
Ministru kabineta noteikumi: Šajā laidienā 5 Pēdējās nedēļas laikā 40 Visi
Ministru kabineta noteikumi Nr. 254
Rīgā 2022. gada 19. aprīlī (prot. Nr. 22 19. §)
Noteikumi par Eiropas Savienības Atveseļošanas un noturības mehānisma plāna investīciju 4.1.1.2.i. "Atbalsts universitātes un reģionālo slimnīcu veselības aprūpes infrastruktūras stiprināšanai, lai nodrošinātu visaptverošu ilgtspējīgu integrētu veselības pakalpojumu, mazinātu infekciju slimību izplatību, epidemioloģisko prasību nodrošināšanā"
Izdoti saskaņā ar Likuma par budžetu un finanšu vadību
19.3 panta pirmo un otro daļu
I. Vispārīgie jautājumi
1. Noteikumi nosaka Eiropas Savienības Atveseļošanas un noturības mehānisma (turpmāk – Atveseļošanas fonds) plāna investīcijas 4.1.1.2.i. "Atbalsts universitātes un reģionālo slimnīcu veselības aprūpes infrastruktūras stiprināšanai, lai nodrošinātu visaptverošu ilgtspējīgu integrētu veselības pakalpojumu, mazinātu infekciju slimību izplatību, epidemioloģisko prasību nodrošināšanā" (turpmāk – investīcija) īstenošanas un uzraudzības kārtību, tostarp:
1.1. investīcijas rādītājus;
1.2. investīcijas mērķi;
1.3. investīcijas mērķa grupu;
1.4. investīcijas sasaisti ar ietekmi uz īstenojamo reformu;
1.5. investīcijas finansējumu;
1.6. investīcijas finansējuma saņēmēju;
1.7. investīcijas atbalstāmās darbības un izmaksu attiecināmības nosacījumus;
1.8. līguma par projekta īstenošanu vienpusēja uzteikuma nosacījumus.
2. Investīcijas ietvaros līgumus par projekta īstenošanu slēdz un investīcijas atbalstu piešķir Centrālā finanšu un līgumu aģentūra (turpmāk – līgumslēdzējs).
3. Investīcijas ietvaros komercdarbības atbalstu piešķir un atbildīgās nozares ministrijas funkcijas pilda Veselības ministrija (turpmāk – nozares ministrija).
4. Investīcijas finansējuma saņēmējs ir ārstniecības iestādes, kas noteiktas šo noteikumu pielikumā (turpmāk – finansējuma saņēmējs).
II. Investīcijas mērķis
5. Investīcijas mērķis ir stiprināt universitātes un reģionālo slimnīcu veselības aprūpes pakalpojumu sniegšanas infrastruktūru, nodrošinot visaptverošu, ilgtspējīgu un integrētu veselības pakalpojumu sniegšanu, lai mazinātu infekciju slimību izplatību un veicinātu epidemioloģisko prasību ievērošanu.
6. Investīcijas mērķa grupa ir valsts apmaksāto veselības aprūpes pakalpojumu sniedzēji – ārstniecības iestādes.
7. Investīcijas ietvaros veiktās projekta darbības tieši vērstas uz Atveseļošanas fonda plāna reformas 4.1.1.r. "Uz cilvēku centrētas, visaptverošas, integrētas veselības aprūpes sistēmas ilgtspēja un noturība" (turpmāk – reforma) ieviešanu. Investīcija īstenojama sasaistē ar reformas atskaites punktu "Uz cilvēku centrētas, visaptverošas, integrētas veselības aprūpes sniegšanas modeļa attīstība, veicot investīciju stratēģijas izstrādi un izstrādājot rekomendācijas integrētas un epidemioloģiski drošas veselības aprūpes attīstībai".
8. Investīcijas ietvaros ir sasniedzami šādi rādītāji:
8.1. līdz 2022. gada 31. decembrim – projektu skaits, kuriem saņemts Veselības ministrijas izveidotas ārstniecības procesam tieši nepieciešamās medicīniskās tehnoloģijas iegādes vērtēšanas komisijas (turpmāk – tehnoloģijas komisija) pozitīvs atzinums par iekārtu atbilstību attiecīgo valsts apmaksāto pakalpojumu sniegšanai, – 10 projekti;
8.2. līdz 2024. gada 31. decembrim – kopējā projektu budžeta izpilde, vērtējot pēc veiktajiem iepirkumiem klīnisko universitāšu un reģionālo slimnīcu infrastruktūras uzlabošanas projektos vismaz 59 800 000 euro apmērā. Ar veiktajiem iepirkumiem saprotama iepirkumu rezultātā noslēgto līgumu summa konkrētajā brīdī;
8.3. līdz 2026. gada 31. augustam – slimnīcu skaits ar uzlabotu infrastruktūru – 10 slimnīcas.
