
Sabiedrisko pakalpojumu regulēšanas komisijas lēmumi: Šajā laidienā 1 Pēdējās nedēļas laikā 0 Visi
Sabiedrisko pakalpojumu regulēšanas komisijas padomes lēmums Nr.1/21
Rīgā 2015.gada 3.decembrī (prot. Nr.37, 12.p.)
Elektronisko sakaru pakalpojumu kvalitātes prasību, kvalitātes pārskatu iesniegšanas un publiskošanas noteikumi
Izdoti saskaņā ar Elektronisko sakaru likuma
59.panta pirmo daļu
un likuma "Par sabiedrisko pakalpojumu regulatoriem"
25.panta pirmo daļu
I. Vispārīgie jautājumi
1. Elektronisko sakaru pakalpojumu kvalitātes prasību, kvalitātes pārskatu iesniegšanas un publiskošanas noteikumi (turpmāk – noteikumi) nosaka elektronisko sakaru komersantu (turpmāk – komersants) sniegto elektronisko sakaru pakalpojumu (turpmāk – pakalpojums) kvalitātes prasības, kvalitātes pārskatu iesniegšanas un publiskošanas kārtību.
2. Noteikumos lietoti šādi termini:
2.1. 20 sekunžu laikā atbildēto izsaukumu skaits – parametrs, kas procentos nosaka izsaukumu skaitu, uz kuriem atbildēts 20 sekunžu laikā, un kas ietver savienošanas laiku un laiku no brīža, kad konstatē izsaukuma kontroles signālu vai paziņojumu par gaidīšanu rindā, līdz bojājumu pieteikumu pieņemšanas dienesta vai visaptveroša telefona uzziņu dienesta darbinieka atbildei;
2.2. atbildes laiks uz izsaukumu – parametrs, kas sekundēs nosaka laika posmu no izsaucamā numura nosūtīšanas brīža līdz bojājumu pieteikumu pieņemšanas dienesta vai visaptveroša telefona uzziņu dienesta darbinieka atbildei;
2.3. bojājumu pieteikumu pieņemšanas dienests – operatora dienests, kas nodrošina bojājumu pieteikumu pieņemšanu no abonenta;
2.4. īsziņa – teksta ziņojums, kas ietver līdz 160 rakstu zīmēm (burti un cipari);
2.5. īsziņas sūtīšanas laiks – parametrs, kas sekundēs nosaka laika posmu no īsziņas teksta un numura nosūtīšanas brīža līdz brīdim, kad īsziņa piegādāta adresātam;
2.6. klients – fiziska vai juridiska persona, kura komersantam, kas nodrošina fiksēto elektronisko sakaru tīklu, iesniedz pieteikumu par abonentlīnijas ierīkošanu;
2.7. latentums1 – parametrs, kas milisekundēs raksturo laika aizturi starp pakešu sūtīšanu un saņemšanu posmā no galalietotāja galiekārtas līdz Latvijas interneta apmaiņas punktam abos virzienos;
2.8. nesekmīgo savienojumu koeficients – parametrs, kas procentos nosaka nesekmīgo savienojumu skaita attiecību pret kopējo veikto savienojumu mēģinājumu skaitu;
2.9. nesekmīgi sūtīto īsziņu koeficients – parametrs, kas procentos nosaka nesekmīgi sūtīto īsziņu skaita attiecību pret kopējo sūtīto īsziņu skaitu;
2.10. pakešu zuduma koeficients2 – parametrs, kas procentos nosaka zaudēto pakešu attiecību pret kopējo nosūtīto pakešu skaitu;
2.11. pakete – nedalāms datu bloks, ko pārsūta elektronisko sakaru tīklā datu pārraides vai publiskā interneta piekļuves pakalpojuma nodrošināšanai;
2.12. pieslēguma ātrums – parametrs, kas kilobitos vai megabitos sekundē raksturo informācijas apmaiņas ātrumu (augšupielādes un lejupielādes) datu kanālā, posmā no galalietotāja galiekārtas līdz Latvijas interneta apmaiņas punktam;
2.13. savienošanas laiks – parametrs, kas sekundēs nosaka laika posmu no izsaucamā numura nosūtīšanas brīža līdz brīdim, kad konstatē izsaukuma kontroles signālu, aizņemtības signālu vai atbildi;
2.14. trīce3 – parametrs, kas milisekundēs nosaka laika aiztures nevienmērību starp pakešu sūtīšanu un saņemšanu, kas rodas elektronisko sakaru tīkla ierobežotas caurlaides spējas dēļ, piemēram, pārslodze, maršruta maiņa, pakešu zudumi un citi;
2.15. vidējais atbildes laiks uz izsaukumu – parametrs, kas sekundēs nosaka kopējo atbildes laiku uz izsaukumu summas attiecību pret kopējo veikto izsaukumu skaitu;
2.16. vidējais īsziņas sūtīšanas laiks – parametrs, kas sekundēs nosaka kopējo īsziņu sūtīšanas laiku summas attiecību pret kopējo sekmīgi adresātam piegādāto īsziņu skaitu;
2.17. vidējais latentums – parametrs, kas milisekundēs nosaka latentuma vidējo aritmētisko vērtību no kopējā mērījumu skaita;
2.18. vidējais pakešu zuduma koeficients – parametrs, kas procentos nosaka pakešu zuduma koeficienta vidējo aritmētisko vērtību no kopējā mērījumu skaita;
2.19. vidējais savienošanas laiks – parametrs, kas sekundēs nosaka kopējo savienojumu laiku summas attiecību pret kopējo sekmīgo savienojumu skaitu;
2.20. vidējā runas pārraides kvalitāte – parametrs, kas ballēs nosaka runas pārraides kvalitātes vidējo aritmētisko vērtību no kopējā mērījumu skaita.
2.21. vidējā trīce – parametrs, kas milisekundēs nosaka trīces vidējo aritmētisko vērtību no kopējā mērījumu skaita.
3. Komersants, uzsākot pakalpojumu sniegšanu vai pēc Sabiedrisko pakalpojumu regulēšanas komisijas (turpmāk – Regulators) pieprasījuma iesniedz Regulatoram tā noteiktajā kārtībā informāciju par sniegtajiem pakalpojumiem un pakalpojuma sniegšanai izmantotajiem elektronisko sakaru tīkliem (1.pielikums) par šādiem pakalpojumiem:
3.1. balss telefonijas pakalpojums:
3.1.1. iekšzemes balss telefonijas pakalpojums fiksētā elektronisko sakaru tīklā;
3.1.2. iekšzemes balss telefonijas pakalpojums mobilā elektronisko sakaru tīklā (turpmāk šo noteikumu 3.1.1.un 3.1.2.apakšpunktā minētie pakalpojumi – iekšzemes balss telefonijas pakalpojums);
3.1.3. iekšzemes balss telefonijas pakalpojums, izmantojot elektronisko sakaru tīklu starpsavienojumu (turpmāk – balss starpsavienojuma pakalpojums);
3.1.4. starptautiskais balss telefonijas pakalpojums fiksētā elektronisko sakaru tīklā;
3.1.5. starptautiskais balss telefonijas pakalpojums mobilā elektronisko sakaru tīklā;
3.1.6. balss telefonijas viesabonēšanas pakalpojums;
3.1.7. balss telefonijas pakalpojums, izmantojot specializētu programmatūru – lietotni;
3.1.8. radiokomunikāciju pakalpojums;
3.2. publiskais taksofonu pakalpojums;
3.3. publiskais datu un elektronisko ziņojumu pārraides pakalpojums:
3.3.1. datu pārraides pakalpojums fiksētā elektronisko sakaru tīklā;
3.3.2. datu pārraides pakalpojums mobilā elektronisko sakaru tīklā;
3.3.3. elektronisko ziņojumu pārraides pakalpojums fiksētā elektronisko sakaru tīklā;
3.3.4. elektronisko ziņojumu pārraides pakalpojums mobilā elektronisko sakaru tīklā (turpmāk – īsziņu pakalpojums4);
3.3.5. elektronisko ziņojumu pārraides pakalpojums, izmantojot mobilo elektronisko sakaru tīklu starpsavienojumu (turpmāk – īsziņu starpsavienojuma pakalpojums);
3.3.6. elektronisko ziņojumu pārraides pakalpojums, izmantojot specializētu programmatūru – lietotni
3.3.7. datu pārraides viesabonēšanas pakalpojums;
3.3.8. elektronisko ziņojumu pārraides viesabonēšanas pakalpojums;
3.4. publiskais interneta piekļuves pakalpojums:
3.4.1. šaurjoslas interneta piekļuves pakalpojums fiksētā elektronisko sakaru tīklā;
3.4.2. šaurjoslas interneta piekļuves pakalpojums mobilā elektronisko sakaru tīklā;
3.4.3. platjoslas interneta piekļuves pakalpojums fiksētā elektronisko sakaru tīklā;
3.4.4. platjoslas interneta piekļuves pakalpojums mobilā elektronisko sakaru tīklā (turpmāk šo noteikumu 3.4.1. – 3.4.4.apakšpunktā minētie pakalpojumi – interneta pakalpojums);
3.4.5. interneta piekļuves viesabonēšanas pakalpojums.
3.5. radio un televīzijas programmu izplatīšanas pakalpojums (turpmāk – televīzijas programmu izplatīšanas pakalpojums):
3.5.1. radio un televīzijas programmu izplatīšanas pakalpojums fiksētā elektronisko sakaru tīkla;
3.5.2. radio un televīzijas programmu izplatīšanas pakalpojums mobilā elektronisko sakaru tīklā;
3.6. nomāto līniju pakalpojums;
3.7. starpsavienojuma pakalpojums;
3.8. piekļuves pakalpojums.
4. Komersants saskaņā ar šo noteikumu III un V nodaļu iesniedz Regulatoram tā noteiktajā kārtībā pakalpojuma kvalitātes deklarāciju un kvalitātes pārskatu par sniegto pakalpojumu kvalitāti šādiem šo noteikumu 3.punktā noteiktajiem mazumtirdzniecībā sniegtajiem pakalpojumiem:
4.1. iekšzemes balss telefonijas pakalpojums;
4.2. balss starpsavienojuma pakalpojums;
4.3. īsziņu pakalpojums;
4.4. īsziņu starpsavienojuma pakalpojums;
4.5. televīzijas programmu izplatīšanas pakalpojums;
4.6. interneta pakalpojums.
5. Komersantam, kuram saskaņā ar Regulatora lēmumu ir noteikts pienākums sniegt universālo pakalpojumu (turpmāk – universālā pakalpojuma sniedzējs), saskaņā ar šo noteikumu VI nodaļu iesniedz Regulatoram tā noteiktajā kārtībā pakalpojuma kvalitātes deklarāciju un kvalitātes pārskatu par sniegto pakalpojumu kvalitāti šādiem pakalpojumiem:
5.1. iekšzemes balss telefonijas pakalpojums fiksētā elektronisko sakaru tīklā;
5.2. bojājumu pieteikumu pieņemšanas dienesta pakalpojums;
5.3. visaptveroša telefona uzziņu dienesta pakalpojums.
6. Šo noteikumu 3.1.4. – 3.1.8.; 3.2.; 3.3.1. – 3.3.3.; 3.3.6 – 3.3.8.; 3.4.5. un 3.6.apakšpunktā noteiktajiem mazumtirdzniecībā sniegtajiem pakalpojumiem komersants pats nosaka kvalitātes prasības.
7. Šo noteikumu 3.punktā noteiktajiem vairumtirdzniecībā sniegtajiem pakalpojumiem komersants kvalitātes prasības ietver komersantu savstarpēji noslēgtā līgumā.
8. Regulatorā iesniegtās komersanta pakalpojuma kvalitātes deklarācijas un kvalitātes pārskati ir publiski pieejami Regulatora mājaslapā internetā www.sprk.gov.lv.
II. Pakalpojumu kvalitātes parametru un to vērtību noteikšanas kārtība
9. Komersants nosaka un deklarē pakalpojumu kvalitātes parametru vērtības pakalpojuma kvalitātes deklarācijā Regulatora noteiktajiem pakalpojumu kvalitātes parametriem, ņemot vērā pakalpojumu kvalitātes deklarācijas veidlapā norādītos nosacījumus.
10. Gadījumos, kad komersants sniedz pakalpojumu, izmantojot cita operatora elektronisko sakaru tīklu un nevar nodrošināt pakalpojuma kvalitātes parametru vērtību noteikšanu, komersantam ir pienākums iegūt informāciju par pakalpojuma kvalitātes parametru vērtībām no operatora, kurš nodrošina elektronisko sakaru tīklu un iesniegt Regulatoram.
11. Universālā pakalpojuma sniedzējs nosaka un deklarē pakalpojumu kvalitātes parametru vērtības šo noteikumu VI nodaļā noteiktajā kārtībā.
III. Mazumtirdzniecībā sniegto pakalpojumu kvalitātes deklarāciju iesniegšanas kārtība
12. Komersants, kurš sniedz iekšzemes balss telefonijas pakalpojumu, reizi gadā līdz 1.februārim iesniedz Regulatorā šo noteikumu 2.pielikuma pakalpojuma kvalitātes deklarāciju par esošo kalendāro gadu. Ja komersants uzsāk pakalpojuma sniegšanu pēc esošā kalendārā gada 1.februāra, tad šo noteikumu 2.pielikuma pakalpojuma kvalitātes deklarāciju komersants iesniedz Regulatorā ne vēlāk kā vienu dienu pēc pakalpojuma sniegšanas uzsākšanas.
13. Komersants, kurš sniedz balss starpsavienojuma pakalpojumu, reizi gadā līdz 1.februārim iesniedz Regulatorā šo noteikumu 3.pielikuma pakalpojuma kvalitātes deklarāciju par esošo kalendāro gadu. Ja komersants uzsāk pakalpojuma sniegšanu pēc esošā kalendārā gada 1.februāra, tad šo noteikumu 3.pielikuma pakalpojuma kvalitātes deklarāciju komersants iesniedz Regulatorā ne vēlāk kā vienu dienu pēc pakalpojuma sniegšanas uzsākšanas.
