
Jūrmalas pilsētas domes saistošie noteikumi: Šajā laidienā 2 Pēdējās nedēļas laikā 0 Visi
Jūrmalas pilsētas domes saistošie noteikumi Nr.21
Jūrmalā 2018.gada 24.maijā (prot. Nr.8, 4.p.)
Grozījumi Jūrmalas pilsētas domes 2010.gada 4.februāra saistošajos noteikumos Nr.6 "Jūrmalas pilsētas pašvaldības nolikums"
Izdoti saskaņā ar likuma "Par pašvaldībām"
21.panta pirmās daļas 1.punktu un 24.pantu
Izdarīt Jūrmalas pilsētas domes 2010.gada 4.februāra saistošajos noteikumos Nr.6 "Jūrmalas pilsētas pašvaldības nolikums" šādus grozījumus:
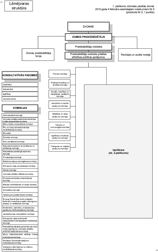
1. Svītrot 17.1.7.apakšpunktu.
2. Svītrot 17.2.2.apakšpunktu.
3. Papildināt ar 17.1.29.apakšpunktu šādā redakcijā:
"17.1.29. Ziedojumu (dāvinājumu) un dāvanu novērtēšanas komisija".
4. Izteikt 1.pielikumu šādā redakcijā:
Jūrmalas pilsētas domes priekšsēdētājs G.Truksnis
Paskaidrojuma raksts
Jūrmalas pilsētas domes 2018.gada 24.maija saistošajiem noteikumiem Nr.21
"Grozījumi Jūrmalas pilsētas domes 2010.gada 4.februāra saistošajos noteikumos
Nr.6 "Jūrmalas pilsētas pašvaldības nolikums""
|
Paskaidrojuma raksta sadaļas |
Norādāmā informācija |
| 1. Īss projekta satura izklāsts | Saskaņā ar likuma "Par pašvaldībām"
24.pantu pašvaldības nolikums ir saistošie noteikumi, kas nosaka
pašvaldības pārvaldes organizāciju, lēmumu pieņemšanas kārtību,
iedzīvotāju tiesības un pienākumus vietējā pārvaldē, kā arī citus
pašvaldības darba organizācijas jautājumus. Sakarā ar praktiska rakstura izmaiņām darba organizācijā Jūrmalas pilsētas domē (turpmāk – Dome) nepieciešams veikt grozījumus Domes 2010.gada 4.februāra saistošajos noteikumos Nr.6 "Jūrmalas pilsētas pašvaldības nolikums" (turpmāk – Nolikums), lai pašvaldības pārvaldības organizāciju regulējošajā normatīvajā aktā - Nolikumā ietvertā informācija par Domes struktūru atbilstu faktiskajai situācijai Domes darba organizācijā un izpildē. |
| 2. Projekta nepieciešamības pamatojums | Nolikuma tekstā ar šiem saistošajiem
noteikumiem tiek svītroti 17.1.7. un 17.2.2.apakšpunkti, svītrojot no
Domes komisiju sastāva Iedzīvotāju integrācijas jautājumu komisiju
(turpmāk – Integrācijas komisija) un no konsultatīvo padomju sastāva
Kultūras konsultatīvo padomi (turpmāk – Padome), kā arī Nolikums tiek
papildināts ar 17.1.29.apakšpunktu, papildinot Domes komisiju sastāvu ar
Ziedojumu (dāvinājumu) un dāvanu novērtēšanas komisiju, ņemot vērā
turpmāk minēto. 1. Ar Domes 2001.gada 4.jūlija lēmumu (Protokols Nr.10, 13.punkts) tika apstiprināts Domes nolikums Nr.34 "Jūrmalas pilsētas domes iedzīvotāju integrācijas jautājumu komisijas nolikums" (grozīts ar Domes 2005.gada 17.augusta lēmumu, Protokols Nr.16, 7.punkts), izveidojot Integrācijas komisiju, kā mērķis ir veicināt pilsoniskas sabiedrības izveidi, kas balstoties uz dažādu sociālo, etnisko grupu kopīgām pamatvērtībām, un ir cieši saistīts ar sabiedrības sociālo grupu interesēm, kā arī palīdzēt iedzīvotājiem iesaistīties pilsētas sabiedriskajā dzīvē (Domes nolikuma Nr.34 "Jūrmalas pilsētas domes iedzīvotāju integrācijas jautājumu komisijas nolikums" 3.1.apakšpunkts). Ar Domes 2009.gada 13.augusta lēmumu Nr.662 "Par iedzīvotāju integrācijas jautājumu komisiju" (grozīts ar 2010.gada 9.septembra lēmumu Nr.622, 2010.gada 7.oktobra lēmumu Nr.668, 2013.gada 2.maija lēmumu Nr.252) noteikts Integrācijas komisijas sastāvs. Uz šo Nolikuma grozījumu sagatavošanas brīdi konstatējams, ka Integrācijas komisija nav tikusi sasaukta kopš 2013.gada, kad ir sastādīts pēdējais šīs Integrācijas komisijas sēdes protokols. Ņemot vērā, ka aptuveni 5 gadus Integrācijas komisijas darbība nav notikusi, turklāt Integrācijas komisijas kompetencē esošo jautājumu aktualizēšana tiek veikta Domes esošās darba organizācijas jeb esošā administratīvā aparāta ietvaros, proti, Labklājības pārvaldes viena no funkcijām ir sabiedrības integrācijas joma, kuras ietvaros ir izveidota Sabiedrības integrācijas nodaļa. Labklājības pārvaldes Sabiedrības integrācijas nodaļa izstrādā un ievieš programmas, plānot, koordinē un īsteno pašvaldības atbalstu biedrībām un nodibinājumiem, veicina