
Ādažu novada domes saistošie noteikumi: Šajā laidienā 5 Pēdējās nedēļas laikā 0 Visi
Ādažu novada pašvaldības domes saistošie noteikumi Nr. 33/2025
Ādažos 2025. gada 28. augustā
Grozījumi Ādažu novada pašvaldības domes 2025. gada 22. janvāra saistošajos noteikumos Nr. 1/2025 "Par Ādažu novada pašvaldības budžetu 2025. gadam"
APSTIPRINĀTI
ar Ādažu novada pašvaldības domes
2025. gada 28. augusta sēdes lēmumu
(prot. Nr. 20 § 56)
Izdoti saskaņā ar Pašvaldību likuma
10. panta pirmās daļas 1. punktu un 48. pantu,
likuma "Par pašvaldību budžetiem" 16. un 17. pantu
un likuma "Par budžetu un finanšu vadību" 6. pantu
Izdarīt Ādažu novada pašvaldības domes 2025. gada 22. janvāra saistošajos noteikumos Nr. 1/2025 "Par Ādažu novada pašvaldības budžetu 2025. gadam" šādus grozījumus:
1. Izteikt noteikumu 2. punkta 2.3., 2.3.1., 2.3.2., 2.3.3. un 2.3.4. apakšpunktus šādā redakcijā:
2.3. "pamatbudžets 2025. gadā (1. pielikums):
2.3.1. ieņēmumi - EUR 62 327 601;
2.3.2. izdevumi - EUR 71 826 653;
2.3.3. plānotie aizņēmumi - EUR 6 668 106;
2.3.4. atmaksājamā summa Valsts kases kredītiem
(2. pielikums) - EUR 3 702 737".
Ādažu novada pašvaldības domes priekšsēdētāja K. Miķelsone
1. pielikums
Ādažu novada pašvaldības domes 2025. gada 28. augusta saistošajiem noteikumiem
Nr. 33/2025 "Grozījumi Ādažu novada pašvaldības domes 2025. gada 22. janvāra
saistošajos noteikumos Nr. 1/2025 "Par Ādažu novada pašvaldības budžetu 2025.
gadam""
Pamatbudžets 2025. gadam
IEŅĒMUMU DAĻA
|
Klasifikācijas kods |
Nr.p.k. |
Sadaļa |
26.06.2025. grozījumi |
28.08.2025. grozījumi |
Izmaiņas |
| 1.-5. | Nodokļu ieņēmumi |
41 763 189 |
41 763 189 |
|
|
| 1.1.0.0. | 1. | Iedzīvotāju ienākuma nodoklis |
38 486 849 |
38 486 849 |
|
| 1.1. | pārskata gada |
38 486 849 |
38 486 849 |
|
|
| 2.-4. | Nekustamā īpašuma nodokļu ieņēmumi |
3 211 340 |
3 211 340 |
|
|
| 4.1.1.0. | 2. | Nekustamā īpašuma nodoklis par zemi |
2 082 625 |
2 082 625 |
|
| 2.1. | pārskata gada |
1 945 625 |
1 945 625 |
|
|
| 2.2. | iepriekšējo gadu parādi |
137 000 |
137 000 |
|
|
| 4.1.2.0. | 3. | Nekustamā īpašuma nodoklis par ēkām |
392 228 |
392 228 |
|
| 3.1. | pārskata gada |
362 228 |
362 228 |
|
|
| 3.2. | iepriekšējo gadu parādi |
30 000 |
30 000 |
|
|
| 4.1.3.0. | 4. | Nekustamā īpašuma nodoklis par mājokļiem un inženierbūvēm |
736 487 |
736 487 |
|
| 4.1. | pārskata gada |
665 899 |
665 899 |
|
|
| 4.2. | iepriekšējo gadu parādi |
70 588 |
70 588 |
|
|
| 5.5.3.0. | 5. | Nodokļi un maksājumi par tiesībām lietot atsevišķas preces |
65 000 |
65 000 |
|
| 5.1. | Azartspēļu nodoklis |
5 000 |
5 000 |
|
|
| 5.2. | Dabas resursu nodoklis |
60 000 |
60 000 |
|
|
| 9.0.0.0. | 6. | Valsts (pašvaldību) un kancelejas nodevas |
144 060 |
144 060 |
|
| 6.1. | valsts nodevas |
6 100 |
6 100 |
|
|
| 6.1.1. | t.sk.: - par apliecinājumiem un citu funkciju pildīšanu bāriņtiesā |
1 100 |
1 100 |
|
|
| 6.1.2. | t.sk.: - par civilstāvokļa aktu reģistrēšanu, grozīšanu un papildināšanu |