14. Komersants, kurš sniedz īsziņu pakalpojuma, reizi gadā līdz 1.februārim iesniedz Regulatorā šo noteikumu 4.pielikuma pakalpojuma kvalitātes deklarāciju par esošo kalendāro gadu. Ja komersants uzsāk pakalpojuma sniegšanu pēc esošā kalendārā gada 1.februāra, tad šo noteikumu 4.pielikuma pakalpojuma kvalitātes deklarāciju komersants iesniedz Regulatorā ne vēlāk kā vienu dienu pēc pakalpojuma sniegšanas uzsākšanas.
15. Komersants, kurš sniedz īsziņu starpsavienojuma pakalpojumu, reizi gadā līdz 1.februārim iesniedz Regulatorā šo noteikumu 5.pielikuma pakalpojuma kvalitātes deklarāciju par esošo kalendāro gadu. Ja komersants uzsāk pakalpojuma sniegšanu pēc esošā kalendārā gada 1.februāra, tad šo noteikumu 5.pielikuma pakalpojuma kvalitātes deklarāciju komersants iesniedz Regulatorā ne vēlāk kā vienu dienu pēc pakalpojuma sniegšanas uzsākšanas.
16. Komersants, kurš sniedz televīzijas programmu izplatīšanas pakalpojumu, reizi gadā līdz 1.februārim iesniedz Regulatorā šo noteikumu 6.pielikuma pakalpojuma kvalitātes deklarāciju par esošo kalendāro gadu. Ja komersants uzsāk pakalpojuma sniegšanu pēc esošā kalendārā gada 1.februāra, tad šo noteikumu 6.pielikuma pakalpojuma kvalitātes deklarāciju komersants iesniedz Regulatorā ne vēlāk kā vienu dienu pēc pakalpojuma sniegšanas uzsākšanas.
17. Komersants, kurš sniedz interneta pakalpojumu, reizi gadā līdz 1.februārim iesniedz Regulatorā šo noteikumu 7.pielikuma pakalpojuma kvalitātes deklarāciju par esošo kalendāro gadu. Ja komersants uzsāk pakalpojuma sniegšanu pēc esošā kalendārā gada 1.februāra, tad šo noteikumu 7.pielikuma pakalpojuma kvalitātes deklarāciju komersants iesniedz Regulatorā ne vēlāk kā vienu dienu pēc pakalpojuma sniegšanas uzsākšanas.
IV. Mazumtirdzniecībā sniegto pakalpojumu kvalitātes mērījumu veikšana
18. Pakalpojumu kvalitātes mērījumus (turpmāk – mērījumi) veic komersants vai Regulators šajos noteikumos noteiktajiem parametriem.
19. Iekšzemes balss telefonijas pakalpojuma mērījumus veic šādiem parametriem:
19.1. ierīkošanas laiks dienās;
19.2. bojājumu skaits;
19.3. bojājumu novēršanas laiks stundās;
19.4. nesekmīgo savienojumu skaits;
19.5. savienošanas laiks sekundēs;
19.6. runas pārraides kvalitāte ballēs;
19.7. rēķinu precizitāte procentos.
20. Mērījumus šo noteikumu 19.punktā noteiktajiem parametriem veic komersants, kurš sniedz iekšzemes balss telefonijas pakalpojumu, vai Regulators atbilstoši šajos noteikumos noteiktajiem nosacījumiem (8.pielikuma 1.tabula), nodrošinot mērījumu rezultātu ticamības pakāpi ne mazāku kā 95 procenti un relatīvo mērījumu precizitāti ne mazāku kā 10 procenti.
21. Balss starpsavienojuma pakalpojuma mērījumu veic šādiem parametriem:
21.1. nesekmīgo savienojumu skaits;
21.2. savienošanas laiks sekundēs.
22. Mērījumus šo noteikumu 21.punktā noteiktajiem parametriem veic komersants, kurš sniedz balss starpsavienojuma pakalpojumu, vai Regulators atbilstoši šajos noteikumos noteiktajiem nosacījumiem (8.pielikuma 2.tabula), nodrošinot mērījumu rezultātu ticamības pakāpi ne mazāku kā 60 procenti un relatīvo mērījumu precizitāti ne mazāku kā 10 procenti.
23. Īsziņu pakalpojuma un īsziņu starpsavienojuma pakalpojuma mērījumus veic šādiem parametriem:
23.1. nesekmīgi sūtīto īsziņu skaits;
23.2. īsziņas sūtīšanas laiks sekundēs.
24. Mērījumus šo noteikumu 23.punktā noteiktajiem parametriem veic komersants, kurš sniedz īsziņu pakalpojumu un īsziņu starpsavienojuma pakalpojumu mobilā elektronisko sakaru tīklā, vai Regulators atbilstoši šajos noteikumos noteiktajiem nosacījumiem (8.pielikuma 3. un 4.tabula), nosūtot ne mazāk kā 1000 īsziņu.
25. Televīzijas programmu izplatīšanas pakalpojuma mērījumus veic šādiem parametriem:
25.1. ierīkošanas laiks dienās;
25.2. bojājumu skaits;
25.3. bojājumu novēršanas laiks stundās;
25.4. attēla kvalitātes subjektīvais vizuālais vērtējums ballēs.
26. Mērījumus šo noteikumu 25.punktā noteiktajiem parametriem veic komersants, kurš sniedz televīzijas programmu izplatīšanas pakalpojumu, vai Regulators atbilstoši šajos noteikumos noteiktajiem nosacījumiem (8.pielikuma 5.tabula).
27. Interneta pakalpojuma mērījumus veic šādiem parametriem:
27.1. ierīkošanas laiks dienās;
27.2. bojājumu skaits;
27.3. bojājumu novēršanas laiks stundās;
27.4. augšupielādes un lejupielādes ātrums megabiti sekundē;
27.5. latentums milisekundēs;
27.6. trīce milisekundēs;
27.7. pakešu zuduma koeficients procentos;
27.8. pakalpojuma pieejamība procentos.
28. Mērījumus šo noteikumu 27.punktā noteiktajiem parametriem veic komersants, kurš sniedz interneta pakalpojumu, vai Regulators atbilstoši šajos noteikumos noteiktajiem nosacījumiem (8.pielikuma 6.tabula).
29. Regulators pēc savas iniciatīvas izvēles kārtā veic šajos noteikumos noteikto pakalpojumu kvalitātes parametru mērījumus un par to rakstiski informē komersantu ne vēlāk kā 30 dienas pirms mērījumu uzsākšanas.
V. Mazumtirdzniecībā sniegto pakalpojumu kvalitātes pārskatu iesniegšanas kārtība
30. Komersants veic mērījumus un nosaka pakalpojuma kvalitātes parametru vērtības kvalitātes pārskatā, ņemot vērā kvalitātes pārskata veidlapā norādītos nosacījumus.
31. Gadījumos, kad komersants sniedz pakalpojumu, izmantojot cita operatora elektronisko sakaru tīklu un nevar nodrošināt pakalpojuma kvalitātes parametru mērījumus, komersantam ir pienākums iegūt informāciju par pakalpojuma kvalitātes parametru vērtībām no operatora, kurš nodrošina elektronisko sakaru tīklu, un iesniegt Regulatoram.
32. Komersants, kurš sniedz iekšzemes balss telefonijas pakalpojumu vairāk kā 1 000 galalietotājiem iepriekšējā kalendārā gada 1.pusgada beigās un kurš saskaņā ar šiem noteikumiem veic mērījumus (8.pielikuma 1.tabula), reizi gadā līdz 1.februārim iesniedz Regulatorā šo noteikumu 9.pielikuma kvalitātes pārskatu par iepriekšējo kalendāro gadu.
33. Komersants, kurš sniedz balss starpsavienojuma pakalpojumu vairāk kā 1 000 galalietotājiem iepriekšējā kalendārā gada 1.pusgada beigās un kurš saskaņā ar šiem noteikumiem veic mērījumus (8.pielikuma 2.tabula), reizi gadā līdz 1.februārim iesniedz Regulatorā šo noteikumu 10.pielikuma kvalitātes pārskatu par iepriekšējo kalendāro gadu.
34. Komersants, kurš sniedz īsziņu pakalpojumu vairāk kā 1 000 galalietotājiem iepriekšējā kalendārā gada 1.pusgada beigās, un kurš saskaņā ar šiem noteikumiem veic mērījumus (8.pielikuma 3.tabula), reizi gadā līdz 1.februārim iesniedz Regulatorā šo noteikumu 11.pielikuma kvalitātes pārskatu par iepriekšējo kalendāro gadu.
35. Komersants, kurš sniedz īsziņu starpsavienojuma pakalpojumu vairāk kā 1 000 galalietotājiem iepriekšējā kalendārā gada 1.pusgada beigās un kurš saskaņā ar šiem noteikumiem veic mērījumus (8.pielikuma 4.tabula), reizi gadā līdz 1.februārim iesniedz Regulatorā šo noteikumu 12.pielikuma kvalitātes pārskatu par iepriekšējo kalendāro gadu.
36. Komersants, kurš sniedz televīzijas programmu izplatīšanas pakalpojumu, vairāk kā 1 000 galalietotājiem iepriekšējā kalendārā gada 1.pusgada beigās un kurš saskaņā ar šiem noteikumiem veic mērījumus (8.pielikuma 5.tabula), reizi gadā līdz 1.februārim iesniedz Regulatorā šo noteikumu 13.pielikuma kvalitātes pārskatu par iepriekšējo kalendāro gadu.
37. Komersants, kurš sniedz interneta pakalpojumu, vairāk kā 1 000 galalietotāju iepriekšējā kalendārā gada 1.pusgada beigās un kurš saskaņā ar šiem noteikumiem veic mērījumus (8.pielikuma 6.tabula), iesniedz Regulatorā šo noteikumu 14.pielikuma kvalitātes pārskatu reizi gadā līdz 1.februārim par iepriekšējo kalendāro gadu.
VI. Universālā pakalpojuma kvalitātes prasības
38. Regulators nosaka universālā pakalpojuma sniedzējam kvalitātes parametrus un parametru vērtības šo noteikumu 4.punktā noteiktajiem pakalpojumiem.
39. Regulators nosaka universālā pakalpojuma sniedzējam pakalpojumu kvalitātes parametru vērtības (15.pielikums).
40. Universālā pakalpojuma sniedzējs nosaka un deklarē pakalpojumu kvalitātes vērtības tiem pakalpojumu kvalitātes parametriem, kuriem saskaņā ar šiem noteikumiem (15.pielikums) Regulators nav noteicis pakalpojumu kvalitātes parametru vērtības.
41. Universālā pakalpojuma sniedzējs, nosakot pakalpojumu kvalitātes parametru vērtības pakalpojuma kvalitātes deklarācijā, ņem vērā pakalpojuma kvalitātes deklarācijas veidlapā norādītos nosacījumus.
42. Universālā pakalpojuma sniedzējs reizi gadā līdz 1.februārim iesniedz Regulatorā šo noteikumu 16.pielikuma pakalpojuma kvalitātes deklarāciju par esošo kalendāro gadu.
43. Universālā pakalpojuma mērījumus veic šādiem parametriem:
43.1. abonentlīniju ierīkošanas laiks dienās:
43.1.1. dienu skaits no pieteikuma saņemšanas dienas līdz ierīkošanas dienai 95 procentiem ierīkoto abonentlīniju;
43.1.2. abonentlīniju skaits procentos no visām ierīkotajām abonentlīnijām, kas ierīkotas ar klientu norunātajā laikā;
43.2. pieteikto bojājumu skaits uz vienu abonentlīniju;
43.3. bojājumu novēršanas laiks:
43.3.2. stundu skaits no bojājuma pieteikuma saņemšanas brīža līdz bojājuma novēršanas brīdim, lai novērstu 95 procentus abonentlīniju bojājumu;
43.3.3. bojājumu skaits procentos no pieteiktajiem bojājumiem, kas novērsti trīs dienu laikā;
43.4. nesekmīgo savienojumu skaits;
43.5. savienošanas laiks sekundēs;
43.6. rēķinu precizitāte procentos;
43.7. visaptveroša uzziņu dienesta atbildes laiks sekundēs;
43.8. bojājumu pieteikuma pieņemšanas dienesta atbildes laiks sekundēs.
44. Mērījumus šo noteikumu 43.punktā noteiktajiem parametriem veic universālā pakalpojuma sniedzējs vai Regulators atbilstoši šajos noteikumos noteiktajiem nosacījumiem (8.pielikuma 7.tabula).
45. Universālā pakalpojuma sniedzējs veic mērījumus un nosaka pakalpojumu kvalitātes parametru vērtības kvalitātes pārskatā, ņemot vērā kvalitātes pārskata veidlapā norādītos nosacījumus.
46. Universālā pakalpojuma sniedzējs reizi gadā līdz 1.februārim iesniedz Regulatorā šo noteikumu 17.pielikuma kvalitātes pārskatu par iepriekšējo kalendāro gadu.
VII. Noslēguma jautājumi
47. Atzīt par spēku zaudējušu Sabiedrisko pakalpojumu regulēšanas komisijas 2013.gada 4.decembra lēmumu Nr.1/31 "Elektronisko sakaru pakalpojumu kvalitātes prasību, kvalitātes pārskatu iesniegšanas un publiskošanas noteikumi" (Latvijas Vēstnesis, 2013, 241.nr.).
48. Šie noteikumi stājas spēkā 2016.gada 1.janvārī.
Informatīvā atsauce uz Eiropas Savienības direktīvām
Noteikumos ir iekļautas tiesību normas, kas izriet no šādām Eiropas Savienības direktīvām:
1) Eiropas Parlamenta un Padomes 2002.gada 7.marta direktīvas 2002/22/EK par universālo pakalpojumu un lietotāju tiesībām attiecībā uz elektronisko sakaru tīkliem un pakalpojumiem (universālā pakalpojuma direktīva);
2) Eiropas Parlamenta un Padomes 2009.gada 25.novembra direktīvas 2009/136/EK, ar ko groza direktīvu 2002/22/EK par universālo pakalpojumu un lietotāju tiesībām attiecībā uz elektronisko sakaru tīkliem un pakalpojumiem, direktīvu 2002/58/EK par personas datu apstrādi un privātās dzīves aizsardzību elektronisko komunikāciju nozarē un regulu (EK) Nr.2006/2004 par sadarbību starp valsts iestādēm, kas atbildīgas par tiesību aktu īstenošanu patērētāju tiesību aizsardzības jomā.
