
NaNO3 |
|
80.1.5. |
Molekulmasa |
85,00 |
|
80.1.6. |
Pamatviela |
Ne mazāk kā 99 % pēc žāvēšanas |
|
80.1.7. |
Ārējais izskats |
Balts kristālisks, nedaudz higroskopisks pulveris |
|
80.1.8. |
Identitātes pierādīšana: |
|
|
80.1.8.1. |
Pozitīvi nitrātu un nātrija jonu testi |
|
|
80.1.8.2. |
pH |
5,5–8,3 (5 % šķīdumā) |
|
80.1.9. |
Tīrības kritēriji: |
|
|
80.1.9.1. |
Zudumi pēc žāvēšanas |
Ne vairāk kā 2 % (105 oC, 4 h) |
|
80.1.9.2. |
Nitrīti |
Ne vairāk kā 30 mg/kg, aprēķināti kā NaNO2 |
|
80.1.9.3. |
Arsēns |
Ne vairāk kā 3 mg/kg |
|
80.1.9.4. |
Svins |
Ne vairāk kā 5 mg/kg |
|
80.1.9.5. |
Dzīvsudrabs |
Ne vairāk kā 1 mg/kg |
|
80.2. |
Šķidrais nātrija nitrāts |
|
|
80.2.1. |
Definīcija |
Šķidrais nātrija nitrāts ir nātrija nitrāta ūdens šķīdums, kas radies ķīmiskā reakcijā starp nātrija hidroksīdu un slāpekļskābi stehiometriskos daudzumos, neveicot kristalizāciju pēc reakcijas. Standartizētās formas, kas pagatavotas no šķidrā nātrija nitrāta un atbilst noteiktajām prasībām, var saturēt slāpekļskābes pārākumu, ja tas skaidri ir paziņots vai norādīts marķējumā |
|
80.2.2. |
Ķīmiskais nosaukums |
Nātrija nitrāts |
|
80.2.3. |
EINECS numurs |
231-554-3 |
|
80.2.4. |
Ķīmiskā formula |
NaNO3 |
|
80.2.5. |
Molekulmasa |
85,00 |
|
80.2.6. |
Pamatviela |
33,5 %–40,0 % |
|
80.2.7. |
Ārējais izskats |
Dzidrs bezkrāsains šķidrums |
|
80.2.8. |
Identitātes pierādīšana: |
|
|
80.2.8.1. |
Pozitīvi nitrātu un nātrija jonu testi |
|
|
80.2.8.2. |
pH |
1,5–3,5 |
|
80.2.9. |
Tīrības kritēriji: |
|
|
80.2.9.1. |
Brīva slāpekļskābe |
Ne vairāk kā 0,01 % |
|
80.2.9.2. |
Nitrīti |
Ne vairāk kā 10 mg/kg, aprēķināti kā NaNO2 |
|
80.2.9.3. |
Arsēns |
Ne vairāk kā 1 mg/kg |
|
80.2.9.4. |
Svins |
Ne vairāk kā 1 mg/kg |
|
80.2.9.5. |
Dzīvsudrabs |
Ne vairāk kā 0,3 mg/kg”; |
1.11. izteikt 5.pielikuma 160.6.13.apakšpunktu šādā redakcijā:
|
“160.6.13. |
Nelielas molekulmasas karagināns (molekulmasas daļa zem 50 kDa) |
Ne vairāk kā 5 %”; |
1.12. izteikt 5.pielikuma 161.5.13.apakšpunktu šādā redakcijā:
|
“161.5.13. |
Nelielas molekulmasas karagināns (molekulmasas daļa zem 50 kDa) |
Ne vairāk kā 5 %”; |
1.13. izteikt 5.pielikuma 176., 177., 178., 179., 180. un 181.punktu šādā redakcijā:
|
“176. |
E 431 – Polioksietilēna (40) stearāts |
|
|
176.1. |
Sinonīmi |
Polioksila (40) stearāts (polyoxyl (40) stearate); polioksietilēna (40) monostearāts (polyoxyethylene (40) monostearate) |
|
176.2. |
Definīcija |
Polioksietilēna (40) stearāts sastāv no pārtikas stearīnskābes mono- un diesteru maisījuma un jauktiem polioksietilēna dioliem, kuru vidējais polimēra garums ir apmēram 40 oksietilēna grupas. Satur arī brīvu polispirtu |
|
176.3. |
Pamatviela |
Ne mazāk kā 97,5 % bezūdens vielā |
|
176.4. |
Ārējais izskats |
25 oC temperatūrā – krēmkrāsas pārslas vai vaskveida viela ar vāju smaržu |
|
176.5. |
Identitātes pierādīšana: |
|
|
176.5.1. |
Šķīdība |
Šķīst ūdenī, etanolā, metanolā un etilacetātā, nešķīst minerāleļļā |
|
176.5.2. |
Sastingšanas temperatūra |
39–44 °C |
|
176.5.3. |
Infrasarkanais spektrs |
Raksturīgs polioksietilētu poliolu daļējiem taukskābju esteriem |
|
176.6. |
Tīrības kritēriji: |
|
|
176.6.1. |
Ūdens |
Ne vairāk kā 3 % (K.Fišera metode) |
|
176.6.2. |
Skābes skaitlis |
Ne vairāk kā 1 |
|
176.6.3. |
Hidroksilskaitlis |
Ne mazāk kā 27 un ne vairāk kā 40 |
|
176.6.4. |
Pārziepošanas skaitlis |
Ne mazāk kā 25 un ne vairāk kā 35 |
|
176.6.5. |
1,4-Dioksāns |
Ne vairāk kā 5 mg/kg |
|
176.6.6. |
Etilēnoksīds |
Ne vairāk kā 0,2 mg/kg |
|
176.6.7. |
Etilēnglikoli (mono- un di-) |
Ne vairāk kā 0,25 % |
|
176.6.8. |
Arsēns |
Ne vairāk kā 3 mg/kg |
|
176.6.9. |
Svins |
Ne vairāk kā 5 mg/kg |
