
Ādažu novada domes saistošie noteikumi: Šajā laidienā 1 Pēdējās nedēļas laikā 2 Visi
Ādažu novada pašvaldības domes saistošie noteikumi Nr. 1/2025
Ādažos 2025. gada 22. janvārī
Par Ādažu novada pašvaldības budžetu 2025. gadam
APSTIPRINĀTI
Ādažu novada pašvaldības domes
2025. gada 22. janvāra sēdē
(prot. Nr. 1 § 15)
Izdoti saskaņā ar Pašvaldību likuma
10. panta pirmās daļas 1. punktu un 48. pantu,
likuma "Par pašvaldību budžetiem"
16. un 17. pantu
un likuma "Par budžetu un finanšu vadību"
6. pantu
1. Saistošie noteikumi nosaka Ādažu novada pašvaldības pamatbudžetu 2025. gadam saskaņā ar 1.–5. pielikumu, nosakot 2025. gada pamatbudžeta, ziedojumu un dāvinājumu ieņēmumu, izdevumu un aizņēmumu apmēru (turpmāk – budžets), kā arī budžeta izpildītāju pienākumus un atbildību.
2. Apstiprināt budžetu šādās sadaļās un apmērā:
2.1. pamatbudžeta finanšu līdzekļu atlikums 2025. gada 1. janvārī 6 694 243 euro;
2.2. ziedojumu un dāvinājumu finanšu līdzekļu atlikums 2025. gada 1. janvārī 1 000 euro;
2.3. pamatbudžets (2. pielikums):
2.3.1. ieņēmumi 61 794 402 euro;
2.3.2. izdevumi 71 564 822 euro;
2.3.3. plānotie aizņēmumi 6 608 118 euro;
2.3.4. atmaksājamā summa Valsts kases kredītiem 3 467 035 euro;
2.4. ziedojumi un dāvinājumi:
2.4.1. ieņēmumi 1 000 euro;
2.4.2. izdevumi 2 000 euro.
3. Apstiprināt pašvaldības domes priekšsēdētājas ziņojumu (1. pielikums).
4. Apstiprināt paskaidrojuma rakstu par budžetu (3. pielikums).
5. Apstiprināt aizņēmumu un citu ilgtermiņa saistību pārskatu (4. pielikums).
6. Apstiprināt ieņēmumu un izdevumu sadalījumu 2025. gadam pa funkcionālajām kategorijām un ekonomiskās klasifikācijas kodiem (5. pielikums).
7. Noteikt, ka:
7.1. laika posmā starp pašvaldības budžeta grozījumiem, ar pašvaldības domes priekšsēdētājas rīkojumu var piešķirt finanšu līdzekļus operatīvu neatliekamo izdevumu apmaksai līdz 5000 euro apmērā no programmas "Līdzekļi neparedzētiem gadījumiem", un par to izlietojumu domes priekšsēdētaja informē Finanšu komiteju tās kārtējā sēdē;
7.2. Centrālās pārvaldes Grāmatvedības nodaļa nodrošina kredītu pamatsummas un kredītu procentu samaksu noteiktajos termiņos un apmēros 2025. gadā, saskaņā ar noslēgtajiem finanšu saistību līgumiem;
7.3. budžeta izpildītāji (iestāžu un struktūrvienību vadītāji) atbild par budžeta līdzekļu atbilstošu un racionālu izlietojumu. Izdevumi pēc naudas plūsmas nedrīkst pārsniegt attiecīgajā budžeta izdevumu tāmē apstiprinātos plānotos budžeta izdevumus atbilstoši ekonomiskajām un funkcionālajām kategorijām;
7.4. pašvaldības aizņēmuma apjoms katra investīciju projekta finansēšanai tiek apstiprināts ar domes lēmumu;
7.5. par pašvaldības budžeta iestāžu ieņēmumu no maksas pakalpojumiem administrēšanu, aprēķināšanu un iekasēšanu atbild pakalpojuma sniedzējs – attiecīgā iestāde, t.sk., par katra pakalpojuma nepieciešamības izvērtēšanu, ņemot vērā tā būtību un sniegšanas lietderību, kā arī izcenojuma atbilstību budžetā apstiprinātajiem izdevumiem.
8. Saistošie noteikumi stājas spēkā nākamajā dienā pēc to izsludināšanas.
Ādažu novada pašvaldības domes priekšsēdētāja K. Miķelsone
1. pielikums
Ādažu novada pašvaldības
2025. gada 22. janvāra
saistošajiem noteikumiem Nr. 1/2025
Vispārīga informācija par ekonomisko situāciju pašvaldībā un 2025. gada budžetu
Ādažu novads ir daļa no starptautiski konkurētspējīga Rīgas metropoles areāla, Latvijas centrālajā daļā, uz ziemeļiem no Rīgas pilsētas. Ādažu novadu veido 22 teritoriālās vienības, tai skaitā pilsēta – Ādaži un 2 pagasti (Ādažu un Carnikavas). Ādažu novada administratīvais centrs ir Ādažu pilsēta.
2024. gadā, tāpat kā iepriekšējos gados, Ādažu novadā turpinājās ierobežota izaugsme, ko būtiski ietekmēja pašvaldības sabalansēts budžets un starptautiskās drošības situācijas izmaiņu sekas, kuras rezonanse tieši ietekmēja arī novada iedzīvotājus, uzņēmējdarbību un sabiedrību kopumā. Krievijas izraisītā kara Ukrainā rezultātā tieši un pastarpināti turpinājās iepriekšējā gadā sāktais cenu kāpums precēm un pakalpojumiem, kā arī sabiedrībā kopumā nostiprinājās atziņa, ka svarīgas un pierastas lietas strauji transformējas un pielāgojas jauniem un skarbiem ārējiem apstākļiem.
Novada līdzsvarotas un ilgtspējīgas attīstības nodrošināšanai ir izstrādāti un apstiprināti pašvaldības plānošanas dokumenti: Ādažu novada ilgtspējīgas attīstības stratēģija līdz 2037. gadam, Ādažu novada attīstības programma 2021.–2027. gadam ar Rīcības plānu un Investīciju plānu. 2024. gadā tika veikta abu minēto plānu aktualizācija, kā arī tika apstiprināts Attīstības programmas trīs gadu uzraudzības ziņojums. Plānošanas dokumenti ir pamats Ādažu novada pašvaldības rīcību un investīciju mērķtiecīgai plānošanai un visu veidu investīciju piesaistei.
Tāpat kā iepriekšējos gados, Ādažos novadā turpinās iedzīvotāju skaita pieaugums. 2025. gadu iesākām ar 24 686 deklarētiem iedzīvotājiem. Tuvums galvaspilsētai, daba, ūdeņi un nozīmīgas transporta maģistrāles padara novadu pievilcīgu gan iedzīvotājiem, gan arī uzņēmumiem, stabili ierindojot Ādažu novadu starp straujāk augošajiem novadiem ne vien iedzīvotāju, t.sk. izglītojamo skaita, bet arī piesaistīto investīciju ziņā. Aizvadīto desmit gadu laikā iedzīvotāju skaits novadā ir ievērojami audzis, ļaujot prognozēt, ka arī 2025. gadā iedzīvotāju skaitam būs augoša tendence, galvenokārt valsts iekšējās migrācijas rezultātā. Ādažu novada dzimtsarakstu nodaļas sniegtā informācija apliecina, ka arī 2024. gadā dzimstības rādītāji bijuši ar pozitīvu iezīmi, un dzimstības rādītāji pārsniedz mirstības statistikas rādītājus. 2024. gadā noslēgtas 142 laulības un reģistrēti 188 jaundzimušie.
Vidējais bezdarba līmenis novadā ir 2,6 % (bezdarbnieku skaits darbaspējas vecumā), un tas ir ievērojami zemāks, nekā valstī un Rīgas metropoles areālā. 52 % no novada iedzīvotājiem ir pieaugušie darbspējīgā vecumā, 21 % ir seniori, un 27 % ir bērni un jaunieši.
Kopumā vispārējais stāvoklis novadā ir pozitīvi tendēts, vienlaikus radot arvien pieaugošu slodzi publiskajai infrastruktūrai, komunālo pakalpojumu un izglītības sektoram, kā rezultātā pieprasījums pēc pakalpojumiem faktiski pārsniedz to pieejamību. Tā, piemēram, iepriekšējos desmit gados izglītojamo skaits pieauga par 51,6 %.
Ādažu novads ir jauns novads, un tas likumsakarīgi paredz, ka izglītība un tās infrastruktūras attīstība ir galvenā novada prioritāte. Kopējais izglītojamo skaits novada piecās pirmsskolas izglītības iestādēs sasniedzis 1100 izglītojamos. Savukārt vispārējās izglītības iestādēs, salīdzinot ar 2021. gadu, 2024. gadā izglītojamo skaits pieauga par 421 skolēnu, 2024. gadā sasniedzot 2765 izglītojamos. Drosmīgs un vēsturisks notikums 2024. gadā bija Carnikavas vidusskolas atklāšana, kas nedaudz izlīdzināja izglītības pieejamības pieprasījumu vidusskolas vecuma segmentā.
Analizējot novada iedzīvotāju un attīstības rādītājus, ir jāpiemin arī uzņēmējdarbības loma. Ādažu novads ir ekonomiski aktīvs. Uzņēmējdarbība attīstās vairākos virzienos – mājokļu celtniecība, ražošana, pakalpojumu sniegšana, tirdzniecība, u.tml. 2024. gadā novadā tika reģistrētas 92 jaunas sabiedrības ar ierobežotu atbildību (SIA) un 1 akciju sabiedrība. 2025. gada sākumā novadā bija reģistrēti 2353 uzņēmumi. Lielākie no tiem ražošanas apjomu un nodarbināto skaita ziņā darbojas pārtikas ražošanā (zivju un gaļas produktu, alkoholisko un bezalkoholisko dzērienu, kā arī citu pārtikas izstrādājumu ražošana), metālapstrādē, kokapstrādē, celtniecībā, kravu pārvadāšanā, plastmasas būvelementu ražošanā, šķiroto materiālu pārstrādē, gatavo tekstilizstrādājumu un plastmasas iepakojumu ražošanā, apģērbu un apavu, kā arī augļu un dārzeņu tirdzniecībā.