1 angļu val. – Latency (Round Trip Delay)
2 angļu val. – Packet Loss Ratio
3 angļu val. – Jitter
4 angļu val. – Short Message Service
Sabiedrisko pakalpojumu regulēšanas komisijas padomes
priekšsēdētājs V.Lokenbahs
1.pielikums
Sabiedrisko pakalpojumu
regulēšanas komisijas
2015.gada 3.decembra lēmumam Nr.1/21
Informācija par sniegtajiem elektronisko sakaru pakalpojumiem un pakalpojuma sniegšanai izmantotajiem elektronisko sakaru tīkliem
|
Elektronisko sakaru komersanta nosaukums |
||
|
Vienotais reģistrācijas numurs |
|
Elektronisko sakaru pakalpojums |
Piekļuves tīkls |
Pamattīkls |
Vairumtirdzniecība/ |
||||
| Balss telefonijas pakalpojums | |||||||
|
|
Iekšzemes balss telefonijas pakalpojums fiksētā elektronisko sakaru tīklā |
|
Savs |
|
Savs |
|
vairumtirdzniecība |
|
|
Cits |
|
Cits |
|
mazumtirdzniecība | ||
| Komersanta nosaukums: |
Komersanta nosaukums: |
Teritorija* : |
|||||
|
|
Iekšzemes balss telefonijas pakalpojums mobilā elektronisko sakaru tīklā |
|
Savs |
|
Savs |
|
vairumtirdzniecība |
|
|
Cits |
|
Cits |
|
mazumtirdzniecība | ||
| Komersanta nosaukums: |
Komersanta nosaukums: |
Teritorija*: |
|||||
|
|
Iekšzemes balss telefonijas pakalpojums izmantojot elektronisko sakaru tīklu starpsavienojumu |
|
Savs |
|
Savs |
|
vairumtirdzniecība |
|
|
Cits |
|
Cits |
|
mazumtirdzniecība | ||
| Komersanta nosaukums: |
Komersanta nosaukums: |
Teritorija*: |
|||||
|
|
Starptautiskais balss telefonijas pakalpojums fiksētā elektronisko sakaru tīklā |
|
Savs |
|
Savs |
|
vairumtirdzniecība |
|
|
Cits |
|
Cits |
|
mazumtirdzniecība | ||
| Komersanta nosaukums: |
Komersanta nosaukums: |
Teritorija*: |
|||||
|
|
Starptautiskais balss telefonijas pakalpojums mobilā elektronisko sakaru tīklā |
|
Savs |
|
Savs |
|
vairumtirdzniecība |
|
|
Cits |
|
Cits |
|
mazumtirdzniecība | ||
| Komersanta nosaukums: |
Komersanta nosaukums: |
Teritorija*: |
|||||
|
|
Balss telefonijas viesabonēšanas pakalpojums |
|
Savs |
|
Savs |
|
vairumtirdzniecība |
|
|
Cits |
|
Cits |
|
mazumtirdzniecība | ||
|
|
Balss telefonijas pakalpojums, izmantojot specializētu programmatūru – lietotni |
|
Savs |
|
Savs |
|
vairumtirdzniecība |
|
|
Cits |
|
Cits |
|
mazumtirdzniecība | ||
| Piekļuves tīkla veids: |
Komersanta nosaukums: |
Teritorija*: |
|||||
|
|
Radiokomunikāciju pakalpojums |
|
Savs |
|
Savs |
|
vairumtirdzniecība |
|
|
Cits |
|
Cits |
|
mazumtirdzniecība | ||
| Komersanta nosaukums: |
Komersanta nosaukums: |
Teritorija*: |
|||||
| PIEZĪMES: | |||||||
| Publiskais taksofonu pakalpojums | |||||||
| ☐ | Publiskais taksofonu pakalpojums |
|
Savs |
|
Savs |
|
mazumtirdzniecība |
|
|
Cits | Teritorija*: | |||||
| Komersanta nosaukums: |
|||||||
| PIEZĪMES: | |||||||
| Publiskais datu un elektronisko ziņojumu pārraides pakalpojums | |||||||
|
|
Datu pārraides pakalpojums fiksētā elektronisko sakaru tīklā |
|
Savs |
|
Savs |
|
vairumtirdzniecība |
|
|
Cits |
|
Cits |
|
mazumtirdzniecība | ||
| Komersanta nosaukums: |
Komersanta nosaukums: |
Teritorija*: |
|||||
|
|
Datu pārraides pakalpojums mobilā elektronisko sakaru tīklā |
|
Savs |
|
Savs |
|
vairumtirdzniecība |
|
|
Cits |
|
Cits |
|
mazumtirdzniecība | ||
| Komersanta nosaukums: |
Komersanta nosaukums: |
Teritorija*: |
|||||
|
|
Elektronisko ziņojumu pārraides pakalpojums fiksētā tīklā |
|
Savs |
|
Savs |
|
vairumtirdzniecība |
|
|
Cits |
|
Cits |
|
mazumtirdzniecība | ||
| Komersanta nosaukums: |
Komersanta nosaukums: |
Teritorija*: |
|||||
|
|
Elektronisko ziņojumu pārraides pakalpojums mobilā tīklā |
|
Savs |
|
Savs |
|
vairumtirdzniecība |
|
|
Cits |
|
Cits |
|
mazumtirdzniecība | ||
| Komersanta nosaukums: |
Komersanta nosaukums: |
Teritorija*: |
|||||
|
|
Elektronisko ziņojumu pārraides pakalpojums, izmantojot mobilo elektronisko sakaru tīklu starpsavienojumu |
|
Savs |
|
Savs |
|
vairumtirdzniecība |
|
|
Cits |
|
Cits |
|
mazumtirdzniecība | ||
| Komersanta nosaukums: |
Komersanta nosaukums: |
Teritorija*: |
|||||
|
|
Elektronisko ziņojumu pārraides pakalpojums, izmantojot specializētu programmatūru – lietotni |
|
Savs |
|
Savs |
|
vairumtirdzniecība |
|
|
Cits |
|
Cits |
|
mazumtirdzniecība | ||
| Piekļuves tīkla veids: |
Komersanta nosaukums: |
Teritorija*: |
|||||
|
|
Datu pārraides viesabonēšanas pakalpojums |
|
Savs |
|
Savs |
|
vairumtirdzniecība |
|
|
Cits |
|
Cits |
|
mazumtirdzniecība | ||
|
|
Elektronisko ziņojumu pārraides viesabonēšanas pakalpojums |
|
Savs |
|
Savs |
|
vairumtirdzniecība |
|
|
Cits |
|
Cits |
|
mazumtirdzniecība | ||
| PIEZĪMES: | |||||||
| Publiskais interneta piekļuves pakalpojums | |||||||
|
|
Šaurjoslas interneta piekļuves pakalpojums fiksētā elektronisko sakaru tīklā |
|
Savs |
|
Savs |
|
vairumtirdzniecība |
|
|
Cits |
|
Cits |
|
mazumtirdzniecība | ||
| Komersanta nosaukums: |
Komersanta nosaukums: |
Teritorija*: |
|||||
|
|
Šaurjoslas interneta piekļuves pakalpojums mobilā elektronisko sakaru tīklā |
|
Savs |
|
Savs |
|
vairumtirdzniecība |
|
|
Cits |
|
Cits |
|
mazumtirdzniecība | ||
| Komersanta nosaukums: |
Komersanta nosaukums: |
Teritorija*: |
|||||
|
|
Platjoslas interneta piekļuves pakalpojums fiksētā elektronisko sakaru tīklā |
|
Savs |
|
Savs |
|
vairumtirdzniecība |
|
|
Cits |
|
Cits |
|
mazumtirdzniecība | ||
| Komersanta nosaukums: |
Komersanta nosaukums: |
Teritorija*: |
|||||
|
|
Platjoslas interneta piekļuves pakalpojums mobilā elektronisko sakaru tīklā |
|
Savs |
|
Savs |
|
vairumtirdzniecība |
|
|
Cits |
|
Cits |
|
mazumtirdzniecība | ||
| Komersanta nosaukums: |
Komersanta nosaukums: |
Teritorija*: |
|||||
|
|
Interneta piekļuves viesabonēšanas pakalpojums |
|
Savs |
|
Savs |
|
vairumtirdzniecība |
|
|
Cits |
|
Cits |
|
mazumtirdzniecība | ||
| PIEZĪMES: | |||||||
| Radio vai televīzijas programmu izplatīšanas pakalpojums | |||||||
|
|
Radio vai televīzijas programmu izplatīšanas pakalpojums fiksētā elektronisko sakaru tīklā |
|
Savs |
|
Savs |
|
vairumtirdzniecība |
|
|
Cits |
|
Cits |
|
mazumtirdzniecība | ||
| Komersanta nosaukums: |
Komersanta nosaukums: |
Teritorija*: |
|||||
|
|
Radio vai televīzijas programmu izplatīšanas pakalpojums mobilā elektronisko sakaru tīklā |
|
Savs |
|
Savs |
|
vairumtirdzniecība |
|
|
Cits |
|
Cits |
|
mazumtirdzniecība | ||
| Komersanta nosaukums: |
Komersanta nosaukums: |
Teritorija*: |
|||||
| PIEZĪMES: | |||||||
| Nomāto līniju pakalpojums | |||||||
|
|
Nomāto līniju pakalpojums |
|
Savs |
|
Savs |
|
vairumtirdzniecība |
|
|
Cits |
|
Cits |
|
mazumtirdzniecība | ||
| PIEZĪMES: | |||||||
| Starpsavienojuma pakalpojums | |||||||
|
|
Starpsavienojuma pakalpojums | ||||||
| PIEZĪMES: | |||||||
| Piekļuves pakalpojums | |||||||
|
|
Piekļuves pakalpojums | ||||||
| PIEZĪMES: | |||||||
|
|
Pakalpojums, kas nav elektronisko sakaru pakalpojums | ||||||
| PIEZĪMES: | |||||||
| Datums ___. ___. ______. | ||||
| Persona, kura tiesīga pārstāvēt komersantu |
||||
|
/paraksts un tā atšifrējums/ |
||||
|
/sagatavotāja vārds, uzvārds/ |
||||
| tālrunis | ||||
| e-pasts | ||||
* Komersants norāda teritoriju, kurā tiek sniegts attiecīgais pakalpojums atbilstoši šādam iedalījumam: Latvijas Republika, Kurzemes reģions, Liepāja, Ventspils, Latgales reģions, Daugavpils, Rēzekne, Rīgas reģions Rīga, Jūrmala, Vidzemes reģions, Valmiera, Zemgales reģions, Jelgava, Jēkabpils. Detalizētu reģionos ietilpstošo teritoriju sarakstu skatīt Ministru kabineta 2009.gada 5.maija noteikumos Nr.391 "Noteikumi par plānošanas reģionu teritorijām".
Sabiedrisko pakalpojumu regulēšanas komisijas padomes
priekšsēdētājs V.Lokenbahs
2.pielikums
Sabiedrisko pakalpojumu
regulēšanas komisijas
2015.gada 3.decembra lēmumam Nr.1/21
Iekšzemes balss telefonijas pakalpojuma* kvalitātes deklarācija
|
Elektronisko sakaru komersanta nosaukums |
|
|
Vienotais reģistrācijas numurs |
|
|
Deklarācijas gads |
|
Pakalpojumu kvalitātes parametrs |
Pakalpojumu kvalitātes parametra vērtība |
|
|
Fiksētā elektronisko sakaru tīklā |
Mobilā elektronisko sakaru tīklā |
|
| 1. Vidējais ierīkošanas laiks dienās(1) | < | – |
| 2. Bojājumu skaits(2) | < | – |
| 3. Vidējais bojājumu novēršanas laiks stundās(3) | < | < |
| 4. Nesekmīgo savienojumu koeficients procentos(4) | < | < |
| 5. Vidējais savienošanas laiks sekundēs(5) | < | < |
| 6. Vidējā runas pārraides kvalitāte ballēs(6) | > | > |
| 7. Rēķinu precizitāte procentos(7) | > | > |
Komersants, kurš balss telefonijas pakalpojuma nodrošināšanai izmanto operatora iepriekšējas izvēles pakalpojumu vai operatora izvēles pakalpojumu, nosaka kvalitātes pakalpojuma parametra vērtības no 2. – 7.punktam.
(1) Vidējais dienu skaits no pieteikuma saņemšanas dienas līdz ierīkošanas dienai, balss telefonijas pakalpojuma nodrošināšanai fiksētā elektronisko sakaru tīklā.
(2) Pieteikto bojājumu skaits uz vienu pieslēguma punktu fiksētā elektronisko sakaru tīklā.
(3) Parametra vērtību norāda šādā formātā – SS:mm (S–stundas, m–minūtes).
(4) Nesekmīgo savienojumu koeficients – parametrs, kas procentos nosaka nesekmīgo savienojumu skaita attiecību pret kopējo veikto savienojumu mēģinājumu skaitu.
Nesekmīgs savienojums:
1) savienojuma mēģinājums ar pareizi sastādītu, galalietotājam lietošanā piešķirtu numuru, 30 sekunžu laikā nekonstatējot izsaukuma kontroles signālu, aizņemtības signālu vai atbildi;
2) savienojuma mēģinājums ar pareizi sastādītu, galalietotājam lietošanā piešķirtu numuru, konstatējot izsaukuma kontroles signālu nepareiza savienojuma gadījumā;
3) savienojuma mēģinājums ar pareizi sastādītu, galalietotājam lietošanā piešķirtu numuru, konstatējot aizņemtības signālu, ja šo numuru neizmanto citam izsaukumam;
4) savienojuma mēģinājums ar pareizi sastādītu, galalietotājam lietošanā piešķirtu numuru, konstatējot atbildi nepareiza savienojuma gadījumā;
5) savienojuma mēģinājums no fiksētā elektronisko sakaru tīkla ar pareizi sastādītu, galalietotājam lietošanā piešķirtu numuru, konstatējot nepārtrauktu signālu;
6) savienojuma mēģinājums uz mobilo elektronisko sakaru tīklu ar pareizi sastādītu, galalietotājam lietošanā piešķirtu numuru, konstatējot paziņojumu par to, ka galiekārta izslēgta vai atrodas ārpus uztveršanas zonas, ja galiekārta ir ieslēgta un atrodas uztveršanas zonā;
7) savienojuma mēģinājums no mobilā elektronisko sakaru tīkla ar pareizi sastādītu, galalietotājam lietošanā piešķirtu numuru, savienojumam nenotiekot;
8) savienojuma mēģinājums ar pareizi sastādītu, galalietotājam lietošanā piešķirtu numuru, savienojumam zūdot izsaukuma laikā.