4 500 |
4 500 |
|
|
| 6.1.3. | t.sk.: - pārējās valsts nodevas, kuras ieskaita pašvaldību budžetā |
500 |
500 |
|
|
| 6.2. | pašvaldību nodevas |
137 960 |
137 960 |
|
|
| 6.2.1. | t.sk.: - nodeva par domes izstrādāto oficiālo dokumentu saņemšanu |
100 |
100 |
|
|
| 6.2.2. | t.sk.: - nodeva par izklaidējoša rakstura pasākumu sarīkošanu publiskās vietās |
1 860 |
1 860 |
|
|
| 6.2.3. | t.sk.: - nodeva par tirdzniecību publiskās vietās |
33 000 |
33 000 |
|
|
| 6.2.4. | t.sk.: - nodeva par reklāmas, afišu un sludinājumu izvietošanu publiskās vietās |
13 000 |
13 000 |
|
|
| 6.2.5. | t.sk.: - nodeva par būvatļaujas saņemšanu |
85 000 |
85 000 |
|
|
| 6.2.6. | t.sk.: - pārējās nodevas |
5 000 |
5 000 |
|
|
| 10.0.0.0. | 7. | Naudas sodi un sankcijas |
130 000 |
130 000 |
|
| 7.1. | Naudas sodi un sankcijas |
90 000 |
90 000 |
|
|
| 7.2. | Naudas sodi par pārkāpumiem ceļu satiksmē |
40 000 |
40 000 |
|
|
| 12.0.0.0. | 8. | Pārējie nenodokļu ieņēmumi |
35 728 |
35 728 |
|
| 8.1. | citi nenodokļu ieņēmumi |
25 728 |
25 728 |
|
|
| 8.2. | līgumsodi un procentu maksājumi par saistību neizpildi |
- |
- |
|
|
| 8.3. | ieņēmumi no zvejas tiesību nomas |
10 000 |
10 000 |
|
|
| 13.0.0.0. | 9. | Ieņēmumi no pašvaldības īpašumu pārdošana |
- |
159 278 |
159 278 |
| 18.6.0.0. | 10. | Valsts budžeta transferti un projektu finansējums |
18 904 660 |
18 933 391 |
28 731 |
| 10.1. | Valsts budžeta transferti |
10 023 614 |
10 078 697 |
55 083 |
|
| 10.1.1. | dotācija mākslas skolas algām |
718 764 |
718 764 |
|
|
| 10.1.2. | dotācija sporta skolai |
313 180 |
313 180 |
|
|
| 10.1.3. | dotācija skolēnu ēdināšanai |
341 692 |
341 692 |
|
|
| 10.1.4. | dotācija mācību grāmatām |
117 542 |
117 542 |
|
|
| 10.1.4.1. | t.sk.: - dotācija mācību grāmatām |
117 542 |
117 542 |
|
|
| 10.1.4.2. | t.sk.: - dotācija digitālajiem mācību līdzekļiem |
|
|
|
|
| 10.1.5. | dotācijas pedagogu algām (vsk., PII) |
7 137 676 |
7 137 676 |
|
|
| 10.1.5.1. | t.sk.: - piecgadīgo bērnu apmācība |
1 065 868 |
1 065 868 |
|
|
| 10.1.5.2. | t.sk.: - skolotāju algām |
5 542 646 |
5 542 646 |
|
|
| 10.1.5.3. | t.sk.: - interešu izglītība |
529 162 |
529 162 |
|
|
| 10.1.6. | dotācija māksliniecisko kolektīvu vadītāju atalgojumam |
26 360 |
26 360 |
|
|
| 10.1.7. | Projekts "Skolas soma" Ādaži |
37 535 |
37 535 |
|
|
| 10.1.8. | Projekts "Skolas soma" Carnikava |
11 142 |
11 142 |
|
|
| 10.1.9. | dotācija asistenta pakalpojumu nodrošināšanai |
580 000 |
580 000 |
|
|
| 10.1.10. | valsts dotācija ceļu uzturēšanai |
406 576 |
406 576 |
|
|
| 10.1.11. | dotācijas Ukrainas pilsoņu atbalstam |
70 000 |
70 000 |
|
|
| 10.1.12. | dotācijas nodarbinātības pasākumiem |
12 607 |
12 607 |
|
|
| 10.1.13. | EKII |
- |
38 052 |
38 052 |
|
| 10.1.14. | pārējās dotācijas |
250 540 |
267 571 |
17 031 |
|
| 18.6.3.0. | 10.2. | ES struktūrfondu līdzekļi un aktivitāšu līdzfinansējumi |
7 928 777 |
7 902 425 |
-26 352 |