Pateicoties pašvaldības aktīvajai darbībai un veiksmīgai Eiropas Savienības un citu investīciju projektu finansējuma apguvei Ādažu novads kļūst par perspektīvu komerczonu ar starptautisku konkurētspēju. Mežgarciema infrastruktūra, kas izveidota ar neatlaidīgu un mērķtiecīgi piesaistītu finansējumu, nodrošina augstas kvalitātes uzņēmējdarbības vidi, kas atbilst arī starptautisko investoru prasībām. Eimuru teritorija attīstās par inovatīvu uzņēmējdarbības centru, piedāvājot iespējas dažādu nozaru pārstāvjiem ar skatu uz globālo tirgu. Plānotā Jaunkūlu ielas infrastruktūras pārbūve Ādažos vēl vairāk uzlabos uzņēmējdarbības vides pieejamību un loģistikas savienojumus.
Carnikavā un Ādažos paredz sākt darbību jauni tirdzniecības uzņēmumi, turklāt komerczona pie valsts autoceļa A1 (Baltezers–Ainaži), kas stratēģiski savieno Latvijas galvaspilsētu ar Ziemeļvalstu tirgiem, ir vilinoša investoriem un attīstītājiem, kā investīcijām pievilcīga vide.
Ādažu novada pašvaldība ir viena no nedaudzajām, kas iesaista iedzīvotājus novada pilnveidošanas un attīstības procesā. Jau 15 gadus ar pašvaldības finansējumu tiek organizēts konkurss "Sabiedrība ar dvēseli", kur iedzīvotāji realizē projektus savas dzīvesvides uzlabošanai. 2025. gadā pirmo reizi pašvaldības budžetā paredzēts arī Līdzdalības budžets, kur projektu ieceres ierosinās iedzīvotāji, kā arī balsojumā izvēloties pievilcīgākos no tiem turpmākajai īstenošanai. Iepriekšējā gadā pašvaldība aicināja iedzīvotājus iesaistīties Iedzīvotāju padomēs un 2025. gadā Ādažu pilsētas, Ādažu pagasta un Carnikavas pagasta Iedzīvotāju padomēs ir ievēlēti priekšsēdētāji, un padomes uzsāka darbību.
Lai gan novads aug un attīstās, 2025. gadā pašvaldības budžeta izdevumi pārsniedz novada ieņēmumus, lai nosegtu visas publiskās un saimnieciskās vajadzības un veiktu iemaksas Pašvaldību finanšu izlīdzināšanas fondā. Šāda situācija diemžēl ļoti ierobežo pašvaldības iestāžu, publiskās infrastruktūras un brīvprātīgo iniciatīvu attīstību.
Pašvaldības nozīmīgākie pēdējos gados īstenotie un uzsāktie projekti:
1) Carnikavas stadiona rekonstrukcija;
2) plūdu risku novēršanas pasākumi, veicot Ādažu centra poldera aizsargdambja atjaunošanu un pagarināšanu;
3) sociālo rehabilitācijas pakalpojumu pieejamības nodrošināšana Dienas centrā "Ādažu Ūdensroze" un Ādažu novada sociālā dienesta filiālē Carnikavā;
4) pastaigu celiņa izveide gar Gaujas–Baltezera kanālu;
5) maģistrālās veloceļu infrastruktūras būvniecība Rīga–Kalngale–Garciems–Garupe–Carnikava, 11 km garumā, piesaistot investīcijas 3,9 miljonu euro apmērā;
6) Carnikavas pamatskolas reorganizācija, izveidojot Carnikavas vidusskolu;
7) Ādažu vidusskolas ēkas siltināšana un ventilācijas ierīkošana;
8) jaunas pirmsskolas izglītības iestādes izveides plānošana Podnieku apkaimē, piesaistot investīcijas 5 miljonu euro apmērā;
9) mobilitātes punkta infrastruktūras izveidošana Carnikavā, piesaistot investīcijas 1,2 miljonu euro apmērā;
10) publiskās ārtelpas attīstība Ādažos, Gaujas ielā 31;
11) Jauniešu centra pakalpojuma izveide Ādažos, Gaujas ielā 25;
12) Ādažu novada Mākslu skolas Carnikavas mācību punkta publiskās ārtelpas labiekārtošana, palielinot ārtelpas pievilcību;
13) primārās veselības aprūpes infrastruktūras izveide ģimenes ārstiem Carnikavā, Garā iela 20;
14) Vecštāles ceļa rekonstrukcija Kadagas ciemā;
15) ielu apgaismojuma gaismekļu nomaiņa nozīmīgā apmērā novada teritorijā, u.c.
Pašvaldības prioritātes 2025. gada investīcijās veido ES un citi finanšu instrumenti, kredīti un pašvaldības budžets. Lielākie finanšu resursi atvēlēti ielu, tiltu un ceļu infrastruktūras attīstībai, kā arī izglītības iestāžu būvniecībai un pārbūvei. Saskaņā ar Ādažu novada Attīstības programmas Investīciju plānu 2024.–2027. gadam, plānots veikt apjomīgas investīcijas ceļu infrastruktūrā un izglītības infrastruktūrā, kā arī energoefektivitātes uzlabošanā. Pašvaldībā 2025. gadā ir šādas budžeta prioritātes:
1) ielu, tiltu un ceļu infrastruktūras attīstība;
2) investīciju projekti;
3) izglītība;
4) sociālais atbalsts;
5) publiskās ārtelpas atjaunošana.
Ielu, tiltu un ceļu infrastruktūras attīstībā 2025. gadā viena no prioritātēm ir pašvaldības ceļu programmā ietverto ceļu un ielu seguma, tiltu infrastruktūras un vides uzlabošana, kā arī jauna veloceliņa un stāvlaukuma izbūve. Būtisks uzsvars tiek likts uz ceļu segumu dubultās virsmas apstrādi, paredzot tam lielāku finansējumu, nekā iepriekš. Paredzēts izstrādāt – Smilšu ielas (Carnikavā) un Krastupes ielas (Ādažos) būvprojektus un uzsākt būvdarbus. Turpināsies ceļu satiksmes drošības uzlabošana novada ciemos, īpaši, mazāk aizsargātiem ceļu satiksmes dalībniekiem.
Ārējo investīciju piesaiste (tai skaitā ES, ANM un citi fondi) ir būtisks atspaids pašvaldības budžetam. Pieejamie resursi ir pakārtoti attīstības prioritātēm, finansējuma devēju noteiktajiem termiņiem un izpildes nosacījumiem, nodrošinot budžeta sabalansētību pakalpojumu kvalitātes nodrošināšanai un attīstību veicinošu projektu īstenošanas turpināšanai. Lielākie investīciju projekti, piemēram, jaunas pirmsskolas izglītības iestādes Podnieku apkaimē un maģistrālās veloceļu infrastruktūras izveide, tika uzsākti 2024. gadā un īstenoti tuvāko gadu laikā, pašvaldības budžetā paredzot vairāk, kā 10 milj. euro no piesaistītām investīcijām.
Lai turpinātu attīstīt infrastruktūru gājējiem un velobraucējiem, šogad plānots izbūvēt apvienoto gājēju ceļu un veloceļu gar autoceļu P1 Carnikavas pagastā no Kalngales līdz Carnikavai. Projektā plānots labiekārtot arī teritoriju, uzstādīt gaismekļus, atkritumu urnas, atpūtas soliņus un statīvus velosipēdu novietošanai, u.tml. Plānots uzlabot arī esošo ceļu infrastruktūru abos pagastos. Lai uzlabotu satiksmes organizāciju un nodrošinātu ērtu un drošu gājēju pārvietošanos, pašvaldība izbūvēs ceļu barjeras, drošas un apgaismotas gājēju pārejas, kā arī satiksmes slāpēšanas elementus. Pašvaldība ir veikusi publisko iepirkumu Dzirnupes tilta projektēšanai, projektam ir izstrādāta tehniskā dokumentācija un saņemta būvvaldes atzīme par projektēšanas nosacījumu izpildi, līdz ar to 2025. gadā uzsāksim būvdarbus. Šogad plānots pabeigt Ķiršu ielas pārbūvi Ādažos no Pirmās ielas līdz Rīgas gatvei. Paredzētas satiksmes organizācijas izmaiņas Skolas ielā, kā arī ceļu klātnes atjaunošana. Jaunkūlu ielas pārbūves projektam plānots veikt 1.kārtas būvdarbus un sagatavot pieteikumu investīciju piesaistei arī 2. un 3. projekta kārtas realizācijai.
Ņemot vērā iepriekš aprakstītos datus par demogrāfisko situāciju un iedzīvotāju darbspējas vecuma struktūru, izglītība un tās infrastruktūra Ādažu novadā 2025. gadā un turpmāk būs viena no galvenajām prioritātēm. Lielais pieprasījums pēc novada pirmsskolas un vispārējās izglītības iestāžu pakalpojumiem liek meklēt jaunus risinājumus, kā paplašināt izglītības iestāžu platības, lai bērni izglītību iegūtu savā novadā. Bērnu skaita dinamika ir straujāka par pašvaldības finansiālajām iespējām paplašināt izglītības infrastruktūru. Pašvaldība šim mērķim ir spējusi rast līdzekļus, gan piesaistot Eiropas Savienības līdzekļus, gan ņemot kredītu, lai plānveidīgi veidotu jaunu izglītības infrastruktūru abos pagastos. Kopumā izglītībai un tās infrastruktūras attīstībai 2025. gadā plānots par 7 milj. vairāk, nekā iepriekšējā gadā. Fondu finansējums un aizņēmumi izglītības infrastruktūrai plānoti 6,4 miljonu euro apmērā. Turpinot darbu pie Jaunas pirmsskolas izglītības iestādes Podnieku apkaimē būvniecības, 2025. gadā paredzēts ieguldīt vairāk kā 5 milj. euro, pēc projekta pabeigšanas plānots nodrošināt pakalpojumu vairāk par 280 pirmsskolas vecuma bērniem. Ādažu vidusskolas ēkas atjaunošanai plānoti 0,8 milj. euro, t.sk. noslēgt ēkas siltināšanu un ventilācijas sistēmu uzstādīšanu vairāk par 1300 skolēniem, kā arī plānotas investīcijas lifta izbūvei. Lai veicinātu sabiedrības un īpaši skolēnu veselīgu dzīvesveidu un ārpusizglītības sporta aktivitātes, 2025. gadā paredzēts uzsākt darbu pie Carnikavas skeitparka projektēšanas, lai atjaunotu pakalpojumu un paplašinātu to ar mūsdienīgiem risinājumiem. Skatoties uz turpmāko novada izglītības iestāžu attīstību, 2025. gadā ieplānota jaunas skolas projektēšana. Viens no vēsturiski lielākajiem ieguldījumu apmēriem sabiedrības kopienu infrastruktūras attīstībai miljons euro ir paredzēts Bauhaus projektam Pirmajā ielā 42, Ādažos un Blusukroga ēkas, Carnikavā, atjaunošanai. Jaunās telpas paredzētas arī sabiedrības vajadzībām, liekot akcentu uz ēku tehnisko drošību un funkcionalitāti iedzīvotāju kopienu stiprināšanai. 2025. gadā notiks Latvijas Skolu jaunatnes dziesmu un deju svētki, kas ir neatņemama nacionāla tradīcija, kuras uzturēšanai svētku gadā paredzēts pašvaldības finansējums, gan tērpu un inventāra nodrošināšanai, gan svētku dalībnieku transportam un saistītiem izdevumiem.