(5) Vidējais savienošanas laiks – parametrs, kas sekundēs nosaka kopējo savienošanas laiku summas attiecību pret kopējo sekmīgo savienojumu skaitu.
Savienošanas laiks – parametrs, kas sekundēs nosaka laika posmu no izsaucamā numura nosūtīšanas brīža līdz brīdim, kad konstatē izsaukuma kontroles signālu, aizņemtības signālu vai atbildi.
(6) Vidējā runas pārraides kvalitāte – parametrs, kas sekundēs nosaka vidējo aritmētisko vērtību no kopējo mērījumu skaita.
Runas pārraides kvalitāti nosaka, izmantojot PESQ1 vai POLQA2 algoritmu.
(7) Rēķinu precizitāti nosaka saskaņā ar šādu formulu:
,
kur:
R – rēķinu precizitāte gadā, procentos;
nS – pamatotu sūdzību (pretenziju) skaits, ko komersants ir saņēmis par nepareiziem rēķiniem gadā;
Piezīme: Sūdzība (pretenzija) uzskatāma par pamatotu, ja komersants to saņēmis par nepareiziem rēķiniem, un tā novērtēta kā pamatota.
nR – kopējais komersanta izsūtīto rēķinu skaits gadā.
| Datums ___. ___. ______. | ||||
| Persona, kura tiesīga pārstāvēt komersantu |
||||
|
/paraksts un tā atšifrējums/ |
||||
|
/sagatavotāja vārds, uzvārds/ |
||||
| tālrunis | ||||
| e-pasts | ||||
* iekšzemes balss telefonijas pakalpojums fiksētā elektronisko sakaru tīklā un iekšzemes balss telefonijas pakalpojums mobilā elektronisko sakaru tīklā
1 angļu val. – Perceptual Evaluation of Speech Quality
2 angļu val. – Perceptual Objective Listening Quality Assessment
Sabiedrisko pakalpojumu regulēšanas komisijas padomes
priekšsēdētājs V.Lokenbahs
3.pielikums
Sabiedrisko pakalpojumu
regulēšanas komisijas
2015.gada 3.decembra lēmumam Nr.1/21
Balss starpsavienojuma pakalpojuma* kvalitātes deklarācija
|
Elektronisko sakaru komersanta nosaukums |
|
|
Vienotais reģistrācijas numurs |
|
|
Deklarācijas gads |
|
Pakalpojumu kvalitātes parametrs |
Pakalpojumu kvalitātes parametra vērtība |
| 1. Nesekmīgo savienojumu koeficients procentos(1) |
< |
| 2. Vidējais savienošanas laiks sekundēs(2) |
< |
1. Starpsavienojuma kombinācijā no vai uz fiksēto elektronisko sakaru tīklu pakalpojumu kvalitātes parametru vērtības nosaka savienojumu mēģinājumiem no jebkura fiksētā elektronisko sakaru tīkla pieslēguma punkta uz jebkuru cita fiksētā elektronisko sakaru tīkla pieslēguma punktu.
2. Starpsavienojuma kombinācijā no vai uz mobilo elektronisko sakaru tīklu pakalpojumu kvalitātes vērtības nosaka savienojuma mēģinājumiem no jebkura mobilā elektronisko sakaru tīkla pieslēguma punkta uz jebkuru cita mobilā elektronisko sakaru tīkla pieslēguma punktu.
(1) Nesekmīgo savienojumu koeficients – parametrs, kas procentos nosaka nesekmīgo savienojumu skaita attiecību pret kopējo veikto savienojumu mēģinājumu skaitu.
Nesekmīgs savienojums:
1) savienojuma mēģinājums ar pareizi sastādītu, galalietotājam lietošanā piešķirtu numuru, 30 sekunžu laikā nekonstatējot izsaukuma kontroles signālu, aizņemtības signālu vai atbildi;
2) savienojuma mēģinājums ar pareizi sastādītu, galalietotājam lietošanā piešķirtu numuru, konstatējot izsaukuma kontroles signālu nepareiza savienojuma gadījumā;
3) savienojuma mēģinājums ar pareizi sastādītu, galalietotājam lietošanā piešķirtu numuru, konstatējot aizņemtības signālu, ja šo numuru neizmanto citam izsaukumam;
4) savienojuma mēģinājums ar pareizi sastādītu, galalietotājam lietošanā piešķirtu numuru, konstatējot atbildi nepareiza savienojuma gadījumā;
5) savienojuma mēģinājums no fiksētā elektronisko sakaru tīkla ar pareizi sastādītu, galalietotājam lietošanā piešķirtu numuru, konstatējot nepārtrauktu signālu;
6) savienojuma mēģinājums uz mobilo elektronisko sakaru tīklu ar pareizi sastādītu, galalietotājam lietošanā piešķirtu numuru, konstatējot paziņojumu par to, ka galiekārta izslēgta vai atrodas ārpus uztveršanas zonas, ja galiekārta ir ieslēgta un atrodas uztveršanas zonā;
7) savienojuma mēģinājums no mobilā elektronisko sakaru tīkla ar pareizi sastādītu, galalietotājam lietošanā piešķirtu numuru savienojumam nenotiekot;
8) savienojuma mēģinājums ar pareizi sastādītu, galalietotājam lietošanā piešķirtu numuru, savienojumam zūdot izsaukuma laikā.
(2) Vidējais savienošanas laiks – parametrs, kas sekundēs nosaka kopējo savienošanas laiku summas attiecību pret kopējo sekmīgo savienojumu skaitu.
Savienošanas laiks – parametrs, kas sekundēs nosaka laika posmu no izsaucamā numura nosūtīšanas brīža līdz brīdim, kad konstatē izsaukuma kontroles signālu, aizņemtības signālu vai atbildi.
| Datums ___. ___. ______. | ||||
| Persona, kura tiesīga pārstāvēt komersantu |
||||
|
/paraksts un tā atšifrējums/ |
||||
|
/sagatavotāja vārds, uzvārds/ |
||||
| tālrunis | ||||
| e-pasts | ||||
* iekšzemes balss telefonijas pakalpojums, izmantojot elektronisko sakaru tīklu starpsavienojumu
Sabiedrisko pakalpojumu regulēšanas komisijas padomes
priekšsēdētājs V.Lokenbahs
4.pielikums
Sabiedrisko pakalpojumu
regulēšanas komisijas
2015.gada 3.decembra lēmumam Nr.1/21
Īsziņu pakalpojuma* kvalitātes deklarācija
|
Elektronisko sakaru komersanta nosaukums |
|
|
Vienotais reģistrācijas numurs |
|
|
Deklarācijas gads |
|
Pakalpojumu kvalitātes parametrs |
Pakalpojumu kvalitātes parametra vērtība |
| 1. Nesekmīgi sūtīto īsziņu koeficients procentos(1) |
< |
| 2. Vidējais īsziņas sūtīšanas laiks sekundēs(2) |
< |
(1) Nesekmīgi sūtīto īsziņu koeficients – parametrs, kas procentos nosaka nesekmīgi sūtīto īsziņu skaita attiecību pret kopējo sūtīto īsziņu skaitu.
Nesekmīgi sūtīta īsziņa:
1) īsziņas teksta sūtīšanas mēģinājums uz pareizi sastādītu, galalietotājam lietošanā piešķirtu numuru, konstatējot paziņojumu, ka īsziņu nosūtīt neizdevās;
2) īsziņas teksta sūtīšanas mēģinājums uz pareizi sastādītu, galalietotājam lietošanā piešķirtu numuru, adresātam 300 sekunžu laikā nesaņemot īsziņu.
(2) Vidējais īsziņas sūtīšanas laiks – parametrs, kas sekundēs nosaka kopējo īsziņu sūtīšanas laiku summas attiecību pret kopējo sekmīgi adresātam piegādāto īsziņu skaitu.
Īsziņas sūtīšanas laiks – parametrs, kas sekundēs nosaka laika posmu no īsziņas teksta un numura nosūtīšanas brīža līdz brīdim, kad īsziņa piegādāta adresātam.
| Datums ___. ___. ______. | ||||
| Persona, kura tiesīga pārstāvēt komersantu |
||||
|
/paraksts un tā atšifrējums/ |
||||
|
/sagatavotāja vārds, uzvārds/ |
||||
| tālrunis | ||||
| e-pasts | ||||
* elektronisko ziņojumu pārraides pakalpojums mobilā elektronisko sakaru tīklā
Sabiedrisko pakalpojumu regulēšanas komisijas padomes
priekšsēdētājs V.Lokenbahs
5.pielikums
Sabiedrisko pakalpojumu
regulēšanas komisijas
2015.gada 3.decembra lēmumam Nr.1/21
Īsziņu starpsavienojuma pakalpojuma* kvalitātes deklarācija
|
Elektronisko sakaru komersanta nosaukums |
|
|
Vienotais reģistrācijas numurs |
|
|
Deklarācijas gads |
|
Pakalpojumu kvalitātes parametrs |
Pakalpojumu kvalitātes parametra vērtība |
| 1. Nesekmīgi sūtīto īsziņu koeficients procentos(1) |
< |
| 2. Vidējais īsziņas sūtīšanas laiks sekundēs(2) |
< |
Pakalpojumu kvalitātes parametrus nosaka īsziņu sūtīšanas mēģinājumiem no jebkura mobilā elektronisko sakaru tīkla pieslēguma punkta uz jebkuru cita mobilā elektronisko sakaru tīkla pieslēguma punktu.
(1) Nesekmīgi sūtīto īsziņu koeficients – parametrs, kas procentos nosaka nesekmīgi sūtīto īsziņu skaita attiecību pret kopējo sūtīto īsziņu skaitu.
Nesekmīgi sūtīta īsziņa:
1) īsziņas teksta sūtīšanas mēģinājums uz pareizi sastādītu, galalietotājam lietošanā piešķirtu numuru, konstatējot paziņojumu, ka īsziņu nosūtīt neizdevās;
2) īsziņas teksta sūtīšanas mēģinājums uz pareizi sastādītu, galalietotājam lietošanā piešķirtu numuru, adresātam 300 sekunžu laikā nesaņemot īsziņu.
(2) Vidējais īsziņas sūtīšanas laiks – parametrs, kas sekundēs nosaka kopējo īsziņu sūtīšanas laiku summas attiecību pret kopējo sekmīgi adresātam piegādāto īsziņu skaitu.
Īsziņas sūtīšanas laiks – parametrs, kas sekundēs nosaka laika posmu no īsziņas teksta un numura nosūtīšanas brīža līdz brīdim, kad īsziņa piegādāta adresātam.
| Datums ___. ___. ______. | ||||
| Persona, kura tiesīga pārstāvēt komersantu |
||||
|
/paraksts un tā atšifrējums/ |
||||
|
/sagatavotāja vārds, uzvārds/ |
||||
| tālrunis | ||||
| e-pasts | ||||
* elektronisko ziņojumu pārraides pakalpojums, izmantojot mobilo elektronisko sakaru tīklu starpsavienojumu
Sabiedrisko pakalpojumu regulēšanas komisijas padomes
priekšsēdētājs V.Lokenbahs
6.pielikums
Sabiedrisko pakalpojumu
regulēšanas komisijas
2015.gada 3.decembra lēmumam Nr.1/21
Televīzijas programmu izplatīšanas pakalpojuma* kvalitātes deklarācija
|
Elektronisko sakaru komersanta nosaukums |
|
|
Vienotais reģistrācijas numurs |
|
|
Deklarācijas gads |
|
Pakalpojumu kvalitātes parametrs |
Pakalpojumu kvalitātes parametra vērtība |
|
|
Fiksētā elektronisko sakaru tīklā |
Mobilā elektronisko sakaru tīklā |
|
| 1. Vidējais ierīkošanas laiks dienās(1) | < | – |
| 2. Bojājumu skaits(2) | < | – |
| 3. Vidējais bojājumu novēršanas laiks stundās(3) | < | < |
| 4. Vidējais attēla kvalitātes subjektīvais vizuālais vērtējums(4) | > | > |
(1) Vidējais dienu skaits no pieteikuma saņemšanas dienas līdz pieslēguma punkta ierīkošanas dienai, televīzijas programmu izplatīšanas pakalpojuma nodrošināšanai fiksētā elektronisko sakaru tīklā.
(2) Pieteikto bojājumu skaits uz vienu pieslēguma punktu fiksētā elektronisko sakaru tīklā.
(3) Parametra vērtību norāda šādā formātā – SS:mm (S–stundas, m–minūtes).
(4) Vidējais attēla kvalitātes subjektīvais vizuālais vērtējums – parametrs, kas nosaka vidējo svērto attēla kvalitātes novērtējumu no kopējā novērtējumu skaita.
