
Ministru kabineta noteikumi: Šajā laidienā 18 Pēdējās nedēļas laikā 40 Visi
Ministru kabineta noteikumi Nr. 231
Rīgā 2023. gada 9. maijā (prot. Nr. 25 23. §)
Grozījumi Ministru kabineta 2014. gada 23. decembra noteikumos Nr. 834 "Prasības ūdens, augsnes un gaisa aizsardzībai no lauksaimnieciskās darbības izraisīta piesārņojuma"
Izdoti saskaņā ar likuma "Par piesārņojumu"
11. panta otrās daļas 3. un 12. punktu un
18. panta otrās daļas 2. punktu
Izdarīt Ministru kabineta 2014. gada 23. decembra noteikumos Nr. 834 "Prasības ūdens, augsnes un gaisa aizsardzībai no lauksaimnieciskās darbības izraisīta piesārņojuma" (Latvijas Vēstnesis, 2015, 3. nr.; 2018, 201. nr.; 2021, 155. nr.) šādus grozījumus:
1. Izteikt 1. pielikumu jaunā redakcijā (1. pielikums).
2. Izteikt 2. pielikumu jaunā redakcijā (2. pielikums).
Ministru prezidents A. K. Kariņš
Zemkopības ministrs D. Šmits
1. pielikums
Ministru kabineta
2023. gada 9. maija
noteikumiem Nr. 231
"1. pielikums
Ministru kabineta
2014. gada 23. decembra
noteikumiem Nr. 834
Kūtsmēslu iestrādei nepieciešamās lauksaimniecībā izmantojamās zemes platības aprēķināšana
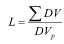
1. Kūtsmēslu iestrādei nepieciešamo lauksaimniecībā izmantojamās zemes platību (ha) aprēķina, izmantojot šādu formulu:
, kur
L – kūtsmēslu iestrādei nepieciešamā lauksaimniecībā izmantojamās zemes platība, ha;
– saimniecības kopējais lauksaimniecības dzīvnieku skaits, izteikts dzīvnieku vienībās;
DVp– pieļaujamais lauksaimniecības dzīvnieku vienību skaits, rēķinot uz vienu lauksaimniecībā izmantojamās zemes hektāru. Saskaņā ar šo noteikumu 3.3.2. apakšpunktu DVp = 1,7 dzīvnieku vienības.
2. Saimniecības kopējais lauksaimniecības dzīvnieku skaits, kas izteikts dzīvnieku vienībās:
, kur
z – lauksaimniecības dzīvnieku grupu skaits (pēc sugas un vecuma saskaņā ar tabulu);
DVj – attiecīgās lauksaimniecības dzīvnieku sugas un vecuma grupas vienam dzīvniekam atbilstošais dzīvnieku vienību skaits (saskaņā ar tabulu);
nj – attiecīgās lauksaimniecības dzīvnieku sugas un vecuma grupas dzīvnieku skaits saimniecībā.
3. Dzīvnieku vienības (DV) lauksaimniecības dzīvniekiem.
Dzīvnieku vienības aprēķinātas, pieņemot, ka lauksaimniecības dzīvnieki novietnē atrodas 365 dienas. Lauksaimniecības dzīvniekiem, kas uzturas ganībās, ir ņemts vērā ganībās izdalīto ekskrementu daudzums.
Nr. |
Lauksaimniecības dzīvnieku suga un |
Dzīvnieku vienības |
| 1. | Slaucama govs | 0,7 |
| 2. | Zīdītājgovs ar teli | 0,59 |
| 3. | Vaislas bullis (no 12 mēnešu vecuma) | 0,60 |
| 4. | Tele (līdz 6 mēnešu vecumam) | |
| 1 dzīvnieks | 0,11 | |
| 1 vieta kūtī gadā | 0,221 | |
| 5. | Tele (6–12 mēnešu vecumā) | 0,35 |
| 6. | Vaislas tele (no 12 mēnešu vecuma) | 0,50 |
| 7. | Nobarojamais jaunlops (līdz 6 mēnešu vecumam) | 0,20 |
| 8. | Nobarojamais jaunlops (no 6 mēnešu vecuma) | 0,45 |
| 9. | Sivēnmāte ar sivēniem |
|
| 1 dzīvnieks 1 metiens | 0,08 | |
| 1 vieta kūtī gadā | 0,192 | |
| 10. | Sivēnmāte bez sivēniem | 0,20 |
| 11. |
Nobarojamā cūka (30–100 kg) 1 dzīvnieks |
0,03 |
| 12. | Kuilis | 0,18 |
| 13. |
Jauncūka (85–180 kg) 1 dzīvnieks |
0,08 |
| 14. |
Atšķirtais sivēns (7,5–30 kg) 1 dzīvnieks |
0,007 |
| 15. | Kaza ar kazlēniem | 0,13 |
| 16. | Aita ar jēriem | 0,13 |
| 17. | Zirgs | 0,48 |
| 18. | Dējējvista | 0,006 |
| 19. |
Broilers un jaunputns 1 broilers un jaunputns |
0,0004 |
| 20. | Tītars, zoss | 0,01 |
| 21. | Trusis | 0,024 |
| 22. | Strauss | 0,11 |
| 23. | Kažokzvērs | 0,05 |
| 24. | Mazais kažokzvērs | 0,018 |
| 25. | Briedis | 0,15 |
Piezīmes.