2025. gadā Ādažu novada sociālais dienests sociālā atbalsta nolūkos turpinās izmaksāt ierastos pabalstus, atsevišķiem pabalstiem palielinot apmēru. Turpināsies atbalsts daudzbērnu ģimenēm, kā arī skolēnu ēdināšanai līdz 9. klasei. Atbalsta grupās tiks sniegts izglītojošs, informējošs, pilnveidojošs atbalsts saistībā ar bērnu aprūpes un audzināšanas efektīvu rīcību problēmsituācijās, kā arī sniegts konsultatīvais atbalsts individuāli. Atbalsts tiks nodrošināts atbilstoši bērnu vecumposmiem no zīdaiņa vecuma līdz pilngadībai. Dienas aprūpes centrā pakalpojumus saņem pilngadīgās personas ar garīga rakstura traucējumiem un bērni ar funkcionāliem traucējumiem. Tagad arī Carnikavas pagastā sniedzam dienas centra pakalpojumus pilngadīgām personām.
Publiskās ārtelpas atjaunošanai lielākais uzsvars tiks likts publiski pieejamās koplietošanas labiekārtojuma elementu atjaunošanai, papildināšanai un uzlabošanai ciemos, parkos, rotaļu laukumos, atbilstoši 2024. gadā notikušo pašvaldības un novada ciemu iedzīvotāju tikšanās laikā apkopotajām vajadzībām. Piejūras ciemu publiskās ārtelpas lietošana vasarā ir būtiski intensīvāka par faktisko iedzīvotāju skaitu, vienlaikus, lai arī pakalpojumus iedzīvotāji saņem pagastu centros, vasaras ēku apbūve dinamiski tiek aizstāta ar pastāvīgām mājām un jauno iemītnieku vajadzības ietekmē nepieciešamību atjaunot un papildināt labiekārtojumu novada ciemos.
Pašvaldības darbības finansiālo pamatu veido budžets, kas ir svarīgākais instruments pašvaldības autonomo funkciju un brīvprātīgo iniciatīvu izpildes nodrošināšanai, ekonomisko un sociālo vajadzību sabalansēšanai, kā arī teritorijas ilgtermiņa attīstībai. Tā galvenais uzdevums ir maksimāli izmantot visus materiālos un finanšu resursus, noteikt izdevumus, kas saistīti ar paredzētajiem mērķiem. Veidojot savu budžetu, pašvaldība ir tieši atkarīga no valsts nodokļu politikas, kā arī valsts noteiktajiem makroekonomiskajiem scenārijiem un aprēķiniem pašvaldību finanšu izlīdzināšanai. Budžets ir veidots saskaņā ar Latvijas Republikas likumiem, tostarp "Par budžetu un finanšu vadību", "Par pašvaldību budžetiem" un "Par valsts budžetu 2025. gadam", kā arī citos normatīvajos aktos noteiktās prasības. Šis budžets ir centrālais elements pašvaldības finanšu sistēmā.
Ādažu novada pašvaldības 2025. gada budžets ir dokuments, kas atspoguļo īstermiņā pašvaldības politiku un prioritātes, izmantojot pašvaldības rīcībā esošos finanšu resursus, kā arī lielā mērā nosaka pašvaldības administrācijas rīcības plānu turpmākajam gadam.
Šis 2025. gada pašvaldības budžets ir izstrādāts, balstoties uz ārējiem normatīvajiem aktiem, kā arī valsts finansēšanas un nodokļu politikas prognozēm. 2025. gadā pašvaldības ieņēmumu un izdevumu apjomu būtiski ietekmēs valsts fiskālās politikas vairākas izmaiņas, piemēram, aizņēmumu procentu likmju apmērs, iedzīvotāju ienākuma nodokļa (IIN) likmju izmaiņas pašvaldībām un valsts IIN ieņēmumu pašvaldību daļas piešķiršanas apmēru un nosacījumu izmaiņas, kā arī valsts mērķdotāciju aprēķina izmaiņas, valsts aizdevumu un investīciju grantu pieejamības regulējumi un Eiropas Savienības struktūrfondu pieejamības un izlietojuma nosacījumu spēkā stāšanās.
Pašvaldība ņēma vērā visu nozaru intereses un centās sabalansēt pieejamos finanšu līdzekļus tā, lai nodrošinātu uzlabojumus pašvaldībai un sabiedrībai kopumā svarīgās jomās. Budžets ir sabalansēts atbilstoši pieejamam finansējumam, uzņemtām saistībām, prioritātēm un saimnieciski efektīviem risinājumiem. Šī visaptverošā pieeja jau vairākus gadus nodrošina Ādažu novada ilgtspējīgu izaugsmi, uzlabojot iedzīvotāju dzīves kvalitāti visās nozarēs un sagatavojot novadu nākotnes izaicinājumiem kā dinamisku, iekļaujošu, modernu un ilgtspējīgu pašvaldību.
Pašvaldības budžets 2025. gadam sastāv no pamatbudžeta un ziedojumiem (dāvinājumiem), ko veido ieņēmumu un izdevumu daļas. Budžeta ieņēmumus veido galvenokārt ieņēmumi no iedzīvotāju ienākuma nodokļa (IIN), nekustamā īpašuma nodokļa (NĪN), kā arī citi nodokļu un nodevu ieņēmumi, dažādas valsts mērķdotācijas un ES investīciju projektu finansējumi.
Sastādot pašvaldības 2025. gada budžeta projektu, iedzīvotāju ienākuma nodokļa prognoze tika balstīta uz pašvaldību finanšu izlīdzināšanas aprēķinu 2025. gadam, kas pieejami Finanšu ministrijas tīmekļvietnē. Iedzīvotāju ienākuma nodokļa (IIN) ieņēmumus 2025. gadā aprēķina pēc jaunas nodokļu likmes, to piešķiršana pašvaldībām notiek pēc jaunas metodikas un iespējamā IIN pārpilde pašvaldībās būs izmantojuma tikai nākamā finanšu gada kredītsaistību segšanai, IIN apmēru galvenokārt, ietekmē tautsaimniecībā nodarbināto skaits, darba samaksa, ar iedzīvotāju ienākuma nodokli neapliekamā minimuma un atvieglojumu apmērs, minimālā darba alga, kā arī saistīto nodokļu režīms. Pašvaldībām no kopējās iekasētā iedzīvotāju nodokļa masas tiek atskaitīti tikai 78 %, un 22 % tiek novirzīti valstij. Atskaitījumu proporcija joprojām nav atgriezta iepriekšējā 80/20 noteiktajā līmenī, turklāt 2025. gadā valstī ir samazināts iedzīvotāju ienākuma nodoklis, kura samazinājuma starpību 2025. gadā plāno kompensēt no valsts budžeta līdzekļiem.
2025. gada budžeta sagatavošanā lielākais izaicinājums bija finansējuma nodrošināšana uzsākto investīciju projektu īstenošanas nodrošināšanai, meklējot finansējuma avotus saglabāt iespēju turpmākai attīstībai, kā arī līdzsvarot iestāžu uzturēšanas izdevumu pieaugumu, līdz ar to arī budžetā nav vērojami būtiski izdevumu palielinājumi jau uzsāktās aktivitātēs, izņēmumi attiecas uz iedzīvotāju skaita palielinājumu un sniegto pakalpojumu pieaugumu.
Pašvaldības budžeta izdevumu lielākā daļa tiks tērēta izglītībai (44 %) un pašvaldības teritoriju un mājokļu apsaimniekošanai (24 %).
Arī pašvaldība var veikt investīcijas, savlaicīgi paredzot tām budžetā attiecīgus izdevumus – uzkrājot nepieciešamo naudas apjomu, pārdodot tai piederošus aktīvus, vai arī aizņemoties (faktisko ieguldījumu veicot aizņēmuma atmaksas veidā vairāku gadu garumā).
Lai saglabātu līdzsvaru attīstībā un novada dabas pievilcībā iedzīvotājiem, pašvaldība turpina darbu pie videi draudzīgu risinājumu iedzīvināšanas publiskās ārtelpas plānošanā. Liela nozīme turpināt uzsākto Teritorijas plānojumu ar Satiksmes un ainavas tematiskiem plānojumiem.
2025. gadā novadā pirmo reizi darbu uzsāk Ādažu pilsētas, Ādažu pagasta un Carnikavas pagasta Iedzīvotāju padomes, tāpat pirmo reizi papildus Iedzīvotāju iniciatīvu projektiem un papildu konkursa "Sabiedrība ar dvēseli" projektu finansējumam, budžetā ir paredzēti līdzekļi iedzīvotāju līdzdalības budžetam.