|
176.6.10. |
Dzīvsudrabs |
Ne vairāk kā 1 mg/kg |
|
176.6.11. |
Kadmijs |
Ne vairāk kā 1 mg/kg |
|
177. |
E 432 – Polioksietilēna sorbitāna monolaurāts (polisorbāts 20) |
|
|
177.1. |
Sinonīmi |
Polisorbāts 20 (polisorbate 20); polioksietilēna (20) sorbitāna monolaurāts (polyoxyethylene (20) sorbitan monolaurate) |
|
177.2. |
Definīcija |
Polioksietilēna (20) sorbitāna monolaurāts ir sorbīta un tā mono- un dianhidrīdu daļēju esteru ar pārtikas laurīnskābi maisījums, kas kondensēts ar aptuveni 20 moliem etilēnoksīda uz molu sorbīta vai tā anhidrīda |
|
177.3. |
Pamatviela |
Ne mazāk kā 70 % oksietilēngrupu, kas atbilst ne mazāk kā 97,3 % polioksietilēna (20) sorbitāna monolaurāta, aprēķināta bezūdens vielai |
|
177.4. |
Ārējais izskats |
25 °C temperatūrā – citrondzeltens līdz dzintarkrāsas eļļains šķidrums ar vāju raksturīgu smaržu |
|
177.5. |
Identitātes pierādīšana: |
|
|
177.5.1. |
Šķīdība |
Šķīst ūdenī, etanolā, metanolā, etilacetātā un dioksānā, nešķīst minerāleļļā un petrolēterī |
|
177.5.2. |
Infrasarkanais spektrs |
Raksturīgs polioksietilētu poliolu daļējiem taukskābju esteriem |
|
177.6. |
Tīrības kritēriji: |
|
|
177.6.1. |
Ūdens |
Ne vairāk kā 3 % (K.Fišera metode) |
|
177.6.2. |
Skābes skaitlis |
Ne vairāk kā 2 |
|
177.6.3. |
Hidroksilskaitlis |
Ne mazāk kā 96 un ne vairāk kā 108 |
|
177.6.4. |
Pārziepošanas skaitlis |
Ne mazāk kā 40 un ne vairāk kā 50 |
|
177.6.5. |
1,4-Dioksāns |
Ne vairāk kā 5 mg/kg |
|
177.6.6. |
Etilēnoksīds |
Ne vairāk kā 0,2 mg/kg |
|
177.6.7. |
Etilēnglikoli (mono- un di-) |
Ne vairāk kā 0,25 % |
|
177.6.8. |
Arsēns |
Ne vairāk kā 3 mg/kg |
|
177.6.9. |
Svins |
Ne vairāk kā 5 mg/kg |
|
177.6.10. |
Dzīvsudrabs |
Ne vairāk kā 1 mg/kg |
|
177.6.11. |
Kadmijs |
Ne vairāk kā 1 mg/kg |
|
178. |
E 433 – Polioksietilēna sorbitāna monooleāts (polisorbāts 80) |
|
|
178.1. |
Sinonīmi |
Polisorbāts 80 (polisorbate 80); polioksietilēna (20) sorbitāna monooleāts (polyoxyethylene (20) sorbitan monooleate) |
|
178.2. |
Definīcija |
Polioksietilēna (20) sorbitāna monooleāts ir sorbīta un tā mono- un dianhidrīdu daļēju esteru ar pārtikas oleīnskābi maisījums, kas kondensēts ar aptuveni 20 moliem etilēnoksīda uz molu sorbīta vai tā anhidrīda |
|
178.3. |
Pamatviela |
Ne mazāk kā 65 % oksietilēngrupu, kas atbilst ne mazāk kā 96,5 % polioksietilēna (20) sorbitāna monooleāta, aprēķināta bezūdens vielai |
|
178.4. |
Ārējais izskats |
25 °C temperatūrā – citrondzeltens līdz dzintarkrāsas eļļains šķidrums ar vāju raksturīgu smaržu |
|
178.5. |
Identitātes pierādīšana: |
|
|
178.5.1. |
Šķīdība |
Šķīst ūdenī, etanolā, metanolā, etilacetātā un toluolā, nešķīst minerāleļļā un petrolēterī |
|
178.5.2. |
Infrasarkanais spektrs |
Raksturīgs polioksietilētu poliolu daļējiem taukskābju esteriem |
|
178.6. |
Tīrības kritēriji: |
|
|
178.6.1. |
Ūdens |
Ne vairāk kā 3 % (K.Fišera metode) |
|
178.6.2. |
Skābes skaitlis |
Ne vairāk kā 2 |
|
178.6.3. |
Hidroksilskaitlis |
Ne mazāk kā 65 un ne vairāk kā 80 |
|
178.6.4. |
Pārziepošanas skaitlis |
Ne mazāk kā 45 un ne vairāk kā 55 |
|
178.6.5. |
1,4-Dioksāns |
Ne vairāk kā 5 mg/kg |
|
178.6.6. |
Etilēnoksīds |
Ne vairāk kā 0,2 mg/kg |
|
178.6.7. |
Etilēnglikoli (mono- un di-) |
Ne vairāk kā 0,25 % |
|
178.6.8. |
Arsēns |
Ne vairāk kā 3 mg/kg |
|
178.6.9. |
Svins |
Ne vairāk kā 5 mg/kg |
|
178.6.10. |
Dzīvsudrabs |
Ne vairāk kā 1 mg/kg |
|
178.6.11. |
Kadmijs |
Ne vairāk kā 1 mg/kg |
|
179. |
E 434 – Polioksietilēna sorbitāna monopalmitāts (polisorbāts 40) |
|
|
179.1. |
Sinonīmi |
Polisorbāts 40 (polysorbate 40); polioksietilēna (20) sorbitāna monopalmitāts (polyoxyethylene (20) sorbitan monopalmitate) |