9. Lai nodrošinātu šo noteikumu 8. punktā minēto rādītāju sasniegšanu, ir noteikti šādi sasniedzamie uzraudzības rādītāji:
9.1. līdz 2023. gada 31. decembrim – kopējā projektu budžeta izpilde, vērtējot pēc veiktajiem iepirkumiem klīnisko universitāšu un reģionālo slimnīcu infrastruktūras uzlabošanas projektos, – vismaz 40 000 000 euro apmērā;
9.2. līdz 2025. gada 31. decembrim – slimnīcu skaits ar uzlabotu infrastruktūru – 3 slimnīcas.
III. Projekta vērtēšana
10. Divu mēnešu laikā pēc šo noteikumu spēkā stāšanās finansējuma saņēmējs sagatavo projektu un iesniedz to Kohēzijas politikas fondu vadības informācijas sistēmā (turpmāk – vadības informācijas sistēma), aizpildot definētās projekta sadaļas. Ja uz projekta iesniegšanas brīdi vēl nav nodrošināta vadības informācijas sistēmas funkcionalitāte, finansējuma saņēmējs iesniedz projektu nozares ministrijai elektroniska dokumenta veidā.
11. Atbilstoši normatīvajam aktam par Atveseļošanas fonda plāna īstenošanas un uzraudzības kārtību projektu vadības informācijas sistēmā vērtē nozares ministrija. Projektu vērtē atbilstoši šādiem kritērijiem:
11.1. projekta atbalsts paredzēts kā atbalsts universitātes un reģionālo slimnīcu veselības aprūpes infrastruktūras stiprināšanai, lai nodrošinātu visaptverošu, ilgtspējīgu un integrētu veselības pakalpojumu, mazinātu infekciju slimību izplatību un veicinātu epidemioloģisko prasību ievērošanu;
11.2. projekts atbilst ārstniecības iestāžu infrastruktūras uzlabošanas investīciju pasākumiem, kas stiprinās veselības nozares noturību un pakalpojumu pieejamību, paredzot attīstīt integrētiem veselības aprūpes pakalpojumiem nepieciešamo infrastruktūru un ārstniecības iestāžu spēju pielāgoties krīžu situācijām, un nodrošinās nepārtrauktu, ilgtspējīgu un kvalitatīvu valsts apmaksātu veselības aprūpes pakalpojumu sniegšanu valstī noteiktajās pakalpojumu sniegšanas vietās;
11.3. projekta infrastruktūras uzlabošanas darbības tiek plānotas, balstoties uz integrētās aprūpes rekomendāciju kopumu un rekomendāciju kopumu epidemioloģisko prasību nodrošināšanai;
11.4. projekta infrastruktūras uzlabošanas darbības paredz ārstniecības iestāžu infrastruktūras struktūrvienību attīstību atbilstoši ārstniecības iestādes sniegtajiem primārajiem, sekundārajiem, ambulatorajiem un stacionārajiem valsts apmaksātajiem veselības aprūpes pakalpojumiem un programmām saskaņā ar normatīvo regulējumu veselības aprūpes pakalpojumu organizēšanas un samaksas jomā;
11.5. projektā tiek sniegts komercdarbības atbalsts saskaņā ar Komisijas lēmumu (2012/21/ES) par Līguma par ES darbību 106. panta 2. punkta piemērošanu valsts atbalstam attiecībā uz kompensāciju par sabiedriskajiem pakalpojumiem dažiem uzņēmumiem, kuriem uzticēts sniegt pakalpojumus ar vispārēju tautsaimniecisku nozīmi (turpmāk – Eiropas Komisijas lēmums Nr. 2012/21/ES);
11.6. projekta darbības ir vērstas uz Eiropas Parlamenta un Padomes 2021. gada 12. februāra Regulas (ES) 2021/241, ar ko izveido Atveseļošanas un noturības mehānismu (turpmāk – regula Nr. 2021/241), 5. panta 2. punkta un Eiropas Parlamenta un Padomes 2020. gada 18. jūnija Regulas (ES) 2020/852 par regulējuma izveidi ilgtspējīgu ieguldījumu veicināšanai un ar kuru groza Regulu (ES) 2019/2088, 17. panta principa "Nenodarīt būtisku kaitējumu" vides mērķu sasniegšanu.
12. Nozares ministrija šo noteikumu 11. punktā minēto vērtējumu par projektu nosūta finansējuma saņēmējam un līgumslēdzējam divu mēnešu laikā pēc tam, kad finansējuma saņēmējs ir ievadījis projekta datus vadības informācijas sistēmā. Projekta vērtējums var būt "atbilst", "neatbilst"vai "novēršami trūkumi".
13. Ja projekta vērtējums ir "novēršami trūkumi", finansējuma saņēmējs mēneša laikā no vērtējuma saņemšanas brīža veic precizējumus projektā vadības informācijas sistēmā un nozares ministrija mēneša laikā atkārtoti sniedz vērtējumu. Vērtējumu atkārtoti sniedz ne vairāk kā divas reizes.
14. Ja finansējuma saņēmējs neveic projekta precizējumus atbilstoši šo noteikumu 13. punktā minētajai kārtībai vai projekta vērtējums ir "neatbilst", projekts netiek saskaņots un līgums par projekta īstenošanu netiek slēgts. Nozares ministrija var uzaicināt finansējuma saņēmēju iesniegt projektu atkārtoti.