Vienveidīgas pārvaldības kārtības iedibināšanai centralizēto ūdensapgādes un siltumapgādes sistēmu uzturēšanai Carnikavas pagastā pašvaldība 2024. gadā nodeva minēto sistēmu uzturēšanas funkciju pašvaldības kapitālsabiedrībām, kas nodrošinās pakalpojumus un jau 2025. gadā plānotas vērienīgas ūdenssaimniecības un kanalizācijas tīklu paplašināšanas projektu realizācija Kalngales un Garkalnes notekūdeņu attīrīšanas komunikāciju savienošana ar Ādažu NAI.
Iepriekšējos gados pašvaldības ņemto kredītu lielais apjoms Valsts Kasē, lai realizētu Eiropas Savienības struktūrfondu atbalstītos investīciju projektus, joprojām liek piesardzīgāk plānot ilgtermiņa aktivitātes un attīstības projektus, jo, uzņemoties jaunas finanšu saistības, objektīvi samazināsies budžetā pieejamie līdzekļi pārējo izdevumu segšanai, kas vitāli nepieciešams pašvaldības iestāžu uzturēšanai, kuru sniegtie pakalpojumi pieaug katru gadu, gan ārējos normatīvajos aktos noteikto funkciju paplašināšanai, gan iedzīvotāju skaita pieaugumam, gan pašvaldības brīvprātīgo funkciju izpildei.
2025. gada budžets ir arī pašvaldības ilgtspējības instruments, jo tas nodrošina iepriekš uzsākto aktivitāšu turpināšanu un ar tā palīdzību tiek veiktas iestrādes tālākai Ādažu novada sociālajai un ekonomiskajai attīstībai, kā arī iedzīvotāju dzīves kvalitātes uzlabojumiem.
Skaitliskā informācija par budžeta ieņēmumiem, izdevumiem un klasifikāciju norādīta saistošo noteikumu 2., 3. un 4. pielikumā.
Ādažu novada pašvaldības domes priekšsēdētāja K. Miķelsone
2. pielikums
Ādažu novada pašvaldības
2025. gada 22. janvāra
saistošajiem noteikumiem Nr. 1/2025
Pamatbudžets 2025. gadam
IEŅĒMUMU DAĻA
|
Klasifikācijas kods |
Nr.p.k. |
Sadaļa |
2025. gada budžets |
| 1.–5. | Nodokļu ieņēmumi |
42 715 458 |
|
| 1.1.0.0. | 1. | Iedzīvotāju ienākuma nodoklis |
39 439 118 |
| 1.1. | pārskata gada |
39 439 118 |
|
| 2.–4. | Nekustamā īpašuma nodokļu ieņēmumi |
3 211 340 |
|
| 4.1.1.0. | 2. | Nekustamā īpašuma nodoklis par zemi |
2 082 625 |
| 2.1. | pārskata gada |
1 945 625 |
|
| 2.2. | iepriekšējo gadu parādi |
137 000 |
|
| 4.1.2.0. | 3. | Nekustamā īpašuma nodoklis par ēkām |
392 228 |
| 3.1. | pārskata gada |
362 228 |
|
| 3.2. | iepriekšējo gadu parādi |
30 000 |
|
| 4.1.3.0. | 4. | Nekustamā īpašuma nodoklis par mājokļiem un inženierbūvēm |
736 487 |
| 4.1. | pārskata gada |
665 899 |
|
| 4.2. | iepriekšējo gadu parādi |
70 588 |
|
| 5.5.3.0. | 5. | Nodokļi un maksājumi par tiesībām lietot atsevišķas preces |
65 000 |
| 5.1. | Azartspēļu nodoklis |
5 000 |
|
| 5.2. | Dabas resursu nodoklis |
60 000 |
|
| 9.0.0.0. | 6. | Valsts (pašvaldību) un kancelejas nodevas |
144 060 |
| 6.1. | valsts nodevas |
6 100 |
|
| 6.1.1. | t.sk.: – par apliecinājumiem un citu funkciju pildīšanu bāriņtiesā |
1 100 |
|
| 6.1.2. | t.sk.: – par civilstāvokļa aktu reģistrēšanu, grozīšanu un papildināšanu |
4 500 |
|
| 6.1.3. | t.sk.: – pārējās valsts nodevas, kuras ieskaita pašvaldību budžetā |
500 |
|
| 6.2. | pašvaldību nodevas |
137 960 |
|
| 6.2.1. | t.sk.: – nodeva par domes izstrādāto oficiālo dokumentu saņemšanu |
100 |
|
| 6.2.2. | t.sk.: – nodeva par izklaidējoša rakstura pasākumu sarīkošanu publiskās vietās |
1 860 |
|
| 6.2.3. | t.sk.: – nodeva par tirdzniecību publiskās vietās |
33 000 |
|
| 6.2.4. | t.sk.: – nodeva par reklāmas, afišu un sludinājumu izvietošanu publiskās vietās |
13 000 |
|
| 6.2.5. | t.sk.: – nodeva par būvatļaujas saņemšanu |
85 000 |
|
| 6.2.6. | t.sk.: – pārējās nodevas |
5 000 |
|
| 10.0.0.0. | 7. | Naudas sodi un sankcijas |
130 000 |
| 7.1. | Naudas sodi un sankcijas |
90 000 |
|
| 7.2. | Naudas sodi par pārkāpumiem ceļu satiksmē |
40 000 |
|
| 12.0.0.0. | 8. | Pārējie nenodokļu ieņēmumi |
35 728 |
| 8.1. | citi nenodokļu ieņēmumi |
25 728 |
|
| 8.2. | līgumsodi un procentu maksājumi par saistību neizpildi |
– |
|
| 8.3. | ieņēmumi no zvejas tiesību nomas |
10 000 |
|
| 13.0.0.0. | 9. | Ieņēmumi no pašvaldības īpašumu pārdošana |
– |
| 18.6.0.0. | 10. | Valsts budžeta transferti un projektu finansējums |
17 618 701 |
| 10.1. | Valsts budžeta transferti |
9 758 404 |
|
| 10.1.1. | dotācija mākslu skolas algām |
718 764 |
|
| 10.1.2. | dotācija sporta skolai |
313 180 |
|
| 10.1.3. | dotācija skolēnu ēdināšanai |
341 692 |
|
| 10.1.4. | dotācija mācību grāmatām |
– |
|
| 10.1.4.1. | t.sk.: – dotācija mācību grāmatām | ||
| 10.1.4.2. | t.sk.: – dotācija digitālajiem mācību līdzekļiem | ||
| 10.1.5. | dotācijas pedagogu algām (vsk., PII) |
7 121 916 |
|
| 10.1.5.1. | t.sk.: – piecgadīgo bērnu apmācība |
1 065 868 |
|
| 10.1.5.2. | t.sk.: – skolotāju algām |
5 542 646 |
|
| 10.1.5.3. | t.sk.: – interešu izglītība |
513 402 |
|
| 10.1.6. | dotācija māksliniecisko kolektīvu vadītāju atalgojumam |
26 360 |
|
| 10.1.7. | Projekts "Skolas soma" Ādaži |
37 535 |
|
| 10.1.8. | Projekts "Skolas soma" Carnikava |
11 142 |
|
| 10.1.9. | dotācija asistenta pakalpojumu nodrošināšanai |
580 000 |
|
| 10.1.10. | valsts dotācija ceļu uzturēšanai |
406 576 |
|
| 10.1.11. | dotācijas Ukrainas pilsoņu atbalstam |
70 000 |
|
| 10.1.12. | dotācijas nodarbinātības pasākumiem |
12 607 |
|
| 10.1.13. | pārējās dotācijas |
118 632 |
|
| 18.6.3.0. | 10.2. | ES struktūrfondu līdzekļi un aktivitāšu līdzfinansējumi |
7 860 297 |
| 10.2.1. | Projekts "Infrastruktūras uzlabošana uzņēmējdarbības attīstībai Ādažos" |
638 646 |
|
| 10.2.2. | Publiskās ārtelpas izveide Gaujas ielā 31 Ādažos |
103 070 |
|
| 10.2.3. | LIFE NewBauhaus projekts |
267 455 |
|
| 10.2.4. | Jaunais plūdu projekts – 2.1.3.2. "Nacionālas nozīmes plūdu un krasta erozijas pasākumi" 1. daļa |
217 332 |
|
| 10.2.5. | Krastupes ielas projekts |
308 659 |
|
| 10.2.6. | Jaunas pirmsskolas izglītības iestādes Podniekos būvniecība |
2 500 000 |
|
| 10.2.7. | "Mobilitātes punkta infrastruktūras izveidošana Rīgas metropoles areālā – "Carnikava"" |
830 550 |
|
| 10.2.8. | Maģistrālā veloceļa izbūve Rīga-Carnikava |
2 661 252 |
|
| 10.2.9. | "Blusu" kroga pārbūves tehniskā projekta izstrāde |
333 333 |
|
| 19.2.0.0. | 11. | Pašvaldību budžeta transferti |
350 000 |
| 11.1. | no citām pašvaldībām izglītības funkciju nodrošināšanai |
350 000 |
|
| 21.0.0.0. | 12. | Budžeta iestāžu ieņēmumi |
800 455 |
| 12.1. | maksa par izglītības pakalpojumiem |
219 800 |
|
| 12.1.1. | ieņēmumi no vecāku maksām (PII) |
61 000 |
|
| 12.1.2. | ieņēmumi no vecāku maksām (ĀNMS, BJSS) |
158 800 |
|
| 12.2. | pārrobežu projektu ieņēmumi |
59 312 |
|
| 12.2.1. | ERASMUS + projekti |
59 312 |
|
| 12.2.2. | citi pārrobežu projektu ieņēmumi |
– |
|
| 12.3. | ieņēmumi par nomu un īri |
322 370 |
|
| 12.3.1. | ieņēmumi par telpu nomu |
236 370 |
|
| 12.3.2. | ieņēmumi par zemes nomu |
86 000 |
|
| 12.3.3. | pārējie ieņēmumi par nomu |
– |
|
| 12.4. | budžeta iestāžu maksas pakalpojumi |