|
179.2. |
Definīcija |
Polioksietilēna (20) sorbitāna monopalmitāts ir sorbīta un tā mono- un dianhidrīdu daļēju esteru ar pārtikas palmitīnskābi maisījums, kas kondensēts ar aptuveni 20 moliem etilēnoksīda uz molu sorbīta vai tā anhidrīda |
|
179.3. |
Pamatviela |
Ne mazāk kā 66 % oksietilēngrupu, kas atbilst ne mazāk kā 97 % polioksietilēna (20) sorbitāna monopalmitāta, aprēķināta bezūdens vielai |
|
179.4. |
Ārējais izskats |
25 °C temperatūrā – citrondzeltens līdz oranžs eļļains šķidrums vai gels ar vāju raksturīgu smaržu |
|
179.5. |
Identitātes pierādīšana: |
|
|
179.5.1. |
Šķīdība |
Šķīst ūdenī, etanolā, metanolā, etilacetātā un acetonā, nešķīst minerāleļļā |
|
179.5.2. |
Infrasarkanais spektrs |
Raksturīgs polioksietilētu poliolu daļējiem taukskābju esteriem |
|
179.6. |
Tīrības kritēriji: |
|
|
179.6.1. |
Ūdens |
Ne vairāk kā 3 % (K.Fišera metode) |
|
179.6.2. |
Skābes skaitlis |
Ne vairāk kā 2 |
|
179.6.3. |
Hidroksilskaitlis |
Ne mazāk kā 90 un ne vairāk kā 107 |
|
179.6.4. |
Pārziepošanas skaitlis |
Ne mazāk kā 41 un ne vairāk kā 52 |
|
179.6.5. |
1,4-Dioksāns |
Ne vairāk kā 5 mg/kg |
|
179.6.6. |
Etilēnoksīds |
Ne vairāk kā 0,2 mg/kg |
|
179.6.7. |
Etilēnglikoli (mono- un di-) |
Ne vairāk kā 0,25 % |
|
179.6.8. |
Arsēns |
Ne vairāk kā 3 mg/kg |
|
179.6.9. |
Svins |
Ne vairāk kā 5 mg/kg |
|
179.6.10. |
Dzīvsudrabs |
Ne vairāk kā 1 mg/kg |
|
179.6.11. |
Kadmijs |
Ne vairāk kā 1 mg/kg |
|
180. |
E 435 – Polioksietilēna sorbitāna monostearāts (polisorbāts 60) |
|
|
180.1. |
Sinonīmi |
Polisorbāts 60 (polisorbate 60); polioksietilēna (20) sorbitāna monostearāts (polyoxyethylene (20) sorbitan monostearate) |
|
180.2. |
Definīcija |
Polioksietilēna (20) sorbitāna monostearāts ir sorbīta un tā mono- un dianhidrīdu daļēju esteru ar pārtikas stearīnskābi maisījums, kas kondensēts ar aptuveni 20 moliem etilēnoksīda uz molu sorbīta vai tā anhidrīda |
|
180.3. |
Pamatviela |
Ne mazāk kā 65 % oksietilēngrupu, kas atbilst ne mazāk kā 97 % polioksietilēna (20) sorbitāna monostearāta, aprēķināta bezūdens vielai |
|
180.4. |
Ārējais izskats |
25 °C temperatūrā – citrondzeltens līdz oranžs eļļains šķidrums vai gels ar vāju raksturīgu smaržu |
|
180.5. |
Identitātes pierādīšana: |
|
|
180.5.1. |
Šķīdība |
Šķīst ūdenī, etilacetātā un toluolā, nešķīst minerāleļļā un augu eļļās |
|
180.5.2. |
Infrasarkanais spektrs |
Raksturīgs polioksietilētu poliolu daļējiem taukskābju esteriem |
|
180.6. |
Tīrības kritēriji: |
|
|
180.6.1. |
Ūdens |
Ne vairāk kā 3 % (K.Fišera metode) |
|
180.6.2. |
Skābes skaitlis |
Ne vairāk kā 2 |
|
180.6.3. |
Hidroksilskaitlis |
Ne mazāk kā 81 un ne vairāk kā 96 |
|
180.6.4. |
Pārziepošanas skaitlis |
Ne mazāk kā 45 un ne vairāk kā 55 |
|
180.6.5. |
1,4-Dioksāns |
Ne vairāk kā 5 mg/kg |
|
180.6.6. |
Etilēnoksīds |
Ne vairāk kā 0,2 mg/kg |
|
180.6.7. |
Etilēnglikoli (mono- un di-) |
Ne vairāk kā 0,25 % |
|
180.6.8. |
Arsēns |
Ne vairāk kā 3 mg/kg |
|
180.6.9. |
Svins |
Ne vairāk kā 5 mg/kg |
|
180.6.10. |
Dzīvsudrabs |
Ne vairāk kā 1 mg/kg |
|
180.6.11. |
Kadmijs |
Ne vairāk kā 1 mg/kg |
|
181. |
E 436 – Polioksietilēna sorbitāna tristearāts (polisorbāts 65) |
|
|
181.1. |
Sinonīmi |
Polisorbāts 65 (polisorbate 65); polioksietilēna (20) sorbitāna tristearāts (polyoxyethylene (20) sorbitan tristearate) |
|
181.2. |
Definīcija |
Polioksietilēna (20) sorbitāna tristearāts ir sorbīta un tā mono- un dianhidrīdu daļēju esteru ar pārtikas stearīnskābi maisījums, kas kondensēts ar aptuveni 20 moliem etilēnoksīda uz molu sorbīta vai tā anhidrīda |
|
181.3. |
Pamatviela |
Ne mazāk kā 46 % oksietilēngrupu, kas atbilst ne mazāk kā 96 % polioksietilēna (20) sorbitāna tristearāta, aprēķināta bezūdens vielai |