15. Jebkuras izmaiņas līgumā par projekta īstenošanu, kas skar finansējumu, šo noteikumu 8.1., 8.2. un 8.3. apakšpunktā noteikto rādītāju sasniegšanu un termiņus, finansējuma saņēmējs vadības informācijas sistēmā saskaņo ar nozares ministriju. Nozares ministrija atzinumu sniedz mēneša laikā.
IV. Investīcijas finansējums
16. Investīcijas ietvaros kopējais attiecināmais finansējums ir 180 894 999 euro, tai skaitā Atveseļošanas fonda finansējums ir 149 500 000 euro un nacionālais finansējums (valsts budžets un privātais līdzfinansējums) vismaz 31 394 999 euro, tai skaitā nacionālais valsts budžeta finansējums pievienotās vērtības nodokļa segšanai – ne vairāk kā 28 895 698 euro.
17. Atveseļošanas fonda finansējums nesedz investīcijas pievienotās vērtības nodokļa izmaksas.
18. Šo noteikumu 16. punktā minētais nacionālais valsts budžeta finansējums katra finansējuma saņēmēja projekta ietvaros nosakāms atbilstoši infrastruktūras izmantošanas proporcijai valsts apmaksāto veselības aprūpes pakalpojumu sniegšanai un citu darbību veikšanai, ko aprēķina saskaņā ar šo noteikumu 37. punktu (turpmāk – infrastruktūras izmantošanas proporcija).
19. Individuāli katram finansējuma saņēmēja projektam pieejamais publiskais finansējums, tai skaitā Atveseļošanas fonda un valsts budžeta finansējums, nav lielāks, kā noteikts šo noteikumu pielikumā.
20. Investīcijas projekta īstenošanas laikā finansējuma saņēmējs saskaņā ar līgumu par projekta īstenošanu var saņemt:
20.1. avansa maksājumu saskaņā ar projektā noslēgto pakalpojumu, preču piegādes vai būvdarbu līgumiem. Līgumslēdzējs, pamatojoties uz finansējuma saņēmēja pieprasījumu un atbilstoši projekta finansēšanas plānam, avansa maksājumu var piešķirt vairākos maksājumos, ievērojot, ka nākamo avansu var saņemt pēc tam, kad iepriekšējais ir apgūts pilnā apmērā;
20.2. starpposma maksājumus;
20.3. noslēguma maksājumu, sasniedzot šo noteikumu 8.3. apakšpunktā minēto investīcijas rādītāju.
21. Līgumslēdzējs šo noteikumu 8.2. apakšpunktā minētā rādītāja sasniegšanu individuāli šo noteikumu pielikumā minēto finansējuma saņēmēju līmenī nosaka brīdī, kad visi finansējuma saņēmēji šo noteikumu 10. punktā minētajā kārtībā ir ievadījuši datus vadības informācijas sistēmā un rādītāju vērtības saskaņojuši ar nozares ministriju.
22. Šo noteikumu 20.1. apakšpunktā minētā avansa un šo noteikumu 20.2. apakšpunktā minētā starpposma maksājumu kopsumma nepārsniedz 90 % no kopējā projekta investīcijas finansējuma.
V. Komercdarbības atbalsta piešķiršanas nosacījumi
23. Komercdarbības atbalstu piešķir saskaņā ar Eiropas Komisijas lēmumu Nr. 2012/21/ES.
24. Par komercdarbības atbalsta piešķiršanas dienu ir uzskatāma diena, kad sniegts šo noteikumu 12. punktā minētais nozares ministrijas atzinums par projekta vērtējuma atbilstību.
25. Finansējuma saņēmējs pirms šo noteikumu 10. punktā minētā pienākuma izpildes atbilstoši normatīvajiem aktiem veselības aprūpes organizēšanas un samaksas jomā ir noslēdzis ar Nacionālo veselības dienestu (turpmāk – pilnvarojuma uzlicējs) deleģēšanas līgumu par sabiedrisko pakalpojumu sniegšanu. Līgumā norāda:
25.1. konkrētus sniedzamos sabiedriskos pakalpojumus;
25.2. prasības sabiedrisko pakalpojumu sniedzējam par nepieciešamajām investīcijām sabiedrisko pakalpojumu sniegšanas infrastruktūrā, lai nodrošinātu minētos pakalpojumus saskaņā ar katram konkrētajam pakalpojumam noteiktajām prasībām;
25.3. līguma darbības laiku, kas nepārsniedz 10 gadus;
25.4. sabiedrisko pakalpojumu sniegšanas teritoriju;
25.5. sabiedrisko pakalpojumu sniedzējam piešķirtās ekskluzīvās vai īpašās tiesības;
25.6. informāciju par iespēju saņemt atlīdzības (kompensācijas) maksājumus un nosacījumus atlīdzības (kompensācijas) maksājumu aprēķināšanai, kontrolei un pārskatīšanai, kā arī atlīdzības (kompensācijas) maksājumu pārmaksas novēršanai un atmaksāšanai;
25.7. atsauci uz Eiropas Komisijas lēmumu Nr. 2012/21/ES.
