
Sabiedrisko pakalpojumu regulēšanas komisijas lēmumi: Šajā laidienā 1 Pēdējās nedēļas laikā 1 Visi
Sabiedrisko pakalpojumu regulēšanas komisijas padomes lēmums Nr.1/2
Rīgā 2017.gada 12.janvārī (prot. Nr.2, 5.p.)
Grozījumi Sabiedrisko pakalpojumu regulēšanas komisijas 2014.gada 26.februāra lēmumā Nr.1/5 "Obligātā iepirkuma komponenšu aprēķināšanas metodika"
Izdoti saskaņā ar Elektroenerģijas tirgus likuma
28.panta piekto daļu, 28.1 panta ceturto daļu,
30.panta trešo daļu,
pārejas noteikumu 53.punktu
un likuma "Par sabiedrisko pakalpojumu regulatoriem"
25.panta pirmo daļu
1. Izdarīt Sabiedrisko pakalpojumu regulēšanas komisijas 2014.gada 26.februāra lēmumā Nr.1/5 "Obligātā iepirkuma komponenšu aprēķināšanas metodika" (Latvijas Vēstnesis, 2014, 43.nr., 2014, 149.nr., 2015, 18.nr., 2016, 7.nr.) šādus grozījumus:
1.1. norādē, uz kāda likuma pamata metodika izdota, svītrot skaitli un vārdus "29.1 panta ceturto daļu";
1.2. izteikt 11.punktu šādā redakcijā:
"11. Obligātajam iepirkumam no ražotājiem, kas elektroenerģiju ražo koģenerācijā, obligātā iepirkuma komponenti Tkoģ+ [EUR/kWh] aprēķina šādi:
kur
K – stundu skaits gadā;
D – dotācijas apmērs [EUR];
Ibal – publiskā tirgotāja balansēšanas enerģijas izmaksas, kuras rodas, veicot balansēšanu ražotājiem, kas elektroenerģiju ražo koģenerācijā, un ražotājiem, kas elektroenerģijas ražošanai izmanto atjaunojamos energoresursus (turpmāk – balansēšanas izmaksas) [EUR];
Eliet – kopējais Latvijas galalietotāju elektroenerģijas patēriņš [kWh].";
1.3. izteikt 12.punktu šādā redakcijā:
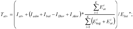
"12. Obligātajam iepirkumam no ražotājiem, kas elektroenerģiju ražo, izmantojot atjaunojamos energoresursus, obligātā iepirkuma komponenti Tat+ [EUR/kWh] aprēķina šādi:
1.4. visā tekstā aizstāt vārdus "Nord Pool Spot AS" ar vārdiem "Nord Pool AS".
2. Lēmums stājas spēkā nākamajā dienā pēc tā publicēšanas oficiālajā izdevumā "Latvijas Vēstnesis".
Sabiedrisko pakalpojumu regulēšanas komisijas
padomes priekšsēdētājs R.Irklis