| 10.2.1. | Projekts "Infrastruktūras uzlabošana uzņēmējdarbības attīstībai Ādažos" |
638 646 |
638 646 |
|
|
| 10.2.2. | Publiskās ārtelpas izveide Gaujas ielā 31 Ādažos |
103 070 |
103 070 |
|
|
| 10.2.3. | LIFE NewBauhaus projekts |
267 455 |
267 455 |
|
|
| 10.2.4. | Jaunais plūdu projekts - 2.1.3.2. "Nacionālas nozīmes plūdu un krasta erozijas pasākumi" 1. daļa |
217 332 |
217 332 |
|
|
| 10.2.5. | Krastupes ielas projekts |
308 659 |
308 659 |
|
|
| 10.2.6. | EKII |
38 052 |
- |
-38 052 |
|
| 10.2.7. | Jaunas pirmsskolas izglītības iestādes Podniekos būvniecība |
2 500 000 |
2 500 000 |
|
|
| 10.2.8. | Projekts "Digitālā darba ar jaunatni sistēmas attīstība pašvaldībās" |
30 428 |
30 428 |
|
|
| 10.2.9. | "Mobilitātes punkta infrastruktūras izveidošana Rīgas metropoles areālā – "Carnikava"" |
830 550 |
830 550 |
|
|
| 10.2.10. | Maģistrālā veloceļa izbūve Rīga-Carnikava |
2 661 252 |
2 661 252 |
|
|
| 10.2.11. | "Blusu" kroga pārbūves tehniskā projekta izstrāde |
333 333 |
333 333 |
|
|
| 10.2.12. | LEADER projektu realizācija |
|
11 700 |
11 700 |
|
| 10.3. | IIN budžeta dotācija |
952 269 |
952 269 |
|
|
| 19.2.0.0. | 11. | Pašvaldību budžeta transferti |
350 000 |
350 000 |
|
| 11.1. | no citām pašvaldībām izglītības funkciju nodrošināšanai |
350 000 |
350 000 |
|
|
| 21.0.0.0. | 12. | Budžeta iestāžu ieņēmumi |
811 955 |
811 955 |
|
| 12.1. | maksa par izglītības pakalpojumiem |
219 800 |
219 800 |
|
|
| 12.1.1. | ieņēmumi no vecāku maksām (PII) |
61 000 |
61 000 |
|
|
| 12.1.2. | ieņēmumi no vecāku maksām (ĀNMS, BJSS) |
158 800 |
158 800 |
|
|
| 12.2. | pārrobežu projektu ieņēmumi |
60 812 |
60 812 |
|
|
| 12.2.1. | ERASMUS + projekti |
60 812 |
60 812 |
|
|
| 12.2.2. | citi pārrobežu projektu ieņēmumi |
- |
- |
|
|
| 12.3. | ieņēmumi par nomu un īri |
332 370 |
332 370 |
|
|
| 12.3.1. | ieņēmumi par telpu nomu |
236 370 |
236 370 |
|
|
| 12.3.2. | ieņēmumi par zemes nomu |
96 000 |
96 000 |
|
|
| 12.3.3. | pārējie ieņēmumi par nomu |
- |
- |
|
|
| 12.4. | budžeta iestāžu maksas pakalpojumi |
98 350 |
98 350 |
|
|
| 12.4.1. | budžeta iestāžu maksas pakalpojumi |
98 350 |
98 350 |
|
|
| 12.4.2. | ieņēmumi no biļešu realizācijas |
- |
- |
|
|
| 12.5. | pārējie ieņēmumi/stāvvietu ieņēmumi |
100 623 |
100 623 |
|
|
|
KOPĀ IEŅĒMUMI: |
62 139 592 |
62 327 601 |
188 009 |
||
| F21010000 AS | 13. | Naudas līdzekļu atlikums gada sākumā |
6 694 243 |
6 694 243 |
|
| 13.1. | Naudas atlikums iezīmētiem mērķiem |
1 040 957 |
1 040 957 |
|
|
| 13.2. | Naudas atlikums pašvaldības līdzekļi |
5 653 286 |
5 653 286 |
|
|
| F40020010 | 14. | Valsts Kases kredīti |
6 668 106 |
6 668 106 |
|
| 14.1. | Aizņēmums skolas ielas rekonstrukcijai |
85 000 |
85 000 |
|
|
| 14.2. | Jaunas pirmsskolas izglītības iestādes Podniekos būvniecība |
3 100 179 |
3 100 179 |
|
|
| 14.3. | Āra lifta izbūve pie A korpusa |
85 000 |
85 000 |
|
|
| 14.4. | Ādažu vidusskolas D korpusa siltināšana |
255 000 |
255 000 |
|
|