|
181.4. |
Ārējais izskats |
25 °C temperatūrā – dzeltenbrūna vaskveida viela ar vāju raksturīgu smaržu |
|
181.5. |
Identitātes pierādīšana: |
|
|
181.5.1. |
Šķīdība |
Disperģējams ūdenī, šķīst minerāleļļā, augu eļļās, petrolēterī, acetonā, dietilēterī, dioksānā, etanolā un metanolā |
|
181.5.2. |
Infrasarkanais spektrs |
Raksturīgs polioksietilētu poliolu daļējiem taukskābju esteriem |
|
181.5.3. |
Sastingšanas temperatūra |
29–33 oC |
|
181.6. |
Tīrības kritēriji: |
|
|
181.6.1. |
Ūdens |
Ne vairāk kā 3 % (K.Fišera metode) |
|
181.6.2. |
Skābes skaitlis |
Ne vairāk kā 2 |
|
181.6.3. |
Hidroksilskaitlis |
Ne mazāk kā 40 un ne vairāk kā 60 |
|
181.6.4. |
Pārziepošanas skaitlis |
Ne mazāk kā 88 un ne vairāk kā 98 |
|
181.6.5. |
1,4-Dioksāns |
Ne vairāk kā 5 mg/kg |
|
181.6.6. |
Etilēnoksīds |
Ne vairāk kā 0,2 mg/kg |
|
181.6.7. |
Etilēnglikoli (mono- un di-) |
Ne vairāk kā 0,25 % |
|
181.6.8. |
Arsēns |
Ne vairāk kā 3 mg/kg |
|
181.6.9. |
Svins |
Ne vairāk kā 5 mg/kg |
|
181.6.10. |
Dzīvsudrabs |
Ne vairāk kā 1 mg/kg |
|
181.6.11. |
Kadmijs |
Ne vairāk kā 1 mg/kg”; |
1.14. izteikt 5.pielikuma 199.1.apakšpunktu šādā redakcijā:
|
“199.1. |
Definīcija un iegūšanas apraksts |
β-ciklodekstrīns ir nereducējošs ciklisks saharīds, kas sastāv no septiņām D-glukopiranozilgrupām, kas savienotas ar α-1,4-saitēm. Produkts tiek ražots, iedarbojoties uz daļēji hidrolizētu cieti ar cikloglikoziltransferāzi (CGTāzi), kura iegūta no Bacillus circulans, Paenibacillis macerans vai rekombinantā Bacillus licheniformis strain SJ1608”; |
1.15. papildināt 5.pielikumu ar 304.2 punktu šādā redakcijā:
|
“304.2 |
E 907 – Hidrogenēts poli-1-decēns |
|
|
304.2 1. |
Sinonīmi |
Hidrogenēts polidec-1-ēns, hidrogenēts poli-alfa-olefīns |
|
304.2 2. |
Ķīmiskā formula |
C10nH20n+2 , kur n = 3-6 |
|
304.2 3. |
Molekulmasa |
560 (vidēji) |
|
304.2 4. |
Pamatviela |
Ne mazāk kā 98,5 % ar šādu oligomēru sadalījumu: C30: 13-37 % C40: 35-70 % C50: 9-25 % C60: 1-7 % |
|
304.2 5. |
Ārējais izskats |
Bezkrāsains, viskozs šķidrums bez smaržas |
|
304.2 6. |
Identitātes pierādīšana: |
|
|
304.2 6.1. |
Šķīdība |
Nešķīst ūdenī, vāji šķīst etanolā, šķīst toluolā |
|
304.2 6.2. |
Degšana |
Deg ar spilgtu liesmu un parafīnam raksturīgu smaržu |
|
304.2 7. |
Tīrības kritēriji: |
|
|
304.2 7.1. |
Viskozitāte |
5,7x10-6–6,1x10-6 m2s-1 100 °C temperatūrā |
|
304.2 7.2. |
Savienojumi ar oglekļa atomu skaitu, mazāku par 30 |
Ne vairāk kā 1,5 % |
|
304.2 7.3. |
Viegli karbonizējamas vielas |
Pēc 10 minūšu kratīšanas verdošā ūdens vannā mēģene ar sērskābi un 5 g parauga neiekrāsojas tumšāka par viegli dzeltenu salmu krāsu |
|
304.2 7.4. |
Niķelis |
Ne vairāk kā 1 mg/kg |
|
304.2 7.5. |
Svins |
Ne vairāk kā 1 mg/kg”; |
1.16. papildināt 5.pielikumu ar 321.1 punktu šādā redakcijā:
|
“321.1 |
E 955 – Sukraloze |
|
|
321.1 1. |
Sinonīmi |
4, 1’,6’-trihlorgalaktosaharoze |
|
321.1 2. |
Ķīmiskais nosaukums |
1,6-dihlor-1,6-dideoksi-β-D-fruktofuranozil-4-hlor-4-deoksi-α-D-galaktopiranozīds |
|
321.1 3. |
EINECS numurs |
259-952-2 |
|
321.1 4. |
Ķīmiskā formula |
C12H19Cl3O8 |
|
321.1 5. |
Molekulmasa |
397,64 |
|
321.1 6. |
Pamatviela |
Ne mazāk kā 98 % un ne vairāk kā 102 % bezūdens vielā |
|
321.1 7. |
Ārējais izskats |
Balts līdz dzeltenbalts kristālisks pulveris bez smaržas |
|
321.1 8. |
Identitātes pierādīšana: |
|
|
321.1 8.1. |
pH |
5,0-7,0 (10 % šķīdums) |
|
321.1 8.2. |
Šķīdība |
Labi šķīst ūdenī, metanolā un etanolā, nedaudz šķīst etilacetātā |
|
321.1 8.3. |
Infrasarkanā absorbcija |