Attēla kvalitāti nosaka katrai televīzijas programmai ne mazāk kā trīs brīvi izvēlētos pieslēguma punktos kā kvantitatīvu vērtību, ko iegūst, subjektīvi vizuāli novērtējot attēlu saskaņā ar 1.tabulu:
Attēla kvalitātes novērtējums
1.tabula
|
Nr. |
Novērtējums |
Novērtējuma paskaidrojums |
Vērtība balles |
|
1 |
2 |
3 |
4 |
|
1. |
Teicama kvalitāte | Traucējumi un kropļojumi nav redzami |
5 |
|
2. |
Laba kvalitāte | Traucējumi un kropļojumi ir redzami, bet netraucē |
4 |
|
3. |
Apmierinoša kvalitāte | Traucējumi un kropļojumi mazliet traucē |
3 |
|
4. |
Vāja kvalitāte | Traucējumi un kropļojumi traucē |
2 |
|
5. |
Slikta kvalitāte | Traucējumi un kropļojumi ļoti traucē |
1 |
Attēla kvalitāti novērtē, ņemot vērā raksturīgākos attēla traucējumus un kropļojumus saskaņā ar 2.tabulu:
Televīzijas programmu izplatīšanas pakalpojuma raksturīgākie attēla traucējumi un kropļojumi
2.tabula
|
Nr. |
Televīzijas programmu izplatīšanas pakalpojums |
Traucējumu un kropļojumu apraksts |
|
1 |
2 |
3 |
|
1. |
Televīzijas programmu izplatīšana analogā formātā | 1.1 Kustīgi vai nekustīgi joslveida, graudaini vai cita veida uzklājumi attēlam |
| 1.2. Attēla spilgtuma un krāsu nevienmērība | ||
| 1.3. Attēla daudzkāršošanās | ||
|
2. |
Televīzijas programmu izplatīšana ciparu formātā un televīzijas programmu izplatīšana, izmantojot interneta protokolu | 2.1. Attēla īslaicīga vai pilnīga sastingšana |
| 2.2. Attēla atsevišķu fragmentu iztrūkums | ||
| 2.3. Attēla blakus efekti kustīgu attēla detaļu tuvumā, kas nav saistīti ar pārraidāmās programmas attēla noformējumu (attēla artefakti) | ||
| 2.4. Vertikālo līniju kropļojumi attēla labajā pusē | ||
| 2.5. Attēla un skaņas nobīde laikā | ||
| 2.6. Blakus skaņas, kas nav saistītas ar pārraidāmās programmas akustisko noformējumu (skaņas artefakti) |
| Datums ___. ___. ______. | ||||
| Persona, kura tiesīga pārstāvēt komersantu |
||||
|
/paraksts un tā atšifrējums/ |
||||
|
/sagatavotāja vārds, uzvārds/ |
||||
| tālrunis | ||||
| e-pasts | ||||
* radio un televīzijas programmu izplatīšanas pakalpojums
Sabiedrisko pakalpojumu regulēšanas komisijas padomes
priekšsēdētājs V.Lokenbahs
7.pielikums
Sabiedrisko pakalpojumu
regulēšanas komisijas
2015.gada 3.decembra lēmumam Nr.1/21
Interneta pakalpojuma1 kvalitātes deklarācija
|
Elektronisko sakaru komersanta nosaukums |
|||
|
Vienotais reģistrācijas numurs |
|||
|
Deklarācijas gads |
|||
|
Elektronisko sakaru tīkla veids |
Fiksētais |
Mobilais |
|
|
Pieslēguma ātruma diapazons(1)* |
Vidējais ierīkošanas laiks dienās(2) |
Bojājumu skaits(3) |
Vidējais bojājumu novēršanas laiks4 |
Vidējais pakešu zuduma koeficients procentos(5)* |
Vidējais latentums milisekundēs(6)* |
Vidējā trīce milisekundēs(7)* |
Pakalpojuma pieejamība procentos*(8) |
|
|
>256kbiti/s līdz <2Mbiti/s |
|
< |
< |
< |
< | < | < | > |
|
>2Mbiti/s līdz <10Mbiti/s |
|
|||||||
|
>10Mbiti/s līdz <30Mbiti/s |
|
|||||||
|
>30Mbiti/s līdz <100Mbiti/s |
|
|||||||
|
>100Mbiti/s |
|
|||||||
Piezīme: Komersants atzīmē pieslēguma ātruma vērtību diapazonu, kurā komersants nodrošina interneta pakalpojuma sniegšanu, neatkarīgi no pakalpojuma sniegšanai izmantotajām tehnoloģijām un piedāvātajiem tarifu plāniem.
* Parametru vērtību nosaka posmā no pieslēguma punkta līdz Latvijas interneta apmaiņas punktam, mērījumus veicot:
1) ne mazāk kā 3 brīvi izvēlētos pieslēguma punktos fiksētā elektronisko sakaru tīklā, katrā pieslēguma punktā veicot ne mazāk kā 100 mērījumus;
2) ne mazāk kā 100 brīvi izvēlētās ģeogrāfiskās vietās mobilā elektronisko sakaru tīklā, katrā vietā veicot ne mazāk kā 3 mērījumus.
(1) Pieslēguma ātrums – parametrs, kas kilobitos vai megabitos sekundē raksturo informācijas apmaiņas ātrumu (augšupielādes un lejupielādes) datu kanālā, posmā no galalietotāja galiekārtas līdz Latvijas interneta apmaiņas punktam.
(2) Vidējais dienu skaits no pieteikuma saņemšanas dienas līdz pieslēguma punkta ierīkošanas dienai, interneta pakalpojuma nodrošināšanai fiksētā elektronisko sakaru tīklā.
(3) Pieteikto bojājumu skaits uz vienu pieslēguma punktu fiksētā elektronisko sakaru tīklā.
(4) Parametra vērtību norāda šādā formātā – SS:mm (S–stundas, m–minūtes).
(5) Vidējais pakešu zuduma koeficients – parametrs, kas procentos nosaka pakešu zuduma koeficienta vidējo aritmētisko vērtību no kopējā mērījumu skaita.
Pakešu zuduma koeficients2 – parametrs, kas procentos nosaka zaudēto pakešu attiecību pret kopējo nosūtīto pakešu skaitu.
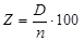
Pakešu zuduma koeficientu nosaka saskaņā ar šādu formulu:
,
kur:
Z – pakešu zuduma koeficients procentos;
n – kopējais nosūtīto pakešu skaits mērījuma cikla laikā;
D – zaudēto pakešu skaits mērījumu laikā.
(6) Vidējais latentums – parametrs, kas milisekundēs nosaka latentuma vidējo aritmētisko vērtību no kopējā mērījumu skaita.
Latentums3 – parametrs, kas milisekundēs raksturo laika aizturi starp pakešu sūtīšanu un saņemšanu posmā no galalietotāja galiekārtas līdz Latvijas interneta apmaiņas punktam abos virzienos.
Latentumu nosaka saskaņā ar formulu:
,
kur:
– vidējais latentums milisekundēs mērījuma cikla laikā;
t1 – paketes saņemšanas laiks milisekundēs;
t2 – paketes nosūtīšanas laiks milisekundēs;
n – kopējais pārsūtīto pakešu skaits mērījuma cikla laikā.
(7) Vidējā trīce – parametrs, kas milisekundēs nosaka trīces vidējo aritmētisko vērtību no kopējā mērījumu skaita.
Trīce4 – parametrs, kas milisekundēs nosaka laika aiztures nevienmērību starp pakešu sūtīšanu un saņemšanu, kas rodas tīkla ierobežotās caurlaides spējas dēļ, piemēram, pārslodze, maršruta maiņa, pakešu zudumi un citi.
Trīci aprēķina saskaņā ar formulu:
,
kur:
J – trīce milisekundēs;
– vidējais latentums milisekundēs mērījuma cikla laikā;
n – kopējais pārsūtīto pakešu skaits mērījuma cikla laikā;
Li – i-tās paketes latentums milisekundēs.
(8) Pakalpojuma pieejamību (iespēju saņemt pakalpojumu) nosaka kā vidējo aritmētisko vērtību no kopējā aprēķināto norēķinu ciklu pakalpojuma pieejamību skaita.
Pakalpojuma pieejamību norēķinu ciklam nosaka saskaņā ar formulu:
,
kur:
p – pakalpojumu pieejamība procentos;
T – kopējais pakalpojuma pieejamības laiks stundās visiem pieslēguma punktiem;
tk – kopējais pakalpojuma sniegšanas laiks stundās visiem pieslēguma punktiem.
| Datums ___. ___. ______. | ||||
| Persona, kura tiesīga pārstāvēt komersantu |
||||
|
/paraksts un tā atšifrējums/ |
||||
|
/sagatavotāja vārds, uzvārds/ |
||||
| tālrunis | ||||
| e-pasts | ||||
1 šaurjoslas interneta piekļuves pakalpojums fiksētā elektronisko sakaru tīklā, šaurjoslas interneta piekļuves pakalpojums mobilā elektronisko sakaru tīklā, platjoslas interneta piekļuves pakalpojums fiksētā elektronisko sakaru tīklā un platjoslas interneta piekļuves pakalpojums mobilā elektronisko sakaru tīklā
2 angļu val. – Packet Loss Ratio
3 angļu val. – Latency (Round Trip Delay)
4 angļu val. – Jitter
Sabiedrisko pakalpojumu regulēšanas komisijas padomes
priekšsēdētājs V.Lokenbahs
8.pielikums
Sabiedrisko pakalpojumu
regulēšanas komisijas
2015.gada 3.decembra lēmumam Nr.1/21
Elektronisko sakaru pakalpojumu kvalitātes parametru mērījumu veicēji
I. Iekšzemes balss telefonijas pakalpojums1
1.tabula
|
Nr. |
Pakalpojuma kvalitātes parametrs |
Pakalpojuma kvalitātes mērījumu veicējs |
Piezīmes |
|
|
Regulators |
Komersants |
|||
|
1 |
2 |
3 |
4 |
5 |
|
1. |
Ierīkošanas laiks dienās |
– |
|
Mērījumus neveic komersants, kurš
sniedz iekšzemes balss telefonijas pakalpojumu: • mobilā elektronisko sakaru tīklā; • izmantojot operatora iepriekšējas izvēles pakalpojumu; • izmantojot operatora izvēles pakalpojumu. |
|
2. |
Bojājumu skaits |
– |
|
Mērījumus neveic komersants, kurš sniedz pakalpojumu mobilā elektronisko sakaru tīklā. |
|
3. |
Bojājumu novēršanas laiks stundās |
– |
|
|
|
4. |
Nesekmīgo savienojumu skaits |
|
|
• Regulators veic mērījumus, ja
operatoram ir ne mazāk kā 20 000 galalietotāju iepriekšējā kalendārā
gada 1.pusgada perioda beigās. • Mērījumus neveic operators, kuram ir vairāk kā 20 000 galalietotāju iepriekšējā kalendārā gada 1.pusgada beigās. |
|
5. |
Savienošanas laiks sekundēs |
|
|
Regulators veic mērījumus, ja operatoram ir ne mazāk kā 20 000 galalietotāju iepriekšējā kalendārā gada 1.pusgada beigās. |
|
6. |
Runas pārraides kvalitāte ballēs |
|
|
• Regulators veic mērījumus, ja
operatoram ir ne mazāk kā 20 000 galalietotāju uz iepriekšējā kalendārā
gada 1.pusgada perioda beigām. • Mērījumus neveic operators, kuram ir vairāk kā 20 000 galalietotāju iepriekšējā kalendārā gada 1.pusgada beigās. |
|
7. |
Rēķinu precizitāte procentos |
– |
|
|
II. Balss starpsavienojuma pakalpojums2
2.tabula
|
Nr. |
Pakalpojuma kvalitātes parametrs |
Pakalpojuma kvalitātes mērījumu veicējs |
Piezīmes |
|
|
Regulators |
Komersants |
|||
|
1 |
2 |
3 |
4 |
5 |
|
1. |
Nesekmīgo savienojumu skaits |
|
|
Regulators veic
mērījumus, ja izpildās šādi nosacījumi: • uz kalendārā gada sākumu operatori sniedz balss starpsavienojuma pakalpojumu vismaz sešus mēnešus no starpsavienojuma līguma noslēgšanas brīža; • katram operatoram ir ne mazāk kā 5000 galalietotāju iepriekšējā kalendārā gada 1.pusgada beigās. Mērījumus neveic operators, ja atbilstošajā starpsavienojuma kombinācijā katram operatoram ir vairāk kā 5000 galalietotāju iepriekšējā kalendārā gada 1.pusgada beigās. |
|
2. |
Savienošanas laiks sekundēs |
|
|
|
III. Īsziņu pakalpojums3
3.tabula
|
Nr. |
Pakalpojuma kvalitātes parametrs |
Pakalpojuma kvalitātes mērījumu veicējs |
Piezīmes |
|
|
Regulators |
Komersants |
|||
|
1 |
2 |
3 |
4 |
5 |
|
1. |
Nesekmīgi sūtīto īsziņu skaits |
|
|
• Regulators veic
mērījumus, ja pamatoto sūdzību skaits, kas saņemtas Regulatorā
iepriekšējā kalendārajā gadā par īsziņu pakalpojuma kvalitāti, ir vairāk
kā viena sūdzība uz 1000 komersanta galalietotājiem. • Mērījumus neveic komersants, par kuru Regulatorā iepriekšējā kalendārā gadā saņemto pamatoto sūdzību skaits par īsziņu pakalpojuma kvalitāti ir vairāk kā viena sūdzība uz komersanta 1000 galalietotājiem. |
|
2. |
Īsziņas sūtīšanas laiks sekundēs |
|
|
|
IV. Īsziņu starpsavienojuma pakalpojums4
4.tabula
|
Nr. |
Pakalpojuma kvalitātes parametrs |
Pakalpojuma kvalitātes mērījumu veicējs |
Piezīmes |
|
|
Regulators |
Komersants |
|||
|
1 |
2 |
3 |
4 |
5 |
|
1. |
Nesekmīgi sūtīto īsziņu skaits |
|
|
• Regulators veic
mērījumus, ja pamatoto sūdzību skaits, kas saņemtas Regulatorā
iepriekšējā kalendārajā gadā par īsziņu starpsavienojuma pakalpojuma
kvalitāti, ir vairāk kā viena sūdzība uz 1000 komersanta