| 14.5. | Ādažu vidusskolas ēkas A korpusa, savienojuma daļas starp korpusiem (A un B), kā arī, vidusskolas centrālās daļas, tai skaitā torņa fasādes atjaunošana. |
474 147 |
474 147 |
|
|
| 14.6. | Dzirnupes ielas tilta pārbūve I kārta |
510 000 |
510 000 |
|
|
| 14.7. | Projekts "Infrastruktūras uzlabošana uzņēmējdarbības attīstībai Ādažos" |
295 238 |
295 238 |
|
|
| 14.8. | Krastupes ielas projekts |
70 622 |
70 622 |
|
|
| 14.9. | "Mobilitātes punkta infrastruktūras izveidošana Rīgas metropoles areālā – "Carnikava"" |
183 524 |
183 524 |
|
|
| 14.10. | Maģistrālā veloceļa izbūve Rīga-Carnikava |
1 609 396 |
1 609 396 |
|
|
|
KOPĀ PIEEJAMAIS FINANSĒJUMS: |
75 501 941 |
75 689 950 |
188 009 |
||
IZDEVUMU DAĻA
|
Klasifikācijas kods |
Nr.p.k. |
Sadaļa |
26.06.2025. grozījumi |
28.08.2025. grozījumi |
Izmaiņas |
| 01.000 | 1. | Vispārējie valdības dienesti |
12 213 884 |
12 225 212 |
11 328 |
| 1.1. | pārvalde |
2 119 494 |
2 119 494 |
|
|
| 1.2. | deputāti |
377 185 |
377 185 |
|
|
| 1.3. | administratīvā komisija |
62 822 |
62 822 |
|
|
| 1.4. | iepirkumu komisija |
45 177 |
45 177 |
|
|
| 1.5. | vēlēšanu komisija |
88 097 |
88 097 |
|
|
| 1.6. | pārējās komisijas |
33 489 |
33 489 |
|
|
| 1.7. | aizņēmumu procentu maksājumi |
2 052 431 |
2 052 431 |
|
|
| 1.8. | Iemaksas PFIF |
6 917 724 |
6 917 724 |
|
|
| 1.9. | Informācijas tehnoloģiju nodaļa, vispārējas nozīmes dienestu darbība un pakalpojumi - datortīkla uzturēšana |
517 465 |
528 793 |
11 328 |
|
| 03.000 | 2. | Sabiedriskā kārtība un drošība |
1 129 824 |
1 122 076 |
-7 748 |
| 04.000 | 3. | Ekonomiskā darbība |
646 058 |
646 058 |
|
| 3.1. | Sabiedriskās attiecības, laikraksts |
200 531 |
200 531 |
|
|
| 3.2. | Autoceļu fonds |
445 527 |
445 527 |
|
|
| 05.000 | 4. | Vides aizsardzība |
225 687 |
225 687 |
|
| 4.1. | Dabas resursu nodokļa izlietojums |
225 687 |
225 687 |
|
|
| 06.000 | 5. | Pašvaldības teritoriju un mājokļu apsaimniekošana |
18 000 055 |
18 058 075 |
57 020 |
| 5.1. | Izdevumi neparedzētiem gadījumiem |
70 000 |
70 000 |
|
|
| 5.2. | Līdzdalības budžets |
52 568 |
52 568 |
|
|
| 5.3. | Būvvalde |
333 393 |
333 393 |
|
|
| 5.4. | Teritorijas plānošanas nodaļa |
334 779 |
334 779 |
|
|
| 5.5. | Attīstības un projektu nodaļa |
8 468 555 |
8 499 555 |
31 000 |
|
| 5.5.1. | nodaļa |
530 409 |
560 409 |
30 000 |
|
| 5.5.2. | Projekts "Sabiedrība ar dvēseli" |
40 000 |
40 000 |
|
|
| 5.5.3. | Iedzīvotāju iniciatīvas un konkursi. |
13 400 |
14 400 |
1 000 |
|
| 5.5.4. | TEP "Atjaunojamo energoresursu izmantošana Ādažu novadā" (EUCF) |
49 346 |
49 346 |
|
|
| 5.5.5. | "Mobilitātes punkta infrastruktūras izveidošana Rīgas metropoles areālā – "Carnikava"" |
1 045 546 |
1 045 546 |
|
|
| 5.5.6. | Maģistrālā veloceļa izbūve Rīga-Carnikava |
4 425 220 |
4 425 220 |
|
|
| 5.5.7. | "Upesceļi II/Ūdenstūrisma pieejamības veicināšana (RiverwaysII/Facilitating access to watertourism activities)". |
34 550 |
34 550 |
|
|