26. Finansējuma saņēmējs, aizpildot šo noteikumu 10. punktā minētās definētās projekta sadaļas, projektam pievieno vispārējas tautsaimnieciskas nozīmes pakalpojuma sniegšanas pilnvarojuma uzlicēja apliecinājumu, ka tas kontrolēs un pārskatīs šo noteikumu 25.6. apakšpunktā minētos deleģēšanas līgumā paredzētos atlīdzības (kompensācijas) maksājumus, kā arī novērsīs un atgūs deleģēšanas līgumā paredzēto atlīdzības (kompensācijas) maksājumu pārmaksu, ievērojot Eiropas Komisijas lēmumā Nr. 2012/21/ES noteikto pārbaužu regularitāti, bet ne retāk kā reizi trijos gados un pilnvarojuma akta darbības perioda beigās.
27. Ja tiek pārkāptas šajos noteikumos noteiktās komercdarbības atbalsta piešķiršanas prasības vispārējas tautsaimnieciskas nozīmes pakalpojuma sniegšanai, finansējuma saņēmējam ir pienākums atmaksāt valsts atbalsta sniedzējam visu projekta ietvaros saņemto nelikumīgo komercdarbības atbalstu kopā ar procentiem no līdzekļiem, kas ir brīvi no komercdarbības atbalsta, saskaņā ar Komercdarbības atbalsta kontroles likuma IV vai V nodaļu.
28. Pilnvarojuma uzlicējam un finansējuma saņēmējam ir pienākums dokumentāciju par saņemto komercdarbības atbalstu glabāt 10 gadus no pilnvarojuma termiņa beigām, savukārt nozares ministrijai, kas nav pilnvarojuma uzlicējs, bet piešķir komercdarbības atbalstu saskaņā ar šīs nodaļas prasībām, ir pienākums dokumentāciju, kas saistīta ar komercdarbības atbalsta piešķiršanu, glabāt 10 gadus no atbalsta piešķiršanas dienas.
29. Šo noteikumu 23. punktā minēto komercdarbības atbalstu drīkst kumulēt ar citu komercdarbības atbalstu, kas sniegts saskaņā ar Eiropas Komisijas lēmumu Nr. 2012/21/ES, citas atbalsta programmas vai individuālā atbalsta projekta ietvaros par vienām un tām pašām attiecināmajām izmaksām, ja pēc atbalstu apvienošanas atbalsta vienībai vai izmaksu pozīcijai attiecīgā maksimālā atbalsta intensitāte nepārsniedz 100 %.
VI. Investīcijas atbalstāmās darbības un izmaksas
30. Lai attīstītu infrastruktūru, kurā tiek nodrošināti valsts apmaksāti veselības aprūpes pakalpojumi, investīciju ietvaros ir atbalstāmas šādas darbības:
30.1. projekta vadības nodrošināšana;
30.2. būvdarbi;
30.3. tehnoloģiju iegāde, piegāde un montāža;
30.4. audits.
31. Šo noteikumu 30.1. apakšpunktā minētās atbalstāmās darbības ietvaros ir attiecināmas finansējuma saņēmēja projekta vadības personāla atlīdzības izmaksas, kas radušās uz darba līguma vai pakalpojuma līguma pamata, tai skaitā normatīvajos aktos atlīdzības politikas un nodokļu jomā noteiktās piemaksas un nodokļi, šādā apmērā:
31.1. ja projekta attiecināmās izmaksas ir 5 000 000 euro vai lielākas, – nepārsniedzot 56 580 euro gadā;
31.2. ja projekta attiecināmās izmaksas ir 4 999 999 euro vai mazākas, aprēķina ar minimālo izmaksu bāzi 24 426 euro gadā, pieskaitot 0,64 procentus no projekta attiecināmajām izmaksām, bet neieskaitot projekta vadības personāla izmaksas.
32. Šo noteikumu 30.2. apakšpunktā minētās atbalstāmās darbības ietvaros ir attiecināmas šādas ar būvdarbiem saistītās izmaksas:
32.1. būvniecības ieceres dokumentācijas un arhitektoniski mākslinieciskās izpētes izstrādes, būvprojekta minimālā sastāvā un būvprojekta izstrādes izmaksas, projekta ekspertīžu izmaksas, autoruzraudzības un būvuzraudzības izmaksas un būvniecības jomu regulējošajos normatīvajos aktos noteiktās attiecīgo būvspeciālistu obligātās apdrošināšanas izmaksas;
32.2. būvdarbu izmaksas, tai skaitā izmaksas, kas saistītas ar objektu nodošanu ekspluatācijā.
33. Šo noteikumu 30.3. apakšpunktā minētās atbalstāmās darbības ietvaros ir attiecināmas šādas ārstniecības procesam tieši nepieciešamo tehnoloģiju piegādes (tai skaitā iegādes, piegādes un montāžas) izmaksas:
33.1. medicīniskās tehnoloģijas, tai skaitā iebūvējamās medicīniskās tehnoloģijas;
33.2. iekārtas, ierīces, mēbeles un aprīkojums;
33.3. informācijas tehnoloģiju aprīkojums.