galalietotājiem. • Mērījumus neveic komersants, par kuru Regulatorā iepriekšējā kalendārā gadā saņemto pamatoto sūdzību skaits par īsziņu starpsavienojuma pakalpojuma kvalitāti ir vairāk kā viena sūdzība uz komersanta 1000 galalietotājiem. |
|
2. |
Īsziņas sūtīšanas laiks sekundēs |
|
|
|
V. Televīzijas programmu izplatīšanas pakalpojums5
5.tabula
|
Nr. |
Pakalpojuma kvalitātes parametrs |
Pakalpojuma kvalitātes mērījumu veicējs |
Piezīmes |
|
|
Regulators |
Komersants |
|||
|
1 |
2 |
3 |
4 |
5 |
|
1. |
Ierīkošanas laiks dienās |
– |
|
• Mērījumus veic
komersants, kurš sniedz televīzijas programmu izplatīšanas pakalpojumu
fiksētā elektronisko sakaru tīklā. • Mērījumus neveic komersants, kurš sniedz pakalpojumu mobilā elektronisko sakaru tīklā. |
|
2. |
Bojājumu skaits |
– |
|
|
|
3. |
Bojājumu novēršanas laiks stundās |
– |
|
|
|
4. |
Attēla kvalitātes subjektīvais vizuālais vērtējums |
|
|
• Regulators veic mērījumus, ja
pamatoto sūdzību skaits, kas saņemtas Regulatorā iepriekšējā kalendārajā
gadā par televīzijas programmu izplatīšanas pakalpojuma kvalitāti, ir
vairāk kā viena sūdzība uz 1000 komersanta galalietotājiem. • Mērījumus neveic komersants, par kuru Regulatorā iepriekšējā kalendārā gadā saņemto pamatoto sūdzību skaits par televīzijas programmu izplatīšanas pakalpojuma kvalitāti ir vairāk kā viena sūdzība uz komersanta 1000 galalietotājiem. |
VI. Interneta pakalpojums6
6.tabula
|
Nr. |
Pakalpojuma kvalitātes parametrs |
Pakalpojuma kvalitātes mērījumu veicējs |
Piezīmes |
|
|
Regulators |
Komersants |
|||
|
1 |
2 |
3 |
4 |
5 |
|
1. |
Ierīkošanas laiks dienās |
– |
|
• Mērījumus veic
komersants, kurš sniedz interneta pakalpojumu fiksētā elektronisko
sakaru tīklā. • Mērījumus neveic komersants, kurš sniedz interneta pakalpojumu mobilā elektronisko sakaru tīklā. |
|
2. |
Bojājumu skaits |
– |
|
|
|
3. |
Bojājumu novēršanas laiks stundās |
– |
|
|
|
4. |
Lejupielādes un augšupielādes ātrums megabitos sekundē |
|
|
Regulators veic
mērījumus, ja izpildās šādi nosacījumi: • operators sniedz interneta pakalpojumu mobilā elektronisko sakaru tīklā; • operatoram ir ne mazāk kā 20 000 galalietotāju iepriekšējā kalendārā gada 1.pusgada beigās. Mērījumus neveic operators, ja izpildās šādi nosacījumi: • operators sniedz interneta pakalpojumu mobilā elektronisko sakaru tīklā; • operatoram ir ne mazāk kā 20 000 galalietotāju iepriekšējā kalendārā gada 1.pusgada beigās. |
|
5. |
Pakešu zuduma koeficients procentos |
|
|
|
|
6. |
Latentums milisekundēs |
|
|
|
|
7. |
Trīce milisekundēs |
|
|
|
|
8. |
Pakalpojuma pieejamība procentos |
– |
|
|
VII. Universālais pakalpojums
7.tabula
|
Nr. |
Pakalpojuma kvalitātes parametrs |
Pakalpojuma kvalitātes mērījumu veicējs |
Piezīmes |
|
|
Regulators |
Universālā pakalpojuma sniedzējs |
|||
|
1 |
2 |
3 |
4 |
5 |
|
1. |
Abonentlīniju ierīkošanas laiks dienās | |||
|
1.1. |
Dienu skaits no pieteikuma saņemšanas dienas līdz ierīkošanas dienai 95 procentiem ierīkoto abonentlīniju |
– |
|
|
|
1.2. |
Abonentlīniju skaits procentos no visām ierīkotajām abonentlīnijām, kas ierīkotas ar klientu norunātajā laikā |
– |
|
|
|
2. |
Pieteikto bojājumu skaits uz vienu abonentlīniju |
– |
|
|
|
3. |
Bojājumu novēršanas laiks | |||
|
3.1. |
Stundu skaits no bojājuma pieteikuma saņemšanas brīža līdz bojājuma novēršanas brīdim, lai novērstu 95 procentus abonentlīniju bojājumu |
– |
|
|
|
3.2. |
Bojājumu skaits procentos no pieteiktajiem bojājumiem, kas novērsti 3 dienu laikā |
– |
|
|
|
4. |
Nesekmīgo savienojumu skaits |
|
– |
|
|
5. |
Savienošanas laiks sekundēs |
|
– |
|
|
6. |
Rēķinu precizitāte procentos |
– |
|
|
|
7. |
Visaptveroša uzziņu dienesta atbildes laiks sekundēs |
– |
|
|
|
8. |
Bojājumu pieteikuma pieņemšanas dienesta atbildes laiks sekundēs |
– |
|
|
1 iekšzemes balss telefonijas pakalpojums fiksētā elektronisko sakaru tīklā un iekšzemes balss telefonijas pakalpojums mobilā elektronisko sakaru tīklā
2 iekšzemes balss telefonijas pakalpojums, izmantojot elektronisko sakaru tīklu starpsavienojumu
3 elektronisko ziņojumu pārraides pakalpojums mobilā elektronisko sakaru tīklā
4 elektronisko ziņojumu pārraides pakalpojums, izmantojot mobilo elektronisko sakaru tīklu starpsavienojumu
5 radio un televīzijas programmu izplatīšanas pakalpojums
6 šaurjoslas interneta piekļuves pakalpojums fiksētā elektronisko sakaru tīklā, šaurjoslas interneta piekļuves pakalpojums mobilā elektronisko sakaru tīklā, platjoslas interneta piekļuves pakalpojums fiksētā elektronisko sakaru tīklā un platjoslas interneta piekļuves pakalpojums mobilā elektronisko sakaru tīklā
Sabiedrisko pakalpojumu regulēšanas komisijas padomes
priekšsēdētājs V.Lokenbahs
9.pielikums
Sabiedrisko pakalpojumu
regulēšanas komisijas
2015.gada 3.decembra lēmumam Nr.1/21
Kvalitātes pārskats par iekšzemes balss telefonijas pakalpojuma* kvalitātes prasību izpildi
|
Elektronisko sakaru komersanta nosaukums |
|
|
Vienotais reģistrācijas numurs |
|
|
Pārskata gads |
|
Pakalpojumu kvalitātes parametrs |
Pakalpojumu kvalitātes parametra vērtība |
|
|
Fiksētā elektronisko sakaru tīklā |
Mobilā elektronisko sakaru tīklā |
|
| 1. Vidējais ierīkošanas laiks dienās(1) | – | |
| 2. Bojājumu skaits(2) | – | |
| 3. Vidējais bojājumu novēršanas laiks stundās(3) | ||
| 4. Nesekmīgo savienojumu koeficients procentos(4) | ||
| 5. Vidējais savienošanas laiks sekundēs(5) | ||
| 6. Vidējā runas pārraides kvalitāte ballēs(6) | ||
| 7. Rēķinu precizitāte procentos(7) | ||
Komersants nodrošina uzskaiti tikai katra pakalpojuma kvalitātes parametra standarta līmenim. Neieskaita gadījumus, kad abonents izvēlas maksāt vairāk par paaugstinātu pakalpojumu kvalitātes līmeni vai mazāk par pazeminātu pakalpojumu kvalitātes līmeni.
Komersants, kurš balss telefonijas pakalpojuma nodrošināšanai izmanto operatora iepriekšējas izvēles pakalpojumu vai operatora izvēles pakalpojumu, nosaka kvalitātes pakalpojuma parametru vērtības no 2. – 7.punktam.
(1) Vidējais dienu skaits no pieteikuma saņemšanas dienas līdz ierīkošanas dienai, balss telefonijas pakalpojuma nodrošināšanai fiksētā elektronisko sakaru tīklā.
(2) Pieteikto bojājumu skaits uz vienu pieslēguma punktu fiksētā elektronisko sakaru tīklā.
(3) Parametra vērtību norāda šādā formātā – SS:mm (S–stundas, m–minūtes).
(4) Nesekmīgo savienojumu koeficients – parametrs, kas procentos nosaka nesekmīgo savienojumu skaita attiecību pret kopējo veikto savienojumu mēģinājumu skaitu.
Nesekmīgs savienojums:
1) savienojuma mēģinājums ar pareizi sastādītu, galalietotājam lietošanā piešķirtu numuru, 30 sekunžu laikā nekonstatējot izsaukuma kontroles signālu, aizņemtības signālu vai atbildi;
2) savienojuma mēģinājums ar pareizi sastādītu, galalietotājam lietošanā piešķirtu numuru, konstatējot izsaukuma kontroles signālu nepareiza savienojuma gadījumā;
3) savienojuma mēģinājums ar pareizi sastādītu, galalietotājam lietošanā piešķirtu numuru, konstatējot aizņemtības signālu, ja šo numuru neizmanto citam izsaukumam;
4) savienojuma mēģinājums ar pareizi sastādītu, galalietotājam lietošanā piešķirtu numuru, konstatējot atbildi nepareiza savienojuma gadījumā;
5) savienojuma mēģinājums no fiksētā elektronisko sakaru tīkla ar pareizi sastādītu, galalietotājam lietošanā piešķirtu numuru, konstatējot nepārtrauktu signālu;
6) savienojuma mēģinājums uz mobilo elektronisko sakaru tīklu ar pareizi sastādītu, galalietotājam lietošanā piešķirtu numuru, konstatējot paziņojumu par to, ka galiekārta izslēgta vai atrodas ārpus uztveršanas zonas, ja galiekārta ir ieslēgta un atrodas uztveršanas zonā;
7) savienojuma mēģinājums no mobilā elektronisko sakaru tīkla ar pareizi sastādītu, galalietotājam lietošanā piešķirtu numuru savienojumam nenotiekot;
8) savienojuma mēģinājums ar pareizi sastādītu, galalietotājam lietošanā piešķirtu numuru, savienojumam zūdot izsaukuma laikā.
(5) Vidējais savienošanas laiks – parametrs, kas sekundēs nosaka kopējo savienošanas laiku summas attiecību pret kopējo sekmīgo savienojumu skaitu.
Savienošanas laiks – parametrs, kas sekundēs nosaka laika posmu no izsaucamā numura nosūtīšanas brīža līdz brīdim, kad konstatē izsaukuma kontroles signālu, aizņemtības signālu vai atbildi.
(6) Vidējā runas pārraides kvalitāte – parametrs, kas sekundēs nosaka vidējo aritmētisko vērtību no kopējo mērījumu skaita.
Runas pārraides kvalitāti nosaka, izmantojot PESQ1 vai POLQA2 algoritmu.
(7) Rēķinu precizitāti nosaka saskaņā ar šādu formulu:
,
kur:
R – rēķinu precizitāte gadā, procentos;
nS – pamatotu sūdzību (pretenziju) skaits, ko komersants ir saņēmis par nepareiziem rēķiniem gadā;
Piezīme: Sūdzība (pretenzija) uzskatāma par pamatotu, ja komersants to saņēmis par nepareiziem rēķiniem, un tā novērtēta kā pamatota.
nR – kopējais komersanta izsūtīto rēķinu skaits gadā.
| Datums ___. ___. ______. | ||||
| Persona, kura tiesīga pārstāvēt komersantu |
||||
|
/paraksts un tā atšifrējums/ |
||||
|
/sagatavotāja vārds, uzvārds/ |
||||
| tālrunis | ||||
| e-pasts | ||||
* iekšzemes balss telefonijas pakalpojums fiksētā elektronisko sakaru tīklā un iekšzemes balss telefonijas pakalpojums mobilā elektronisko sakaru tīklā
1 angļu val. – Perceptual Evaluation of Speech Quality
2 angļu val. – Perceptual Objective Listening Quality Assessment
Sabiedrisko pakalpojumu regulēšanas komisijas padomes
priekšsēdētājs V.Lokenbahs
10.pielikums
Sabiedrisko pakalpojumu
regulēšanas komisijas
2015.gada 3.decembra lēmumam Nr.1/21
Kvalitātes pārskats par balss starpsavienojuma* pakalpojuma kvalitātes prasību izpildi
|
Elektronisko sakaru komersanta nosaukums |
|
|
Vienotais reģistrācijas numurs |
|
|
Pārskata gads |
|
Pakalpojumu kvalitātes parametrs |
Pakalpojumu kvalitātes parametra vērtība |
| 1. Nesekmīgo savienojumu koeficients procentos(1) | |
| 2. Vidējais savienošanas laiks sekundēs(2) |
1. Starpsavienojuma kombinācijā no vai uz fiksēto telefonu tīklu pakalpojumu kvalitātes parametru vērtības nosaka savienojumu mēģinājumiem no jebkura fiksētā telefonu tīkla pieslēguma punkta uz jebkuru cita fiksētā telefonu tīkla pieslēguma punktu.
2. Starpsavienojuma kombinācijā no vai uz mobilo telefonu tīklu pakalpojumu kvalitātes vērtības nosaka savienojuma mēģinājumiem no jebkura mobilā telefonu tīkla pieslēguma punkta uz jebkuru cita mobilā telefonu tīkla pieslēguma punktu.
(1) Nesekmīgo savienojumu koeficients – parametrs, kas procentos nosaka nesekmīgo savienojumu skaita attiecību pret kopējo veikto savienojumu mēģinājumu skaitu.