Kālija bromīdā disperģēta parauga infrasarkanais spektrs uzrāda relatīvos maksimumus tādos pašos viļņu skaitļos kā standarta spektrs, kas iegūts, izmantojot sukralozes standartparaugu |
|
321.1 8.4. |
Plānslāņa hromatogrāfija |
Testa šķīduma galvenajam plankumam ir tāds pats Rf lielums kā citu hlorētu disaharīdu testā minētajam A standartšķīduma galvenajam plankumam. Šo standartšķīdumu iegūst, izšķīdinot 1,0 g sukralozes standartvielas 10 ml metilspirta |
|
321.1 8.5. |
Īpatnējais optiskās griešanās leņķis |
[α]20D = (+84,00) – (+87,50), rēķinot bezūdens vielai (10 % w/v šķīdums) |
|
321.1 9. |
Tīrības kritēriji: |
|
|
321.1 9.1. |
Ūdens |
Ne vairāk kā 2,0 % (K.Fišera metode) |
|
321.1 9.2. |
Pelni sulfātu veidā |
Ne vairāk kā 0,7 % |
|
321.1 9.3. |
Citi hlorēti disaharīdi |
Ne vairāk kā 0,5 % |
|
321.1 9.4. |
Hlorēti monosaharīdi |
Ne vairāk kā 0,1 % |
|
321.1 9.5. |
Trifenilfosfīna oksīds |
Ne vairāk kā 150 mg/kg |
|
321.1 9.6. |
Metanols |
Ne vairāk kā 0,1 % |
|
321.1 9.7. |
Svins |
Ne vairāk kā 1 mg/kg”; |
1.17. papildināt 5.pielikumu ar 323.1 punktu šādā redakcijā:
|
“323.1 |
E 962 – Aspartāma–acesulfāma sāls 1 |
|
|
323.1 1. |
Sinonīmi |
Aspartāms–acesulfāms 1 |
|
323.1 2. |
Definīcija |
Sāli pagatavo, sildot aspartāmu un kālija acesulfāmu attiecībā aptuveni 2:1 (w/w) šķīdumā ar skābu pH un ļaujot kristalizēties. Kāliju un mitrumu aizvada. Produkts ir stabilāks nekā aspartāms |
|
323.1 3. |
Ķīmiskais nosaukums |
L-fenilalanil-2-metil-L-α-asparaginskābes |
|
323.1 4. |
Ķīmiskā formula |
C18H23O9N3S |
|
323.1 5. |
Molekulmasa |
457,46 |
|
323.1 6. |
Pamatviela |
63,0 % līdz 66,0 % aspartāma (rēķinot uz sausu vielu) un 34,0 % līdz 37,0 % acesulfāma (skābā forma, rēķinot uz sausu vielu) |
|
323.1 7. |
Ārējais izskats |
Balts kristālisks pulveris bez smaržas |
|
323.1 8. |
Identitātes pierādīšana: |
|
|
323.1 8.1. |
Šķīdība |
Šķīst ūdenī ierobežotā daudzumā; nedaudz šķīst etanolā |
|
323.1 8.2. |
Gaismas caurlaidība |
1 % šķīduma ūdenī gaismas caurlaidība, noteikta 1 cm šūnā pie 430 nm, izmantojot piemērotu spektrofotometru, salīdzināšanai izmantojot ūdeni, nav mazāka par 0,95, kas ir līdzvērtīga absorbcijai, ne lielākai par aptuveni 0,022 |
|
323.1 8.3. |
Īpatnējais optiskās griešanās leņķis |
[α]20D = (+14,50) – (+16,50) Noteikt koncentrācijā 6,2 g 100 mililitros 15 N skudrskābes 30 minūšu laikā pēc šķīduma pagatavošanas. Aprēķināto īpatnējo optisko griešanās leņķi dalīt ar 0,646, lai koriģētu atbilstoši aspartāma saturam aspartāma–acesulfāma sālī |
|
323.1 9. |
Tīrības kritēriji: |
|
|
323.1 9.1. |
Zudumi pēc žāvēšanas |
Ne vairāk kā 0,5 % (105 oC, 4h) |
|
323.1 9.2. |
5-Benzil-3,6-diokso-2-piperazīnetiķskābe |
Ne vairāk kā 0,5 % |
|
323.1 9.3. |
Svins |
Ne vairāk kā 1 mg/kg”; |
1.18. papildināt 5.pielikumu ar 345.1 punktu šādā redakcijā:
|
“345.1 |
E 1517 – Glicerildiacetāts |
|
|
345.1 1. |
Sinonīmi |
Diacetīns |
|
345.1 2. |
Definīcija |
Glicerildiacetāts galvenokārt sastāv no glicerīna 1,2- un 1,3-diacetātu maisījuma ar nelielu mono- un triesteru daudzumu |
|
345.1 3. |
Ķīmiskais nosaukums |
Glicerildiacetāts, 1,2,3-propāntriola diacetāts |
|
345.1 4. |
Ķīmiskā formula |
C7H12O5 |
|
345.1 5. |
Molekulmasa |
176,17 |
|
345.1 6. |
Pamatviela |
Ne mazāk kā 94,0 % |
|
345.1 7. |
Ārējais izskats |
Dzidrs, bezkrāsains, higroskopisks diezgan eļļains šķidrums ar vieglu tauku smaržu |
|
345.1 8. |
Identitātes pierādīšana: |
|
|
345.1 8.1. |
Šķīdība |
Šķīst ūdenī. Samaisāms ar etanolu |
|
345.1 8.2. |
Pozitīvi glicerīna un acetāta testi |
|
|
345.1 8.3. |
Īpatnējā masa |
d2020: = 1,175–1,195 |
|
345.1 8.4. |
Vārīšanās temperatūra |
259-261 °C |
|
345.1 9. |
Tīrības kritēriji: |
|
|
345.1 9.1. |
Kopējais pelnu saturs |
Ne vairāk kā 0,02 % |