34. Investīciju projektā attiecinot medicīnisko tehnoloģiju, kuru vienas vienības piegādes izmaksas pārsniedz 20 000 euro, ieskaitot pievienotās vērtības nodokli, nepieciešams tehnoloģiju komisijas saskaņojums.
35. Šo noteikumu 30.4. apakšpunktā minētā atbalstāmā darbība iekļauj neatkarīga revidenta ziņojumu par saskaņoto procedūru veikšanu saistībā ar projekta darbību un šo noteikumu 8.3. apakšpunktā minētā rādītāja sasniegšanu.
36. Saskaņā ar regulas Nr. 2021/241 17. panta 2. punktu projekta izmaksas ir attiecināmas, ja tās atbilst šajos noteikumos minētajām izmaksu pozīcijām un ir radušās ar 2020. gada 1. februāri. Projektā nedrīkst būt iekļautas darbības, kas ir pabeigtas uz Atveseļošanas fonda plāna apstiprināšanas brīdi Eiropas Komisijā un Eiropas Padomē 2021. gada 13. jūlijā.
VII. Projekta īstenošanas nosacījumi
37. Saskaņā ar šo noteikumu 30. punktu finansējuma saņēmējs aprēķina infrastruktūras izmantošanas proporciju un piemēro to projekta kopējam finansējumam, nosakot publiskā un privātā finansējuma apmēru, atbilstoši šādam aprēķinam:
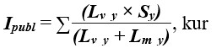
37.1. projekta kopējo publisko izmaksu maksimālo apmēru nosaka, izmantojot šādu formulu:
x – gadu skaits, kuriem tika aprēķināts projekta publisko izmaksu maksimālais apmērs;
Ipubl – attiecīgā gada publisko izmaksu maksimālais apmērs (euro);
37.2. attiecīgā gada publisko izmaksu maksimālo apmēru nosaka, izmantojot šādu formulu:
y – attiecīgā projekta ietvaros veicamo atbalstāmo darbību skaits;
S – attiecīgās atbalstāmās darbības kopējās izmaksas (euro);
Lv – uz attiecīgo atbalstāmo darbību attiecināmās infrastruktūras izmantošanas laiks valsts apmaksāto veselības aprūpes pakalpojumu sniegšanai (stundas gadā);
Lm – uz attiecīgo atbalstāmo darbību attiecināmās infrastruktūras izmantošanas laiks citu darbību veikšanai (stundas gadā);
37.3. uz attiecīgo atbalstāmo darbību attiecināmajai infrastruktūrai, kurai nav iespējams noteikt infrastruktūras izmantošanas laika sadalījumu valsts apmaksāto veselības aprūpes pakalpojumu sniegšanai un citu darbību veikšanai, laika sadalījumu nosaka atbilstoši vidējai ārstniecības iestādes infrastruktūras izmantošanas proporcijai, kas aprēķināta, infrastruktūrai, kurai ir iespējams noteikt infrastruktūras izmantošanas laika sadalījumu valsts apmaksāto veselības aprūpes pakalpojumu sniegšanai un citu darbību veikšanai, sadalot kopējo publisko izmaksu maksimālo apmēru ar šīs infrastruktūras kopējām izmaksām.
38. Finansējuma saņēmējs infrastruktūras izmantošanas proporciju aprēķina, izmantojot iepriekšējā gada datus vai divu iepriekšējo gadu vidējos datus par infrastruktūras izmantošanu. Ja iepriekšējo gadu dati par infrastruktūras izmantošanu nav pieejami vai tie atšķiras no attīstāmās infrastruktūras izmantošanas prognozes, finansējuma saņēmējs izmanto plānotos infrastruktūras izmantošanas datus līdz brīdim, kad ir pieejami dati par attīstītās infrastruktūras izmantošanu.
39. Finansējuma saņēmējs infrastruktūras izmantošanas proporciju iesniedz nozares ministrijai:
39.1. šo noteikumu 10. punktā noteiktajā kārtībā, iesniedzot projektu vadības informācijas sistēmā;
39.2. kopā ar projekta noslēguma maksājuma pieprasījumu.
40. Ja pēc līguma par projekta īstenošanu noslēgšanas palielinās projekta publisko izmaksu maksimālais apmērs, kas aprēķināts saskaņā ar šo noteikumu 37.1. apakšpunktu, valsts atbalsta sniedzējs kopējās publiskās projekta attiecināmās izmaksas nepalielina.
41. Finansējuma saņēmējs, iesniedzot projekta noslēguma maksājuma pieprasījumu, nodrošina, ka saskaņā ar šo noteikumu 37.1. apakšpunktu aprēķinātais projekta kopējais publisko izmaksu maksimālais apmērs atbilst piešķirtajam kopējam publisko izmaksu maksimālajam apmēram, attiecīgi palielinot šo noteikumu 16. punktā minēto privāto līdzfinansējumu.