Nesekmīgs savienojums:
1) savienojuma mēģinājums ar pareizi sastādītu, galalietotājam lietošanā piešķirtu numuru, 30 sekunžu laikā nekonstatējot izsaukuma kontroles signālu, aizņemtības signālu vai atbildi;
2) savienojuma mēģinājums ar pareizi sastādītu, galalietotājam lietošanā piešķirtu numuru, konstatējot izsaukuma kontroles signālu nepareiza savienojuma gadījumā;
3) savienojuma mēģinājums ar pareizi sastādītu, galalietotājam lietošanā piešķirtu numuru, konstatējot aizņemtības signālu, ja šo numuru neizmanto citam izsaukumam;
4) savienojuma mēģinājums ar pareizi sastādītu, galalietotājam lietošanā piešķirtu numuru, konstatējot atbildi nepareiza savienojuma gadījumā;
5) savienojuma mēģinājums no fiksētā telefonu tīkla ar pareizi sastādītu, galalietotājam lietošanā piešķirtu numuru, konstatējot nepārtrauktu signālu;
6) savienojuma mēģinājums uz mobilo telefonu tīklu ar pareizi sastādītu, galalietotājam lietošanā piešķirtu numuru, konstatējot paziņojumu par to, ka galiekārta izslēgta vai atrodas ārpus uztveršanas zonas, ja galiekārta ir ieslēgta un atrodas uztveršanas zonā;
7) savienojuma mēģinājums no mobilā telefonu tīkla ar pareizi sastādītu, galalietotājam lietošanā piešķirtu numuru savienojumam nenotiekot;
8) savienojuma mēģinājums ar pareizi sastādītu, galalietotājam lietošanā piešķirtu numuru, savienojumam zūdot izsaukuma laikā.
(2) Vidējais savienošanas laiks – parametrs, kas sekundēs nosaka kopējo savienošanas laiku summas attiecību pret kopējo sekmīgo savienojumu skaitu.
Savienošanas laiks – parametrs, kas sekundēs nosaka laika posmu no izsaucamā numura nosūtīšanas brīža līdz brīdim, kad konstatē izsaukuma kontroles signālu, aizņemtības signālu vai atbildi.
| Datums ___. ___. ______. | ||||
| Persona, kura tiesīga pārstāvēt komersantu |
||||
|
/paraksts un tā atšifrējums/ |
||||
|
/sagatavotāja vārds, uzvārds/ |
||||
| tālrunis | ||||
| e-pasts | ||||
* iekšzemes balss telefonijas pakalpojums, izmantojot elektronisko sakaru tīklu starpsavienojumu
Sabiedrisko pakalpojumu regulēšanas komisijas padomes
priekšsēdētājs V.Lokenbahs
11.pielikums
Sabiedrisko pakalpojumu
regulēšanas komisijas
2015.gada 3.decembra lēmumam Nr.1/21
Kvalitātes pārskats par īsziņu pakalpojuma* kvalitātes prasību izpildi
|
Elektronisko sakaru komersanta nosaukums |
|
|
Vienotais reģistrācijas numurs |
|
|
Pārskata gads |
|
Pakalpojumu kvalitātes parametrs |
Pakalpojumu kvalitātes parametra vērtība |
| 1. Nesekmīgi sūtīto īsziņu koeficients procentos(1) | |
| 2. Vidējais īsziņas sūtīšanas laiks sekundēs(2) |
(1) Nesekmīgi sūtīto īsziņu koeficients – parametrs, kas procentos nosaka nesekmīgi sūtīto īsziņu skaita attiecību pret kopējo sūtīto īsziņu skaitu.
Nesekmīgi sūtīta īsziņa:
1) īsziņas teksta sūtīšanas mēģinājums uz pareizi sastādītu, galalietotājam lietošanā piešķirtu numuru, konstatējot paziņojumu, ka īsziņu nosūtīt neizdevās;
2) īsziņas teksta sūtīšanas mēģinājums uz pareizi sastādītu, galalietotājam lietošanā piešķirtu numuru, adresātam 300 sekunžu laikā nesaņemot īsziņu.
(2) Vidējais īsziņas sūtīšanas laiks – parametrs, kas sekundēs nosaka kopējo īsziņu sūtīšanas laiku summas attiecību pret kopējo sekmīgi adresātam piegādāto īsziņu skaitu.
Īsziņas sūtīšanas laiks – parametrs, kas sekundēs nosaka laika posmu no īsziņas teksta un numura nosūtīšanas brīža līdz brīdim, kad īsziņa piegādāta adresātam.
| Datums ___. ___. ______. | ||||
| Persona, kura tiesīga pārstāvēt komersantu |
||||
|
/paraksts un tā atšifrējums/ |
||||
|
/sagatavotāja vārds, uzvārds/ |
||||
| tālrunis | ||||
| e-pasts | ||||
* elektronisko ziņojumu pārraides pakalpojums mobilā elektronisko sakaru tīklā
Sabiedrisko pakalpojumu regulēšanas komisijas padomes
priekšsēdētājs V.Lokenbahs
12.pielikums
Sabiedrisko pakalpojumu
regulēšanas komisijas
2015.gada 3.decembra lēmumam Nr.1/21
Kvalitātes pārskats par īsziņu starpsavienojuma pakalpojuma* kvalitātes prasību izpildi
|
Elektronisko sakaru komersanta nosaukums |
|
|
Vienotais reģistrācijas numurs |
|
|
Pārskata gads |
|
Pakalpojumu kvalitātes parametrs |
Pakalpojumu kvalitātes parametra vērtība |
| 1. Nesekmīgi sūtīto īsziņu koeficients procentos(1) | |
| 2. Vidējais īsziņas sūtīšanas laiks sekundēs(2) |
Pakalpojumu kvalitātes parametrus nosaka īsziņu sūtīšanas mēģinājumiem no jebkura mobilā telefonu tīkla pieslēguma punkta uz jebkuru cita mobilā telefonu tīkla pieslēguma punktu.
(1) Nesekmīgi sūtīto īsziņu koeficients – parametrs, kas procentos nosaka nesekmīgi sūtīto īsziņu skaita attiecību pret kopējo sekmīgi nosūtīto īsziņu skaitu.
Nesekmīgi sūtīta īsziņa:
1) īsziņas teksta sūtīšanas mēģinājums uz pareizi sastādītu, galalietotājam lietošanā piešķirtu numuru, konstatējot paziņojumu, ka īsziņu nosūtīt neizdevās;
2) īsziņas teksta sūtīšanas mēģinājums uz pareizi sastādītu, galalietotājam lietošanā piešķirtu numuru, adresātam 300 sekunžu laikā nesaņemot īsziņu.
(2) Vidējais īsziņas sūtīšanas laiks – parametrs, kas sekundēs nosaka kopējo īsziņu sūtīšanas laiku summas attiecību pret kopējo sekmīgi adresātam piegādāto īsziņu skaitu.
Īsziņas sūtīšanas laiks – parametrs, kas sekundēs nosaka laika posmu no īsziņas teksta un numura nosūtīšanas brīža līdz brīdim, kad īsziņa piegādāta adresātam.
| Datums ___. ___. ______. | ||||
| Persona, kura tiesīga pārstāvēt komersantu |
||||
|
/paraksts un tā atšifrējums/ |
||||
|
/sagatavotāja vārds, uzvārds/ |
||||
| tālrunis | ||||
| e-pasts | ||||
* elektronisko ziņojumu pārraides pakalpojums, izmantojot mobilo elektronisko sakaru tīklu starpsavienojumu
Sabiedrisko pakalpojumu regulēšanas komisijas padomes
priekšsēdētājs V.Lokenbahs
13.pielikums
Sabiedrisko pakalpojumu
regulēšanas komisijas
2015.gada 3.decembra lēmumam Nr.1/21
Kvalitātes pārskats par televīzijas programmu izplatīšanas pakalpojuma* kvalitātes prasību izpildi
|
Elektronisko sakaru komersanta nosaukums |
|
|
Vienotais reģistrācijas numurs |
|
|
Pārskata gads |
|
Pakalpojumu kvalitātes parametrs |
Pakalpojumu kvalitātes parametra vērtība |
|
|
Fiksētā elektronisko sakaru tīklā |
Mobilā elektronisko sakaru tīklā |
|
| 1. Vidējais ierīkošanas laiks dienās(1) | – | |
| 2. Bojājumu skaits(2) | – | |
| 3. Vidējais bojājumu novēršanas laiks stundās(3) | ||
| 4. Vidējais attēla kvalitātes subjektīvais vizuālais vērtējums(4) | ||
(1) Vidējais dienu skaits no pieteikuma saņemšanas dienas līdz pieslēguma punkta ierīkošanas dienai, televīzijas programmu izplatīšanas pakalpojuma nodrošināšanai fiksētā elektronisko sakaru tīklā.
(2) Pieteikto bojājumu skaits uz vienu pieslēguma punktu fiksētā elektronisko sakaru tīklā.
(3) Parametra vērtību norāda šādā formātā – SS:mm (S–stundas, m–minūtes).
(4) Vidējais attēla kvalitātes subjektīvais vizuālais vērtējums – parametrs, kas nosaka vidējo svērto attēla kvalitātes novērtējumu no kopējā novērtējumu skaita.
Attēla kvalitāti nosaka katrai televīzijas programmai ne mazāk kā trīs brīvi izvēlētos pieslēguma punktos kā kvantitatīvu vērtību, ko iegūst, subjektīvi vizuāli novērtējot attēlu saskaņā ar 1.tabulu:
Attēla kvalitātes novērtējums
1.tabula
|
Nr. |
Novērtējums |
Novērtējuma paskaidrojums |
Vērtība balles |
|
1 |
2 |
3 |
4 |
|
1. |
Teicama kvalitāte | Traucējumi un kropļojumi nav redzami |
5 |
|
2. |
Laba kvalitāte | Traucējumi un kropļojumi ir redzami, bet netraucē |
4 |
|
3. |
Apmierinoša kvalitāte | Traucējumi un kropļojumi mazliet traucē |
3 |
|
4. |
Vāja kvalitāte | Traucējumi un kropļojumi traucē |
2 |
|
5. |
Slikta kvalitāte | Traucējumi un kropļojumi ļoti traucē |
1 |
Attēla kvalitāti novērtē, ņemot vērā raksturīgākos attēla traucējumus un kropļojumus saskaņā ar 2.tabulu:
Televīzijas programmu izplatīšanas pakalpojuma raksturīgākie attēla traucējumi un kropļojumi
2.tabula
|
Nr. |
Televīzijas programmu izplatīšanas pakalpojums |
Traucējumu un kropļojumu apraksts |
|
1 |
2 |
3 |
|
1. |
Televīzijas programmu izplatīšana analogā formātā | 1.1 Kustīgi vai nekustīgi joslveida, graudaini vai cita veida uzklājumi attēlam |
| 1.2. Attēla spilgtuma un krāsu nevienmērība | ||
| 1.3. Attēla daudzkāršošanās | ||
|
2. |
Televīzijas programmu izplatīšana ciparu formātā un televīzijas programmu izplatīšana, izmantojot interneta protokolu | 2.1. Attēla īslaicīga vai pilnīga sastingšana |
| 2.2. Attēla atsevišķu fragmentu iztrūkums | ||
| 2.3. Attēla blakus efekti kustīgu attēla detaļu tuvumā, kas nav saistīti ar pārraidāmās programmas attēla noformējumu (attēla artefakti) | ||
| 2.4. Vertikālo līniju kropļojumi attēla labajā pusē | ||
| 2.5. Attēla un skaņas nobīde laikā | ||
| 2.6. Blakus skaņas, kas nav saistītas ar pārraidāmās programmas akustisko noformējumu (skaņas artefakti) |
| Datums ___. ___. ______. | ||||
| Persona, kura tiesīga pārstāvēt komersantu |
||||
|
/paraksts un tā atšifrējums/ |
||||
|
/sagatavotāja vārds, uzvārds/ |
||||
| tālrunis | ||||
| e-pasts | ||||
* radio un televīzijas programmu izplatīšanas pakalpojums
Sabiedrisko pakalpojumu regulēšanas komisijas padomes
priekšsēdētājs V.Lokenbahs
14.pielikums
Sabiedrisko pakalpojumu
regulēšanas komisijas
2015.gada 3.decembra lēmumam Nr.1/21
Kvalitātes pārskats par interneta pakalpojuma* kvalitātes prasību izpildi
|
Elektronisko sakaru komersanta nosaukums |
|||
|
Vienotais reģistrācijas numurs |
|||
|
Pārskata gads |
|||
|
Elektronisko sakaru tīkla veids |
Fiksētais |
Mobilais |
|
|
Pieslēguma ātruma diapazons(1)* |
Vidējais ierīkošanas laiks dienās(2) |
Bojājumu skaits(3) |
Vidējais bojājumu novēršanas laiks4 |
Vidējais pakešu zuduma koeficients procentos(5)* |
Vidējais latentums milisekundēs(6)* |
Vidējā trīce milisekundēs(7)* |
Pakalpojuma pieejamība procentos*(8) |
|
|
>256kbiti/s līdz <2Mbiti/s |
|
|||||||
|
>2Mbiti/s līdz <10Mbiti/s |
|
|||||||
|
>10Mbiti/s līdz <30Mbiti/s |
|
|||||||
|
>30Mbiti/s līdz <100Mbiti/s |
|
|||||||
|
>100Mbiti/s |
|
|||||||
Piezīme: Komersants atzīmē pieslēguma ātruma vērtību diapazonu, kurā komersants nodrošina interneta pakalpojuma sniegšanu, neatkarīgi no pakalpojuma sniegšanai izmantotajām tehnoloģijām un piedāvātajiem tarifu plāniem.
*Parametru vērtību nosaka posmā no pieslēguma punkta līdz Latvijas interneta apmaiņas punktam, mērījumus veicot:
1) ne mazāk kā 3 brīvi izvēlētos pieslēguma punktos fiksētā elektronisko sakaru tīklā, katrā pieslēguma punktā veicot ne mazāk kā 100 mērījumus;
2) ne mazāk kā 100 brīvi izvēlētās ģeogrāfiskās vietās mobilā elektronisko sakaru tīklā, katrā vietā veicot ne mazāk kā 3 mērījumus.
(1) Pieslēguma ātrums – parametrs, kas kilobitos vai megabitos sekundē raksturo informācijas apmaiņas ātrumu (augšupielādes un lejupielādes) datu kanālā, posmā no galalietotāja galiekārtas līdz Latvijas interneta apmaiņas punktam.
(2) Vidējais dienu skaits no pieteikuma saņemšanas dienas līdz pieslēguma punkta ierīkošanas dienai, interneta pakalpojuma nodrošināšanai fiksētā elektronisko sakaru tīklā.
(3) Pieteikto bojājumu skaits uz vienu pieslēguma punktu fiksētā elektronisko sakaru tīklā.