|
345.1 9.2. |
Skābums |
Ne vairāk kā 0,4 % , aprēķināts kā etiķskābe |
|
345.1 9.3. |
Arsēns |
Ne vairāk kā 3 mg/kg |
|
345.1 9.4. |
Svins |
Ne vairāk kā 5 mg/kg”; |
1.19. papildināt 5.pielikumu ar 346.1 punktu šādā redakcijā:
|
“346.1 |
E 1519 – Benzilspirts |
|
|
346.1 1. |
Sinonīmi |
Fenilkarbinols, fenilmetilspirts, benzenemetanols, alfahidroksiltoluols |
|
346.1 2. |
Ķīmiskais nosaukums |
Benzilspirts, fenilmetanols |
|
346.1 3. |
Ķīmiskā formula |
C7H8O |
|
346.1 4. |
Molekulmasa |
108,14 |
|
346.1 5. |
Pamatviela |
Ne mazāk kā 98,0 % |
|
346.1 6. |
Ārējais izskats |
Bezkrāsains, dzidrs šķidrums ar vāju aromātisku smaržu |
|
346.1 7. |
Identitātes pierādīšana: |
|
|
346.1 7.1. |
Šķīdība |
Nešķīst ūdenī, etanolā un ēterī |
|
346.1 7.2. |
Refrakcijas koeficients |
[n]D20 = : l, 538-1,541 |
|
346.1 7.3. |
Īpatnējā masa |
d2525: = 1,042-1,047 |
|
346.1 7.4. |
Pozitīvs peroksīdu tests |
|
|
346.1 8. |
Tīrības kritēriji: |
|
|
346.1 8.1. |
Destilācijas diapazons |
Ne mazāk kā 95 % v/v destilējas 202 līdz 208 °C temperatūrā |
|
346.1 8.2. |
Skābes skaitlis |
Ne vairāk kā 0,5 |
|
346.1 8.3. |
Aldehīdi |
Ne vairāk kā 0,2 % v/v, aprēķināti kā benzaldehīdi |
|
346.1 8.4. |
Svins |
Ne vairāk kā 5 mg/kg”; |
1.20. izteikt 5.pielikuma 348.8.1.apakšpunktu šādā redakcijā:
|
“348.8.1. |
Viskozitāte |
0,220–0,275 kgm-1s-1 20 °C temperatūrā”; |
1.21. izteikt 5.pielikuma 348.8.4.apakšpunktu šādā redakcijā:
|
“348.8.4. |
Etilēnoksīds |
Ne vairāk kā 0,2 mg/kg”; |
1.22. papildināt 6.pielikumu:
1.22.1. aiz vārdiem un skaitļiem:
|
“E 905 |
Mikrokristāliskais vasks |
Microcrystalline wax |
dažādas” |
ar vārdiem un skaitļiem šādā redakcijā:
|
“E 907 |
Hidrogenēts poli-1-decēns |
Hydrogenated poly-1-decene |
dažādas”; |
1.22.2. aiz vārdiem un skaitļiem:
|
“E 1505 |
Trietilcitrāts |
Triethyl citrate |
dažādas” |
ar vārdiem un skaitļiem šādā redakcijā:
|
“E 1517 |
Glicerildiacetāts |
Glyceryl diacetate |
dažādas”; |
1.22.3. aiz vārdiem un skaitļiem:
|
“E 1518 |
Gliceriltriacetāts |
Glyceryl triacetate |
dažādas” |
ar vārdiem un skaitļiem šādā redakcijā:
|
“E 1519 |
Benzilspirts |
Benzyl alcohol |
dažādas”; |
1.23. papildināt 7.pielikumu:
1.23.1. aiz vārdiem un skaitļiem:
|
“E 558 |
Bentonīts |
Bentonite |
dažādas” |
ar vārdiem un skaitļiem šādā redakcijā:
|
“E 1519 |
Benzilspirts |
Benzyl alcohol |
dažādas”; |
1.23.2. aiz vārdiem un skaitļiem:
|
“E 308 |
Gamma-tokoferols |
Gamma-tocopherol |
dažādas” |
ar vārdiem un skaitļiem šādā redakcijā:
|
“E 1517 |
Glicerildiacetāts |
Glyceryl diacetate |
dažādas”; |
1.23.3. aiz vārdiem un skaitļiem
|
“E 939 |
Hēlijs |
Helium |
dažādas” |
ar vārdiem un skaitļiem šādā redakcijā:
|
“E 907 |
Hidrogenēts poli-1-decēns |
Hydrogenated poly-1-decene |
dažādas”. |
2. Produktus, kas izlaisti tirgū vai marķēti pirms šo noteikumu spēkā stāšanās un kas neatbilst šo noteikumu 1.10.apakšpunktā minētā 5.pielikuma 80.punktā, 1.13.apakšpunktā minētā 5.pielikuma 176.6.6., 177.6.6., 178.6.6., 179.6.6., 180.6.6. un 181.6.6.apakšpunktā, 1.14.apakšpunktā minētā 5.pielikuma 199.1.apakšpunktā, 1.20.apakšpunktā minētā 5.pielikuma 348.8.1.apakšpunktā un 1.21.apakšpunktā minētā 5.pielikuma 348.8.4.apakšpunktā noteiktajām prasībām, izplata, līdz beidzas krājumi.
3. Šo noteikumu 1.9., 1.11., 1.12., 1.15., 1.16., 1.17., 1.18. un 1.19.apakšpunkts stājas spēkā ar 2005.gada 1.aprīli. Produktus, kas izlaisti tirgū vai marķēti pirms 2005.gada 1.aprīļa un kas neatbilst minētajos apakšpunktos noteiktajām prasībām, izplata, līdz beidzas krājumi.
Ministru prezidents A.Kalvītis
Veselības ministrs G.Bērziņš
Redakcijas piebilde: noteikumi stājas spēkā ar 2005.gada 12.martu.