| 5.5.8. | Projekts "Infrastruktūras uzlabošana uzņēmējdarbības attīstībai Ādažos" |
950 824 |
950 824 |
|
|
| 5.5.9. | Publiskās ārtelpas izveide Gaujas ielā 31 Ādažos |
138 477 |
138 477 |
|
|
| 5.5.10. | Projekts jauniešu asociāciju federācija Eiropas mobilitātei. CERV programmas projekts "YOUTth and democracy: empowering Europe's next generation" |
3 200 |
3 200 |
|
|
| 5.5.11. | LIFE NewBauhaus projekts |
434 122 |
434 122 |
|
|
| 5.5.12. | "Blusu" kroga pārbūves tehniskā projekta izstrāde. |
416 333 |
416 333 |
|
|
| 5.5.13. | Krastupes ielas projekts |
387 128 |
387 128 |
|
|
| 5.6. | Objektu un teritorijas apsaimniekošana un uzturēšana |
8 740 760 |
8 767 780 |
26 020 |
|
| 5.6.1. | Nekustamā īpašuma nodaļa |
234 016 |
234 016 |
|
|
| 5.6.2. | Jaunais plūdu projekts - 2.1.3.2. "Nacionālas nozīmes plūdu un krasta erozijas pasākumi" 1. daļa |
255 685 |
255 685 |
|
|
| 5.6.3. | P/A "Carnikavas komunālserviss" teritorijas un īpašumu apsaimniekošana |
5 774 573 |
5 856 957 |
82 384 |
|
| 5.6.4. | Investīcijas energosaimniecības uzlabošanā |
237 443 |
237 443 |
|
|
| 5.6.5. | Investīcijas vides pārvaldībā un uzlabošanā |
339 942 |
339 942 |
|
|
| 5.6.6. | Investīcijas ceļu, ielu infrastruktūras attīstībā un uzlabošanā |
1 899 101 |
1 843 737 |
-55 364 |
|
| 08.000 | 6. | Atpūta, kultūra un reliģija |
2 587 421 |
2 591 021 |
3 600 |
| 6.1. | Kultūra |
1 555 520 |
1 559 120 |
3 600 |
|
| 6.1.1. | Ādažu kultūras centrs |
813 277 |
813 277 |
|
|
| 6.1.2. | Tautas nams "Ozolaine" |
526 028 |
526 028 |
|
|
| 6.1.3. | Muzejs un Carnikavas novadpētniecības centrs |
185 916 |
189 516 |
3 600 |
|
| 6.1.4. | Tūrisms |
30 299 |
30 299 |
|
|
| 6.2. | Ādažu bibliotēka |
158 076 |
158 076 |
|
|
| 6.3. | Carnikavas bibliotēka |
73 071 |
73 071 |
|
|
| 6.4. | Sporta daļa |
777 526 |
777 526 |
|
|
| 6.5. | Evaņģēliski luteriskās draudzes |
4 000 |
4 000 |
|
|
| 6.6. | Multihalle |
19 228 |
19 228 |
|
|
| 10.000 | 7. | Sociālā aizsardzība |
3 546 428 |
3 479 428 |
-67 000 |
| 7.1. | Sociālais dienests |
2 768 443 |
2 701 443 |
-67 000 |
|
| 7.1.1. | Sociālās funkcijas nodrošināšana |
646 488 |
646 488 |
|
|
| 7.1.2. | Pabalsti |
1 540 233 |
1 473 233 |
-67 000 |
|
| 7.1.3. | Mērķdotācija |
- |
- |
|
|
| 7.1.4. | Asistentu pakalpojumi |
580 000 |
580 000 |
|
|
| 7.1.5. | Uzturēšanas izdevumi (CKS) |
1 722 |
1 722 |
|
|
| 7.2. | Stipendiāti / bezdarbnieki |
14 883 |
14 883 |
|
|
| 7.3. | SAM 9311 Deinstitucionalizācija - Dienas centrs |
444 938 |
444 938 |
|
|
| 7.3.1. | DI centra uzturēšanas izdevumi |
432 274 |
432 274 |
|
|
| 7.3.2. | DI centra uzturēšanas izdevumi (CKS) |
12 664 |
12 664 |
|
|
| 7.4. | Bāriņtiesa |
158 418 |
158 418 |
|
|
| 7.5. | Dotācijas Ukrainas pilsoņu atbalstam |
70 604 |
70 604 |
|
|
| 7.6. | ANM pasākuma "Atbalsta pasākumi cilvēkiem ar invaliditāti mājokļu vides pieejamības nodrošināšanai" projekts |
44 312 |
44 312 |
|
|
| 7.7. | SAM 9.2.4.2. projekts "Pasākumi vietējās sabiedrības veselības veicināšanai" |