98 350 |
|
| 12.4.1. | budžeta iestāžu maksas pakalpojumi |
98 350 |
|
| 12.4.2. | ieņēmumi no biļešu realizācijas |
– |
|
| 12.5. | pārējie ieņēmumi/stāvvietu ieņēmumi |
100 623 |
|
|
KOPĀ IEŅĒMUMI: |
61 794 402 |
||
| F21010000 AS | 13. | Naudas līdzekļu atlikums gada sākumā |
6 694 243 |
| 13.1. | Naudas atlikums iezīmētiem mērķiem |
1 040 957 |
|
| 13.2. | Naudas atlikums pašvaldības līdzekļi |
5 653 286 |
|
| F40020010 | 14. | Valsts Kases kredīti |
6 608 118 |
| 14.1. | Aizņēmums skolas ielas rekonstrukcijai |
85 000 |
|
| 14.2. | Jaunas pirmsskolas izglītības iestādes Podniekos būvniecība |
3 100 179 |
|
| 14.3. | Āra lifta izbūve pie A korpusa |
85 000 |
|
| 14.4. | Ādažu vidusskolas D korpusa siltināšana |
255 000 |
|
| 14.5. | Ādažu vidusskolas ēkas A korpusa, savienojuma daļas starp korpusiem (A un B), kā arī, vidusskolas centrālās daļas, tai skaitā torņa fasādes atjaunošana. |
474 147 |
|
| 14.6. | Dzirnupes ielas tilta pārbūve I kārta |
510 000 |
|
| 14.7. | Projekts "Infrastruktūras uzlabošana uzņēmējdarbības attīstībai Ādažos" |
295 238 |
|
| 14.8. | Krastupes ielas projekts |
70 622 |
|
| 14.9. | "Mobilitātes punkta infrastruktūras izveidošana Rīgas metropoles areālā – "Carnikava"" |
123 536 |
|
| 14.10. | Maģistrālā veloceļa izbūve Rīga-Carnikava |
1 609 396 |
|
|
KOPĀ PIEEJAMAIS FINANSĒJUMS: |
75 096 763 |
||
IZDEVUMU DAĻA
|
Klasifikācijas kods |
Nr.p.k. |
Sadaļa |
2025. gada budžets |
| 01.000 | 1. | Vispārējie valdības dienesti |
12 264 534 |
| 1.1. | pārvalde |
2 120 144 |
|
| 1.2. | deputāti |
377 185 |
|
| 1.3. | administratīvā komisija |
62 822 |
|
| 1.4. | iepirkumu komisija |
45 177 |
|
| 1.5. | vēlēšanu komisija |
88 097 |
|
| 1.6. | pārējās komisijas |
33 489 |
|
| 1.7. | aizņēmumu procentu maksājumi |
2 102 431 |
|
| 1.8. | Iemaksas PFIF |
6 917 724 |
|
| 1.9. | Informācijas tehnoloģiju nodaļa, vispārējas nozīmes dienestu darbība un pakalpojumi – datortīkla uzturēšana |
517 465 |
|
| 03.000 | 2. | Sabiedriskā kārtība un drošība |
1 114 238 |
| 04.000 | 3. | Ekonomiskā darbība |
646 058 |
| 3.1. | Sabiedriskās attiecības, laikraksts |
200 531 |
|
| 3.2. | Autoceļu fonds |
445 527 |
|
| 05.000 | 4. | Vides aizsardzība |
225 687 |
| 4.1. | Dabas resursu nodokļa izlietojums |
225 687 |
|
| 06.000 | 5. | Pašvaldības teritoriju un mājokļu apsaimniekošana |
18 129 422 |
| 5.1. | Izdevumi neparedzētiem gadījumiem |
70 000 |
|
| 5.2. | Līdzdalības budžets |
52 568 |
|
| 5.3. | Būvvalde |
333 393 |
|
| 5.4. | Teritorijas plānošanas nodaļa |
334 779 |
|
| 5.5. | Attīstības un projektu nodaļa |
8 401 067 |
|
| 5.5.1. | nodaļa |
524 909 |
|
| 5.5.2. | Projekts "Sabiedrība ar dvēseli" |
40 000 |
|
| 5.5.3. | Iedzīvotāju iniciatīvas un konkursi. |
11 400 |
|
| 5.5.4. | TEP "Atjaunojamo energoresursu izmantošana Ādažu novadā" (EUCF) |
49 346 |
|
| 5.5.5. | "Mobilitātes punkta infrastruktūras izveidošana Rīgas metropoles areālā – "Carnikava"" |
985 558 |
|
| 5.5.6. | Maģistrālā veloceļa izbūve Rīga-Carnikava |
4 425 220 |
|
| 5.5.7. | "Upesceļi II/Ūdenstūrisma pieejamības veicināšana (RiverwaysII/Facilitating access to watertourism activities)". |
34 550 |
|
| 5.5.8. | Projekts "Infrastruktūras uzlabošana uzņēmējdarbības attīstībai Ādažos" |
950 824 |
|
| 5.5.9. | Publiskās ārtelpas izveide Gaujas ielā 31 Ādažos |
138 477 |
|
| 5.5.10. | Projekts jauniešu asociāciju federācija Eiropas mobilitātei. CERV programmas projekts "YOUTth and democracy: empowering Europe's next generation" |
3 200 |
|
| 5.5.11. | LIFE NewBauhaus projekts |
434 122 |
|
| 5.5.12. | "Blusu" kroga pārbūves tehniskā projekta izstrāde. |
416 333 |
|
| 5.5.13. | Krastupes ielas projekts |
387 128 |
|
| 5.6. | Objektu un teritorijas apsaimniekošana un uzturēšana |
8 937 615 |
|
| 5.6.1. | Nekustamā īpašuma nodaļa |
242 016 |
|
| 5.6.2. | SAM 5.1.1. Pretplūdu pasākumi Ādažu centra polderī, Ādažu novadā |
191 255 |
|
| 5.6.3. | Jaunais plūdu projekts – 2.1.3.2. "Nacionālas nozīmes plūdu un krasta erozijas pasākumi" 1. daļa |
255 685 |
|
| 5.6.4. | P/A "Carnikavas komunālserviss" teritorijas un īpašumu apsaimniekošana |
5 767 122 |
|
| 5.6.5. | Investīcijas energosaimniecības uzlabošanā |
237 443 |
|
| 5.6.6. | Investīcijas vides pārvaldībā un uzlabošanā |
418 784 |
|
| 5.6.7. | Investīcijas ceļu, ielu infrastruktūras attīstībā un uzlabošanā |
1 825 310 |
|
| 08.000 | 6. | Atpūta, kultūra un reliģija |
2 552 007 |
| 6.1. | Kultūra |
1 535 520 |
|
| 6.1.1. | Ādažu kultūras centrs |
793 277 |
|
| 6.1.2. | Tautas nams "Ozolaine" |
526 028 |
|
| 6.1.3. | Muzejs un Carnikavas novadpētniecības centrs |
185 916 |
|
| 6.1.4. | Tūrisms |
30 299 |
|
| 6.2. | Ādažu bibliotēka |
158 076 |
|
| 6.3. | Carnikavas bibliotēka |
73 071 |
|
| 6.4. | Sporta daļa |
762 112 |
|
| 6.5. | Evaņģēliski luteriskās draudzes |
4 000 |
|
| 6.6. | Multihalle |
19 228 |
|
| 10.000 | 7. | Sociālā aizsardzība |
3 538 928 |
| 7.1. | Sociālais dienests |
2 760 943 |
|
| 7.1.1. | Sociālās funkcijas nodrošināšana |
638 988 |
|
| 7.1.2. | Pabalsti |
1 540 233 |
|
| 7.1.3. | Mērķdotācija |
– |
|
| 7.1.4. | Asistentu pakalpojumi |
580 000 |
|
| 7.1.5. | Uzturēšanas izdevumi (CKS) |
1 722 |
|
| 7.2. | Stipendiāti / bezdarbnieki |
14 883 |
|
| 7.3. | SAM 9311 Deinstitucionalizācija – Dienas centrs |
444 938 |
|
| 7.3.1. | DI centra uzturēšanas izdevumi |
432 274 |
|
| 7.3.2. | DI centra uzturēšanas izdevumi (CKS) |
12 664 |
|
| 7.4. | Bāriņtiesa |
158 418 |
|
| 7.5. | Dotācijas Ukrainas pilsoņu atbalstam |
70 604 |
|
| 7.6. | ANM pasākuma "Atbalsta pasākumi cilvēkiem ar invaliditāti mājokļu vides pieejamības nodrošināšanai" projekts |
44 312 |
|
| 7.7. | SAM 9.2.4.2. projekts "Pasākumi vietējās sabiedrības veselības veicināšanai" |
44 830 |
|
| 09.000 | 8. | Izglītība |
33 093 948 |
| 8.1. | Norēķini ar pašvaldību budžetiem par izglītības iestāžu pakalpojumiem |
851 975 |
|
| 8.2. | Ādažu Pirmsskolas izglītības iestāde |
2 529 158 |
|
| 8.2.1. | pedagogu algas, grāmatas (mērķdotācija) |
361 243 |
|
| 8.2.2. | pārējās izmaksas |
1 638 439 |
|
| 8.2.3. | uzturēšanas izmaksas (CKS) |
529 476 |
|
| 8.3. | Kadagas PII |
1 499 060 |
|
| 8.3.1. | pedagogu algas, grāmatas (mērķdotācija) |
144 697 |
|
| 8.3.2. | pārējās izmaksas |
1 108 510 |
|
| 8.3.3. | uzturēšanas izmaksas (CKS) |
245 853 |
|
| 8.4. | Pirmsskolas izglītības iestāde "Riekstiņš" |
1 850 322 |
|
| 8.4.1. | pedagogu algas, grāmatas (mērķdotācija) |
200 053 |
|
| 8.4.2. | pārējās izmaksas |
1 406 595 |
|
| 8.4.3. | uzturēšanas izmaksas (CKS) |
243 674 |
|
| 8.5. | Pirmsskolas izglītības iestāde "Piejūra" |
1 570 891 |
|
| 8.5.1. | pedagogu algas, grāmatas (mērķdotācija) |
263 376 |
|
| 8.5.2. | pārējās izmaksas |
1 141 525 |
|
| 8.5.3. | uzturēšanas izmaksas (CKS) |
165 990 |
|
| 8.6. | Privātās izglītības iestādes |
