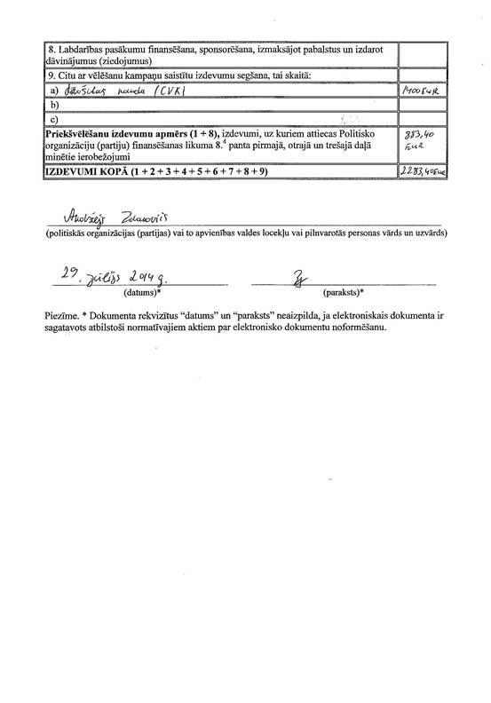
Politiskās partijas "Suverenitāte", reģ. Nr. 50008102341, 2014.gada 29.jūlijā iesniegtā precizētā 2014.gada 24.maija Eiropas Parlamenta vēlēšanu ieņēmumu un izdevumu deklarācija
Darbības pārskati
Politiskās partijas "Valmierai un Vidzemei", reģ. Nr. 40008196025, 2014.gada 24.jūlijā iesniegtais precizētais gada pārskats par 2013.gadu
Politiskās partijas "Rēzeknes Jaunsaimnieks", reģ. Nr. 40008092041, 2014.gada 24.jūlijā iesniegtais precizētais gada pārskats par 2012.gadu
Politiskās partijas "Rēzeknes Jaunsaimnieks", reģ. Nr. 40008092041, 2014.gada 24.jūlijā iesniegtais precizētais gada pārskats par 2013.gadu
Politiskās partijas "Apvienība LIEPĀJAS ATTĪSTĪBAI", reģ. Nr. 40008045136, 2014.gada 31.jūlijā iesniegtais gada pārskats par 2011.gadu
Politiskās partijas "Apvienība LIEPĀJAS ATTĪSTĪBAI", reģ. Nr. 40008045136, 2014.gada 31.jūlijā iesniegtais gada pārskats par 2012.gadu
Politiskās partijas "Apvienība LIEPĀJAS ATTĪSTĪBAI", reģ. Nr. 40008045136, 2014.gada 31.jūlijā iesniegtais gada pārskats par 2013.gadu
Politiskās partijas "Apvienība LIEPĀJAS ATTĪSTĪBAI", reģ. Nr. 40008045136, 2014.gada 31.jūlijā iesniegtais likvidācijas gada pārskats par laika periodu no 2014.gada 1.janvāra līdz 2014.gada 30.jūlijam