44 830 |
44 830 |
|
|
| 09.000 | 8. | Izglītība |
33 385 173 |
33 479 096 |
93 923 |
| 8.1. | Norēķini ar pašvaldību budžetiem par izglītības iestāžu pakalpojumiem |
851 975 |
851 975 |
|
|
| 8.2. | Ādažu Pirmsskolas izglītības iestāde |
2 535 967 |
2 535 967 |
|
|
| 8.2.1. | pedagogu algas, grāmatas (mērķdotācija) |
368 052 |
368 052 |
|
|
| 8.2.2. | pārējās izmaksas |
1 670 882 |
1 670 882 |
|
|
| 8.2.3. | uzturēšanas izmaksas (CKS) |
497 033 |
497 033 |
|
|
| 8.3. | Kadagas PII |
1 501 706 |
1 501 706 |
|
|
| 8.3.1. | pedagogu algas, grāmatas (mērķdotācija) |
147 343 |
147 343 |
|
|
| 8.3.2. | pārējās izmaksas |
1 108 510 |
1 108 510 |
|
|
| 8.3.3. | uzturēšanas izmaksas (CKS) |
245 853 |
245 853 |
|
|
| 8.4. | Pirmsskolas izglītības iestāde "Riekstiņš" |
1 854 025 |
1 854 025 |
|
|
| 8.4.1. | pedagogu algas, grāmatas (mērķdotācija) |
203 756 |
203 756 |
|
|
| 8.4.2. | pārējās izmaksas |
1 406 595 |
1 406 595 |
|
|
| 8.4.3. | uzturēšanas izmaksas (CKS) |
243 674 |
243 674 |
|
|
| 8.5. | Pirmsskolas izglītības iestādes "Piejūra" |
1 575 794 |
1 575 794 |
|
|
| 8.5.1. | pedagogu algas, grāmatas (mērķdotācija) |
268 279 |
268 279 |
|
|
| 8.5.2. | pārējās izmaksas |
1 141 525 |
1 141 525 |
|
|
| 8.5.3. | uzturēšanas izmaksas (CKS) |
165 990 |
165 990 |
|
|
| 8.6. | Privātās izglītības iestādes |
3 797 888 |
3 797 888 |
|
|
| 8.7. | Carnikavas vidusskola |
2 737 011 |
2 761 873 |
24 862 |
|
| 8.7.1. | pedagogu algas, grāmatas (mērķdotācija) |
1 519 448 |
1 519 448 |
|
|
| 8.7.2. | ēdināšana (mērķdotācija) |
94 076 |
94 076 |
|
|
| 8.7.3. | pārējās izmaksas |
692 772 |
717 634 |
24 862 |
|
| 8.7.4. | uzturēšanas izmaksas (CKS) |
342 547 |
342 547 |
|
|
| 8.7.5. | projekts "Skolas soma" |
11 200 |
11 200 |
|
|
| 8.7.6. | projekti Erasmus+; NordPlus |
76 968 |
76 968 |
|
|
| 8.8. | Ādažu vidusskola |
9 068 044 |
9 137 574 |
69 530 |
|
| 8.8.1. | pedagogu algas, grāmatas (mērķdotācija) |
4 662 311 |
4 662 311 |
|
|
| 8.8.2. | pārējās izmaksas |
904 440 |
904 440 |
|
|
| 8.8.3. | uzturēšanas izmaksas (CKS) |
780 672 |
780 672 |
|
|
| 8.8.4. | projekts Erasmus+ |
51 949 |
51 949 |
|
|
| 8.8.5. | projekts "Skolas soma" |
41 000 |
41 000 |
|
|
| 8.8.6. | Ādažu vidusskolas D korpusa siltināšana |
300 000 |
300 000 |
|
|
| 8.8.7. | Ādažu vidusskolas ēkas A korpusa, savienojuma daļas starp korpusiem (A un B), kā arī, vidusskolas centrālās daļas, tai skaitā torņa fasādes atjaunošana. |
557 629 |
557 629 |
|
|
| 8.8.8. | sākumskolas uzturēšanas izmaksas |
727 923 |
797 453 |
69 530 |
|
| 8.8.9. | sākumskolas uzturēšanas izmaksas (CKS) |
428 433 |
428 433 |
|
|
| 8.8.10. | sākumskolas ēdināšana (mērķdotācija) |
263 797 |
263 797 |
|
|
| 8.8.11. | PII |
349 890 |
349 890 |
|
|
| 8.8.11.1. | - pedagogu algas (mērķdotācija) |
102 045 |
102 045 |
|
|
| 8.8.11.2. | - uzturēšana |
232 189 |
232 189 |
|
|
| 8.8.11.3. | - uzturēšanas izmaksas (CKS) |
15 656 |
15 656 |
|
|