3 805 461 |
|
| 8.7. | Carnikavas vidusskola |
2 754 926 |
|
| 8.7.1. | pedagogu algas, grāmatas (mērķdotācija) |
1 540 363 |
|
| 8.7.2. | ēdināšana (mērķdotācija) |
94 076 |
|
| 8.7.3. | pārējās izmaksas |
645 648 |
|
| 8.7.4. | uzturēšanas izmaksas (CKS) |
386 671 |
|
| 8.7.5. | projekts "Skolas soma" |
11 200 |
|
| 8.7.6. | projekti Erasmus+; NordPlus |
76 968 |
|
| 8.8. | Ādažu vidusskola |
8 902 379 |
|
| 8.8.1. | pedagogu algas, grāmatas (mērķdotācija) |
4 520 522 |
|
| 8.8.2. | pārējās izmaksas |
861 741 |
|
| 8.8.3. | uzturēšanas izmaksas (CKS) |
813 750 |
|
| 8.8.4. | projekts Erasmus+ |
51 949 |
|
| 8.8.5. | projekts "Skolas soma" |
41 000 |
|
| 8.8.6. | Ādažu vidusskolas D korpusa siltināšana |
300 000 |
|
| 8.8.7. | Ādažu vidusskolas ēkas A korpusa, savienojuma daļas starp korpusiem (A un B), kā arī, vidusskolas centrālās daļas, tai skaitā torņa fasādes atjaunošana |
542 914 |
|
| 8.8.8. | sākumskolas uzturēšanas izmaksas |
707 203 |
|
| 8.8.9. | sākumskolas uzturēšanas izmaksas (CKS) |
451 553 |
|
| 8.8.10. | sākumskolas ēdināšana (mērķdotācija) |
263 797 |
|
| 8.8.11. | PII |
347 950 |
|
| 8.8.11.1. | - pedagogu algas (mērķdotācija) |
100 105 |
|
| 8.8.11.2. | - uzturēšana |
232 189 |
|
| 8.8.11.3. | - uzturēšanas izmaksas (CKS) |
15 656 |
|
| 8.9. | Ādažu novada Mākslu skola |
1 819 829 |
|
| 8.9.1. | pedagogu algas (mērķdotācija) |
735 359 |
|
| 8.9.2. | pārējās izmaksas |
1 084 470 |
|
| 8.10. | Sporta skola |
845 947 |
|
| 8.10.1. | pedagogu algas (mērķdotācija) |
313 283 |
|
| 8.10.2. | Pašvaldības finansējums |
532 664 |
|
| 8.11. | Izglītības un jauniešu lietu pārvalde |
508 477 |
|
| 8.12. | Līdzfinansējums skolēnu dalībai konkursos |
3 000 |
|
| 8.13. | Jaunas pirmsskolas izglītības iestādes Podniekos būvniecība |
5 600 179 |
|
| 8.14. | Teritorijas novērtēšana pirms būvprojekta izstrādes un būvprojekts jaunas pamatskolas izveidei Ādažu pilsētā |
267 067 |
|
| 8.15. | Latvijas Skolu jaunatnes dziesmu un deju svētki |
285 277 |
|
|
KOPĀ IZDEVUMI: |
71 564 822 |
||
| F40020020 | 9. | Kredītu pamatsummas atmaksa |
3 467 035 |
|
PAVISAM KOPĀ IZDEVUMI: |
75 031 856 |
||
| F21010000 AB | - | Naudas līdzekļu atlikums uz gada beigām |
64 907 |
Ādažu novada pašvaldības domes priekšsēdētāja K. Miķelsone
3. pielikums
Ādažu novada pašvaldības
2025. gada 22. janvāra
saistošajiem noteikumiem Nr. 1/2025
Paskaidrojuma raksts par 2025. gada budžetu
Ieņēmumi
Budžeta ieņēmumi 2025. gadā plānoti 61 794 402 euro apmērā, un tos veido nodokļu un nenodokļu ieņēmumi (nodevas, naudas sodi un sankcijas), ieņēmumi no pašvaldības īpašumu pārdošanas, iestāžu sniegtajiem maksas pakalpojumiem un citiem pašu ieņēmumiem, kā arī transferti (mērķdotācijas, kas tiek saņemtas no atsevišķām ministrijām un pašvaldībām un paredzētas galvenokārt pedagogu darba samaksai, kā arī ES fondu finansēto projektu īstenošanai un pašvaldību maksājumiem par izglītības pakalpojumiem).
Pamatbudžeta kontu atlikums 2025. gada 1. janvārī ir 6 694 243 euro.
Ieņēmumi – 2025. gada plāns
Iedzīvotāju ienākuma nodokļa (IIN) prognoze ir 39 439 118 euro.
Nekustamā īpašuma nodokļa (NĪN) prognoze (ieskaitot iepriekšējo gadu parādus) par zemi – 2 082 625 euro, par ēkām – 392 228 euro, par mājokļiem un inženierbūvēm – 736 487 euro.
Dabas resursa nodokļa ieņēmumi plānoti 60 000 euro apmērā un azartspēļu nodokļa ieņēmumi 5 000 apmērā.
Nenodokļu ieņēmumus 309 788 euro apmērā veido valsts un pašvaldības nodevas, naudas sodi un sankcijas, ieņēmumi no pašvaldības īpašumu pārdošanas.
Valsts mērķdotācija pedagogu un treneru atalgojumam, mācību grāmatām, brīvpusdienām, programmai "Skolas soma", māksliniecisko kolektīvu vadītāju atalgojumam, sociālo asistentu pakalpojumu nodrošināšanai, ceļu uzturēšanai un dotācija Ukrainas pilsoņu atbalstam plānota 9 758 404 euro apmērā.
2025. gadā plānots saņemt Eiropas Savienības struktūrfondu līdzekļus 7 860 297 euro apmērā.
Norēķiniem starp pašvaldībām par izglītojamajiem, kas deklarēti citās pašvaldībās, bet apmeklē Ādažu pašvaldības izglītības iestādes, un citi ieņēmumi no citām pašvaldībām plānoti 350 000 euro.
Ieņēmumi par maksas pakalpojumiem, u.c. pašu ieņēmumi ir plānoti 800 455 euro apmērā, tajā skaitā, vecāku maksa par bērnu interešu pulciņu apmeklēšanu pirmsskolas izglītības iestādēs, Mākslu skolā, Ādažu Bērnu un jaunatnes sporta skolā, ieņēmumi par telpu un zemes nomu, u.c.
Izdevumi
Budžeta izdevumi plānoti 71 564 822 euro apmērā un Valsts kases aizņēmumu pamatsummu atmaksas 2025. gadā plānotas 3 467 035 euro apmērā.
Izdevumi – 2025. gada plāns
Vispārējie valdības dienesti – 12 264 534 euro
Izdevumi paredz līdzekļus domes darbības nodrošināšanai, finanšu vadībai un klientu apkalpošanai, t.sk.:
• iemaksa pašvaldību finanšu izlīdzināšanas fondā 6 917 724 euro
• domes pārvalde 2 120 144 euro
• Informācijas tehnoloģijas un vispārējas nozīmes dienestu darbība un pakalpojumi – datortīkla uzturēšana 517 465 euro
• deputātu atlīdzība 377 185 euro
• komisiju darba atalgojums 229 585 euro
• aizņēmumu procentu maksājumi Valsts kasei 2 102 431 euro
Sabiedriskā kārtība un drošība – 1 114 238 euro
Izdevumi paredzēti pašvaldības policijas darbības nodrošināšanai, uzturot divas patruļu grupas un vienu vecāko inspektoru/operatīvo dežurantu 24 stundu darba režīmā, nodrošinot pastāvīgu informācijas pieņemšanu no iedzīvotājiem, profilaktisko darbu ar nepilngadīgām personām un izbraukumus uz pārkāpumu vietu.
Ekonomiskās darbības izdevumi – 646 058 euro
• Sabiedriskās attiecības 200 531 euro. Izdevumi paredzēti sabiedrisko attiecību veidošanai, iedzīvotāju informēšanai, pašvaldības informatīvā izdevuma un gada kalendāra publicēšanai, kā arī domes reprezentatīvajiem izdevumiem.
• Autoceļa fonda izlietojums 445 527 euro, kas paredzēts pašvaldības ceļu uzturēšanai.
Dabas resursu nodokļa summa 225 687 euro plānoti dabas resursu nodokļa apmaksai, ietekmes uz vidi ziņojuma izstrādei smilts atradnei "ASNI" 36 22 euro un Laveru sūkņu stacijas pārbūvei 111 646 euro (kopējā projekta izmaksu summa 175 500 euro).
Pašvaldības teritoriju un mājokļu apsaimniekošana 18 129 422 euro
Rezerves fonds neparedzētiem gadījumiem – 70 000 euro.
Līdzdalības budžets – 52 568 euro.
Ādažu novada būvvalde – 333 393 euro.
Teritorijas plānošanas nodaļa – 334 779 euro, t.sk. 40 600 euro gala norēķins par "Ādažu novada transporta attīstības plāna" izstrādi.
Nekustamā īpašuma nodaļa – 242 016 euro, t.sk., 30 000 euro nekustamā īpašuma iegāde – zeme zem garāžu kompleksa Alderu ielā 33, Baltezerā, un 35 000 euro SIA "Ādažu ūdens" nododamo zemes gabalu atdalīšanai.
Attīstības un projektu nodaļa 524 909 euro. Šajā pozīcijā ir iekļautas izmaksas projektu dokumentāciju un priekšizpētes izmaksām, kā arī izmaksas dažādu novada konkursu un pasākumu finansēšanai.