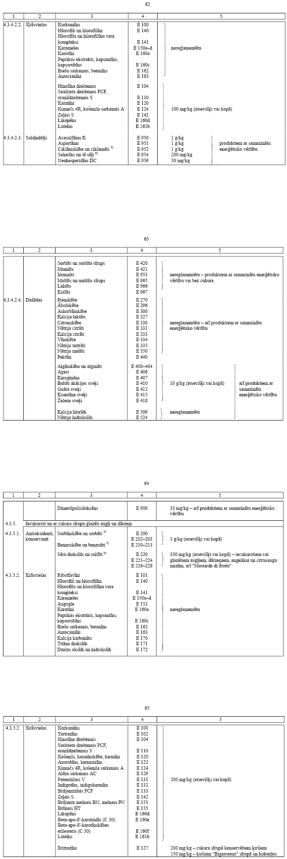
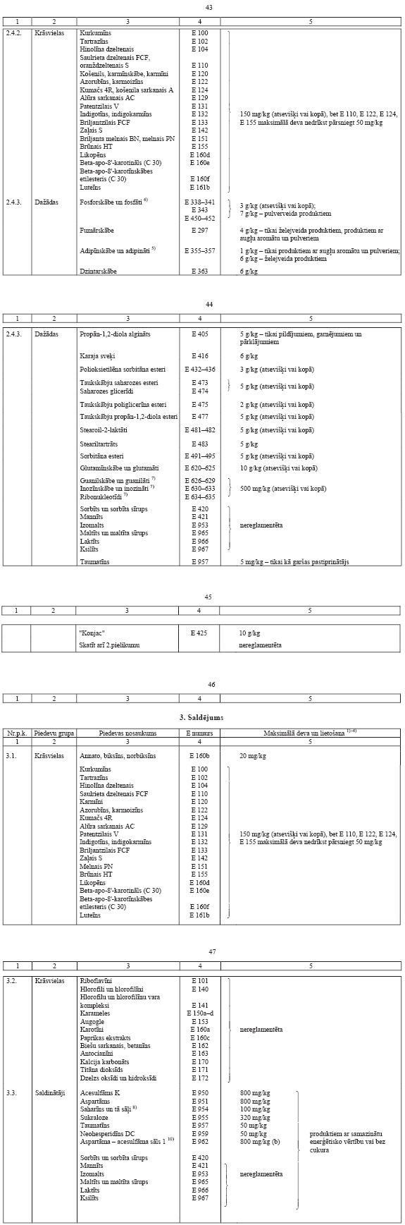
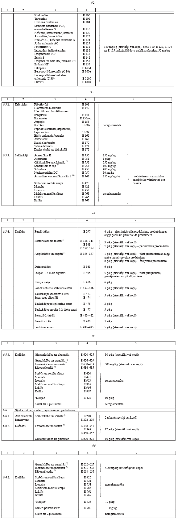
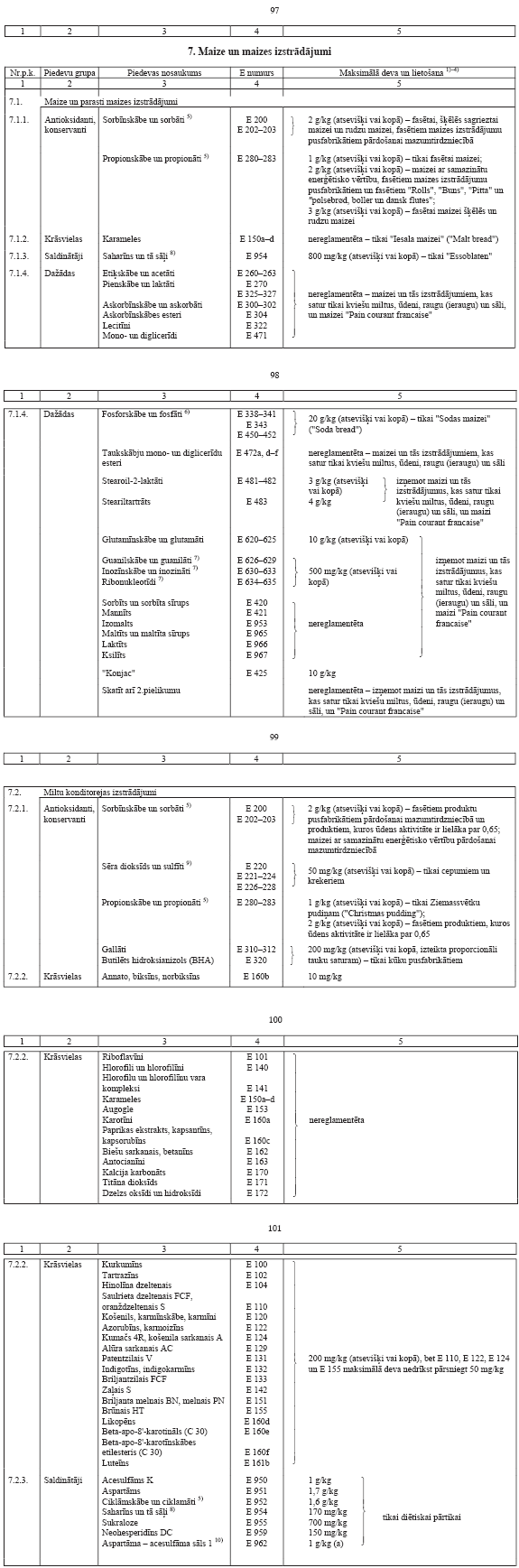
1.pielikums
Ministru kabineta
2005.gada 22.februāra noteikumiem Nr.148
“1.pielikums
Ministru kabineta
2001.gada 27.februāra noteikumiem Nr.86
Pārtikas produkti, kuros atļauts lietot pārtikas piedevas, un pārtikas piedevu maksimālās devas
Piezīmes:
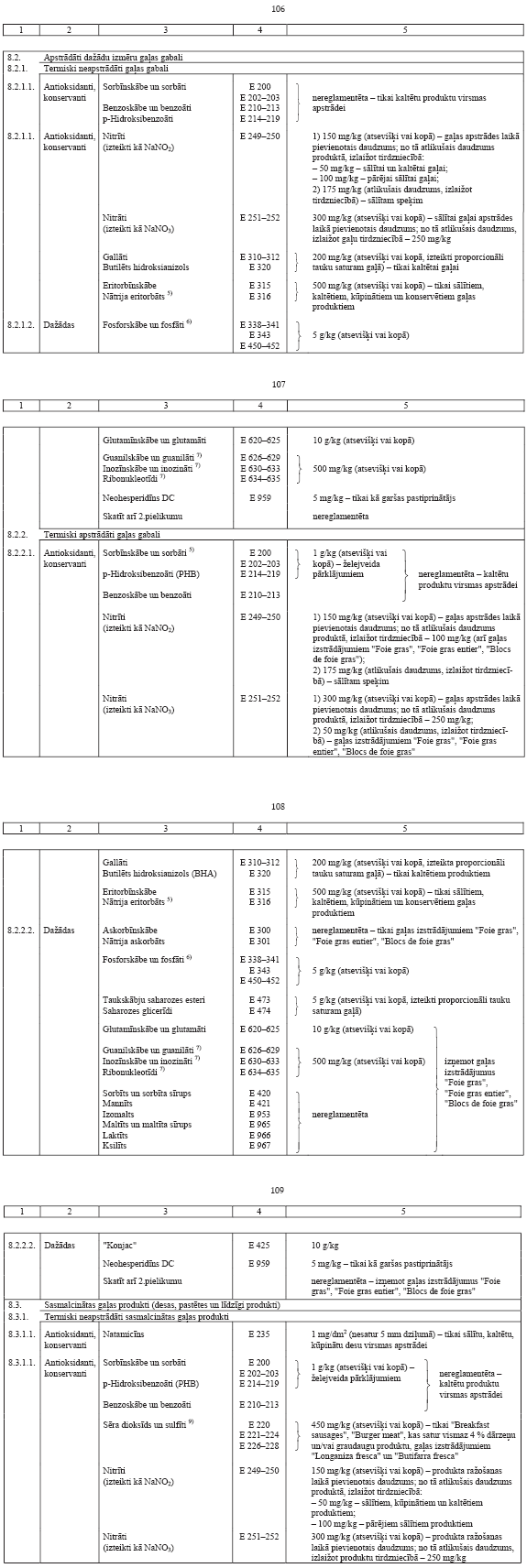
1. Maksimālā deva — pārtikas piedevas lielākais pieļaujamais daudzums pārtikā, izņemot:
1.1. gaļas produktus, kur nitrātiem (E 251 un E 252) un nitrītiem (E 249 un E 250) ir norādīts gan atļautais pievienotais daudzums, gan atlikums gatavā produktā;
1.2. dzērienus, kur dimetildikarbonātam (E 242) ir norādīts atļautais pievienotais daudzums;
1.3. visus produktus, kuriem ir pievienota fosforskābe un fosfāti (E 338-341, E 343 un E 450-452) un norādīts to atļautais pievienotais daudzums.
2. Nereglamentēta deva — pārtikas piedevas daudzums nav reglamentēts, un atbilstoši labas ražošanas praksei pārtikas piedevu lieto ne vairāk, kā nepieciešams paredzēto mērķu sasniegšanai (ar nosacījumu, ka patērētājs netiek maldināts).
3. Pārtikas piedevu maksimālās devas ir noteiktas:
3.1. pārtikā, kuru izplata tirdzniecībā;
3.2. patēriņam gatavā pārtikā, kas pagatavojama atbilstoši lietošanas instrukcijai, šādām pārtikas piedevu grupām:
3.2.1. pārtikas piedevām, kuras pievieno zīdaiņu un mazu bērnu pārtikai;
3.2.2. krāsvielām;
3.2.3. saldinātājiem;
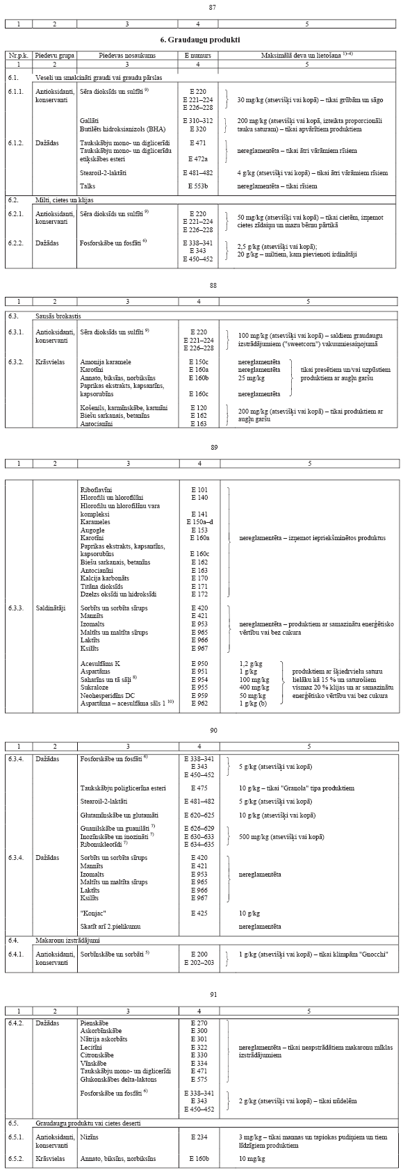
3.2.4. dažādām pārtikas piedevām: E 200-219, 297, 353-363, 385, 405, 416, 420-421, 425, 431-436, 442-445, 468, 473-495, 512, 520-523, 535-556, 559, 579-635, 900-927b, 950, 951, 953, 957, 959, 965-967, 999, 1201, 1202, 1505, 1518.
4. Maksimālās devas alumīnija sulfātiem noteiktas, rēķinot pēc alumīnija satura produktā.
5. Maksimālās devas skābēm un to sāļiem (adipinātiem, askorbātiem, benzoātiem, ciklamātiem, eritorbātiem, p-hidroksibenzoātiem, propionātiem un sorbātiem) noteiktas, rēķinot pēc skābes satura produktā.
6. Maksimālās devas fosforskābei un fosfātiem noteiktas, rēķinot pēc P2O5 satura produktā.
7. Maksimālās devas guanilskābei, guanilātiem, inozīnskābei, inozinātiem un ribonukleotīdiem noteiktas, rēķinot pēc guanilskābes satura produktā.
8. Maksimālās devas saharīnam un tā sāļiem noteiktas, rēķinot pēc saharīna satura produktā.
9. Maksimālās devas sēra dioksīdam un sulfītiem noteiktas, rēķinot pēc kopējā SO2 satura produktā. Sēra dioksīdu uzskata par klāt neesošu, ja tā daudzums ir mazāks par 10 mg/kg.
10. Maksimālā deva acesulfāma – aspartāma sālim 1 noteikta, rēķinot pēc acesulfāma K (a) vai aspartāma (b) satura sālī. Izmantojot acesulfāma – aspartāma sāli 1, nedrīkst pārsniegt acesulfāma K un aspartāma maksimālo devu attiecīgajā pārtikas produktā.