| 8.9. | Ādažu novada mākslu skola |
1 819 529 |
1 819 529 |
|
|
| 8.9.1. | pedagogu algas (mērķdotācija) |
735 359 |
735 359 |
|
|
| 8.9.2. | pārējās izmaksas |
1 084 170 |
1 084 170 |
|
|
| 8.10. | Sporta skola |
845 947 |
845 947 |
|
|
| 8.10.1. | pedagogu algas (mērķdotācija) |
313 283 |
313 283 |
|
|
| 8.10.2. | Pašvaldības finansējums |
532 664 |
532 664 |
|
|
| 8.11. | Izglītības un jauniešu lietu pārvalde |
641 764 |
687 795 |
46 031 |
|
| 8.12. | Līdzfinansējums skolēnu dalībai konkursos |
3 000 |
3 000 |
|
|
| 8.13. | Jaunas pirmsskolas izglītības iestādes Podniekos būvniecība |
5 600 179 |
5 600 179 |
|
|
| 8.14. | Teritorijas novērtēšana pirms būvprojekta izstrādes un būvprojekts jaunas pamatskolas izveidei Ādažu pilsētā |
267 067 |
220 567 |
-46 500 |
|
| 8.15. | Latvijas Skolu jaunatnes dziesmu un deju svētki |
285 277 |
285 277 |
|
|
|
KOPĀ IZDEVUMI: |
71 734 530 |
71 826 653 |
92 123 |
||
| F40020020 | 9. | Kredītu pamatsummas atmaksa |
3 702 737 |
3 702 737 |
|
|
PAVISAM KOPĀ IZDEVUMI: |
75 437 267 |
75 529 390 |
92 123 |
||
|
F21010000 AB |
- |
Naudas līdzekļu atlikums uz gada beigām |
64 674 |
160 560 |
95 886 |
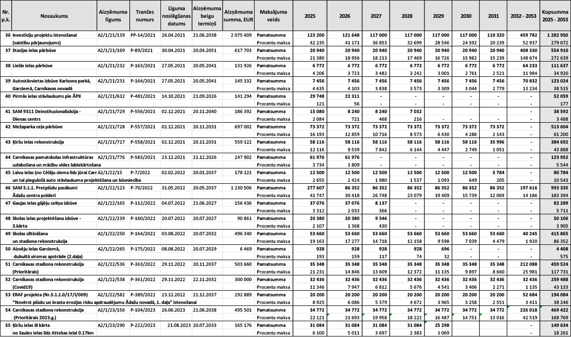
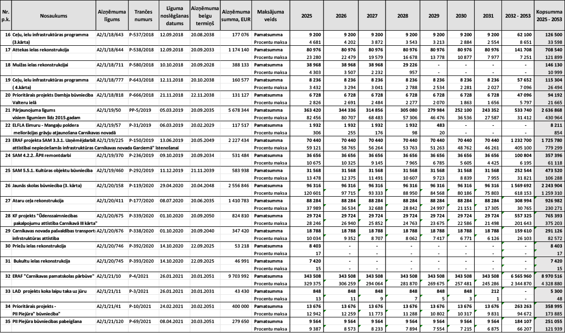
2. pielikums
Ādažu novada pašvaldības domes 2025. gada 28. augusta saistošajiem noteikumiem
Nr. 33/2025 "Grozījumi Ādažu novada pašvaldības domes 2025. gada 22. janvāra
saistošajos noteikumos Nr. 1/2025 "Par Ādažu novada pašvaldības budžetu 2025.
gadam""
Aizņēmumu un citu ilgtermiņa saistību pārskats
Ādažu novada pašvaldības domes priekšsēdētāja K. Miķelsone
Paskaidrojuma raksts
Ādažu novada pašvaldības domes budžeta grozījumi 2025. gadam apstiprināti 2025. gada 28. augustā. Budžeta grozījumi sastāv no pamatbudžeta, kuru veido ieņēmumu un izdevumu sadaļas, kā arī aizņēmumu un citu ilgtermiņa saistību pārskats. Pašvaldība ir ņēmusi vērā visu funkciju vajadzības un sabalansējusi pieejamos finanšu līdzekļus tā, lai nodrošinātu uzlabojumus sabiedrībai svarīgās jomās saskaņā ar pašvaldības attīstības plānošanas dokumentos noteiktajiem mērķiem.
Saistošie noteikumi paredz šādus grozījumus budžetā:
• Ieņēmumu sadaļā pārcelti 38’052 euro EKII projekta ("Siltumnīcefekta gāzu emisiju samazināšana Ādažu novada pašvaldības publisko teritoriju apgaismojuma infrastruktūrā") finansējums no sadaļas "ES struktūrfondu līdzekļi un aktivitāšu līdzfinansējumi" uz sadaļu "Valsts budžeta transferti" balstoties uz projekta ārfinansējuma avotu.
• Sadaļā "pārējās dotācijas" palielinājumu veido divu projektu līdzfinansējumi. Projektā "Pedagogu profesionālā atbalsta sistēmas izveide" paredzēti papildus līdzekļi mācību literatūras iegādei 14'838 euro un 2’193 euro pedagogu profesionālās kompetences pilnveidei, vardarbības novēršanai un labbūtības veicināšanai izglītības vidē, kas izdevumu sadaļā parādās kā izdevumu palielinājums pie "Izglītības un jaunatnes nodaļas", kas nodrošina šo projektu realizāciju.