(4) Parametra vērtību norāda šādā formātā – SS:mm (S–stundas, m–minūtes).
(5) Vidējais pakešu zuduma koeficients – parametrs, kas procentos nosaka pakešu zuduma koeficienta vidējo aritmētisko vērtību no kopējā mērījumu skaita.
Pakešu zuduma koeficients1 – parametrs, kas procentos nosaka zaudēto pakešu attiecību pret kopējo nosūtīto pakešu skaitu.
Pakešu zuduma koeficientu nosaka saskaņā ar šādu formulu:
,
kur:
Z – pakešu zuduma koeficients procentos;
n – kopējais nosūtīto pakešu skaits mērījuma cikla laikā;
D – zaudēto pakešu skaits mērījumu laikā.
(6) Vidējais latentums – parametrs, kas milisekundēs nosaka latentuma vidējo aritmētisko vērtību no kopējā mērījumu skaita;
Latentums2 – parametrs, kas milisekundēs raksturo laika aizturi starp pakešu sūtīšanu un saņemšanu posmā no galalietotāja galiekārtas līdz Latvijas interneta apmaiņas punktam abos virzienos.
Latentumu nosaka saskaņā ar formulu:
,
kur:
– vidējais latentums milisekundēs mērījuma cikla laikā;
t1 – paketes saņemšanas laiks milisekundēs;
t2 – paketes nosūtīšanas laiks milisekundēs;
n – kopējais pārsūtīto pakešu skaits mērījuma cikla laikā.
(7) Vidējā trīce – parametrs, kas milisekundēs nosaka trīces vidējo aritmētisko vērtību no kopējā mērījumu skaita.
Trīce3 – parametrs, kas milisekundēs nosaka laika aiztures nevienmērību starp pakešu sūtīšanu un saņemšanu, kas rodas tīkla ierobežotās caurlaides spējas dēļ, piemēram, pārslodze, maršruta maiņa, pakešu zudumi un citi.
Trīci aprēķina saskaņā ar formulu:
,
kur:
J – trīce milisekundēs;
– vidējais latentums milisekundēs mērījuma cikla laikā;
n – kopējais pārsūtīto pakešu skaits mērījuma cikla laikā;
Li – i-tās paketes latentums milisekundēs.
(8) Pakalpojuma pieejamību (iespēju saņemt pakalpojumu) nosaka kā vidējo aritmētisko vērtību no kopējā aprēķināto norēķinu ciklu pakalpojuma pieejamību skaita.
Pakalpojuma pieejamību norēķinu ciklam nosaka saskaņā ar formulu:
,
kur:
p – pakalpojumu pieejamība procentos;
T – kopējais pakalpojuma pieejamības laiks stundās visiem pieslēguma punktiem;
tk – kopējais pakalpojuma sniegšanas laiks stundās visiem pieslēguma punktiem.
| Datums ___. ___. ______. | ||||
| Persona, kura tiesīga pārstāvēt komersantu |
||||
|
/paraksts un tā atšifrējums/ |
||||
|
/sagatavotāja vārds, uzvārds/ |
||||
| tālrunis | ||||
| e-pasts | ||||
* šaurjoslas interneta piekļuves pakalpojums fiksētā elektronisko sakaru tīklā, šaurjoslas interneta piekļuves pakalpojums mobilā elektronisko sakaru tīklā, platjoslas interneta piekļuves pakalpojums fiksētā elektronisko sakaru tīklā un platjoslas interneta piekļuves pakalpojums mobilā elektronisko sakaru tīklā
1 angļu val. – Packet Loss Ratio
2 angļu val. – Latency (Round Trip Delay)
3 angļu val. – Jitter
Sabiedrisko pakalpojumu regulēšanas komisijas padomes
priekšsēdētājs V.Lokenbahs
15.pielikums
Sabiedrisko pakalpojumu
regulēšanas komisijas
2015.gada 3.decembra lēmumam Nr.1/21
Kvalitātes prasības pakalpojumu kvalitātes parametriem universālā pakalpojuma sniedzējam
|
Pakalpojumu kvalitātes parametrs |
Pakalpojumu kvalitātes parametra vērtība |
|
| 1. Abonentlīniju ierīkošanas laiks | 1.1. Dienu skaits no pieteikuma saņemšanas dienas līdz ierīkošanas dienai 95 procentiem ierīkotajām abonentlīnijām |
Šī parametra vērtību deklarē universālā pakalpojuma sniedzējs |
| 1.2. Abonentlīniju skaits procentos no visām ierīkotajām abonentlīnijām, kas ierīkotas ar klientu norunātajā laikā | ||
| 2. Pieteikto bojājumu skaits uz vienu abonentlīniju |
≤ 0,20 |
|
| 3. Bojājumu novēršanas laiks | 3.1. Stundu skaits no bojājuma pieteikuma saņemšanas brīža līdz bojājuma novēršanas brīdim, lai novērstu 95 procentus abonentlīniju bojājumu |
Šī parametra vērtību deklarē universālā pakalpojuma sniedzējs |
| 3.2. Bojājumu skaits procentos no pieteiktajiem bojājumiem, kas novērsti 3 dienu laikā |
> 90,00 |
|
| 4. Nesekmīgo savienojumu koeficients procentos |
≤ 0,85 |
|
| 5. Savienošanas laiks sekundēs |
≤ 1,90 |
|
| 6. Rēķinu precizitāte procentos |
≥ 99,50 |
|
| 7. Visaptveroša telefona uzziņu dienesta atbildes laiks | 7.1. 20 sekunžu laikā atbildēto izsaukumu skaits procentos |
≥ 90,00 |
| 7.2. Vidējais atbildes laiks uz izsaukumu sekundēs |
≤ 10,00 |
|
| 8. Bojājumu pieteikuma pieņemšanas dienesta atbildes laiks | 8.1. 20 sekunžu laikā atbildēto izsaukumu skaits procentos |
≥ 90,00 |
| 8.2. Vidējais atbildes laiks uz izsaukumu sekundēs |
≤ 10,00 |
|
Sabiedrisko pakalpojumu regulēšanas komisijas padomes
priekšsēdētājs V.Lokenbahs
16.pielikums
Sabiedrisko pakalpojumu
regulēšanas komisijas
2015.gada 3.decembra lēmumam Nr.1/21
Universālā pakalpojuma kvalitātes deklarācija
|
Elektronisko sakaru komersanta nosaukums |
|
|
Vienotais reģistrācijas numurs |
|
|
Deklarācijas gads |
|
Pakalpojumu kvalitātes parametri |
Pakalpojuma kvalitātes parametra vērtība |
|
| 1. Abonentlīniju ierīkošanas laiks(1) | 1.1. Dienu skaits no pieteikuma saņemšanas dienas līdz ierīkošanas dienai 95 procentiem no ierīkotajām abonentlīnijām |
< |
| 1.2. Abonentlīniju skaits procentos no visām ierīkotajām abonentlīnijām, kas ierīkotas ar klientu norunātajā laikā |
> |
|
| 2. Bojājumu novēršanas laiks(2) | 2.1. Stundu skaits no bojājuma pieteikuma saņemšanas brīža līdz bojājuma novēršanas brīdim, lai novērstu 95 procentus abonentlīniju bojājumu |
< |
Abonentlīniju uzskaiti attiecina uz fiksētā elektronisko sakaru tīkla pieslēguma punktiem, to skaitā blīvētās abonentlīnijas, integrēto pakalpojumu cipartīkla primārās plūsmas piekļuve (ISDN PRA1), privātās automātiskā atzara centrāles (PABX2) pieslēgumi un citi.
(1) Dienu skaits, līdz kuram ierīkotas 95 procenti no visātrāk ierīkotajām abonentlīnijām.
Ierīkoto abonentlīniju uzskaitē iekļauj gadījumus, ja:
1) ierīko jaunu abonentlīniju neatkarīgi no izmantojamās tehnoloģijas;
2) veic abonentlīnijas pārvietošanu;
3) pārreģistrē abonentlīniju citam abonentam;
4) abonentam ierīko papildu abonentlīnijas pieslēguma punktu.
(2) Stundu skaits, līdz kuram novērsti 95 procenti no visātrāk novērstajiem abonentlīniju bojājumiem. Parametra vērtību norāda šādā formātā – SS:mm (S–stundas, m–minūtes).
| Datums ___. ___. ______. | ||||
| Persona, kura tiesīga pārstāvēt komersantu |
||||
|
/paraksts un tā atšifrējums/ |
||||
|
/sagatavotāja vārds, uzvārds/ |
||||
| tālrunis | ||||
| e-pasts | ||||
1 angļu val. – Integrated Services Digital Network Primary Rate Access
2 angļu val. – Private Automatic Branch Exchange
Sabiedrisko pakalpojumu regulēšanas komisijas padomes
priekšsēdētājs V.Lokenbahs
17.pielikums
Sabiedrisko pakalpojumu
regulēšanas komisijas
2015.gada 3.decembra lēmumam Nr.1/21
Kvalitātes pārskats par universālā pakalpojuma kvalitātes prasību izpildi
|
Elektronisko sakaru komersanta nosaukums |
|
|
Vienotais reģistrācijas numurs |
|
|
Pārskata gads |
|
Pakalpojumu kvalitātes parametri |
Pakalpojuma kvalitātes parametra vērtība |
|
| 1. Abonentlīniju ierīkošanas laiks(1) | 1.1. Dienu skaits no pieteikuma saņemšanas dienas līdz ierīkošanas dienai 95 procentiem no ierīkotajām abonentlīnijām | |
| 1.2. Abonentlīniju skaits procentos no visām ierīkotajām abonentlīnijām, kas ierīkotas ar klientu norunātajā laikā | ||
| 2. Pieteikto bojājumu skaits uz vienu abonentlīniju | ||
| 3.Bojājumu novēršanas laiks(2) | 3.1. Stundu skaits no bojājuma pieteikuma saņemšanas brīža līdz bojājuma novēršanas brīdim, lai novērstu 95 procentus abonentlīniju bojājumu | |
| 3.2. Bojājumu skaits procentos no pieteiktajiem bojājumiem, kas novērsti 3 dienu laikā | ||
| 4. Rēķinu precizitāte procentos(3) | ||
| 5. Visaptveroša telefona uzziņu dienesta atbildes laiks | 5.1. 20 sekunžu laikā atbildēto izsaukumu skaits procentos(4) | |
| 5.2. Vidējais atbildes laiks uz izsaukumu sekundēs(5) | ||
| 6. Bojājumu pieteikuma pieņemšanas dienesta atbildes laiks | 6.1. 20 sekunžu laikā atbildēto izsaukumu skaits procentos(4) | |
| 6.2. Vidējais atbildes laiks uz izsaukumu sekundēs(5) | ||
Universālā pakalpojuma sniedzējs nodrošina uzskaiti tikai katra pakalpojuma kvalitātes parametra standarta līmenim. Neieskaita gadījumus, kad abonents izvēlas maksāt vairāk par paaugstinātu pakalpojumu kvalitātes līmeni vai mazāk par pazeminātu pakalpojumu kvalitātes līmeni.
Abonentlīniju uzskaiti attiecina uz fiksētā elektronisko sakaru tīkla pieslēguma punktiem, to skaitā blīvētās abonentlīnijas, integrēto pakalpojumu cipartīkla primārās plūsmas piekļuve (ISDN PRA1), privātās automātiskā atzara centrāles (PABX2) pieslēgumi un citi.
(1) Dienu skaits, līdz kuram ierīkotas 95 procenti no visātrāk ierīkotajām abonentlīnijām.
Ierīkoto abonentlīniju uzskaitē iekļauj gadījumus, ja:
1) ierīko jaunu abonentlīniju neatkarīgi no izmantojamās tehnoloģijas;
2) veic abonentlīnijas pārvietošanu;
3) pārreģistrē abonentlīniju citam abonentam;
4) abonentam ierīko papildu abonentlīnijas pieslēguma punktu.
(2) Stundu skaits, līdz kuram novērsti 95 procenti no visātrāk novērstajiem abonentlīniju bojājumiem.
Parametra vērtību norāda šādā formātā – SS:mm (S–stundas, m–minūtes).
(3) Rēķinu precizitāti nosaka saskaņā ar šādu formulu:
,
kur:
R – rēķinu precizitāte gadā, procentos;
nS – pamatotu sūdzību (pretenziju) skaits, ko komersants ir saņēmis par nepareiziem rēķiniem gadā;
Piezīme: Sūdzība (pretenzija) uzskatāma par pamatotu, ja komersants to saņēmis par nepareiziem rēķiniem, un tā novērtēta kā pamatota.
nR – kopējais komersanta izsūtīto rēķinu skaits gadā.
(4) 20 sekunžu laikā atbildēto izsaukumu skaits – parametrs, kas procentos nosaka izsaukumu skaitu, uz kuriem atbildēts 20 sekunžu laikā, un kas ietver savienošanas laiku un laiku no brīža, kad konstatē izsaukuma kontroles signālu vai paziņojumu par gaidīšanu rindā, līdz bojājumu pieteikumu pieņemšanas dienesta vai visaptveroša telefona uzziņu dienesta darbinieka atbildei.
(5) Vidējais atbildes laiks uz izsaukumu – parametrs, kas sekundēs nosaka kopējo atbildes laiku uz izsaukumu summas attiecību pret kopējo veikto izsaukumu skaitu.
Atbildes laiks uz izsaukumu – parametrs, kas sekundēs nosaka laika posmu no izsaucamā numura nosūtīšanas brīža līdz bojājumu pieteikumu pieņemšanas dienesta vai visaptveroša telefona uzziņu dienesta darbinieka atbildei.
| Datums ___. ___. ______. | ||||
| Persona, kura tiesīga pārstāvēt komersantu |
||||
|
/paraksts un tā atšifrējums/ |
||||
|
/sagatavotāja vārds, uzvārds/ |
||||
| tālrunis | ||||
| e-pasts | ||||
1 angļu val. – Integrated Services Digital Network Primary Rate Access
2 angļu val. – Private Automatic Branch Exchange
Sabiedrisko pakalpojumu regulēšanas komisijas padomes
priekšsēdētājs V.Lokenbahs