Pārējie izdevumi paredzēti apsaimniekošanas pamatdarbību veikšanai, labiekārtošanai un investīciju projektiem:
• 2025. gadā nozīmīgākie ārējo finanšu instrumentu un pašvaldības līdzfinansētie investīciju projekti un konkursi (8 350 098 euro, t. sk. ārfinansējums 5 957 385 euro; aizņēmuma līdzekļi 2 098 792 euro):
○ maģistrālā veloceļa izbūve Rīga–Carnikava 4 425 220
○ "Mobilitātes punkta infrastruktūras izveidošana Rīgas metropoles areālā – "Carnikava"" 985 558
○ projekts "Infrastruktūras uzlabošana uzņēmējdarbības attīstībai Ādažos" 950 824
○ dalība "LIFE_BauhausingEurope" projektā – pašvaldības ēkas atjaunošana un tās apkaimes pārveidošana 434 122
○ "Blusu" kroga pārbūves tehniskā projekta izstrāde 416 333
○ Krastupes ielas projekts 387 128
○ jaunais plūdu projekts – 2.1.3.2. "Nacionālas nozīmes plūdu un krasta erozijas pasākumi" 1. daļa 255 685
○ Gaujas pretplūdu projekta realizācija 191 255
○ publiskās ārtelpas izveidošanas projekts Gaujas ielā 31, Ādažos 138 477
○ projekts "Sabiedrība ar dvēseli" un iedzīvotāju iniciatīvas un konkursi 51 400
○ TEP "Atjaunojamo energoresursu izmantošana Ādažu novadā" (EUCF) 49 346
○ "Upesceļi II/Ūdenstūrisma pieejamības veicināšana (RiverwaysII/ Facilitating access to watertourism activities)" 34 550
○ Rīgas plānošanas reģiona un Ādažu uzņēmējdarbības veicināšanas programmas izveide 2025. gadā 27 000
○ projekts jauniešu asociāciju federācija Eiropas mobilitātei. CERV programmas projekts "YOUTth and democracy: empowering Europe's next generation" 3 200
• 8 248 659 euro – pašvaldības teritorijas un objektu apsaimniekošanai, izveidošanai, labiekārtošanai un uzturēšanai.
Nozīmīgākās pozīcijas 2025. gadā:
○ teritorijas, ielu un īpašumu apsaimniekošana 5 767 122
○ Investīcijas ceļu, ielu infrastruktūras attīstībā un uzlabošanā 1 825 310
▪ dubultās virsmas apstrāde (367 000 euro):
– Skolas iela 0,77 km, Ādaži – daļa dubultās virsmas apstrāde, daļa gājēju ietve, bruģis, satiksmes organizācija 265 000
– Pļavu iela 0,46 km, Ādaži 50 000
– Āpšu ielas 0,4 km divkāršā virsmas apstrāde, Garciems 48 000
– Jūras ielā 1,2 km vienkārtas virsmas apstrāde, Carnikava 35 000
– Bērzu iela 0,29 km, Ādaži 32 000
– Depo iela 0,185 km, Ādaži 22 000
▪ seguma atjaunošana – asfaltbetons (1 175 000 euro, t.sk., 510 000 euro aizņēmuma līdzekļi):
– Dzirnupes ielas tilta pārbūve I kārta 600 000
– Ķiršu ielas pārbūve 0,17 km 345 000
– Torņu ielas asfaltbetona seguma atjaunošana 0,35 km 110 000
– L. Azarovas ielas tilta pārbūve uz caurteku (projektēšana 20 000 euro, izbūve 40 000 euro). Kopējā summa 2025.–2026. gadā 210'000 euro 60 000
– Gaujas dambja virskārtas uzlabošana 60 000
▪ satiksmes organizācija (45 000 euro):
– satiksmes organizācijas uzlabošana (paskaidrojuma raksti, gājēju pārejas un to apgaismojums (Austrumu iela, Kadaga) 45 000
▪ projektēšana (153 310 euro):
– Smilšu ielas pārbūve projekts, Carnikava 70 000
– Attekas ielas turpinājums 0,5 km 39 800
– Dzirnupes ielas tilta projekts, Carnikava 37 510
– Sienāžu ielas projekts 6 000
○ Investīcijas vides pārvaldībā un uzlabošanā 418 784
▪ Baltezera kapu atmežotajā daļā ceļu un celiņu izveidošana 154 143
▪ Laveru sūkņu stacijas pārbūve – kopējās projekta izmaksas 175 500 euro, kur 111 646 euro no dabas resursu nodokļa uzkrājuma un 63 854 euro no teritorijas uzturēšanas izmaksu sadaļas
▪ Mangaļu sūkņu stacijas pārbūves projektēšana 50 000
▪ Baltezera kapos ceļu ierīkošana (apkalpojošais transports un atkritumu izvešana) 50 000
▪ attālināta monitoringa sistēma sūkņu stacijām un slūžām 33 000
▪ caurteku pārbūve Ādažu novadā 20 000
▪ Cemety programmas iegāde un uzstādīšana Baltezera kapiem 15 830
▪ ekspertu atzinumi Carnikavas kapsētas paplašināšanai (VVD prasība) 10 000
▪ Carnikavas kapu paplašināšanas projekts 8 000
▪ Baltezera Komunistiskā masu terora upuru pieminekļa remonts 7 100
▪ ieguvumu analīze un būvprojekta izstrāde atkritumu dalītās vākšanas laukumam, Carnikavā 6 857
○ Investīcijas energosaimniecības uzlabošanā 237 443
▪ Ielu apgaismojuma projekta izstrāde un būvniecība posmā no dzelzceļa stacijas Gauja līdz ciemam Kāpas 96 400
▪ Ielas apgaismojuma izbūve un projektēšana Attekas iela, Ādažos 45 000
▪ Ielu apgaismojuma projekta izstrāde un būvniecība Rūpnieku iela, Carnikavā (350 m) 40 000
▪ Siltumtīkla pieslēguma būvprojekts un būvniecība, Gaujas iela 16, Ādaži 37 043
▪ Inču ielas apgaismojuma izbūve, gaisvada izbūve 300 m 15 000
▪ Ielu apgaismojuma pārbūves projekts Liepu un Tulpju iela Carnikava (no Tulpju 5 pa Liepu ielu līdz Ziedlejām) 4 000
Atpūta, kultūra, sports un reliģija – 2 552 007 euro
• Ādažu novada kultūras centram 793 277 euro, t.sk., novada svētkiem un pasākumiem 259 950 euro, 2025. gadā plānots turpināt skatuves gaismu sistēmu nomaiņu uz energoefektīvu aprīkojumu.
• Carnikavas kultūras namam "Ozolaine" 526 028 euro, t.sk., novada svētkiem un pasākumiem 223 900 euro.
• Carnikavas novadpētniecības centram 185 916 euro.
• Tūrismam 30 299 euro.
• Ādažu bibliotēkai 158 076 euro.
• Carnikavas bibliotēkai 73 071 euro.
• Sportam un sporta infrastruktūrai 762 112 euro, t.sk.:
○ atbalstam sportistiem un sporta organizācijām 114 488
○ sporta pasākumu rīkošanai 65 130
○ āra trenažieru uzstādīšana pie Ādažu stadiona 25 120
○ Carnikavas skeitparka projektēšana 10 000
• evaņģēliski luterisko draudžu atbalstam 4 000 euro.
• Multifunkcionālās zāles uzturēšanai 19 228 euro.
Izglītība – 33 093 948 euro
• pirmsskolas izglītības iestādei "Strautiņš" 2 529 158 euro, t.sk. mērķdotācija pedagogu darba samaksai un mācību līdzekļiem 361 243 euro.
Investīcijas:
| ○ interneta tīkla sakārtošana |
57 106 |
| ○ fasādes remonts |
45 000 |
| ○ atbalsta sienas demontāža un montāža pie iestādes galvenās ieejas |
30 000 |
| ○ jumta seguma remonts/maiņa 13 grupu nojumēs |
26 000 |
| ○ jumta remonts virs 5 grupiņām un ziemas dārza |
18 000 |
| ○ nožogojuma pārvietošana pie garāžām, atbilstoši plānam |
15 000 |
| ○ tauku uztvērējs virtuves kanalizācijai |
7 000 |
| ○ garāžu demontāža un utilizācija (ārpakalpojums) |
5 990 |
| ○ mazā un lielā baseina membrāna |
4 000 |
| ○ baseina pretaļģu dozācijas sistēma |
2 600 |
| ○ esošā žoga demontāža, jauna izbūve |
2 374 |
• pirmsskolas izglītības iestādei "Mežavēji" 1 499 060 euro, t.sk., mērķdotācija pedagogu darba samaksai un mācību līdzekļiem 144 697 euro.
2025. gadā plānots virvju trases papildinājums, kam ieplānoti 10 000 euro.
• pirmsskolas izglītības iestādei "Riekstiņš" 1 850 322 euro, t.sk. mērķdotācija pedagogu darba samaksai un mācību līdzekļiem 200 053 euro.
2025. gadā plānotas sekojošas investīcijas:
| ○ rotaļiekārtu un seguma maiņa rotaļu laukumā |
96 000 |
| ○ saules kolektori – karstā ūdens sagatavošanai no aprīļa līdz septembrim |
9 300 |
• pirmsskolas izglītības iestādei "Piejūra" 1 570 891 euro, t.sk. mērķdotācija pedagogu darba samaksai un mācību līdzekļiem 263 376 euro.
• Carnikavas vidusskolai 2 754 926 euro, t.sk.:
| ○ mērķdotācija pedagogu darba samaksai, mācību līdzekļiem un ēdināšanai |
1 634 439 |
| ○ projektu "Erasmus+" un "NordPlus" realizācijai |
76 968 |
| ○ projekta "Skolas soma" realizācijai |
11 200 |
2025. gadā plānotais sekojošas investīcijas:
| ○ tērpi deju kolektīvam |
6 080 |
| ○ datorklases datoru nomaiņa (25 gab.) |
17 500 |
• Ādažu vidusskolai 8 902 379 euro, t.sk.:
| ○ mērķdotācija pedagogu darba samaksai, mācību līdzekļiem |
4 620 627 |
| ○ pirmsskolas izglītības nodrošināšanai un uzturēšanai |
247 845 |
| ○ projektu "Erasmus+" realizācijai |
51 949 |
| ○ mērķdotācija izglītojamo ēdināšanai sākumskolā |
263 797 |
| ○ projekta "Skolas soma" realizācijai |
41 000 |
Investīcijas:
| ○ Ādažu vidusskolas ēkas A korpusa, savienojuma daļas starp korpusiem (A un B), vidusskolas centrālās daļas, tai skaitā torņa fasādes atjaunošana |
542 914 |
| ○ Ādažu vidusskolas D korpusa siltināšana |
300 000 |
| ○ āra lifta izbūve pie A korpusa |
100 000 |
| ○ flīžu demontāža/sienu remonts Centrālā kāpņutelpa, D korpuss |
50 000 |
| ○ tautas tērpi bērnu Dziesmusvētkiem svētkiem |
35 691 |
| ○ skolēnu galdi un krēsli |
35 000 |
| ○ gumijas seguma nomaiņa rotaļu laukumā sākumskolas iekšpagalmā |
26 620 |
| ○ interaktīvie displeji matemātikas, angļu val. un ķīmijas kabinetos |
12 500 |
| ○ taburetes sākumskolas ēdamzālei |
10 000 |
• Ādažu novada Mākslu skolai 1 819 829 euro, t.sk.:
| ○ mērķdotācija pedagogu darba samaksai |
735 359 |
| ○ tērpu iegāde bērnu Dziesmusvētkiem |
11 400 |
• Ādažu Bērnu un jaunatnes sporta skolai 845 947 euro, t.sk. mērķdotācija pedagogu darba samaksai 313 283 euro.