• Lauku atbalsta dienests ir apstiprinājis vairākus pašvaldības iesniegtos projektus, kuri daļēji tiek līdzfinansēti ar Eiropas Savienības projektu līdzfinansējumu (Leader projekti). Lai nodrošinātu šo projektu realizācijas uzsākšanu 2025. gadā ir veikti sekojoši grozījumi:
o projekta "Carnikavas novadpētniecības centra Saimes mājas ekspozīcijas pamatnes atjaunošana" realizācijai 2025. gadā 3'600 euro Leader līdzfinansējums (ieņēmumos) un izdevumos pie nodaļas "Muzejs un Carnikavas novadpētniecības centrs" atspoguļojas šī summa pie projekta realizācijas;
o projekta "Sporta laukuma ierīkošana Garciemā" realizācijai 5'400 euro Leader līdzfinansējums (ieņēmumos) un izdevumos pie Attīstības un projektu nodaļas. Pašvaldības līdzfinansējums 9'600 euro pārcelts no izdevumu sadaļas "Jaunas pamatskolas izveide Ādažu pilsētā";
o projekta "Veloapkopes stenda ierīkošana Kadagā un Garkalnē" realizācijai 900 euro Leader līdzfinansējums (ieņēmumos) un izdevumos pie Attīstības un projektu nodaļas. Pašvaldības līdzfinansējums 4’100 euro pārcelts no izdevumu sadaļas "Jaunas pamatskolas izveide Ādažu pilsētā";
o projekta "Garezeru apkārtnes biotopu saudzēšana veicinot koncentrētu gājēju plūsmas vadīšanu ar mērķi mazināt augsnes degradāciju" realizācijai 1’800 euro Leader līdzfinansējums (ieņēmumos) un izdevumos pie Attīstības un projektu nodaļas. Pašvaldības līdzfinansējums 8’200 euro pārcelts no izdevumu sadaļas "Jaunas pamatskolas izveide Ādažu pilsētā";
o projekta "Bērnu un jauniešu centra izveide Ādažos" realizācijai 5’400 euro Leader līdzfinansējums (ieņēmumos) un izdevumos pie Izglītības un jaunatnes nodaļas. Pašvaldības līdzfinansējums 24’600 euro pārcelts no izdevumu sadaļas "Jaunas pamatskolas izveide Ādažu pilsētā";
• Veicot izmaiņas funkciju sadalījumā, videonovērošanas sistēmu sabiedriskajai drošībai un kārtībai uzturēšana tiek nodota no pašvaldības policijas uz Informācijas tehnoloģiju nodaļu. Līdz ar to šim mērķim paredzētie līdzekļi atlikušajam gadam 11’328 euro pārcelti no izdevumu sadaļas "Sabiedriskā kārtība un drošība" uz sadaļu "Informācijas tehnoloģiju nodaļa, vispārējas nozīmes dienestu darbība un pakalpojumi – datortīkla uzturēšana".
• Saskaņā ar pašvaldības domes 24.07.2025. protokollēmumu 3'580 euro novirzīti uz izdevumu sadaļu "Sabiedriskā kārtība un drošība" automatizētās sistēmas ieviešanai pašvaldībā ceļu satiksmes noteikumu pārkāpumu konstatēšanai ar tehniskiem līdzekļiem.
• Iniciatīvu projektu līdzfinansējumam pārcelti 1’000 euro no izglītības un jaunatnes nodaļas uz sadaļu "Iedzīvotāju iniciatīvas un konkursi".
• Daļu no ielu dubultās virsmas apstrādei plānotajiem līdzekļiem un daļu no Skolas ielas pārbūvei plānotajiem līdzekļiem kopsummā 55’364 euro novirzīt transportlīdzekļa (ar sniega lāpstu) un kaisītāja iegādei (saskaņā ar 09.07.2025. lēmumu #270).
• Līdzfinansējums daudzstāvu ēku siltināšanai un pagalmu labiekārtošanai 2025.gada budžetā bija paredzēts 23'000 euro. Uz šo brīdi tas ir iztērēts un ir divi komisijas lēmumi par atbalstu 2 ēkām kopā 14'000 euro apmērā, kuras var apmaksāt, ja akceptē finansējuma palielinājumu. Un vēl papildus divi neizskatīti iesniegumi par 13'020 euro. Kopsummā palielināti izdevumi šiem mērķiem par 27’020 euro.
• Saskaņā ar protokollēmumu "Par finanšu līdzekļu pārcelšanu 5., 6., 7. un 8. klašu izglītojamo brīvpusdienu nodrošināšanai" 24'862 euro pārcelts no ēdināšanas pabalsta 5.–9. klašu skolēniem (plānots zem sociālā dienesta sadaļas) uz Carnikavas vidusskolas budžetu un 42'138 euro uz Ādažu vidusskolas budžetu, un papildus no nesadalītā konta atlikuma 27’392 euro uz Ādažu vidusskolas budžetu.
Kopumā Ādažu novada pašvaldības domes budžeta grozījumi paredz ieņēmumu palielinājumu par 188’009 euro, nosakot budžeta ieņēmumus 62’327’601 euro apmērā. Saskaņā ar šiem Ādažu novada pašvaldības domes budžeta grozījumi paredz izdevumu daļas palielinājumu par 92’123 euro, nosakot budžeta izdevumus 71’826’653 euro. Plānoto aizņēmumu apjoms 2025. gadā ir 6’668’106 euro apmērā, un aizņēmumu pamatsummas atmaksa 2025. gadā plānota 3’702’737 euro apmērā.
Ādažu novada pašvaldības domes priekšsēdētāja K. Miķelsone