sociāli atstumto grupu integrāciju sabiedrībā un diskriminācijas novēršanu, mazina sociālo atstumtību, veicinot sociālo iekļaušanos un nodarbinātību dažādās sociālās grupās sabiedrības integrācijas jomā. Dome ir izveidojusi arī pastāvīgu Sociālo, veselības un integrācijas jautājumu komiteju, kas izskata jautājumus un lēmumu projektus par sociālo palīdzību, veselības aprūpi un par sabiedrības integrācijas lietām un sniedz atzinumus par tiem (Nolikuma 37.2 punkts). Domes darbība kopumā ir vērsta uz visu iedzīvotāju interešu aizstāvēšanu un realizēšanu, turklāt tās darbība ir atklāta un sabiedrības iesaiste un informēšana par Domes darbību regulāri tiek veikta ar Domes oficiālās tīmekļa vietnes un Jūrmalas pilsētas pašvaldības informatīvā izdevuma "Jūrmalas Avīzes" starpniecību, līdz ar to Integrācijas komisijas darbība nav lietderīga un no Nolikuma redakcijas ir svītrojama. 2. Ar Domes 2016.gada 14.jūlija lēmumu (Protokols Nr.9, 10.punkts) tika apstiprināts Domes nolikums Nr.30 "Ziedojumu (dāvinājumu), dāvanu pieņemšanas un izlietošanas nolikums", kas noteic ziedojumu (dāvinājumu) un dāvanu saņemšanas, uzskaites, izlietošanas un pārskatu sniegšanas kārtību, kā arī ziedojuma (dāvinājuma) saņēmēja saistības pret ziedotāju (dāvinātāju) (Domes nolikuma Nr.30 "Ziedojumu (dāvinājumu), dāvanu pieņemšanas un izlietošanas nolikums" 1.punkts). Šī nolikuma 5.9.apakšpunkts noteic, ka ar Domes priekšsēdētāja rīkojumu tiek izveidota komisija, kas novērtē un apstiprina ziedojuma (dāvinājuma) vērtību; sniedz Jūrmalas pilsētas domei vai pašvaldībai (lēmējinstitūcijai) atzinumu par ziedojumu (dāvinājumu) pieņemšanas lietderību un apstiprina ziedojuma (dāvinājuma) izmantošanas mērķi un nepieciešamības gadījumā termiņu; sniedz Domei vai pašvaldībai (lēmējinstitūcijai) atzinumu, ka ir ievēroti likuma "Par interešu konflikta novēršanu valsts amatpersonu darbībā" minētie priekšnoteikumi, lai ziedojums (dāvinājums) varētu tikt pieņemts un nav konstatēti minētajā likumā ietvertie ierobežojumi, t.sk. ziedojuma (dāvinājuma) pieņemšanas pieļaujamība; reģistrē, novērtē un pieņem lēmumu par dāvanu izmantošanu. Ar Domes priekšsēdētāja 2016.gada 9.septembra rīkojumu Nr.1.1-14/257 "Par Ziedojumu (dāvinājumu) un dāvanu novērtēšanas komisijas izveidošanu" izveidota minētā komisija, noteikts tās sastāvs un uzdevumi. Ņemot vērā, ka Ziedojumu (dāvinājumu) un dāvanu novērtēšanas komisijas darbs tiek nodrošināts un komisija nodrošina tās kompetencē esošo jautājumu izskatīšanu, Ziedojumu (dāvinājumu) un dāvanu novērtēšanas komisija ietverama Domes Nolikuma komisiju sastāvā. 3. Ar Domes 2016.gada 8.jūnija lēmumu (Protokols Nr.7, 11.punkts) tika apstiprināts Domes nolikums Nr.27 "Kultūras konsultatīvās padomes nolikums", kas paredz Padomes izveidošanu, nosakot, ka tā ir konsultatīva institūcija, kas līdzdarbojas kultūras jautājumu risināšanā ar padomdevēja un ierosinājumu tiesībām (Domes nolikuma Nr.27 "Kultūras konsultatīvās padomes nolikums" 1.punkts). Saskaņā ar šī nolikuma 7.punktu pārstāvjus darbam Padomē izvirza profesionālās un nevalstiskās kultūras organizācijas. Lai gan Domes Kultūras nodaļa tika uzrunājusi, pieprasījums jeb iniciatīva darbībai Padomē no profesionālām un nevalstiskajām kultūras organizācijām netika izrādīta, Padomes sastāvs netika noteikts, attiecīgi, kopš Padomes izveidošanas, neviena Padomes sēde nav noturēta. Ņemot vērā, ka pieprasījuma pēc dalības Padomē nav, turklāt Domes Kultūras nodaļas ietvaros tiek nodrošināta sadarbība ar profesionālām un nevalstiskajām kultūras organizācijām (Domes 2013.gada 12.septembra nolikuma Nr.23 "Kultūras nodaļas nolikums" 5.9.apakšpunkts), Padome no Nolikuma redakcijas ir svītrojama. |
| 3. Informācija par plānoto projekta ietekmi uz pašvaldības budžetu | Nav ietekmes. |
| 4. Informācija par plānoto projekta ietekmi uz uzņēmējdarbības vidi pašvaldības teritorijā | Nav ietekmes. |
| 5. Informācija par administratīvajām procedūrām | Nav ietekmes. |
| 6. Informācija par konsultācijām ar privātpersonām | Nav nepieciešama. |
Jūrmalas pilsētas domes priekšsēdētājs G.Truksnis