• finansējums, kas pārskaitāms citām pašvaldībām par izglītības pakalpojumiem, jo bērni no Ādažu novada apmeklē izglītības iestādes citos novados plānots 851 975 euro apmērā.
• finansējums bērnu uzturēšanai privātajās izglītības iestādēs 3 805 461 euro.
• Izglītības un jaunatnes lietu pārvaldei 511 477 euro, t.sk.:
○ skolēnu vasaras nodarbinātība 82 353
○ radošajām darbnīcām vasarā 39 400
○ labāko skolēnu apbalvošanai 25 720
○ sabiedriskā transporta izdevumu apmaksu profesionālo skolu izglītojamo nokļūšanai uz mācību iestādēm speciālajām izglītības iestādēm 20 000
○ mācību jomu koordinātora un pedagoģiski medicīniskās komisijas pakalpojums 19 885
○ projekta "Digitālā darba ar jaunatni sistēmas attīstība pašvaldībā" priekšfinansējums 10 480
○ novada pedagogu ikgadējā konference 6 000
○ jauniešu iniciatīvu projektu finansēšanai 4 000
○ rezerve skolēnu līdzfinansējumam dalībai konkursos 3 000
• Jaunas pirmsskolas izglītības iestādes būvniecība Podniekos 5 600 179
• Teritorijas novērtēšana pirms būvprojekta izstrādes un būvprojekts jaunas pamatskolas izveidei Ādažu pilsētā 267 067
• Latvijas Skolu jaunatnes dziesmu un deju svētki 285 277
Sociālā aizsardzība 3 538 928 euro, t.sk.:
• dažādu veidu pabalstiem 1 540 233
• mērķdotācijai asistentu pakalpojumiem 580 000
• daudzbērnu ģimeņu atbalstam un atbalsta sistēmas nodrošināšanai 217 400
• pabalsts/ līdzfinansējums par ēdināšanu (EUR 1/dienā 5.–9. klase) 180 000
• valsts dotācija Ukrainas pilsoņu atbalstam 70 604
• deinstitucionalizācijas centra uzturēšanai 444 938
• zupas virtuve 25 410
• iniciatīvas projektu konkursam biedrībām 15 000
• Ādažu novada bāriņtiesas darbības nodrošināšanai 158 418
• ANM pasākuma "Atbalsta pasākumi cilvēkiem ar invaliditāti mājokļu vides pieejamības nodrošināšanai" projekts 44 312
• Pasākumi vietējās sabiedrības veselības veicināšanai 44 830
Pašvaldības aizņēmumi un galvojumi
Saskaņā ar aizņēmumu līgumiem ar Valsts kasi un plānotajiem aizņēmumiem, 2025. gadā paredzēts atmaksāt aizņēmumu pamatsummas 3 467 034 euro.
2025. gadā pašvaldība paredz aizņēmumus Valsts kasē 6 608 118 euro apmērā Eiropas Savienības struktūrfondu līdzfinansētiem projektiem, Jaunas pirmsskolas izglītības iestādes būvniecībai Podniekos, Ādažu vidusskolas atjaunošanai kā arī infrastruktūras uzlabošanai.
Kopumā 2025. gada Ādažu novada pašvaldības budžets ir vērtējams kā pašvaldības funkciju izpildi līdzšinējā kvalitātē nodrošinošs budžets ierobežotas finanšu pieejamības apstākļos, kas saistīta galvenokārt ar valsts definēto 2025. gada valsts budžeta prioritāti – drošība, kā rezultātā pašvaldībām tās budžetos ir ļoti nenozīmīgs ieņēmumu pieaugums.
Ādažu novada pašvaldības domes priekšsēdētāja K. Miķelsone
4. pielikums
Ādažu novada pašvaldības
2025. gada 22. janvāra
saistošajiem noteikumiem Nr. 1/2025
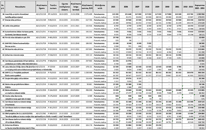
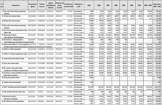
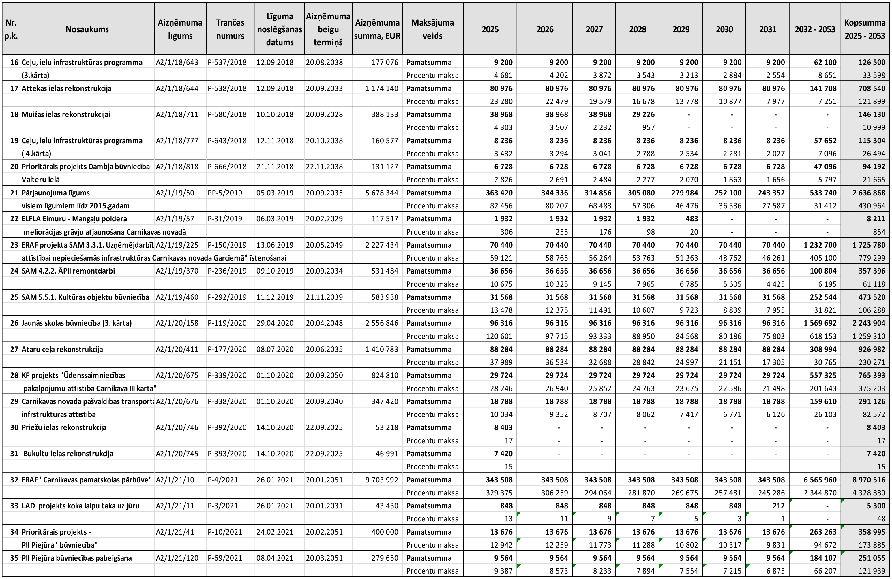
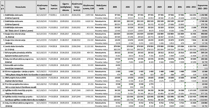
Aizņēmumu un citu ilgtermiņa saistību pārskats
Ādažu novada pašvaldības domes priekšsēdētāja K. Miķelsone
5. pielikums
Ādažu novada pašvaldības
2025. gada 22. janvāra
saistošajiem noteikumiem Nr. 1/2025
Ieņēmumu un izdevumu sadalījums pa funkcionālajām kategorijām un ekonomiskās klasifikācijas kodiem
|
Ieņēmumu avoti un izdevumi atbilstīgi funkcionālajām un ekonomiskajām kategorijām |
2025. gada plāns |
|
| KOPĀ IEŅĒMUMI AR FINANSĒŠANU |
75 096 763 |
|
| I. | KOPĀ IEŅĒMUMI |
61 794 402 |
| 1.0.0.0. | Ienākuma nodokļi |
39 439 118 |
| 4.0.0.0. | Īpašuma nodokļi |
3 211 340 |
| 5.0.0.0. | Nodokļi par pakalpojumiem un precēm |
65 000 |
| 8.0.0.0. | Ieņēmumi no uzņēmējdarbības un īpašuma |
20 000 |
| 9.0.0.0. | Valsts (pašvaldību) nodevas un kancelejas nodevas |
144 060 |
| 10.0.0.0. | Naudas sodi un sankcijas |
130 000 |
| 12.0.0.0. | Pārējie nenodokļu ieņēmumi |
15 728 |
| 13.0.0.0. | Ieņēmumi no pašvaldības īpašumu pārdošanas |
– |
| 18.0.0.0. | Valsts budžeta transferti |
17 627 162 |
| 19.0.0.0. | Pašvaldību budžetu transferti |
350 000 |
| 21.0.0.0. | Maksas pakalpojumi un citi pašu ieņēmumi |
791 994 |
| F 40020010 | Aizņēmumi Valsts kasē |
6 608 118 |
| F 40320010 | Naudas līdzekļu atlikums |
6 694 243 |
| II. | KOPĀ IZDEVUMI AR FINANSĒŠANU |
75 031 856 |
| II.1 | Izdevumi atbilstoši funkcionālajām kategorijām |
71 564 822 |
| 01.000 | Vispārējie valdības dienesti |
12 264 534 |
| 03.000 | Sabiedriskā kārtība un drošība |
1 114 238 |
| 04.000 | Ekonomiskā darbība |
646 058 |
| 05.000 | Vides aizsardzība |
225 687 |
| 06.000 | Teritoriju un mājokļu apsaimniekošana |
18 129 422 |
| 08.000 | Atpūta, kultūra un reliģija |
2 552 007 |
| 09.000 | Izglītība |
33 093 948 |
| 10.000 | Sociālā aizsardzība |
3 538 928 |
| F 40320020 | Aizņēmumu atmaksa |
3 467 034 |
| II.2 | Izdevumi atbilstoši ekonomiskajām kategorijām |
75 031 856 |
| 1000 | Atlīdzība |
25 844 773 |
| 2000 | Preces un pakalpojumi |
11 669 472 |
| 3000 | Subsīdijas un dotācijas |
259 373 |
| 4000 | Procentu izdevumi |
2 102 431 |
| 5000 | Pamatkapitāla veidošana |
18 281 219 |
| 6000 | Sociālie pabalsti |
1 642 214 |
| 7000 | Uzturēšanas izdevumu transferti, pašu resursu maksājumi, starptautiskā sadarbība |
11 765 340 |
| F 40320020 | Aizņēmumu atmaksa |
3 467 034 |
Ādažu novada pašvaldības domes priekšsēdētāja K. Miķelsone