42. Lai attiecinātu pievienotās vērtības nodokļa izmaksas, finansējuma saņēmējs projekta maksājuma pieprasījumam pievieno apliecinājumu, ka minētās izmaksas nav un netiks atgūtas no valsts budžeta priekšnodokļa veidā.
43. Līgumā par projekta īstenošanu paredz:
43.1. finansēšanas plāna iesniegšanas kārtību;
43.2. iepirkumu plāna iesniegšanas kārtību;
43.3. plānoto avansa, starpposma un noslēguma maksājuma pieprasījuma iesniegšanas kārtību;
43.4. kārtību, kādā iesniedz dokumentus, kas apliecina šo noteikumu 8.1., 8.2. un 8.3. apakšpunktā minēto rādītāju sasniegšanu:
43.4.1. šo noteikumu 8.1. apakšpunktā minētajam rādītājam:
43.4.1.1. tehnoloģijas komisijas atzinums par pozitīvu tehnoloģijas saskaņojumu (kopija);
43.4.1.2. Veselības ministrijas lēmums par pozitīvu tehnoloģijas saskaņojumu projektā (kopija);
43.4.2. šo noteikumu 8.2. apakšpunktā minētajam rādītājam:
43.4.2.1. informācija no vadības informācijas sistēmas par norādīto kopējo noslēgto iepirkumu līgumu apjomu projektā;
43.4.2.2. informācija par noslēgtajiem iepirkumu līgumiem, kas ietver izvilkumu no tehniskās specifikācijas un pamato iepirkuma atbilstību projekta mērķim nodrošināt visaptverošu, ilgtspējīgu un integrētu veselības aprūpes pakalpojumu attīstību atbalstāmajā infrastruktūrā;
43.4.3. šo noteikumu 8.3. apakšpunktā minētajam rādītājam:
43.4.3.1. īss rādītāja sasniegšanas apraksts, kas pierāda atbilstību Padomes īstenošanas lēmumā par Latvijas atveseļošanas un noturības plāna novērtējuma apstiprināšanu Nr. 2021/0164 (NLE) pielikumā ietvertā mērķa un ieguldījuma aprakstam – stiprināt veselības aprūpes infrastruktūru universitāšu un reģionālajās slimnīcās;
43.4.3.2. pierādījumi par būvdarbu pabeigšanu un par to, ka ēka vai aprīkojums darbojas un atbilst normatīvajos aktos būvdarbu jomā noteiktajām kvalitātes prasībām, finansējuma saņēmēja rīcībā esošo dokumentu kopija, kas apliecina projekta pabeigšanu, un nozares ministrijas apstiprinājums par projekta pabeigšanu;
43.5. kārtību, kādā vadības informācijas sistēmā ievada šo noteikumu 10. punktā minētos projekta datus, tai skaitā nosakot, ka:
43.5.1. finansējuma saņēmējam ir pienākums vadības informācijas sistēmā ievadīt informāciju par kopējo noslēgto iepirkumu līgumu apjomu projektā;
43.5.2. finansējuma saņēmējam ir pienākums vadības informācijas sistēmā ievadīt informāciju par noslēgtajiem iepirkumu līgumiem, kas ietver izvilkumu no tehniskās specifikācijas un pamato iepirkuma atbilstību projekta mērķim – nodrošināt visaptverošu, ilgtspējīgu un integrētu veselības aprūpes pakalpojumu attīstību atbalstāmajā infrastruktūrā;
43.5.3. finansējuma saņēmējs kopā ar šo noteikumu 43.4.3. apakšpunktā minēto dokumentāciju iesniedz šo noteikumu 35. punktā minēto neatkarīga revidenta ziņojumu par saskaņoto procedūru veikšanu.
44. Finansējuma saņēmējs saskaņā ar normatīvajiem aktiem par Atveseļošanas fonda plāna īstenošanas un uzraudzības kārtību maksājumu pieprasījumu datus uzkrāj un vadības informācijas sistēmā ievada līdz kārtējā gada 10. janvārim un 10. jūlijam.
45. Finansējuma saņēmējs nodrošina informācijas un publicitātes pasākumus saskaņā ar regulas Nr. 2021/241 34. pantu.
46. Atbilstoši regulas Nr. 2021/241 22. pantam finansējuma saņēmējs nodrošina, ka visā projekta īstenošanas laikā tiks ievēroti normatīvajos aktos noteiktie interešu konflikta, korupcijas un krāpšanas novēršanas un dubultā finansējuma novēršanas nosacījumi, kuriem iestājoties pret finansējuma saņēmēju atbilstoši normatīvajiem aktiem par Atveseļošanas fonda plāna īstenošanas un uzraudzības kārtību var tikt piemērotas attiecīgas korektīvās darbības.
47. Finansējuma saņēmējam ir pienākums nodrošināt, ka normatīvajos aktos par Atveseļošanas fonda plāna īstenošanas un uzraudzības kārtību minētajām institūcijām ir pieejama ar investīcijas projekta īstenošanu saistītā dokumentācija.