1. Dzīvnieku vienības uz vienu vietu kūtī gadā aprēķinātas, ievērojot šādu ražošanas ciklu skaitu gadā:
1 telei līdz 6 mēnešu vecumam – 2 cikli;
2 sivēnmātei ar sivēniem – 2,35 metieni;
3 nobarojamai cūkai – 3,2 cikli;
4 jauncūkai – 1,85 cikli;
5 broileram un jaunputnam – 6,5 cikli.
2. Operators dzīvnieku vienības aprēķina, ņemot vērā attiecīgās dzīvnieku novietnes ražošanas ciklu skaitu gadā vai lauksaimniecības dzīvnieku turēšanas laiku."
2. pielikums
Ministru kabineta
2023. gada 9. maija
noteikumiem Nr. 231
"2. pielikums
Ministru kabineta
2014. gada 23. decembra
noteikumiem Nr. 834
Kūtsmēslu ieguves apjoms un sastāvs*
Nr. |
Lauksaimniecības dzīvnieku suga, vecuma |
Kūtsmēslu veids |
Ieguve gadā, t* |
Sausna, % |
Viena tonna dabīgi mitru mēslu satur, kg |
||
N |
P2O5 |
K2O | |||||
| 1. | Slaucamā govs, izslaukums mazāks par 6000 kg gadā | Pakaišu kūtsmēsli | 13,0 | 20 | 5,4 | 2,6 | 3,9 |
| Šķidrie kūtsmēsli | 17,0 | 10 | 4,1 | 1,4 | 2,8 | ||
| 2. |
Slaucamā govs, izslaukums no 6000 līdz 8000 kg gadā |
Pakaišu kūtsmēsli | 15,0 | 20 | 5,9 | 3,2 | 5,3 |
| Šķidrie kūtsmēsli | 19,0 | 10 | 4,2 | 2,1 | 2,9 | ||
| 3. |
Slaucamā govs, izslaukums lielāks par 8000 kg gadā |
Pakaišu kūtsmēsli | 20,0 | 20 | 6,0 | 2,9 | 4,3 |
| Šķidrie kūtsmēsli | 26,0 | 10 | 4,4 | 2,2 | 3,3 | ||
| 4. | Zīdītājgovs ar teļu | Pakaišu kūtsmēsli | 11,0 | 22 | 5,5 | 2,6 | 8,2 |
| 5. | Vaislas bullis | Pakaišu kūtsmēsli | 14,0 | 20 | 4,3 | 5,5 | 4,2 |
| 6. | Tele (līdz 6 mēnešu vecumam) | Pakaišu kūtsmēsli | 5,0 | 22 | 4,7 | 2,3 | 5,7 |
| 7. | Tele (6 mēneši un vecāka) | Pakaišu kūtsmēsli | 8,0 | 18 | 4,7 | 1,8 | 3,9 |
| 8. | Nobarojamais jaunlops (6 mēneši un vecāks) | Pakaišu kūtsmēsli | 9,0 | 18 | 4,7 | 3,0 | 6,9 |
| Šķidrie kūtsmēsli | 13,0 | 10 | 3,7 | 2,7 | 1,8 | ||
| 9. | Atšķirtie sivēni līdz 30 kg | Pakaišu kūtsmēsli | 0,25 | 25 | 6,4 | 6,2 | 2,6 |
| Šķidrie kūtsmēsli | 0,4 | 7 | 3,8 | 3,3 | 2,2 | ||
| 10. | Sivēnmāte ar sivēniem | Pakaišu kūtsmēsli | 1,5 | 26 | 9,7 | 8,5 | 4,7 |
| Šķidrie kūtsmēsli | 2,5 | 9,0 | 5,9 | 5,1 | 2,8 | ||
| 11. | Sivēnmāte bez sivēniem un kuilis | Pakaišu kūtsmēsli | 1,5 | 22 | 7,1 | 7,6 | 2,3 |
| Šķidrie kūtsmēsli | 2,5 | 9 | 4,6 | 3,5 | 2,0 | ||
| 12. | Nobarojamā cūka (virs 30 kg) un jauncūka | Pakaišu kūtsmēsli | 1,0 | 21 | 6,3 | 4,3 | 3,0 |
| Šķidrie kūtsmēsli | 2,0 | 8 | 3,4 | 2,3 | 1,6 | ||
| 13. | Kaza ar kazlēniem | Pakaišu kūtsmēsli | 2,4 | 25 | 5,4 | 3,1 | 8,3 |
| 14. | Aita ar jēriem, dziļā kūts | Pakaišu kūtsmēsli | 2,4 | 25 | 5,4 | 3,7 | 7,0 |
| 15. | Zirgs | Pakaišu kūtsmēsli | 10,0 | 25 | 4,7 | 2,4 | 3,8 |
| 16. | Dējējvista | Bezpakaišu kūtsmēsli** | 0,03 | 30 | 21,0 | 11,3 | 7,8 |
| Šķidrie kūtsmēsli | 0,10 | 10 | 6,4 | 4,7 | 2,2 | ||
| 17. | Broilers un jaunputns | Pakaišu kūtsmēsli | 0,01 | 55 | 27,6 | 12,1 | 13,8 |
| 18. | Briedis | Tvirtie kūtsmēsli | 1,2 | 26 | 7,8 | 5,5 | 4,8 |
Piezīmes.
1. * Pieņemts, ka lauksaimniecības dzīvnieki novietnē atrodas 365 dienas.
2. ** Bezpakaišu kūtsmēsli – puscieti lauksaimniecības dzīvnieku ekskrementi."