48. Īstenojot projektu, finansējuma saņēmējs:
48.1. atbilstoši regulas Nr. 2021/241 5. panta 2. punktam un Eiropas Parlamenta un Padomes 2020. gada 18. jūnija Regulas (ES) 2020/852 par regulējuma izveidi ilgtspējīgu ieguldījumu veicināšanai un ar kuru groza Regulu (ES) 2019/2088, 17. pantam nodrošina, ka tiek ievēroti šādi principa "Nenodarīt būtisku kaitējumu" vides mērķi:
48.1.1. klimata pārmaiņu mazināšana;
48.1.2. pielāgošanās klimata pārmaiņām;
48.1.3. ilgtspējīga ūdens un jūras resursu izmantošana un aizsardzība;
48.1.4. pāreja uz aprites ekonomiku, ieskaitot atkritumu rašanās novēršanu un to reciklēšanu;
48.1.5. piesārņojuma novēršana un kontrole;
48.1.6. bioloģiskās daudzveidības un ekosistēmu aizsardzība un atjaunošana;
48.2. nodrošina, ka projektā plānotie darbi netiek finansēti vai līdzfinansēti, kā arī tos nav plānots finansēt vai līdzfinansēt no citiem valsts un ārvalstu finanšu atbalsta instrumentiem;
48.3. nodrošina projektā plānoto darbu sasaisti, sinerģiju un demarkāciju ar citu atbalsta instrumentu investīcijām dubultfinansējuma riska mazināšanai;
48.4. sedz projekta sadārdzinājumu no saviem līdzekļiem, ja projekta izmaksas pieaug;
48.5. nodrošina sasniegto rezultātu ilgtspēju vismaz piecus gadus pēc projekta pabeigšanas, ievērojot šo noteikumu 28. punktā noteiktos dokumentu uzglabāšanas nosacījumus;
48.6. nodrošina, ka projekta īstenošanas laikā nekustamie īpašumi, kuri nepieciešami projekta īstenošanai, ir finansējuma saņēmēja, valsts vai pašvaldības īpašumā, patapinājumā, valdījumā vai ilgtermiņa nomā vismaz 10 gadus, un tiesībām uz konkrēto objektu vai īpašumu, izņemot patapinājumu, jābūt nostiprinātām Zemesgrāmatā. Ja investīcijas ir veiktas ēkās un būvēs, nepalielinot apbūves laukumu, īpašumtiesībām vai citām tiesībām attiecībā uz zemi nav jābūt nostiprinātām Zemesgrāmatā;
48.7. nodrošina, ka iepirkumu, kas nepieciešams atbalstāmo darbību īstenošanai, finansējuma saņēmējs veic kā sociāli atbildīgu iepirkumu;
48.8. atbilstoši regulas Nr. 2021/241 27. pantam uzkrāj datus par kopīgo rādītāju "Jaunu vai modernizētu veselības aprūpes iestāžu jauda";
48.9. nodrošina atsevišķu projekta izmaksu, tai skaitā pievienotās vērtības nodokļa izmaksu, uzskaiti un nodalīšanu. Ja sākotnēji plānotais pievienotās vērtības nodokļa apmērs būs lielāks nekā faktiski nepieciešamais, nodrošina pārmaksātā pievienotās vērtības nodokļa atmaksāšanu.
49. Investīcijas ietvaros projektu īsteno saskaņā ar līgumu par projekta īstenošanu, bet ne ilgāk kā līdz 2026. gada 31. augustam, ievērojot, ka:
49.1. finansējuma saņēmējs izdevumus var veikt līdz 2026. gada 30. jūnijam;
49.2. finansējuma saņēmējs noslēguma maksājumu pieprasījumu iesniedz līdz 2026. gada 15. jūlijam;
49.3. līgumslēdzējs projekta noslēguma dokumentācijas pārbaudi veic un noslēguma maksājumu veic līdz 2026. gada 31. augustam.
50. Līgumslēdzējam ir tiesības vienpusēji atkāpties no noslēgtā līguma par projekta īstenošanu jebkurā no šādiem gadījumiem:
50.1. finansējuma saņēmējs nepilda līgumu par projekta īstenošanu, tai skaitā netiek ievēroti projektā noteiktie termiņi vai ir iestājušies citi apstākļi, kas negatīvi ietekmē vai var ietekmēt rādītāju sasniegšanu;
50.2. finansējuma saņēmējs projekta īstenošanas laikā apzināti ir sniedzis nepatiesu informāciju;
50.3. citos gadījumos, kas paredzēti līgumā par projekta īstenošanu.
51. Investīcijas ietvaros kā stratēģiski svarīgs projekts noteikts šo noteikumu pielikumā norādītais sabiedrības ar ierobežotu atbildību "Rīgas Austrumu klīniskā universitātes slimnīca" projekts. Sabiedrība ar ierobežotu atbildību "Rīgas Austrumu klīniskā universitātes slimnīca" ne retāk kā reizi pusgadā organizē komunikācijas pasākumu par projekta aktualitātēm, ne mazāk kā piecas darbdienas pirms pasākuma informējot līgumslēdzēju un nozares ministriju.
VIII. Līgumslēdzēja pienākumi
52. Līgumslēdzējs pēc finansējuma saņēmēja pieprasījuma nodrošina finansējuma pieprasīšanu avansa maksājuma, starpposma maksājuma, noslēguma maksājuma un pievienotās vērtības nodokļa izmaksu segšanai, ja attiecināms, no valsts budžeta atbilstoši gadskārtējā valsts budžeta likumā noteikto apropriācijas izmaiņu veikšanu reglamentējošajiem normatīvajiem aktiem.
53. Līgumslēdzējs apstiprina projekta mērķa sasniegšanu, pamatojoties uz šo noteikumu 43.4. apakšpunktā minēto dokumentu kopumu.
54. Līgumslēdzējs izlases veidā veic šādas normatīvajos aktos par Atveseļošanas fonda plāna īstenošanas un uzraudzības kārtību noteiktās pārbaudes:
54.1. pārbaudes par interešu konflikta, krāpšanas un korupcijas, un dubultfinansējuma riska pazīmēm;
54.2. pārbaudes projektu īstenošanas vietās;
54.3. projekta ieviešanas progresa un sasniegto rādītāju pārbaudes;
54.4. datu ticamības pārbaudes.
Ministru prezidents A. K. Kariņš
Veselības ministrs D. Pavļuts
Pielikums
Ministru kabineta
2022. gada 19. aprīļa
noteikumiem Nr. 254
Eiropas Savienības Atveseļošanas un noturības mehānisma plāna investīcijas 4.1.1.2.i. "Atbalsts universitātes un reģionālo slimnīcu veselības aprūpes infrastruktūras stiprināšanai, lai nodrošinātu visaptverošu ilgtspējīgu integrētu veselības pakalpojumu, mazinātu infekciju slimību izplatību, epidemioloģisko prasību nodrošināšanā" atbalsta saņēmēji un finansējuma sadalījums
|
Nr. |
Atbalsta saņēmējs |
Investīcijai pieejamais attiecināmais finansējums pa finansējuma avotiem: |
|||||
|
kopā |
atveseļošanas un noturības mehānisma plāna finansējums |
PVN |
nacionālais finansējums |
maksimālais valsts budžeta finansējums PVN segšanai |
privātais finansējums |
||
|
1 |
2 |
3 = 4 + 6 |
4 |
5 = 4×21 % |
6 = 7 + 8 |
7 = 5 - 8 |
8 |
| 1. | SIA "Rīgas Austrumu klīniskā universitātes slimnīca"* |
99 972 040,00 |
82 621 521,00 |
17 350 519,00 |
17 350 519,00 |
14 851 218,00 |
2 499 301,00 |
| 2. | VSIA "Paula Stradiņa klīniskā universitātes slimnīca" |
37 043 235,00 |
30 614 244,00 |
6 428 991,00 |
6 428 991,00 |
6 428 991,00 |
0,00 |
| 3. | VSIA "Bērnu klīniskā universitātes slimnīca" |
22 903 000,00 |
18 928 099,00 |
3 974 901,00 |
3 974 901,00 |
3 974 901,00 |
0,00 |
| 4. | SIA "Liepājas reģionālā slimnīca" |
3 589 856,00 |
2 966 823,00 |
623 033,00 |
623 033,00 |
623 033,00 |
0,00 |
| 5. | SIA "Ziemeļkurzemes reģionālā slimnīca" |
2 273 575,00 |
1 878 988,00 |
394 587,00 |
394 587,00 |
394 587,00 |
0,00 |
| 6. | SIA "Vidzemes slimnīca" |
2 812 053,00 |
2 324 011,00 |
488 042,00 |
488 042,00 |
488 042,00 |
0,00 |
| 7. | SIA "Daugavpils reģionālā slimnīca" |
4 786 474,00 |
3 955 764,00 |
830 710,00 |
830 710,00 |
830 710,00 |
0,00 |
| 8. | SIA "Rēzeknes slimnīca" |
2 967 615,00 |
2 452 574,00 |
515 041,00 |
515 041,00 |
515 041,00 |
0,00 |
| 9. | SIA "Jēkabpils reģionālā slimnīca" |
2 153 914,00 |
1 780 094,00 |
373 820,00 |
373 820,00 |
373 820,00 |
0,00 |
| 10. | SIA "Jelgavas pilsētas slimnīca" |
2 393 237,00 |
1 977 882,00 |
415 355,00 |
415 355,00 |
415 355,00 |
0,00 |
|
KOPĀ |
180 894 999,00 |
149 500 000,00 |
31 394 999,00 |
31 394 999,00 |
28 895 698,00 |
2 499 301,00 |
|
Piezīme. * Ministru kabineta sēdē 2021. gada 28. septembrī izskatīts un saskaņots VSIA "Rīgas Austrumu klīniskā universitātes slimnīca" informatīvais ziņojums (IEROBEŽOTA PIEEJAMĪBA), MK protokollēmums Nr. 64 55.§ "Informatīvais ziņojums "Par integrētās veselības aprūpes pieejas ieviešanu SIA "Rīgas Austrumu klīniskā universitātes slimnīca""" (2021-TA-2157)